Impacts of Rock Mineral and Traditional Phosphate Fertilizers on Mycorrhizal Communities in Pasture Plants
Abstract
1. Introduction
- (i)
- The application of the chemical fertilizer will decrease both the proportion and length of root colonized by AM fungi during the early stages of plant growth, but the grass will have a greater length of colonized root than the legume.
- (ii)
- The application of the rock mineral fertilizer applied at an equivalent P rate to the chemical fertilizer will not affect the proportion or length of AM fungal colonization to the same effect as the chemical fertilizer during the early stages of plant growth.
- (iii)
- The application of the microbial inoculant will stimulate root growth and reduce the colonization of roots by AM fungi.
- (iv)
- The soil treatments (two P fertilizers and a microbial inoculant) will have different effects on the relative abundance of the dominant groups of AM fungi in roots of pasture species which differ in root architecture.
2. Materials and Methods
3. Results
3.1. Plant Biomass
3.2. Mycorrhizal Colonization of Roots
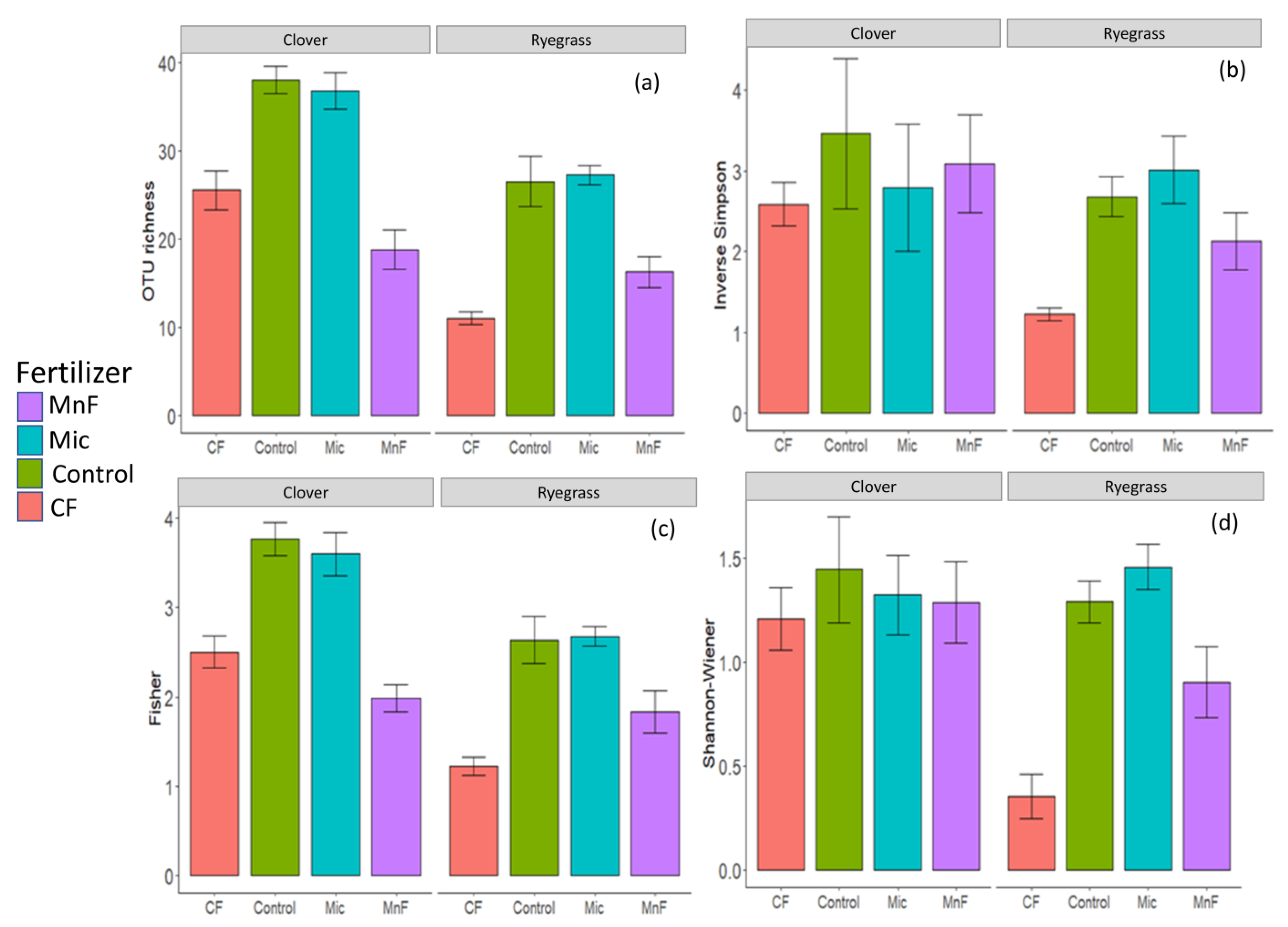
3.3. AM Fungal Community Composition and Structure
4. Discussion
5. Conclusions
Author Contributions
Funding
Data Availability Statement
Acknowledgments
Conflicts of Interest
References
- Bünemann, E.K.; Oberson, A.; Frossard, E. Phosphorus in Action: Biological Processes in Soil Phosphorus Cycling; Soil Biology; Springer Science and Business Media: Berlin/Heidelberg, Germany, 2010; Volume 26. [Google Scholar]
- Bindraban, P.S.; Dimkpa, C.O.; Pandey, R. Exploring phosphorus fertilizers and fertilization strategies for improved human and environmental health. Biol. Fert. Soils 2020, 56, 299–317. [Google Scholar] [CrossRef]
- Sanchez, P.A. Soil fertility and hunger in Africa. Science 2002, 295, 2019–2020. [Google Scholar] [CrossRef] [PubMed]
- Dangi, S.; Gao, S.; Duan, Y.; Wang, D. Soil microbial community structure affected by biochar and fertilizer sources. Appl. Soil Ecol. 2020, 150, 103452. [Google Scholar] [CrossRef]
- Luo, P.; Han, X.; Wang, Y.; Han, M.; Shi, H.; Liu, N.; Bai, H. Influence of long-term fertilization on soil microbial biomass, dehydrogenase activity, and bacterial and fungal community structure in a brown soil of northeast China. Ann. Microbiol. 2015, 65, 533–542. [Google Scholar] [CrossRef]
- Pan, Y.; Cassman, N.; de Hooander, M.; Mendes, L.W.; Korevaar, H.; Geerts, R.H.E.M.; van Veen, J.A.; Kuramae, E.E. Impact of long-term N, P, K, and NPK fertilization on the composition and potential functions of the bacterial community in grassland soil. FEMS Microbiol. Ecol. 2014, 90, 195–205. [Google Scholar] [CrossRef]
- Van Geel, M.; De Beenhouwer, M.; Ceulemans, T.; Caes, K.; Ceustermans, A.; Bylemans, D.; Gomand, A.; Lievens, B.; Honnay, P. Application of slow-release phosphorus fertilizers increases arbuscular mycorrhizal fungal diversity in the roots of apple trees. Plant Soil 2016, 402, 291–301. [Google Scholar] [CrossRef]
- Ye, Z.; Zhang, L.; Huang, Q.; Tan, Z. Development of a carbon-based slow release fertilizer treated by bio-oil coating and study on its feedback effect on farmland application. J. Clean. Prod. 2019, 239, 118085. [Google Scholar] [CrossRef]
- Bolan, N.; Hedley, M.; Harrison, R.; Braithwaite, A. Influence of manufacturing variables on characteristics and the agronomic value of partially acidulated phosphate fertilizers. Fertil. Res. 1990, 26, 119–138. [Google Scholar] [CrossRef]
- Reijnders, L. Phosphorus resources, their depletion and conservation, a review. Res. Conserv. Recycl. 2014, 93, 32–49. [Google Scholar] [CrossRef]
- Somavilla, A.; Caner, L.; Bortoluzzi, E.C.; Santanna, M.A.; dos Santos, D.R. P-legacy effect of soluble fertilizer added with limestone and phosphate rock on grassland soil in subtropical climate region. Soil Tillage Res. 2021, 211, 105021. [Google Scholar] [CrossRef]
- Gyaneshwar, P.; Kumar, G.N.; Parekh, L.; Poole, P. Role of soil microorganisms in improving P nutrition of plants. Plant Soil 2002, 245, 83–93. [Google Scholar] [CrossRef]
- Richardson, A.E. Prospects for using soil microorganisms to improve the acquisition of phosphorus by plants. Funct. Plant Biol. 2001, 28, 897–906. [Google Scholar] [CrossRef]
- Raymond, N.S.; Gomez-Munoz, B.; van der Bom, F.J.T.; Nybroe, O.; Jensen, L.S.; Muller-Stover, D.S.; Oberson, A.; Richardson, A.E. Phosphate-solubilising microorganisms for improved crop productivity: A critical assessment. New Phytol. 2021, 229, 1268–1277. [Google Scholar] [CrossRef] [PubMed]
- Magallon-Servin, P.; Antoun, H.; Taktek, S.; de-Bashan, L.E. Designing a multi-species inoculant of phosphate rock-solubilizing bacteria compatible with arbuscular mycorrhizae for plant growth promotion in low-P soil amended with PR. Biol. Fert. Soils 2020, 56, 521–536. [Google Scholar] [CrossRef]
- Hu, W.; Tan, J.; Shi, X.; Lock, T.R.; Kallenbach, R.L.; Yuan, Z. Nutrient addition and warming alter the soil phosphorus cycle in grasslands: A global meta-analysis. J. Soils Sediments 2022, 22, 2608–2619. [Google Scholar] [CrossRef]
- Ye, L.F.; Deng, H.D.; Zhend, Y.P.; Han, Y.W.; Abbott, L.K.; Zhao, C.M.; Li, J.H. Effects of decadal nitrogen and phosphorus fertilization on microbial taxonomic and functional attributes associated with soil organic carbon decomposition and concentration in an alpine meadow. Ecol. Indic. 2023, 146, 109790. [Google Scholar] [CrossRef]
- Mickan, B.S.; Alsharmani, A.R.; Solaiman, Z.M.; Leopold, M.; Abbott, L.K. Plant-dependent soil bacterial responses following amendment with a multispecies microbial biostimulant compared to rock mineral and chemical fertilizers. Front. Plant Sci. 2021, 11, 550169. [Google Scholar] [CrossRef]
- Fan, J.-W.; Solaiman, Z.M.; Mickan, B.S.; Du, Y.-L.; Li, F.-M.; Abbott, L.K. Sequential defoliation impacts on colonization of roots of Lolium rigidum by arbuscular mycorrhizal fungi were primarily determined by root responses. Biol. Fertil. Soils 2019, 55, 789–800. [Google Scholar] [CrossRef]
- Muneer, M.A.; Tarin, M.W.K.; Chen, X.; Afridi, M.S.; Iqbal, M.; Munir, M.Z.; Zheng, C.; Zhang, J.; Ji, B. Differential response of mycorrhizal fungi linked with two dominant plant species of temperate grassland under varying levels of N-addition. Appl. Soil Ecol. 2022, 170, 104272. [Google Scholar] [CrossRef]
- Barto, E.K.; Alt, F.; Oelmann, Y.; Wilcke, W.; Rillig, M.C. Contributions of biotic and abiotic factors to soil aggregation across a land use gradient. Soil Biol. Biochem. 2010, 42, 2316–2324. [Google Scholar] [CrossRef]
- Bennett, A.E.; Grotten, K. The costs and benefits of plant–arbuscular mycorrhizal fungal interactions. Annu. Rev. Plant Biol. 2022, 73, 649–672. [Google Scholar] [CrossRef]
- Mickan, B. Mechanisms for Alleviation of Plant Water Stress Involving Arbuscular Mycorrhizas. In Mycorrhizal Fungi: Use in Sustainable Agriculture and Land Restoration; Solaiman, Z.M., Abbott, L.K., Varma, A., Eds.; Springer: Berlin/Heidelberg, Germany, 2014; pp. 225–239. [Google Scholar]
- Schweiger, P.F.; Robson, A.D.; Barrow, N.J. Root hair length determines beneficial effect of a Glomus species on shoot growth of some pasture species. New Phytol. 1995, 131, 247–254. [Google Scholar] [CrossRef]
- Zhang, S.; Luo, P.; Yang, J.; Irfan, M.; Dai, J.; An, N.; Li, N.; Han, X. Responses of arbuscular mycorrhizal fungi diversity and community to 41-Year rotation fertilization in Brown Soil Region of Northeast China. Front. Microbiol. 2021, 12, 742651. [Google Scholar] [CrossRef] [PubMed]
- Jakobsen, I. Vesicular-arbuscular mycorrhiza in field-grown crops. III. Mycorrhizal infection and rates of phosphorus inflow in pea plants. New Phytol. 1986, 104, 573–581. [Google Scholar] [CrossRef] [PubMed]
- Jakobsen, I.; Abbott, L.K.; Robson, A.D. External hyphae of vesicular-arbuscular mycorrhizal fungi associated with Trifolium subterraneum L. New Phytol. 1992, 120, 371–380. [Google Scholar] [CrossRef]
- Carvalho, M.; Brito, I.; Alho, L.; Goss, M.J. Assessing the progress of colonization by arbuscular mycorrhiza of four plant species under different temperature regimes. J. Plant Nutr. Soil Sci. 2015, 178, 515–522. [Google Scholar] [CrossRef]
- Deveautour, C.; Power, S.A.; Barnett, K.L.; Ochoa-Hueso, R.; Donn, S.; Bennett, A.E.; Powell, J.R. Temporal dynamics of mycorrhizal fungal communities and co-associations with grassland plant communities following experimental manipulation of rainfall. J. Ecol. 2020, 108, 515–527. [Google Scholar] [CrossRef]
- Sharma, M.P.; Buyer, J.S. Comparison of biochemical and microscopic methods for quantification of arbuscular mycorrhizal fungi in soil and roots. Appl. Soil Ecol. 2015, 95, 86–89. [Google Scholar] [CrossRef]
- Olsson, P.A.; Lekberg, Y. A critical review of the use of lipid signature molecules for the quantification of arbuscular mycorrhiza fungi. Soil Biol. Biochem. 2022, 166, 108574. [Google Scholar] [CrossRef]
- Abbott, L.K. Comparative anatomy of vesicular-arbuscular mycorrhizas formed on subterranean clover. Aust. J. Bot. 1982, 30, 385–399. [Google Scholar] [CrossRef]
- Abbott, L.K.; Robson, A.D. Infectivity and effectiveness of five endomycorrhizal fungi: Competition with indigenous fungi in field soils. Crop Pasture Sci. 1981, 32, 621–630. [Google Scholar] [CrossRef]
- Phllips, J.M.; Hayman, D.S. Improved procedures for clearing roots and staining parasitic and vesicular-arbuscular mycorrhizal fungi for rapid assessment of infection. Trans. Br. Mycol. Soc. 1970, 55, 158–160. [Google Scholar] [CrossRef]
- Giovannetti, M.; Mosse, B. An evaluation of techniques for measuring vesicular arbuscular mycorrhizal infection in roots. New Phytol. 1980, 84, 489–500. [Google Scholar] [CrossRef]
- Newman, E.I. A method of estimating the total length of root in a sample. J. Appl. Ecol. 1966, 3, 139–145. [Google Scholar] [CrossRef]
- Mickan, B.S.; Hart, M.M.; Solaiman, Z.M.; Jenkins, S.; Siddique, K.H.M.; Abbott, L.K. Molecular divergence of fungal communities in soil, roots and hyphae highlight the importance of sampling strategies. Rhizosphere 2017, 4, 104–111. [Google Scholar] [CrossRef]
- Bremner, J.M.; Mulvaney, C.S. Nitrogen-Total. In Methods of Soil Analysis. Part 2. Chemical and Microbiological Properties; Page, A.L., Miller, R.H., Keeney, D.R., Eds.; American Society of Agronomy, Soil Science Society of America: Madison, WI, USA, 1982; pp. 595–624. [Google Scholar]
- Blakemore, L.C.; Searle, P.L.; Daly, B.K. Methods for Chemical Analysis of Soils; New Zealand Soil Bureau Scientific Report 10A; Department of Scientific and Industrial Research: Wellington, New Zealand, 1992. [Google Scholar]
- Murphy, J.; Riley, P. A modified single solution method for the determination of phosphate in natural waters. Anal. Chim. Acta 1962, 27, 31–36. [Google Scholar] [CrossRef]
- Oksanen, J. Vegan: Community Ecology Package: R Package Version 1. 2009. Available online: https://cran.r-project.org/package=vegan (accessed on 6 April 2023).
- Powell, J.R.; Rillig, M.C. Biodiversity of arbuscular mycorrhizal fungi and ecosystem function. New Phytol. 2018, 220, 1059–1075. [Google Scholar] [CrossRef]
- Rillig, M.C.; Aguilar-Trigueros, C.A.; Camenzind, T.; Cavagnaro, T.R.; Degrune, F.; Hohmann, P.; Lammel, D.R.; Mansour, I.; Roy, J.; van der Heijden, M.G.A.; et al. Why farmers should manage the arbuscular mycorrhizal symbiosis. New Phytol. 2019, 222, 1171–1175. [Google Scholar] [CrossRef]
- Howieson, J.G.; Dilworth, M.J. (Eds.) Working with Rhizobia; ACIAR Monograph; Australian Centre for International Agricultural Research: Canberra, Australia, 2016; p. 173. [Google Scholar]
- Nutt, B.J.; Loi, A.; Hackney, B.; Yates, R.J.; D’Antuono, M.; Harrison, R.J.; Howison, J.G. “Summer sowing”: A successful innovation to increase the adoption of key species of annual forage legumes for agriculture in Mediterranean and temperate environments. Grass Forage Sci. 2021, 76, 93–104. [Google Scholar] [CrossRef]
- Guimarães, G.S.; Rondina, A.B.L.; Santos, M.S.; Nogueira, M.A.; Hungria, M. Pointing out opportunities to increase grassland pastures productivity via microbial inoculants: Attending the society’s demands for meat production with sustainability. Agronomy 2022, 12, 1748. [Google Scholar] [CrossRef]
- Gazey, C.; Abbott, L.K.; Robson, A.D. Indigenous and introduced arbuscular mycorrhizal fungi contribute to plant growth in two agricultural soils from south-western Australia. Mycorrhiza 2004, 14, 355–362. [Google Scholar] [CrossRef] [PubMed]
- Gupta, M.M.; Abbott, L.K. Exploring economic assessment of the arbuscular mycorrhizal symbiosis. Symbiosis 2021, 83, 143–152. [Google Scholar] [CrossRef]
- Pearson, J.N.; Abbott, L.K.; Jasper, D.J. Mediation of competition between two colonizing VA mycorrhizal fungi by the host plant. New Phytol. 1993, 123, 93–98. [Google Scholar] [CrossRef]
- Thomson, B.D.; Robson, A.D.; Abbott, L.K. Mycorrhizas formed by Gigaspora calospora and Glomus fasciculatum on subterranean clover in relation to soluble carbohydrate concentrations in roots. New Phytol. 1990, 114, 217–225. [Google Scholar] [CrossRef]
- Douds, D.D.; Schenck, N.C. Relationship of colonization and sporulation by VA mycorrhizal fungi to plant nutrient and carbohydrate contents. New Phytol. 1990, 116, 621–627. [Google Scholar] [CrossRef]
- Thomson, B.D.; Robson, A.D.; Abbott, L.K. Effects of phosphorus on the formation of mycorrhizas by Gigaspora calospora and Glomus fasciculatum in relation to root carbohydrate. New Phytol. 1996, 103, 751–765. [Google Scholar] [CrossRef]
- Mosse, B. Advances in the study of vesicular-arbuscular mycorrhiza. Ann. Rev. Phytopathol. 1973, 11, 171–196. [Google Scholar] [CrossRef]
- Sylvia, D.M.; Schenck, N.C. Application of superphosphate to mycorrhizal plants stimulates sporulation of phosphorus-tolerant vesicular-arbuscular mycorrhizal fungi. New Phytol. 1983, 95, 655–661. [Google Scholar] [CrossRef]
- Johnson, N.C. Can fertilization of soil select less mutualistic mycorrhizae? Ecol. Appl. 1993, 3, 749–757. [Google Scholar] [CrossRef]
- Graham, J.H.; Leonard, R.T.; Menge, J.A. Membrane-mediated decrease in root exudation responsible for phosphorus inhibition of vesicular-arbuscular mycorrhiza formation. Plant Physiol. 1981, 68, 548–552. [Google Scholar] [CrossRef]
- Ratnayake, M.; Leonard, R.; Menge, J. Root exudation in relation to supply of phosphorus and its possible relevance to mycorrhizal formation. New Phytol. 1998, 81, 543–552. [Google Scholar] [CrossRef]
- Johnson, N.C. Resource stoichiometry elucidates the structure and function of arbuscular mycorrhizas across scales. New Phytol. 2010, 185, 631–647. [Google Scholar] [CrossRef] [PubMed]
- Dumbrell, A.J.; Nelson, M.; Helgason, T.; Dytham, C.; Fitter, A.H. Idiosyncrasy and overdominance in the structure of natural communities of arbuscular mycorrhizal fungi: Is there a role for stochastic processes? J. Ecol. 2010, 98, 419–428. [Google Scholar] [CrossRef]








| Shoot Dry Weight | Root Dry Weight | Root Colonization % | Root Length Colonized RLC | Shoot P% | Shoot N% | |||||||
|---|---|---|---|---|---|---|---|---|---|---|---|---|
| ANOVA | p Value | LSD | p Value | LSD | p Value | LSD | p Value | LSD | p Value | LSD | p Value | LSD |
| 5 weeks | ||||||||||||
| Fertilizers | <0.001 | 0.136 | <0.001 | 0.196 | <0.001 | 8.4 | <0.001 | 2569 | 0.033 | 0.05 | <0.001 | 0.38 |
| Pasture | <0.001 | 0.096 | <0.001 | 0.138 | 0.11 | NS | <0.001 | 1817 | <0.001 | 0.04 | 0.771 | NS |
| Fertilizers × Pasture | <0.001 | 0.192 | <0.001 | 0.277 | 0.06 | NS | <0.001 | 3634 | 0.023 | 0.07 | <0.001 | 0.53 |
| 10 weeks | ||||||||||||
| Fertilizers | <0.001 | 0.49 | 0.604 | NS | <0.001 | 9.2 | <0.001 | 3429 | 0.075 | NS | <0.001 | 0.43 |
| Pasture | <0.001 | 0.35 | <0.001 | 0.3 | 0.403 | NS | <0.001 | 2425 | <0.001 | 0.031 | <0.001 | 0.31 |
| Fertilizers × Pasture | <0.001 | 0.69 | 0.045 | 0.61 | <0.001 | 13.1 | <0.001 | 4849 | 0.004 | 0.061 | <0.013 | 0.61 |
| Treatment | NO3− mg kg−1 Soil | NH4+ mg kg−1 Soil | Colwell P Mg kg−1 Soil | |||||||||
|---|---|---|---|---|---|---|---|---|---|---|---|---|
| Clover | Ryegrass | Clover | Ryegrass | Clover | Ryegrass | |||||||
| 5 w | 10 w | 5 w | 10 w | 5 w | 10 w | 5 w | 10 w | 5 w | 10 w | 5 w | 10 w | |
| C | 13.92 b | 6.96 ab | 0.14 a | 6.26 a | 0.76 a | 0.77 a | 0.44 a | 0.81 a | 141 a | 135 a | 131 a | 1311 |
| CF | 32.14 c | 9.39 b | 1.77 a | 5.76 a | 1.19 b | 0.80 a | 0.66 a | 0.78 a | 189 c | 160 bcd | 169 bc | 185 d |
| Mic | 3.14 a | 6.18 a | 0.41 a | 5.81 a | 0.54 a | 0.82 a | 0.49 a | 0.83 a | 148 ab | 144 abc | 134 a | 137 ab |
| MnF | 56.18 d | 23.43 c | 13.61 b | 6.27 a | 1.52 b | 1.14 b | 1.31 b | 0.77 a | 169 bc | 170 cd | 160 bc | 174 d |
| NO3− | NH4+ | P | pH Water | pH CaCl2 | ||||||
|---|---|---|---|---|---|---|---|---|---|---|
| ANOVA | p Value | LSD | p Value | LSD | p Value | LSD | p Value | LSD | p Value | LSD |
| 5 weeks | ||||||||||
| Fertilizers | <0.001 | 2.72 | <0.001 | 0.16 | <0.001 | 13 | <0.001 | 0.063 | <0.001 | 0.056 |
| Pasture | <0.001 | 1.93 | <0.001 | 0.11 | 0.066 | NS | <0.001 | 0.044 | 0.002 | 0.040 |
| Fertilizers × Pasture | <0.001 | 3.85 | 0.031 | 0.22 | 0.563 | NS | 0.089 | NS | 0.444 | NS |
| 10 weeks | ||||||||||
| Fertilizers | <0.001 | 1.21 | 0.005 | 0.097 | <0.001 | 11 | <0.001 | 0.073 | <0.001 | 0.063 |
| Pasture | <0.001 | 0.86 | 0.010 | 0.069 | 0.287 | NS | 0.572 | NS | 0.442 | NS |
| Fertilizers × Pasture | <0.001 | 1.72 | <0.001 | 0.137 | 0.039 | 16 | 0.043 | 0.104 | 0.109 | NS |
| AM Fungus Family | Treatment | df | Sum of Squares | Mean Squares | F. Model | Pr (>F) |
|---|---|---|---|---|---|---|
| Acaulosporaceae | Fertilizer | 3 | 2768.2 | 922.7 | 2.2087 | 0.113 |
| Pasture | 1 | 6953.7 | 6953.7 | 16.644 | <0.001 *** | |
| Fertilizer × Pasture | 3 | 2368.7 | 789.6 | 1.8899 | 0.158 | |
| Residuals | 24 | 10,026.5 | 417.8 | |||
| Gigasporaceae | Fertilizer | 3 | 840.27 | 280.09 | 3.674 | 0.026 * |
| Pasture | 1 | 634.12 | 634.12 | 8.3179 | 0.008 * | |
| Fertilizer × Pasture | 3 | 952.27 | 317.42 | 4.1637 | 0.017 * | |
| Residuals | 24 | 1829.65 | 76.24 | |||
| Glomeraceae | Fertilizer | 3 | 3159.2 | 1053.1 | 2.8571 | 0.058 |
| Pasture | 1 | 11,788.2 | 11,788 | 31.982 | <0.001 *** | |
| Fertilizer × Pasture | 3 | 1237.3 | 412.4 | 1.1189 | 0.361 | |
| Residuals | 24 | 8846.1 | 368.6 |
| Taxon | Treatment | Degrees of Freedom | Sum of Squares | Mean Squares | F. Model | Pr (>F) |
|---|---|---|---|---|---|---|
| Shannon | Fertilizer | 3 | 1.95 | 0.65 | 5.80 | 0.004 * |
| Pasture | 1 | 0.79 | 0.79 | 7.06 | 0.014 * | |
| Fertilizer × Pasture | 3 | 1.06 | 0.35 | 3.14 | 0.044 * | |
| Residuals | 24 | 2.69 | 0.11 | |||
| Inverse Simpson | Fertilizer | 3 | 6.33 | 2.11 | 1.83 | 0.169 |
| Pasture | 1 | 4.15 | 4.15 | 3.59 | 0.070 | |
| Fertilizer × Pasture | 3 | 2.74 | 0.91 | 0.79 | 0.512 | |
| Residuals | 24 | 27.74 | 1.16 | |||
| Fisher | Fertilizer | 3 | 13.17 | 4.39 | 29.63 | <0.001 *** |
| Pasture | 1 | 6.05 | 6.05 | 40.86 | <0.001 *** | |
| Fertilizer × Pasture | 3 | 1.49 | 0.50 | 3.35 | 0.036 * | |
| Residuals | 24 | 3.56 | 0.15 | |||
| Richness | Fertilizer | 3 | 1627.00 | 542.33 | 36.66 | <0.001 *** |
| Pasture | 1 | 722.00 | 722.00 | 48.81 | <0.001 *** | |
| Fertilizer × Pasture | 3 | 156.00 | 52.00 | 3.52 | 0.030 * | |
| Residuals | 24 | 355.00 | 14.79 | |||
| Eveness | Fertilizer | 3 | 0.11 | 0.04 | 4.28 | 0.015 * |
| Pasture | 1 | 0.04 | 0.04 | 4.28 | 0.049 * | |
| Fertilizer × Pasture | 3 | 0.11 | 0.04 | 4.22 | 0.016 * | |
| Residuals | 24 | 0.20 | 0.01 |
Disclaimer/Publisher’s Note: The statements, opinions and data contained in all publications are solely those of the individual author(s) and contributor(s) and not of MDPI and/or the editor(s). MDPI and/or the editor(s) disclaim responsibility for any injury to people or property resulting from any ideas, methods, instructions or products referred to in the content. |
© 2023 by the authors. Licensee MDPI, Basel, Switzerland. This article is an open access article distributed under the terms and conditions of the Creative Commons Attribution (CC BY) license (https://creativecommons.org/licenses/by/4.0/).
Share and Cite
Alsharmani, A.R.; Solaiman, Z.M.; Leopold, M.; Abbott, L.K.; Mickan, B.S. Impacts of Rock Mineral and Traditional Phosphate Fertilizers on Mycorrhizal Communities in Pasture Plants. Microorganisms 2023, 11, 1051. https://doi.org/10.3390/microorganisms11041051
Alsharmani AR, Solaiman ZM, Leopold M, Abbott LK, Mickan BS. Impacts of Rock Mineral and Traditional Phosphate Fertilizers on Mycorrhizal Communities in Pasture Plants. Microorganisms. 2023; 11(4):1051. https://doi.org/10.3390/microorganisms11041051
Chicago/Turabian StyleAlsharmani, Ahmed R., Zakaria M. Solaiman, Matthias Leopold, Lynette K. Abbott, and Bede S. Mickan. 2023. "Impacts of Rock Mineral and Traditional Phosphate Fertilizers on Mycorrhizal Communities in Pasture Plants" Microorganisms 11, no. 4: 1051. https://doi.org/10.3390/microorganisms11041051
APA StyleAlsharmani, A. R., Solaiman, Z. M., Leopold, M., Abbott, L. K., & Mickan, B. S. (2023). Impacts of Rock Mineral and Traditional Phosphate Fertilizers on Mycorrhizal Communities in Pasture Plants. Microorganisms, 11(4), 1051. https://doi.org/10.3390/microorganisms11041051

