Fixed-Time Adaptive Event-Triggered Control for Uncertain Nonlinear Systems Under Full-State Constraints
Abstract
1. Introduction
- To enhance the system’s robustness and stability, we innovatively designed a fixed-time disturbance observer to estimate and compensate for the uncertainty gain while employing a logarithmic barrier Lyapunov function to manage state constraints, thereby ensuring stability under these constraints.
- An adaptive event-triggering mechanism is proposed which significantly reduces the computational and communication burden by reducing the update frequency of the control signal.
2. Model Description and Preliminaries
Model Description
3. Developing Controllers and Analyzing Stability
3.1. The Construction of the FTDO
3.2. The Stability Analysis of the FTDO
3.3. Design of Event-Driven Fixed-Time Controller
3.4. Analysis of Controller Stability
4. Simulation
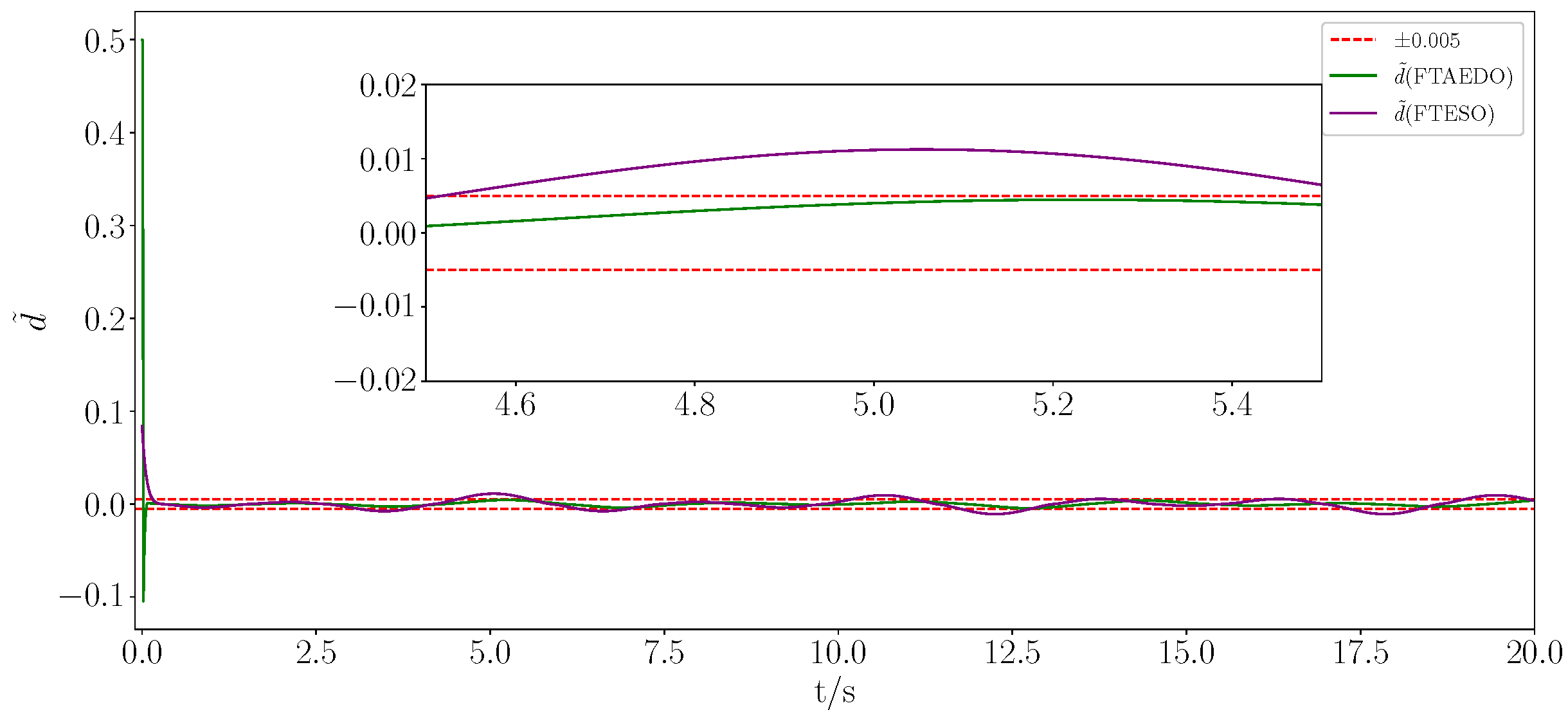
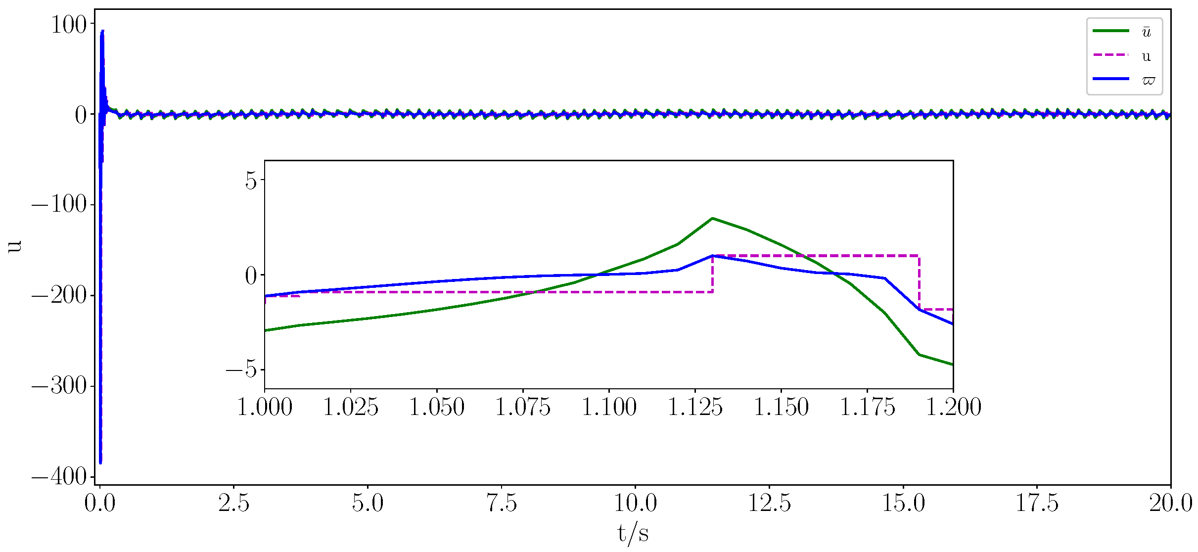
4.1. Numerical Simulation
4.2. Example Simulation of Single-Link Robotic Arm System
5. Conclusions
Author Contributions
Funding
Data Availability Statement
Conflicts of Interest
References
- Liu, S.; Zuo, Y.; Li, T.; Wang, H.; Gao, X.; Xiao, Y. Adaptive fixed-time PID-based control of uncertain nonlinear systems and its application to unmanned surface vehicles. Int. J. Syst. Sci. 2024, 55, 2815–2824. [Google Scholar] [CrossRef]
- Pi, W.; Liu, W. Event-triggered finite-time neural control for uncertain nonlinear systems with unknown disturbances and its application in SVC. Trans. Inst. Meas. Control 2024, 46, 1803–1814. [Google Scholar] [CrossRef]
- Han, H.G.; Feng, C.C.; Sun, H.Y.; Qiao, J.F. Hierarchical Self-Organizing Fuzzy Control for Uncertain Nonlinear Systems. IEEE Trans. Fuzzy Syst. 2024, 32, 2471–2482. [Google Scholar] [CrossRef]
- Lü, S.; Shen, H. Adaptive Fuzzy Asymptotic Tracking Control of Uncertain Nonlinear Systems with Full State Constraints. IEEE Trans. Fuzzy Syst. 2024, 32, 2750–2761. [Google Scholar] [CrossRef]
- Sun, Z.; Hua, C. Logic-Based Fixed-Time Control for Uncertain Nonlinear Systems with Unknown Control Directions. IEEE Trans. Cybern. 2024, 54, 5337–5346. [Google Scholar] [CrossRef] [PubMed]
- Huang, G.; Zhao, X.; Zhao, B.; Han, L.; Yu, P. Disturbance Rejection Approach for Nonlinear Systems Using Kalman-Filter-Based Equivalent-Input-Disturbance Estimator. Actuators 2025, 14, 189. [Google Scholar] [CrossRef]
- Gao, X.; Li, X.; Xiao, J.; Hao, L. Robust PI-Type Output Feedback Control of Unknown Nonlinear Systems. IEEE Trans. Ind. Electron. 2022, 69, 9396–9405. [Google Scholar] [CrossRef]
- Greene, M.L.; Bell, Z.I.; Nivison, S.; Dixon, W.E. Deep Neural Network-Based Approximate Optimal Tracking for Unknown Nonlinear Systems. IEEE Trans. Autom. Control 2023, 68, 3171–3177. [Google Scholar] [CrossRef]
- Shen, X.; Liu, G.; Liu, J.; Gao, Y.; Leon, J.I.; Wu, L.; Franquelo, L.G. Fixed-Time Sliding Mode Control for NPC Converters with Improved Disturbance Rejection Performance. IEEE Trans. Ind. Inform. 2025, 1–12. [Google Scholar] [CrossRef]
- Wang, Z.; Guo, Z.; Li, S. Finite-Time Disturbance Rejection Control for Rigid Spacecraft Attitude Set Stabilization with Actuator Saturation. IEEE Trans. Aerosp. Electron. Syst. 2024, 60, 4910–4922. [Google Scholar] [CrossRef]
- Polyakov, A. Nonlinear Feedback Design for Fixed-Time Stabilization of Linear Control Systems. IEEE Trans. Autom. Control 2012, 57, 2106–2110. [Google Scholar] [CrossRef]
- Wei, Y.; Xie, C.; Zhang, X.; Xu, Y. Finite/Fixed-Time Synchronization for Stochastic Multilayer Networks with Pinning Control. IEEE Access 2024, 12, 79667–79674. [Google Scholar] [CrossRef]
- Cui, L.; Jin, N.; Chang, S.; Zuo, Z.; Zhao, Z. Fixed-time ESO based fixed-time integral terminal sliding mode controller design for a missile. ISA Trans. 2022, 125, 237–251. [Google Scholar] [CrossRef]
- Zhang, Y.; Pang, K.; Zhou, J.; Yang, Y.; Hua, C. Fixed-Time Composite Learning Control of Robots with Prescribed Time Error Constraints. IEEE/ASME Trans. Mechatronics 2024, 30, 426–435. [Google Scholar] [CrossRef]
- Mi, Z.; Kong, Z.; Huang, T.; Shi, P.; Yu, Z.; Ding, L. Fixed-Time Hierarchical Distributed Control for Flexible Thermostatically Controlled Loads. IEEE Syst. J. 2024, 18, 1344–1355. [Google Scholar] [CrossRef]
- Cao, L.; Xiao, B.; Golestani, M.; Ran, D. Faster Fixed-Time Control of Flexible Spacecraft Attitude Stabilization. IEEE Trans. Ind. Inform. 2020, 16, 1281–1290. [Google Scholar] [CrossRef]
- Li, L.J.; Chang, X.; Chao, F.; Lin, C.M.; Huỳnh, T.T.; Yang, L.; Shang, C.; Shen, Q. Self-Organizing Type-2 Fuzzy Double Loop Recurrent Neural Network for Uncertain Nonlinear System Control. IEEE Trans. Neural Netw. Learn. Syst. 2024, 36, 6451–6465. [Google Scholar] [CrossRef]
- Qian, W.; Wu, Y.; Shen, B. Novel Adaptive Memory Event-Triggered-Based Fuzzy Robust Control for Nonlinear Networked Systems via the Differential Evolution Algorithm. IEEE/CAA J. Autom. Sin. 2024, 11, 1836–1848. [Google Scholar] [CrossRef]
- Khan, G.D. Adaptive Neural Network Control Framework for Industrial Robot Manipulators. IEEE Access 2024, 12, 63477–63483. [Google Scholar] [CrossRef]
- Wei, M.; Zheng, L.; Li, H.; Cheng, H. Adaptive Neural Network-Based Model Path-Following Contouring Control for Quadrotor Under Diversely Uncertain Disturbances. IEEE Robot. Autom. Lett. 2024, 9, 3751–3758. [Google Scholar] [CrossRef]
- Gao, N.; Tang, J.; Lin, J.; Sheng, G.; Chen, H. Nonlinear Dynamic Observer Design for Uncertain Vehicle Systems with Disturbances. IEEE Access 2024, 12, 48394–48403. [Google Scholar] [CrossRef]
- Nurminen, T.; Mourouvin, R.; Hinkkanen, M.; Kukkola, J. Multifunctional Grid-Forming Converter Control Based on a Disturbance Observer. IEEE Trans. Power Electron. 2024, 39, 13023–13032. [Google Scholar] [CrossRef]
- Zhang, Z.; Wang, Q.; Sang, Y.; Ge, S.S. Globally Adaptive Neural Network Output-Feedback Control for Uncertain Nonlinear Systems. IEEE Trans. Neural Netw. Learn. Syst. 2023, 34, 9078–9087. [Google Scholar] [CrossRef]
- Hou, Q.; Ding, S. Finite-Time Extended State Observer-Based Super-Twisting Sliding Mode Controller for PMSM Drives with Inertia Identification. IEEE Trans. Transp. Electrif. 2022, 8, 1918–1929. [Google Scholar] [CrossRef]
- Li, S.; Wang, Y.; Tan, J.; Zheng, Y. Adaptive RBFNNs/integral sliding mode control for a quadrotor aircraft. Neurocomputing 2016, 216, 126–134. [Google Scholar] [CrossRef]
- Liu, Z.; Zhao, Y.; Zhang, O.; Chen, W.; Wang, J.; Gao, Y.; Liu, J. A Novel Faster Fixed-Time Adaptive Control for Robotic Systems with Input Saturation. IEEE Trans. Ind. Electron. 2024, 71, 5215–5223. [Google Scholar] [CrossRef]
- Zhou, Z.; Shen, Y.; Chen, M. Finite-Time Control for Maneuvering Aircraft with Input Constraints and Disturbances. Actuators 2025, 14, 194. [Google Scholar] [CrossRef]
- Wang, J.; Li, Y.; Wu, Y.; Liu, Z.; Chen, K.; Chen, C.L.P. Fixed-Time Formation Control for Uncertain Nonlinear Multiagent Systems with Time-Varying Actuator Failures. IEEE Trans. Fuzzy Syst. 2024, 32, 1965–1977. [Google Scholar] [CrossRef]
- Liu, Z.; Liu, J.; Zhang, O.; Zhao, Y.; Chen, W.; Gao, Y. Adaptive Disturbance Observer-Based Fixed-Time Tracking Control for Uncertain Robotic Systems. IEEE Trans. Ind. Electron. 2024, 71, 14823–14831. [Google Scholar] [CrossRef]
- Chen, H.; Zong, G.; Zhao, X. Asynchronous Secure Control of Fuzzy MJSs with Time Delays: A Multi-Level Probabilistic Event-Triggered Mechanism. IEEE Trans. Autom. Sci. Eng. 2024, 22, 5436–5447. [Google Scholar] [CrossRef]
- He, J.; Liao, J. Formation tracking control with disturbance rejection in leader-follower multi-agent systems under dynamic event-triggered mechanism. Eng. Appl. Artif. Intell. 2024, 133, 108441. [Google Scholar] [CrossRef]
- Wang, Y.; Sun, Y.; Zhang, Y.; Huang, J. Predefined-Time Adaptive Neural Tracking Control for a Single Link Manipulator with an Event-Triggered Mechanism. Sensors 2024, 24, 4573. [Google Scholar] [CrossRef] [PubMed]
- Hao, P.W.; Feng, G.C.; Li, J.W. Leader-Follower Formation Tracking Control and Stabilization of Underactuated Unmanned Surface Vessels via Event-Triggered Mechanism. IEEE Access 2024, 12, 80359–80372. [Google Scholar] [CrossRef]
- Yuan, Y.; He, W.; Du, W.; Tian, Y.C.; Han, Q.L.; Qian, F. Distributed Gradient Tracking for Differentially Private Multi-Agent Optimization with a Dynamic Event-Triggered Mechanism. IEEE Trans. Syst. Man, Cybern. Syst. 2024, 54, 3044–3055. [Google Scholar] [CrossRef]
- Zhang, X.M.; Han, Q.L.; Zhang, B.L.; Ge, X.; Zhang, D. Accumulated-state-error-based event-triggered sampling scheme and its application to H∞ control of sampled-data systems. Sci. China Inf. Sci. 2024, 67, 162206. [Google Scholar] [CrossRef]
- Xiao, C.; Tang, L.; Wang, F.; You, S.; Xu, H.; Chen, M.; Lu, Z. Event-Triggered Control for Flapping-Wing Robot Aircraft System Based on High-Gain Observers. Actuators 2025, 14, 190. [Google Scholar] [CrossRef]
- Zhou, T.; Zuo, Z.; Wang, Y. Self-Triggered and Event-Triggered Control for Linear Systems with Quantization. IEEE Trans. Syst. Man, Cybern. Syst. 2020, 50, 3136–3144. [Google Scholar] [CrossRef]
- Zhang, X.M.; Han, Q.L.; Ge, X.; Zhang, B.L. Accumulative-Error-Based Event-Triggered Control for Discrete-Time Linear Systems: A Discrete-Time Looped Functional Method. IEEE/CAA J. Autom. Sin. 2025, 12, 683–693. [Google Scholar] [CrossRef]
- Wang, J.; Zhang, H.; Ma, K.; Liu, Z.; Chen, C.L.P. Neural Adaptive Self-Triggered Control for Uncertain Nonlinear Systems with Input Hysteresis. IEEE Trans. Neural Netw. Learn. Syst. 2022, 33, 6206–6214. [Google Scholar] [CrossRef]
- Hu, X.; Li, Y.X.; Hou, Z. Event-Triggered Fuzzy Adaptive Fixed-Time Tracking Control for Nonlinear Systems. IEEE Trans. Cybern. 2022, 52, 7206–7217. [Google Scholar] [CrossRef]
- Tee, K.P.; Ge, S.S.; Li, H.; Ren, B. Control of Nonlinear Systems with Time-Varying Output Constraints. In Proceedings of the IEEE International Conference on Control & Automation, Christchurch, New Zealand, 9–11 December 2009. [Google Scholar]
- Li, Y.X.; Hu, X.; Che, W.; Hou, Z. Event-Based Adaptive Fuzzy Asymptotic Tracking Control of Uncertain Nonlinear Systems. IEEE Trans. Fuzzy Syst. 2021, 29, 3003–3013. [Google Scholar] [CrossRef]
















Disclaimer/Publisher’s Note: The statements, opinions and data contained in all publications are solely those of the individual author(s) and contributor(s) and not of MDPI and/or the editor(s). MDPI and/or the editor(s) disclaim responsibility for any injury to people or property resulting from any ideas, methods, instructions or products referred to in the content. |
© 2025 by the authors. Licensee MDPI, Basel, Switzerland. This article is an open access article distributed under the terms and conditions of the Creative Commons Attribution (CC BY) license (https://creativecommons.org/licenses/by/4.0/).
Share and Cite
Zhang, Y.; Dai, J.; Liu, Z.; Tang, R.; Zheng, G.; Wang, J. Fixed-Time Adaptive Event-Triggered Control for Uncertain Nonlinear Systems Under Full-State Constraints. Actuators 2025, 14, 231. https://doi.org/10.3390/act14050231
Zhang Y, Dai J, Liu Z, Tang R, Zheng G, Wang J. Fixed-Time Adaptive Event-Triggered Control for Uncertain Nonlinear Systems Under Full-State Constraints. Actuators. 2025; 14(5):231. https://doi.org/10.3390/act14050231
Chicago/Turabian StyleZhang, Yue, Jietao Dai, Zhenzhang Liu, Ruizhi Tang, Guoxiong Zheng, and Jianhui Wang. 2025. "Fixed-Time Adaptive Event-Triggered Control for Uncertain Nonlinear Systems Under Full-State Constraints" Actuators 14, no. 5: 231. https://doi.org/10.3390/act14050231
APA StyleZhang, Y., Dai, J., Liu, Z., Tang, R., Zheng, G., & Wang, J. (2025). Fixed-Time Adaptive Event-Triggered Control for Uncertain Nonlinear Systems Under Full-State Constraints. Actuators, 14(5), 231. https://doi.org/10.3390/act14050231

