Event-Triggered Control for Discrete-Time Linear Systems Under Actuator and Sensor Constraints
Abstract
1. Introduction
2. Problem Formulation
3. Main Results
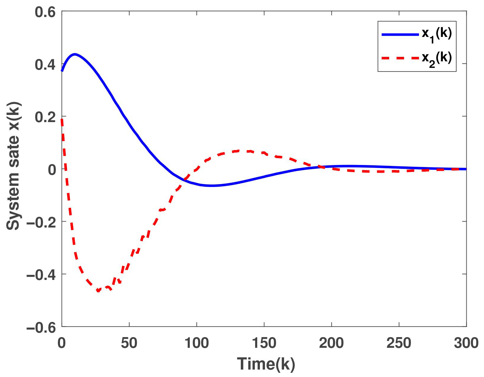
4. Numerical Examples
5. Conclusions
Author Contributions
Funding
Data Availability Statement
Conflicts of Interest
References
- Chen, H.; Zhou, P.; Yang, R.; Chen, Y. Trajectory tracking control by PCH method for AUVs with input saturations. Int. J. Syst. Sci. 2025, 56, 3512–3527. [Google Scholar] [CrossRef]
- Ding, L.; Sun, W. Predefined time fuzzy adaptive control of switched fractional-order nonlinear systems with input saturation. Int. J. Netw. Dyn. Intell. 2023, 2, 100019. [Google Scholar] [CrossRef]
- Jin, X.; Qin, J.; Shi, Y.; Zheng, W.X. Auxiliary fault tolerant control with actuator amplitude saturation and limited rate. IEEE Trans. Syst. Man Cybern. Syst. 2017, 48, 1816–1825. [Google Scholar] [CrossRef]
- Liang, Y.; Xie, M.; Zhang, J.; Ming, Z.; Gao, Z. Integral reinforcement learning-based stochastic guaranteed cost control for time-varying systems with asymmetric saturation actuators. Actuators 2025, 14, 506. [Google Scholar] [CrossRef]
- Zhang, H.; Xiang, Z. Finite-time robust adaptive simultaneous stabilisation of nonlinear time-delay systems with actuator saturation. Int. J. Syst. Sci. 2024, 55, 49–67. [Google Scholar] [CrossRef]
- Tarbouriech, S.; Garcia, G.; Gomes da Silva, J.-M., Jr.; Queinnec, I. Stability and Stabilization of Linear Systems with Saturating Actuators; Springer: London, UK, 2011. [Google Scholar]
- Zhou, B.; Lin, Z.; Duan, G. A parametric Lyapunov equation approach to the design of low gain feedback. IEEE Trans. Autom. Control 2008, 53, 1548–1554. [Google Scholar] [CrossRef]
- Zhou, B. Analysis and design of discrete-time linear systems with nested actuator saturations. Syst. Control Lett. 2013, 62, 871–879. [Google Scholar] [CrossRef]
- Chen, Y.; Wang, Z. Local stabilization for discrete-time systems with distributed state delay and fast-varying input delay under actuator saturations. IEEE Trans. Autom. Control 2021, 66, 1337–1344. [Google Scholar] [CrossRef]
- Chen, Y.; Wang, Z.; Shen, B.; Han, Q.-L. Local stabilization for multiple input-delay systems subject to saturating actuators: The continuous-time case. IEEE Trans. Autom. Control 2022, 67, 3090–3097. [Google Scholar] [CrossRef]
- Bu, X.; Hou, Z.; Yu, Q.; Yang, Y. Quantized data driven iterative learning control for a class of nonlinear systems with sensor saturation. IEEE Trans. Syst. Man Cybern. Syst. 2020, 50, 5119–5129. [Google Scholar] [CrossRef]
- Turner, M.C.; Tarbouriech, S. Anti-windup compensation for systems with sensor saturation: A study of architecture and structure. Int. J. Control 2009, 82, 1253–1266. [Google Scholar] [CrossRef]
- Yang, F.; Li, Y. Set-membership filtering for systems with sensor saturation. Automatica 2009, 45, 1896–1902. [Google Scholar] [CrossRef]
- Garcia, G.; Tarbouriech, S.; Gomes da Silva, J.M., Jr.; Eckhard, D. Finite L2 gain and internal stabilisation of linear systems subject to actuator and sensor saturations. IET Control Theory Appl. 2009, 3, 799–812. [Google Scholar] [CrossRef]
- Wang, Z.; Ho, D.W.C.; Dong, H.; Gao, H. Robust H∞ finite-horizon control for a Class of stochastic nonlinear time-varying systems subject to sensor and actuator saturations. IEEE Trans. Autom. Control. 2010, 55, 1716–1722. [Google Scholar] [CrossRef]
- Hespanha, J.P.; Naghshtabrizi, P.; Xu, Y. A survey of recent results in networked control systems. Proc. IEEE 2007, 95, 138–162. [Google Scholar] [CrossRef]
- Lu, Z.; Guo, G. Control and communication scheduling co-design for networked control systems: A survey. Int. J. Syst. Sci. 2023, 54, 189–203. [Google Scholar] [CrossRef]
- Talebi, S.P.; Werner, S.; Huang, Y.-F.; Gupta, V. Distributed algebraic Riccati equations in multi-agent systems. In Proceedings of the 2022 European Control Conference, London, UK, 12–15 July 2022; pp. 1810–1817. [Google Scholar]
- Chen, Y.; Zhang, K.; Zhao, Y. Synchronization control for delayed neural networks under Round-Robin protocol and input saturations. Neurocomputing 2025, 645, 130474. [Google Scholar] [CrossRef]
- Ding, D.; Wang, Z.; Han, Q.-L.; Wei, G. Neural-network-based output-feedback control under Round-Robin scheduling protocols. IEEE Trans. Cybern. 2019, 49, 2372–2384. [Google Scholar] [CrossRef]
- Jin, F.; Ma, L.; Zhao, C.; Liu, Q. State estimation in networked control systems with a real-time transport protocol. Syst. Sci. Control Eng. 2024, 12, 2347885. [Google Scholar] [CrossRef]
- Li, C.; Liu, Y.; Gao, M.; Sheng, L. Fault-tolerant formation consensus control for time-varying multi-agent systems with stochastic communication protocol. Int. J. Netw. Dyn. Intell. 2024, 3, 100004. [Google Scholar] [CrossRef]
- Wang, W.; Ma, L.; Rui, Q.; Gao, C. A survey on privacy-preserving control and filtering of networked control systems. Int. J. Syst. Sci. 2024, 55, 2269–2288. [Google Scholar] [CrossRef]
- Girard, A. Dynamic triggering mechanisms for event-triggered control. IEEE Trans. Autom. Control 2015, 60, 1992–1997. [Google Scholar] [CrossRef]
- Peng, C.; Li, F. A survey on recent advances in event-triggered communication and control. Inform. Sci. 2018, 457, 113–125. [Google Scholar] [CrossRef]
- Ge, C.; Ma, L.; Xu, S. Distributed fixed-time leader-following consensus for multi-agent systems: An event-triggered mechanism. Actuators 2024, 13, 40. [Google Scholar] [CrossRef]
- Yue, D.; Tian, E.; Han, Q.-L. A delay system method for designing event-triggered controllers of networked control systems. IEEE Trans. Autom. Control 2013, 58, 475–481. [Google Scholar] [CrossRef]
- Dai, D.; Li, J.; Song, Y.; Yang, F. Event-based recursive filtering for nonlinear bias-corrupted systems with amplify-and-forward relays. Syst. Sci. Control Eng. 2024, 12, 2332419. [Google Scholar] [CrossRef]
- Liu, X.; Zeng, P.; Deng, F.; Wu, Z.-H.; Li, M. Event-triggered L2-L∞ control for discrete-time Markov jump systems with DoS attacks and exogenous disturbance. Int. J. Syst. Sci. 2024, 55, 16–32. [Google Scholar] [CrossRef]
- Qian, W.; Wu, Y.; Shen, B. Novel adaptive memory event-triggered-based fuzzy robust control for nonlinear networked systems via the differential evolution algorithm. IEEE/CAA J. Autom. Sin. 2024, 11, 1836–1848. [Google Scholar] [CrossRef]
- Yang, J.; Chen, Y.; Ma, L.; Yang, J. Event-triggered regional stabilization for T-S fuzzy systems subject to communication delays and actuator saturations. J. Franklin. Inst. 2024, 361, 106653. [Google Scholar] [CrossRef]
- Zhang, R.; Liu, H.; Liu, Y.; Tan, H. Dynamic event-triggered state estimation for discrete-time delayed switched neural networks with constrained bit rate. Syst. Sci. Control Eng. 2024, 12, 2334304. [Google Scholar] [CrossRef]
- Chen, Y.; Zhao, Y.; Gu, Z.; Yang, X. Anti-windup design for networked time-delay systems subject to saturating actuators under round-robin protocol. Appl. Math. Comput. 2025, 499, 129413. [Google Scholar] [CrossRef]
- Huang, K.; Pan, F. Fault detection for nonlinear networked control systems with sensor saturation and random faults. IEEE Access 2020, 8, 92541–92551. [Google Scholar] [CrossRef]
- Yang, H.; Xia, Y.; Yuan, H.; Yan, J. Quantized stabilization of networked control systems with actuator saturation. Int. J. Robust Nonlinear Control 2016, 26, 3595–3610. [Google Scholar] [CrossRef]
- Chen, Y.; Liu, H.; Hu, J.; Lin, H. Dynamic event-triggered regional synchronization for discrete-time delayed dynamical networks: Dealing with saturating actuators. Neurocomputing 2025, 653, 131179. [Google Scholar] [CrossRef]
- Liu, D.; Yang, G.-H. Event-triggered non-fragile control for linear systems with actuator saturation and disturbances. Inform. Sci. 2018, 429, 1–11. [Google Scholar] [CrossRef]
- Luo, L.; Chen, Y.; Jia, J.; Zhao, K.; Jia, J. Event-triggered anti-windup strategy for time-delay systems subject to saturating actuators. AIMS Math. 2024, 9, 27721–27738. [Google Scholar] [CrossRef]
- Ma, L.; Wang, Z.; Cai, C.; Alsaadi, F.E. A dynamic event-triggered approach to H∞ control for discrete-time singularly perturbed systems with time-delays and sensor saturations. IEEE Trans. Syst. Man Cybern. Syst. 2020, 51, 6614–6625. [Google Scholar] [CrossRef]
- Moreira, L.G.; Groff, L.B.; Gomes da Silva, J.M., Jr. Event-triggered state-feedback control for continuous-time plants subject to input saturation. J. Control Autom. Elec. Syst. 2016, 27, 473–484. [Google Scholar] [CrossRef]
- Souza, C.D.; Tarbouriech, S.; Leite, V.J.S.; Castelan, E.B. Co-design of an event-triggered dynamic output feedback controller for discrete-time LPV systems with constraints. J. Franklin. Inst. 2022, 359, 697–718. [Google Scholar] [CrossRef]
- Zuo, Z.; Guan, S.; Wang, Y.; Li, H. Dynamic event-triggered and self-triggered control for saturated systems with anti-windup compensation. J. Franklin. Inst. 2017, 354, 7624–7642. [Google Scholar] [CrossRef]
- Li, L.; Zou, W.; Fei, S. Event-based dynamic output-feedback controller design for networked control systems with sensor and actuator saturations. J. Franklin. Inst. 2017, 354, 4331–4352. [Google Scholar] [CrossRef]
- Zhang, J.; Peng, C.; Zheng, M. Improved results for linear discrete-time systems with an interval time-varying input delay. Int. J. Syst. Sci. 2016, 47, 492–499. [Google Scholar] [CrossRef]
- Jin, X.; Lu¨, S.; Yu, J. Adaptive NN-based consensus for a class of nonlinear multi-agent systems with actuator faults and faulty networks. IEEE Trans. Neural Netw. Learn. Syst. 2021, 33, 3474–3486. [Google Scholar] [CrossRef] [PubMed]






| 0.8 | 0.9 | 1.0 | 1.05 | 1.1 | |
|---|---|---|---|---|---|
| Number | 24 | 41 | 44 | 50 | 59 |
| ETR (%) | 15.89 | 27.15 | 29.14 | 33.11 | 39.07 |
Disclaimer/Publisher’s Note: The statements, opinions and data contained in all publications are solely those of the individual author(s) and contributor(s) and not of MDPI and/or the editor(s). MDPI and/or the editor(s) disclaim responsibility for any injury to people or property resulting from any ideas, methods, instructions or products referred to in the content. |
© 2025 by the authors. Licensee MDPI, Basel, Switzerland. This article is an open access article distributed under the terms and conditions of the Creative Commons Attribution (CC BY) license (https://creativecommons.org/licenses/by/4.0/).
Share and Cite
Jia, J.; Chen, Y.; Jia, J.; Luo, L.; Dong, R. Event-Triggered Control for Discrete-Time Linear Systems Under Actuator and Sensor Constraints. Actuators 2025, 14, 605. https://doi.org/10.3390/act14120605
Jia J, Chen Y, Jia J, Luo L, Dong R. Event-Triggered Control for Discrete-Time Linear Systems Under Actuator and Sensor Constraints. Actuators. 2025; 14(12):605. https://doi.org/10.3390/act14120605
Chicago/Turabian StyleJia, Jinze, Yonggang Chen, Jishen Jia, Liping Luo, and Rui Dong. 2025. "Event-Triggered Control for Discrete-Time Linear Systems Under Actuator and Sensor Constraints" Actuators 14, no. 12: 605. https://doi.org/10.3390/act14120605
APA StyleJia, J., Chen, Y., Jia, J., Luo, L., & Dong, R. (2025). Event-Triggered Control for Discrete-Time Linear Systems Under Actuator and Sensor Constraints. Actuators, 14(12), 605. https://doi.org/10.3390/act14120605

