Efficacy of Soft-Rot Disease Biocontrol Agents in the Inhibition of Production Field Pathogen Isolates
Abstract
:1. Introduction
2. Materials and Methods
2.1. Isolation and Characterization of the Dickeya and Pectobacterium Pathogens
2.2. Growth Inhibition Assays with Biocontrol Agents
2.3. Statistical Analyses
3. Results
3.1. Species Patterns in Rejected Productions of Seed Potato Tubers
3.2. Species Patterns in Experimental Parcels
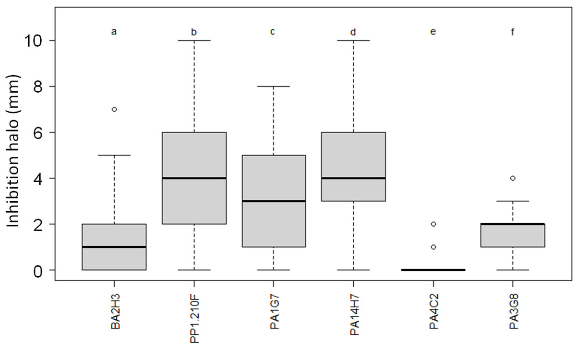
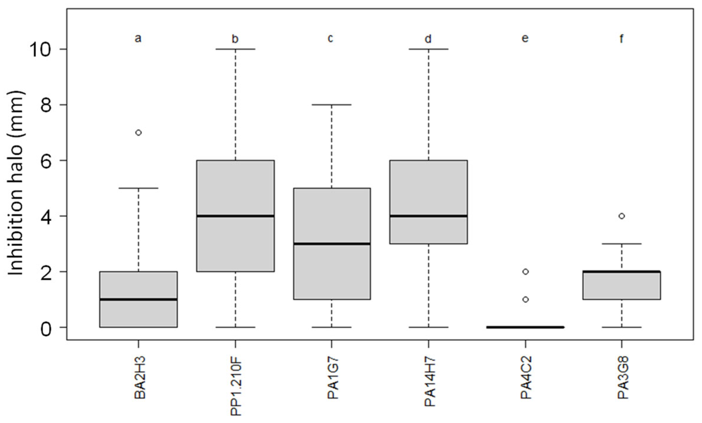
3.3. Efficiency of Biocontrol Agents Facing Natural Diversity of Pathogens
4. Discussion
5. Conclusions
Supplementary Materials
Author Contributions
Funding
Data Availability Statement
Acknowledgments
Conflicts of Interest
References
- Van Gijsegem, F.; Toth, I.K.; van der Wolf, J.M. Soft Rot Pectobacteriaceae: A Brief Overview. In Plant Diseases Caused by Dickeya and Pectobacterium Species; Van Gijsegem, F., van der Wolf, J.M., Toth, I.K., Eds.; Springer International Publishing: Cham, France, 2021; pp. 1–11. [Google Scholar]
- Toth, I.K.; Barny, M.; Czajkowski, R.; Elphinstone, J.G.; Li, X.; Pédron, J.; Pirhonen, M.; Van Gijsegem, F. Pectobacterium and Dickeya: Taxonomy and Evolution. In Plant Diseases Caused by Dickeya and Pectobacterium Species; Van Gijsegem, F., van der Wolf, J.M., Toth, I.K., Eds.; Springer International Publishing: Cham, France, 2021; pp. 13–37. [Google Scholar]
- van der Wolf, J.M.; Nijhuis, E.H.; Kowalewska, M.J.; Saddler, G.S.; Parkinson, N.; Elphinstone, J.G.; Pritchard, L.; Toth, I.K.; Lojkowska, E.; Potrykus, M.; et al. Dickeya solani sp. nov., a Pectinolytic Plant-Pathogenic Bacterium Isolated from Potato (Solanum tuberosum). Int. J. Syst. Evol. Microbiol. 2014, 64, 768–774. [Google Scholar] [CrossRef] [PubMed]
- Portier, P.; Pédron, J.; Taghouti, G.; Saux, M.F.-L.; Caullireau, E.; Bertrand, C.; Laurent, A.; Chawki, K.; Oulgazi, S.; Moumni, M.; et al. Elevation of Pectobacterium carotovorum subsp. odoriferum to Species Level as Pectobacterium odoriferum sp. nov., Proposal of Pectobacterium brasiliense sp. nov. and Pectobacterium actinidiae sp. nov., Emended Description of Pectobacterium carotovorum and Description of Pectobacterium versatile sp. nov., isolated from Streams and Symptoms on Diverse Plants. Int. J. Syst. Evol. Microbiol. 2019, 69, 3207–3216. [Google Scholar] [CrossRef] [PubMed]
- Cigna, J.; Laurent, A.; Waleron, M.; Waleron, K.; Dewaegeneire, P.; van der Wolf, J.; Andrivon, D.; Faure, D.; Hélias, V. European Population of Pectobacterium punjabense: Genomic Diversity, Tuber Maceration Capacity and a Detection Tool for This Rarely Occurring Potato Pathogen. Microorganisms 2021, 9, 781. [Google Scholar] [CrossRef]
- Pasanen, M.; Waleron, M.; Schott, T.; Cleenwerck, I.; Misztak, A.; Waleron, K.; Pritchard, L.; Bakr, R.; Degefu, Y.; van der Wolf, J.; et al. Pectobacterium parvum sp. nov., Having a Salmonella SPI-1-like Type III Secretion System and Low Virulence. Int. J. Syst. Evol. Microbiol. 2020, 70, 2440–2448. [Google Scholar] [CrossRef] [PubMed]
- Khayi, S.; Cigna, J.; Chong, T.M.; Quêtu-Laurent, A.; Chan, K.-G.; Hélias, V.; Faure, D. Transfer of the Potato Plant Isolates of Pectobacterium wasabiae to Pectobacterium parmentieri sp. nov. Int. J. Syst. Evol. Microbiol. 2016, 66, 5379–5383. [Google Scholar] [CrossRef]
- Dees, M.W.; Lysøe, E.; Rossmann, S.; Perminow, J.; Brurberg, M.B. Pectobacterium polaris sp. nov., Isolated from Potato (Solanum tuberosum). Int. J. Syst. Evol. Microbiol. 2017, 67, 5222–5229. [Google Scholar] [CrossRef]
- Portier, P.; Pédron, J.; Taghouti, G.; Dutrieux, C.; Barny, M.-A. Updated Taxonomy of Pectobacterium Genus in the CIRM-CFBP Bacterial Collection: When Newly Described Species Reveal “Old” Endemic Population. Microorganisms 2020, 8, 1441. [Google Scholar] [CrossRef]
- Oulghazi, S.; Pedron, J.; Cigna, J.; Lau, Y.Y.; Moumni, M.; Gijsegem, F.V.; Chan, K.G.; Faure, D. Dickeya undicola sp. nov., a Novel Species for Pectinolytic Isolates from Surface Waters in Europe and Asia. Int. J. Syst. Evol. Microbiol. 2019, 69, 2440–2444. [Google Scholar] [CrossRef]
- Van der Wolf, J.M.; Cahill, G.; Van Gijsegem, F.; Helias, V.; Humphris, S.; Li, X.; Lojkowska, E.; Pritchard, L. Isolation, Detection and Characterization of Pectobacterium and Dickeya Species. In Plant Diseases Caused by Dickeya and Pectobacterium Species; Van Gijsegem, F., van der Wolf, J.M., Toth, I.K., Eds.; Springer International Publishing: Cham, France, 2021; pp. 149–173. [Google Scholar]
- Joshi, J.R.; Brown, K.; Charkowski, A.O.; Heuberger, A.L. Protease Inhibitors from Solanum chacoense Inhibit Pectobacterium Virulence by Reducing Bacterial Protease Activity and Mo-tility. MPMI 2022, 35, 825–834. [Google Scholar] [CrossRef]
- Lebecka, R.; Śliwka, J.; Grupa-Urbańska, A.; Szajko, K.; Marczewski, W. QTLs for Potato Tuber Resistance to Dickeya solani Are Located on Chromosomes II and IV. Plant Pathol. 2021, 70, 1745–1756. [Google Scholar] [CrossRef]
- des Essarts, Y.R.; Cigna, J.; Quêtu-Laurent, A.; Caron, A.; Munier, E.; Beury-Cirou, A.; Hélias, V.; Faure, D. Biocontrol of the Potato Blackleg and Soft Rot Diseases Caused by Dickeya dianthicola. Appl. Environ. Microbiol. 2016, 82, 268–278. [Google Scholar] [CrossRef]
- Carstens, A.B.; Djurhuus, A.M.; Kot, W.; Hansen, L.H. A Novel Six-Phage Cocktail Reduces Pectobacterium Atrosepticum Soft Rot Infection in Potato Tubers under Simulated Storage Conditions. FEMS Microbiol. Lett. 2019, 366, fnz101. [Google Scholar] [CrossRef]
- Maciag, T.; Krzyzanowska, D.M.; Jafra, S.; Siwinska, J.; Czajkowski, R. The Great Five—An Artificial Bacterial Consortium with Antagonistic Activity towards Pectobacterium spp. and Dickeya spp.: Formulation, Shelf Life, and the Ability to Prevent Soft Rot of Potato in Storage. Appl. Microbiol. Biotechnol. 2020, 104, 4547–4561. [Google Scholar] [CrossRef]
- Van der Wolf, J.M.; De Boer, S.H.; Czajkowski, R.; Cahill, G.; Van Gijsegem, F.; Davey, T.; Dupuis, B.; Ellicott, J.; Jafra, S.; Kooman, M.; et al. Management of Diseases Caused by Pectobacterium and Dickeya Species. In Plant Diseases Caused by Dickeya and Pectobacterium Species; Van Gijsegem, F., van der Wolf, J.M., Toth, I.K., Eds.; Springer International Publishing: Cham, France, 2021; pp. 175–214. [Google Scholar]
- Hélias, V.; Hamon, P.; Huchet, E.; Wolf, J.V.D.; Andrivon, D. Two New Effective Semiselective Crystal Violet Pectate Media for Isolation of Pectobacterium and Dickeya: Isolating Pectolytic Bacteria on CVP. Plant Pathol. 2012, 61, 339–345. [Google Scholar] [CrossRef]
- Nassar, A.; Darrasse, A.; Lemattre, M.; Kotoujansky, A.; Dervin, C.; Vedel, R.; Bertheau, Y. Characterization of Erwinia chrysanthemi by pectinolytic isozyme polymorphism and restriction fragment length polymorphism analysis of PCR- amplified fragments of pel genes. Appl. Environ. Microbiol. 1996, 62, 2228–2235. [Google Scholar] [CrossRef]
- Darrasse, A.; Priou, S.; Kotoujansky, A.; Bertheau, Y. PCR and restriction fragment length polymorphism of a pel gene as a tool to identify Erwinia carotovora in relation to potato diseases. Appl. Environ. Microbiol. 1994, 60, 1437–1443. [Google Scholar] [CrossRef]
- Frechon, D.; Exbrayat, P.; Helias, V.; Hyman, L.J.; Jouan, B.; Llop, P.; Lopez, M.M.; Payet, N.; Perombelon, M.C.M.; Toth, I.K.; et al. Evaluation of a PCR kit for the detection of Erwinia carotovora subsp. atroseptica on potato tubers. Potato Res. 1998, 41, 163–173. [Google Scholar] [CrossRef]
- Kim, M.H.; Cho, M.S.; Kim, B.K.; Choi, H.J.; Hahn, J.H.; Kim, C.K.; Kang, M.J. Quantitative real-time polymerase chain reaction assay for detection of Pectobacterium wasabiae using YD repeat protein gene-based primers. Plant Dis. 2012, 96, 253–257. [Google Scholar] [CrossRef]
- Duarte, V.; de Boer, S.H.; Ward, L.J.; de Oliveira, A.M. Characterization of atypical Erwinia carotovora strains causing blackleg of potato in Brazil. J. Appl. Microbiol. 2004, 96, 535–545. [Google Scholar] [CrossRef]
- Cigna, J.; Dewaegeneire, P.; Beury, A.; Gobert, V.; Faure, D. A GapA PCR-Sequencing Assay for Identifying the Dickeya and Pectobacterium Potato Pathogens. Plant Dis. 2017, 101, 1278–1282. [Google Scholar] [CrossRef]
- Blin, P.; Robic, K.; Khayi, S.; Cigna, J.; Munier, E.; Dewaegeneire, P.; Laurent, A.; Jaszczyszyn, Y.; Hong, K.W.; Chan, K.G.; et al. Pattern and Causes of the Establishment of the Invasive Bacterial Potato Pathogen Dickeya solani and of the Maintenance of the Resident Pathogen, D. dianthicola. Mol. Ecol. 2021, 30, 608–624. [Google Scholar] [CrossRef] [PubMed]
- Rossmann, S.; Dees, M.W.; Torp, T.; Le, V.H.; Skogen, M.; Glorvigen, B.; van der Wolf, J.; Brurberg, M.B. Field-Scale Molecular Testing of Virulent Potato Soft Rot Pectobacteriaceae in Norway. Eur. J. Plant Pathol. 2020, 156, 501–517. [Google Scholar] [CrossRef]
- Degefu, Y. Co-Occurrence of Latent Dickeya and Pectobacterium Species in Potato Seed Tuber Samples from Northern Finland. Agric. Food Sci. 2021, 30, 1–7. [Google Scholar] [CrossRef]
- Ge, T.; Ekbataniamiri, F.; Johnson, S.B.; Larkin, R.P.; Hao, J. Interaction between Dickeya dianthicola and Pectobacterium parmentieri in Potato Infection under Field Conditions. Microorganisms 2021, 9, 316. [Google Scholar] [CrossRef] [PubMed]
- Oulghazi, S.; Moumni, M.; Khayi, S.; Robic, K.; Sarfraz, S.; Lopez-Roques, C.; Vandecasteele, C.; Faure, D. Diversity of Pectobacteriaceae Species in Potato Growing Regions in Northern Morocco. Microorganisms 2020, 8, 895. [Google Scholar] [CrossRef]
- Duprey, A.; Nasser, W.; Léonard, S.; Brochier-Armanet, C.; Reverchon, S. Transcriptional Start Site Turnover in the Evolution of Bacterial Paralogous Genes—The PelE-PelD Virulence Genes in Dickeya. FEBS J. 2016, 283, 4192–4207. [Google Scholar] [CrossRef]
- Raoul des Essarts, Y.; Pédron, J.; Blin, P.; Van Dijk, E.; Faure, D.; Van Gijsegem, F. Common and Distinctive Adaptive Traits Expressed in Dickeya Dianthicola and Dickeya Solani Pathogens When Exploiting Potato Plant Host. Environ. Microbiol. 2019, 21, 1004–1018. [Google Scholar] [CrossRef]
- Effantin, G.; Brual, T.; Rahbé, Y.; Hugouvieux-Cotte-Pattat, N.; Gueguen, E. Dickeya Solani D S0432-1 Produces an Arsenal of Secondary Metabolites with Anti-Prokaryotic and Anti-Eukaryotic Activities against Bacteria, Yeasts, Fungi, and Aphids. bioRxiv 2021. [Google Scholar] [CrossRef]
- Matilla, M.A.; Monson, R.E.; Murphy, A.; Schicketanz, M.; Rawlinson, A.; Duncan, C.; Mata, J.; Leeper, F.; Salmond, G.P.C. Solanimycin: Biosynthesis and Distribution of a New Antifungal Antibiotic Regulated by Two Quorum-Sensing Systems. mBio 2022, 13, e02472-22. [Google Scholar] [CrossRef]
- Wang, J.-W.; Derilo, R.C.; Lagitnay, R.B.J.S.; Wu, H.-P.; Chen, K.-I.; Chuang, D.-Y. Identification and Characterization of the Bacteriocin Carocin S3 from the Multiple Bacteriocin Producing Strain of Pectobac-terium carotovorum subsp. carotovorum. BMC Microbiol. 2020, 20, 273. [Google Scholar] [CrossRef]
- Chung, P.-C.; Lagitnay, R.B.J.S.; Derilo, R.C.; Wu, J.-L.; Chuang, Y.; Lin, J.-D.; Chuang, D.-Y. Unraveling the Uncharacterized Domain of Carocin S2: A Ribonuclease Pectobacterium carotovorum subsp. carotovorum Bacteriocin. Microorganisms 2022, 10, 359. [Google Scholar] [CrossRef]





Disclaimer/Publisher’s Note: The statements, opinions and data contained in all publications are solely those of the individual author(s) and contributor(s) and not of MDPI and/or the editor(s). MDPI and/or the editor(s) disclaim responsibility for any injury to people or property resulting from any ideas, methods, instructions or products referred to in the content. |
© 2023 by the authors. Licensee MDPI, Basel, Switzerland. This article is an open access article distributed under the terms and conditions of the Creative Commons Attribution (CC BY) license (https://creativecommons.org/licenses/by/4.0/).
Share and Cite
Cigna, J.; Robic, K.; Dewaegeneire, P.; Hélias, V.; Beury, A.; Faure, D. Efficacy of Soft-Rot Disease Biocontrol Agents in the Inhibition of Production Field Pathogen Isolates. Microorganisms 2023, 11, 372. https://doi.org/10.3390/microorganisms11020372
Cigna J, Robic K, Dewaegeneire P, Hélias V, Beury A, Faure D. Efficacy of Soft-Rot Disease Biocontrol Agents in the Inhibition of Production Field Pathogen Isolates. Microorganisms. 2023; 11(2):372. https://doi.org/10.3390/microorganisms11020372
Chicago/Turabian StyleCigna, Jérémy, Kévin Robic, Pauline Dewaegeneire, Valérie Hélias, Amélie Beury, and Denis Faure. 2023. "Efficacy of Soft-Rot Disease Biocontrol Agents in the Inhibition of Production Field Pathogen Isolates" Microorganisms 11, no. 2: 372. https://doi.org/10.3390/microorganisms11020372
APA StyleCigna, J., Robic, K., Dewaegeneire, P., Hélias, V., Beury, A., & Faure, D. (2023). Efficacy of Soft-Rot Disease Biocontrol Agents in the Inhibition of Production Field Pathogen Isolates. Microorganisms, 11(2), 372. https://doi.org/10.3390/microorganisms11020372

