Double Mutations in Succinate Dehydrogenase Are Involved in SDHI Resistance in Corynespora cassiicola
Abstract
:Simple Summary
Abstract
1. Introduction
2. Materials and Methods
2.1. Isolates and Fungicides
2.2. Generation and Identification of Double Mutations
2.3. Activity Analyses of Succinate Dehydrogenase
2.4. The Expression of the SDHA/B/C/D Genes
2.5. Fungicide Sensitivities Test
2.6. Comparison of Resistance to SDHI in Single and Double Mutations
2.7. Fitness Studies on Mutants
3. Results
3.1. Confirmation of the Double Mutations
3.2. Sensitivity to SDHI Fungicides
3.2.1. Sensitivity of Double Mutation to SDHI
3.2.2. Comparison of Resistance to SDHI in Single or Double Mutations
3.2.3. Cross-Resistance Analysis
3.3. Fitness Analysis of Double Mutation Isolates
3.4. SDHA/B/C/D Gene Expression in the Double Mutation
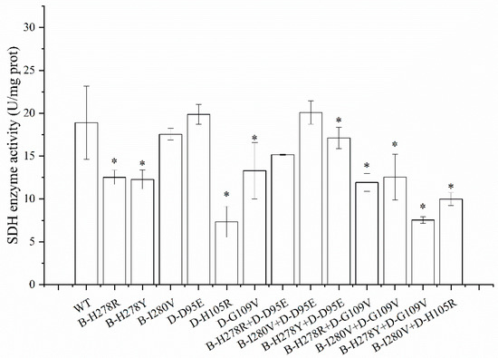
3.5. The Activity of SDH Enzyme
4. Discussion and Conclusions
Supplementary Materials
Author Contributions
Funding
Institutional Review Board Statement
Informed Consent Statement
Data Availability Statement
Conflicts of Interest
References
- Güssow, H.T. Uber eine neue Krankheit an Gurken in England (Corynespora Mazei, Güssow gen. et spec. nov.). Riv. Di Patol. Veg. 1906, 1, 202. [Google Scholar]
- Smith, L.J. Host Range, Phylogenetic, and Pathogenic Diversity of Corynespora cassiicola (Berk. and Curt.) Wei. Ph.D. Thesis, University of Florida, Gainesville, FL, USA, 2008. [Google Scholar]
- Dixon, L.J.; Schlub, R.L.; Pernezny, K.; Datnoff, L.E. Host specialization and phylogenetic diversity of Corynespora cassiicola. Phytopathology 2009, 99, 1015–1027. [Google Scholar] [CrossRef] [Green Version]
- Ishii, H.; Yano, K.; Date, H.; Furuta, A.; Sagehashi, Y.; Yamaguchi, T. Molecular Characterization and Diagnosis of QoI Resistance in Cucumber and Eggplant Fungal Pathogens. Phytopathology 2007, 97, 1458–1466. [Google Scholar] [CrossRef] [PubMed] [Green Version]
- Ishii, H.; Miyamoto, T.; Ushio, S.; Kakishima, M. Lack of cross-resistance to a novel succinate dehydrogenase inhibitor, fluopyram, in highly boscalid-resistant isolates of Corynespora cassiicola and Podosphaera xanthii. Pest. Manag Sci. 2011, 67, 474–482. [Google Scholar] [CrossRef] [PubMed]
- Duan, Y.; Xin, W.; Lu, F.; Li, T.; Li, M.; Wu, J. Benzimidazole- and QoI-resistance in Corynespora cassiicola populations from greenhouse-cultivated cucumber: An emerging problem in China. Pestic. Biochem. Physiol. 2019, 153, 95–105. [Google Scholar] [CrossRef]
- Sierotzki, H.; Scalliet, G. A review of current knowledge of resistance aspects for the next-generation succinate dehydrogenase inhibitor fungicides. Phytopathology 2013, 103, 880–887. [Google Scholar] [CrossRef] [Green Version]
- Avenot, H.F.; Michailides, T.J. Progress in understanding molecular mechanisms and evolution of resistance to succinate dehydrogenase inhibiting (SDHI) fungicides in phytopathogenic fungi. Crop. Prot. 2010, 29, 643–651. [Google Scholar] [CrossRef]
- Miyamoto, T.; Ishii, H.; Seko, T.; Kobori, S.; Tomita, Y. Occurrence of Corynespora cassiicola isolates resistant to boscalid on cucumber in Ibaraki Prefecture, Japan. Plant. Pathol. 2009, 58, 1144–1151. [Google Scholar] [CrossRef]
- Miyamoto, T.; Ishii, H.; Stammler, G.; Koch, A.; Ogawara, T.; Tomita, Y. Distribution and molecular characterization of Corynespora cassiicola isolates resistant to boscalid. Plant. Pathol. 2010, 59, 873–881. [Google Scholar] [CrossRef]
- Zhu, F.; Shi, Y.; Xie, X.; Chai, A.; Li, B. Occurrence, Distribution, and Characteristics of Boscalid-Resistant Corynespora cassiicola in China. Plant. Dis. 2019, 103, 69–76. [Google Scholar] [CrossRef] [Green Version]
- Fernandez, O.D.; Perez, G.A.; Chamorro, M.; de la Pena, E.; de Vicente, A.; Tores, J.A. Resistance to the SDHI Fungicides Boscalid, Fluopyram, Fluxapyroxad, and Penthiopyrad in Botrytis cinerea from Commercial Strawberry Fields in Spain. Plant. Dis. 2017, 101, 1306–1313. [Google Scholar] [CrossRef] [PubMed] [Green Version]
- Yamashita, M.; Fraaije, B. Non-target site SDHI resistance is present as standing genetic variation in field populations of Zymoseptoria tritici. Pest. Manag. Sci. 2018, 74, 672–681. [Google Scholar] [CrossRef] [PubMed] [Green Version]
- Fan, Z.; Yang, J.H.; Fan, F.; Luo, C.; Schnabel, G. Fitness and Competitive Ability of Alternaria alternata Field Isolates with Resistance to SDHI, QoI, and MBC Fungicides. Plant. Dis. 2015, 99, 1744–1750. [Google Scholar] [CrossRef] [PubMed] [Green Version]
- Laleve, A.; Fillinger, S.; Walker, A.S. Fitness measurement reveals contrasting costs in homologous recombinant mutants of Botrytis cinerea resistant to succinate dehydrogenase inhibitors. Fungal Genet. Biol. 2014, 67, 24–36. [Google Scholar] [CrossRef] [PubMed]
- Hawkins, N.J.; Fraaije, B.A. Fitness Penalties in the Evolution of Fungicide Resistance. Annu. Rev. Phytopathol. 2018, 56, 339–360. [Google Scholar] [CrossRef] [Green Version]
- Veloukas, T.; Kalogeropoulou, P.; Markoglou, A.N.; Karaoglanidis, G.S. Fitness and Competitive Ability of Botrytis cinerea Field Isolates with Dual Resistance to SDHI and QoI Fungicides, Associated with Several sdhB and the cytb G143A Mutations. Phytopathology 2014, 104, 347–356. [Google Scholar] [CrossRef] [Green Version]
- Brunner, P.C.; Stefanato, F.L.; McDonald, B.A. Evolution of the CYP51 gene in Mycosphaerella graminicola: Evidence for intragenic recombination and selective replacement. Mol. Plant. Pathol. 2008, 9, 305–316. [Google Scholar] [CrossRef]
- Mutero, A.; Pralavorio, M.; Bride, J.M.; Fournier, D. Resistance-associated point mutations in insecticide-insensitive acetylcholinesterase. Proc. Natl. Acad Sci. USA 1994, 91, 5922–5926. [Google Scholar] [CrossRef] [Green Version]
- Landschoot, S.; Carrette, J.; Vandecasteele, M.; De Baets, B.; Höfte, M.; Audenaert, K. Boscalid-resistance in Alternaria alternata and Alternaria solani populations: An emerging problem in Europe. Crop. Prot. 2017, 92, 49–59. [Google Scholar] [CrossRef]
- Fraaije, B.A.; Bayon, C.; Atkins, S.; Cools, H.J.; Lucas, J.A.; Fraaije, M.W. Risk assessment studies on succinate dehydrogenase inhibitors, the new weapons in the battle to control Septoria leaf blotch in wheat. Mol. Plant. Pathol. 2012, 13, 263–275. [Google Scholar] [CrossRef] [Green Version]
- Avenot, H.F.; van den Biggelaar, H.; Morgan, D.P.; Moral, J.; Joosten, M.; Michailides, T.J. Sensitivities of Baseline Isolates and Boscalid-Resistant Mutants of Alternaria alternata from Pistachio to Fluopyram, Penthiopyrad, and Fluxapyroxad. Plant. Dis. 2014, 98, 197–205. [Google Scholar] [CrossRef] [Green Version]
- Shi, Y.; Sun, B.; Xie, X.; Chai, A.; Li, L.; Li, B. Site-directed mutagenesis of the succinate dehydrogenase subunits B and D from Corynespora cassiicola reveals different fitness costs and sensitivities to succinate dehydrogenase inhibitors. Environ. Microbiol. 2021, 23, 5769–5783. [Google Scholar] [CrossRef]
- Laleve, A.; Gamet, S.; Walker, A.S.; Debieu, D.; Toquin, V.; Fillinger, S. Site-directed mutagenesis of the P225, N230 and H272 residues of succinate dehydrogenase subunit B from Botrytis cinerea highlights different roles in enzyme activity and inhibitor binding. Environ. Microbiol. 2014, 16, 2253–2266. [Google Scholar] [CrossRef]
- Tang, T.; Zhao, M.; Wang, P.; Huang, S.; Fu, W. Control efficacy and joint toxicity of thiamethoxam mixed with spirotetramat against the Asian citrus psyllid, Diaphorina citri Kuwayama. Pest. Manag. Sci. 2021, 77, 168–176. [Google Scholar] [CrossRef]
- Vega, B.; Dewdney, M.M. Sensitivity of Alternaria alternata from Citrus to Boscalid and Polymorphism in Iron-Sulfur and in Anchored Membrane Subunits of Succinate Dehydrogenase. Plant. Dis. 2015, 99, 231–239. [Google Scholar] [CrossRef] [PubMed] [Green Version]
- Miles, T.D.; Miles, L.A.; Fairchild, K.L.; Wharton, P.S. Screening and characterization of resistance to succinate dehydrogenase inhibitors inAlternaria solani. Plant. Pathol. 2014, 63, 155–164. [Google Scholar] [CrossRef]
- Cools, H.J.; Fraaije, B.A. Update on mechanisms of azole resistance in Mycosphaerella graminicola and implications for future control. Pest. Manag. Sci. 2013, 69, 150–155. [Google Scholar] [CrossRef] [PubMed]
- Horsefield, R.; Yankovskaya, V.; Sexton, G.; Whittingham, W.; Shiomi, K.; Omura, S. Structural and computational analysis of the quinone-binding site of complex II (succinate-ubiquinone oxidoreductase): A mechanism of electron transfer and proton conduction during ubiquinone reduction. J. Biol. Chem 2006, 281, 7309–7316. [Google Scholar] [CrossRef] [Green Version]
- Szeto, S.S.; Reinke, S.N.; Sykes, B.D.; Lemire, B.D. Ubiquinone-binding site mutations in the Saccharomyces cerevisiae succinate dehydrogenase generate superoxide and lead to the accumulation of succinate. J. Biol. Chem 2007, 282, 27518–27526. [Google Scholar] [CrossRef] [Green Version]
- Garnault, M.; Duplaix, C.; Leroux, P.; Couleaud, G.; David, O.; Walker, A.S. Large-scale study validates that regional fungicide applications are major determinants of resistance evolution in the wheat pathogen Zymoseptoria tritici in France. New Phytol. 2020, 229, 3508–3521. [Google Scholar] [CrossRef]
- Zhan, J.; McDonald, B.A. Experimental measures of pathogen competition and relative fitness. Annu. Rev. Phytopathol. 2013, 51, 131–153. [Google Scholar] [CrossRef] [PubMed]
- Darmency, H.; Menchari, Y.; Le Corre, V.; Delye, C. Fitness cost due to herbicide resistance may trigger genetic background evolution. Evolution 2015, 69, 271–278. [Google Scholar] [CrossRef]
- Luo, T.; Yuan, J.; Peng, X.; Yang, G.; Mi, Y.; Sun, C. Double mutation in DNA gyrase confers moxifloxacin resistance and decreased fitness of Mycobacterium smegmatis. J. Antimicrob. Chemother. 2017, 72, 1893–1900. [Google Scholar] [CrossRef]
- Lucas, J.A.; Hawkins, N.J.; Fraaije, B.A. The evolution of fungicide resistance. Adv. Appl. Microbiol. 2015, 90, 29–92. [Google Scholar] [PubMed]
- Melnyk, A.H.; Wong, A.; Kassen, R. The fitness costs of antibiotic resistance mutations. Evol. Appl. 2015, 8, 273–283. [Google Scholar] [CrossRef]
- Forcelini, B.B.; Rebello, C.S.; Wang, N.Y.; Peres, N.A. Fitness, Competitive Ability, and Mutation Stability of Isolates of Colletotrichum acutatum from Strawberry Resistant to QoI Fungicides. Phytopathology 2018, 108, 462–468. [Google Scholar] [CrossRef] [Green Version]
- Giacomini, D.; Westra, P.; Ward, S.M. Impact of Genetic Background in Fitness Cost Studies: An Example from Glyphosate-Resistant Palmer Amaranth. Weed Sci. 2014, 62, 29–37. [Google Scholar] [CrossRef]
- Chen, W.; Wei, L.; Zhao, W.; Wang, B.; Zheng, H.; Zhang, P. Resistance risk assessment for a novel succinate dehydrogenase inhibitor pydiflumetofen in Fusarium asiaticum. Pest. Manag. Sci. 2021, 77, 538–547. [Google Scholar] [CrossRef] [PubMed]






| Strain or Mutants | EC50 (µg/mL) | |||
|---|---|---|---|---|
| Carboxin | Boscalid | Fluopyram | Penthiopyrad | |
| WT | 2.212 a (1 b) | 0.15 (1) | 0.193 (1) | 0.093 (1) |
| B-I280V | 29.584 (13.37) | 0.413 (2.753) | 6.534 (33.85) | 1.469 (15.79) |
| B-H278R | 34.143 (15.43) | 3.435 (22.9) | 0.168 (0.870) | 0.615 (6.612) |
| B-H278Y | 18.229 (8.240) | 38.315 (255.4) | 0.029 (0.150) | 2.284 (24.55) |
| D-D95E | 8.132 (3.676) | 1.425 (9.5) | 2.765 (14.32) | 1.665 (17.90) |
| D-H105R | 9.943 (4.495) | 4.293 (28.62) | 4.317 (22.36) | 11.133 (119.7) |
| D-G109V | 17.99 (8.132) | 3.245 (21.63) | 11.916 (61.74) | 3.733 (40.13) |
| B-I280V+D-D95E | 31.416 (14.20) | 4.062 (27.08) | 6.659 (34.50) | 6.115 (65.75) |
| B-H278R+D-D95E | 29.043 (13.12) | 2.993 (19.95) | 0.262 (1.357) | 0.359 (3.860) |
| B-H278Y+D-D95E | 24.924 (5.521) | 13.863 (43.73) | 1.534 (13.69) | 1.508 (19.33) |
| B-I280V+D-G109V | 36.758 (16.61) | 16.822 (112.1) | 6.799 (35.22) | 20.101 (216.1) |
| B-H278R+D-G109V | 53.372 (24.12) | 17.023 (113.4) | 3.71 (19.22) | 8.172 (87.87) |
| B-H278Y+D-G109V | 20.622 (9.322) | 2.472 (16.48) | 7.584 (39.29) | 2.06 (22.15) |
| B-I280V+D-H105R | 28.909 (13.06) | 26.827 (178.8) | 25.158 (130.3) | 18.345 (197.2) |
| Double Mutation | Group | Carboxin | Boscalid | Fluopyram | Penthiopyrad |
|---|---|---|---|---|---|
| B-I280V+D-D95E | I | 1.67 a | 4.42 | 1.43 | 3.90 |
| B-I280V+D-G109V | I | 1.55 | 9.20 | 0.74 | 7.73 |
| B-I280V+D-H105R | I | 1.46 | 11.40 | 4.64 | 2.91 |
| B-H278R+D-D95E | II | 1.37 | 1.23 | 0.18 | 0.31 |
| B-H278R+D-G109V | II | 2.05 | 5.10 | 0.61 | 3.76 |
| B-H278Y+D-G109V | III | 1.14 | 0.12 | 1.27 | 0.68 |
| B-H278Y+D-D95E | III | 1.89 | 0.70 | 1.10 | 0.76 |
| Pearson’s Correlations | Carboxin | Boscalid | Fluopyram | Penthiopyrad | |
|---|---|---|---|---|---|
| SDH enzyme activity | Correlation coefficient (r) | −0.343 | −0.468 | −0.497 | −0.793 * |
| Significance test (P) | 0.452 | 0.289 | 0.256 | 0.033 | |
Publisher’s Note: MDPI stays neutral with regard to jurisdictional claims in published maps and institutional affiliations. |
© 2022 by the authors. Licensee MDPI, Basel, Switzerland. This article is an open access article distributed under the terms and conditions of the Creative Commons Attribution (CC BY) license (https://creativecommons.org/licenses/by/4.0/).
Share and Cite
Sun, B.; Zhu, G.; Xie, X.; Chai, A.; Li, L.; Shi, Y.; Li, B. Double Mutations in Succinate Dehydrogenase Are Involved in SDHI Resistance in Corynespora cassiicola. Microorganisms 2022, 10, 132. https://doi.org/10.3390/microorganisms10010132
Sun B, Zhu G, Xie X, Chai A, Li L, Shi Y, Li B. Double Mutations in Succinate Dehydrogenase Are Involved in SDHI Resistance in Corynespora cassiicola. Microorganisms. 2022; 10(1):132. https://doi.org/10.3390/microorganisms10010132
Chicago/Turabian StyleSun, Bingxue, Guangxue Zhu, Xuewen Xie, Ali Chai, Lei Li, Yanxia Shi, and Baoju Li. 2022. "Double Mutations in Succinate Dehydrogenase Are Involved in SDHI Resistance in Corynespora cassiicola" Microorganisms 10, no. 1: 132. https://doi.org/10.3390/microorganisms10010132
APA StyleSun, B., Zhu, G., Xie, X., Chai, A., Li, L., Shi, Y., & Li, B. (2022). Double Mutations in Succinate Dehydrogenase Are Involved in SDHI Resistance in Corynespora cassiicola. Microorganisms, 10(1), 132. https://doi.org/10.3390/microorganisms10010132

