Modeling, Dynamic Characterization, and Performance Analysis of a 2.2 kW BLDC Motor Under Fixed Load Torque Levels and Variable Speed Inputs: An Experimental Study
Abstract
1. Introduction
- Development of a comprehensive experimental modeling framework for BLDC motors combining PRBS-based system identification and MATLAB tools to derive dynamic transfer function models.
- Experimental validation of the identified model using multiple excitation signals, including sinusoidal, exponential, ramp, and chirp waveforms, demonstrating strong generalization beyond the training data.
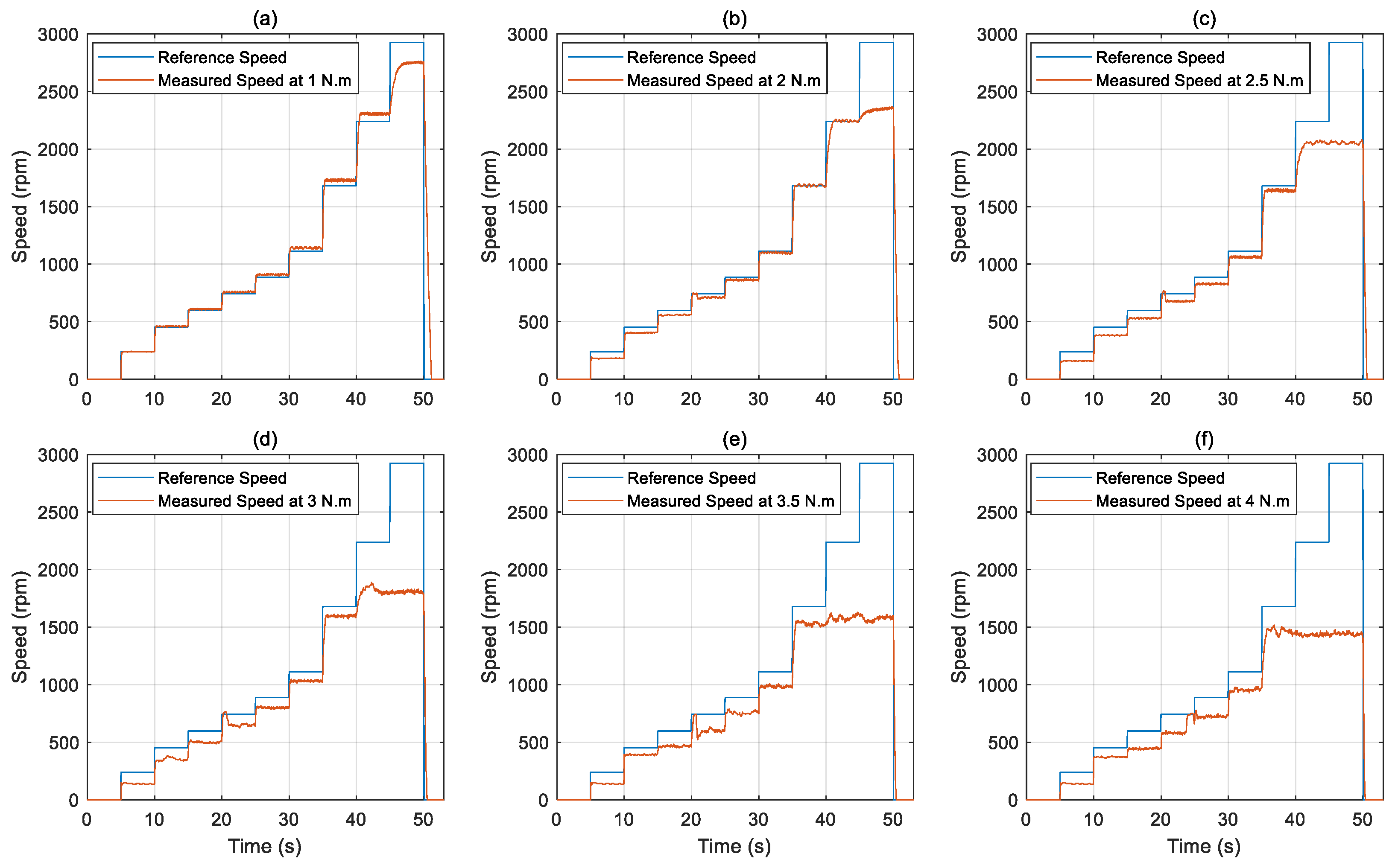
- Detailed torque speed performance characterization under fixed load torque conditions using an AVL eddy-current dynamometer, revealing load-dependent motor behavior and efficiency trends.
- Measurement and analysis of electrical input power, mechanical output power, and overall system efficiency across different operating conditions.
- Integration of real-time SOC estimation via Coulomb counting to evaluate how battery energy levels influence motor current draw and efficiency.
- Presentation of a methodology adaptable to other BLDC motors and electric drive systems through tuning of motor-specific parameters, facilitating broader application in EVs, robotics, and industrial automation.
2. Mathematical Modeling of BLDC Motor
2.1. Electrical Subsystem
2.2. Back EMF Generation
2.3. Mechanical Subsystem
2.4. Remarks on Model Limitations and Data-Driven Approach
3. Materials and Methods
3.1. Model Identification and Validation
- Modeling Objective: The main goal is to develop an accurate empirical model that captures the dynamic behavior of the BLDC motor under no-load conditions. This model serves as a foundation for performance analysis and future control design.
- Data Acquisition: PRBS signal is applied as excitation input to the motor through a real-time interface. The corresponding output speed responses are recorded using the Kelly controller.
- Model Structure Selection: Using the System Identification Toolbox in MATLAB, different linear transfer function structures are explored to represent the input–output relationship of the system.
- Model Parameter Estimation: The model parameters are estimated based on a prediction-error minimization algorithm using least-squares fitting techniques.
- Model Validation and Performance Analysis: The BLDC motor model was identified using input and output data obtained under PRBS excitation. To evaluate the model’s ability to generalize beyond the identification dataset, various independent test signals, such as sinusoidal, exponential, ramp, and chirp waveforms, were applied experimentally to the physical system and to the identified model in MATLAB Simulink. The simulated responses were then compared with the corresponding experimental results to qualitatively assess the accuracy of the model across a range of dynamic operating conditions.
3.2. Experimental Setup
3.3. Signal Design and Data Acquisition
- Sinusoidal signal was applied to evaluate the frequency response characteristics of the system.
- Exponentially rising signal was used to replicate smooth acceleration profiles.
- Chirp signal was employed to excite the system across a continuously varying frequency range.
- Ramp signal was utilized to analyze the system’s response to linearly increasing inputs and to detect any lag or rate limitations.
- PRBS signal was introduced to provide broadband excitation for system identification, enabling accurate modeling across a wide frequency spectrum.
3.4. System Identification Procedure
3.5. Load Testing Procedure: Torque–Speed Characterization
4. Electrical and Mechanical Power Analysis, Efficiency Assessment, and SOC Estimation
4.1. Efficiency Calculation
4.2. SOC Estimation
5. Results and Discussion
5.1. System Identification Results and Model Validation
5.2. Torque–Speed Performance Under Load
6. Conclusions
Author Contributions
Funding
Data Availability Statement
Conflicts of Interest
References
- Zeraoulia, M.; Benbouzid, M.E.H.; Diallo, D. Electric motor drive selection issues for HEV propulsion systems: A comparative study. IEEE Trans. Veh. Technol. 2006, 55, 1756–1764. [Google Scholar] [CrossRef]
- Ljung, L. System Identification—Theory for the User; Prentice Hall: Upper Saddle River, NJ, USA, 1999. [Google Scholar]
- Khan, M.A.; Baig, D.; Ali, H.; Albogamy, F.R. Optimized system identification of brushless DC motor using data-driven modeling methods. Sci. Rep. 2025, 15, 8497. [Google Scholar] [CrossRef]
- Hat, M.K.; Ibrahim, B.S.K.K.; Mohd, T.A.T.; Hassan, M.K. Model Based Design of PID Controller for BLDC Motor with Implementation of Embedded Arduino Mega Controller. ARPN J. Eng. Appl. Sci. 2015, 10, 8588–8594. [Google Scholar]
- Abouseda, A.I.; Doruk, R.O.; Amini, A. Parameter Identification and Speed Control of a Small-Scale BLDC Motor: Experimental Validation and Real-Time PI Control with Low-Pass Filtering. Machines 2025, 13, 656. [Google Scholar] [CrossRef]
- Pandya, V.; Mehta, S.; Pramod, P. Modeling, Characterization, and Identification of Permanent Magnet DC Motors. In Proceedings of the 2023 IEEE International Electric Machines & Drives Conference (IEMDC), San Francisco, CA, USA, 6 September 2023; IEEE: Minneapolis, MN, USA, 2023; pp. 1–7. [Google Scholar]
- Su, G.; Wang, P.; Guo, Y.; Cheng, G.; Wang, S.; Zhao, D. Multiparameter Identification of Permanent Magnet Synchronous Motor Based on Model Reference Adaptive System—Simulated Annealing Particle Swarm Optimization Algorithm. Electronics 2022, 11, 159. [Google Scholar] [CrossRef]
- Yang, C.; Bu, L.; Chen, B. Energy Modeling and Online Parameter Identification for Permanent Magnet Synchronous Motor Driven Belt Conveyors. Measurement 2021, 178, 109342. [Google Scholar] [CrossRef]
- Zhu, Z.; Liang, D.; Liu, K. Online Parameter Estimation for Permanent Magnet Synchronous Machines: An Overview. IEEE Access 2021, 9, 59059–59084. [Google Scholar] [CrossRef]
- Kerem, A. Torque Estimation of Electric Vehicle Motor Using Adaptive-Network Based Fuzzy Inference Systems. Int. J. Automot. Eng. Technol. 2021, 10, 33–41. [Google Scholar] [CrossRef]
- Al Mashhadany, Y.I.M.; Abbas, A.K.; Algburi, S.S. Modeling and Analysis of Brushless DC Motor System Based on Intelligent Controllers. Bull. Electr. Eng. Inform. 2022, 11, 2995–3003. [Google Scholar] [CrossRef]
- El Sawy, M.A.; Kamel, O.M.; Mohamed, Y.S.; Mossa, M.A. Dynamic Performance Evaluation of a Brushless AC Motor Drive Using Different Sensorless Schemes. Int. J. Robot. Control Syst. 2024, 4, 1306. [Google Scholar]
- Zhang, J.; Liu, Y.; Chen, T.; Dou, G. Research on Model Identification of Permanent Magnet DC Brushless Motor Based on Auxiliary Variable Subspace Identification Algorithm. World Electr. Veh. J. 2025, 16, 297. [Google Scholar] [CrossRef]
- Arifin, B.; Nugroho, A.A.; Budisusila, E.N.; Khosyi’n, M. System Identification and Control Strategy on Electric Power Steering DC Motor. J. Robot. Control 2024, 5, 655–666. [Google Scholar] [CrossRef]
- Marcos-Andrade, D.; Beltrán-Carbajal, F.; Castelan-Pérez, A.; Rivas-Cambero, I.; Hernández, J.C. Online Algebraic Estimation of Parameters and Disturbances in Brushless DC Motors. Machines 2025, 13, 16. [Google Scholar] [CrossRef]
- Li, H.; Jian, X. Parameter Identification of Permanent Magnet Synchronous Motor Based on CGCRAO Algorithm. IEEE Access 2023, 11, 124319–124330. [Google Scholar] [CrossRef]
- Tolun, O.C.; Tutsoy, Ö. Estimation of DC Motor Parameters Using Least Square–Based Optimization Algorithm. Proc. Innov. Intell. Syst. Appl. 2023, 6, 18–23. [Google Scholar]
- Gao, D.; Wu, S.; Yu, J.; Wang, M.; Wang, Y. Parameter Identification of DC Motor Model Based on Improved Dynamic Forgetting Factor Recursive Least Squares Method. In Proceedings of the 2022 IEEE 8th International Conference on Smart Instrumentation, Measurement and Applications (ICSIMA), Melaka, Malaysia, 26–28 September 2022; pp. 282–286. [Google Scholar]
- Rodríguez-Abreo, O.; Rodríguez-Reséndiz, J.; Álvarez-Alvarado, J.M.; García-Cerezo, A. Metaheuristic Parameter Identification of Motors Using Dynamic Response Relations. Sensors 2022, 22, 4050. [Google Scholar] [CrossRef]
- Jimenez-Gonzalez, J.; Gonzalez-Montañez, F.; Jimenez-Mondragon, V.M.; Liceaga-Castro, J.U.; Escarela-Perez, R.; Olivares-Galvan, J.C. Parameter identification of BLDC motor using electromechanical tests and recursive least-squares algorithm: Experimental validation. Actuators 2021, 10, 143. [Google Scholar] [CrossRef]
- Wu, K.H.; Seyedmahmoudian, M.; Mekhilef, S.; Shrivastava, P.; Stojcevski, A. Lithium-Ion Battery State of Charge Estimation Using Improved Coulomb Counting Method with Adaptive Error Correction. Proc. Inst. Mech. Eng. Part D J. Automob. Eng. 2023, 239, 693–705. [Google Scholar] [CrossRef]
- Pu, L.; Wang, C. Combined State-of-Charge Estimation Method for Lithium-Ion Batteries Using Long Short-Term Memory Network and Unscented Kalman Filter. Energies 2023, 18, 1106. [Google Scholar] [CrossRef]
- Fahmy, H.M.; Swief, R.A.; Hasanien, H.M.; Alharbi, M.; Maldonado, J.L.; Jurado, F. Hybrid State of Charge Estimation of Lithium-Ion Battery Using the Coulomb Counting Method and an Adaptive Unscented Kalman Filter. Energies 2023, 16, 5558. [Google Scholar] [CrossRef]
- Noval, R.; Sumarsono, D.A.; Adhitya, M.; Heryana, G.; Zainuri, F.; Tullah, M.H.; Todaro, M. Performance Evaluation and Accuracy Analysis of a Chassis Dynamometer for Light Electric Vehicles. World Electr. Veh. J. 2025, 16, 170. [Google Scholar] [CrossRef]
- Oloyede, M.O.; Akpakwu, G.A.; Myburgh, H.C.; De Freitas, A.; Kunatsa, T. A Review on State-of-Charge Estimation Methods, Energy Storage Technologies and State-of-the-Art Simulators: Recent Developments and Challenges. World Electr. Veh. J. 2024, 15, 381. [Google Scholar] [CrossRef]
- Movassagh, K.; Raihan, A.; Balasingam, B.; Pattipati, K. A Critical Look at Coulomb Counting Approach for State of Charge Estimation in Batteries. Energies 2021, 14, 4074. [Google Scholar] [CrossRef]











| Specification | Value |
|---|---|
| Rated Power | 2.2 kW |
| Phase Voltage | 24.5 V |
| Maximum Rotational Speed | 3600 rpm |
| Motor Mass | 17 kg |
| Nominal Efficiency | 80% |
Disclaimer/Publisher’s Note: The statements, opinions and data contained in all publications are solely those of the individual author(s) and contributor(s) and not of MDPI and/or the editor(s). MDPI and/or the editor(s) disclaim responsibility for any injury to people or property resulting from any ideas, methods, instructions or products referred to in the content. |
© 2025 by the authors. Licensee MDPI, Basel, Switzerland. This article is an open access article distributed under the terms and conditions of the Creative Commons Attribution (CC BY) license (https://creativecommons.org/licenses/by/4.0/).
Share and Cite
Abouseda, A.I.; Doruk, R.; Emin, A.; Akdeniz, O. Modeling, Dynamic Characterization, and Performance Analysis of a 2.2 kW BLDC Motor Under Fixed Load Torque Levels and Variable Speed Inputs: An Experimental Study. Actuators 2025, 14, 400. https://doi.org/10.3390/act14080400
Abouseda AI, Doruk R, Emin A, Akdeniz O. Modeling, Dynamic Characterization, and Performance Analysis of a 2.2 kW BLDC Motor Under Fixed Load Torque Levels and Variable Speed Inputs: An Experimental Study. Actuators. 2025; 14(8):400. https://doi.org/10.3390/act14080400
Chicago/Turabian StyleAbouseda, Ayman Ibrahim, Resat Doruk, Ali Emin, and Ozgur Akdeniz. 2025. "Modeling, Dynamic Characterization, and Performance Analysis of a 2.2 kW BLDC Motor Under Fixed Load Torque Levels and Variable Speed Inputs: An Experimental Study" Actuators 14, no. 8: 400. https://doi.org/10.3390/act14080400
APA StyleAbouseda, A. I., Doruk, R., Emin, A., & Akdeniz, O. (2025). Modeling, Dynamic Characterization, and Performance Analysis of a 2.2 kW BLDC Motor Under Fixed Load Torque Levels and Variable Speed Inputs: An Experimental Study. Actuators, 14(8), 400. https://doi.org/10.3390/act14080400

