Design and Implementation of Decoupling Controllers for Vertical Suspension System of Magnetic Suspension and Balance System
Abstract
1. Introduction
- (1)
- For the MSBS applied to high-aspect-ratio missile configurations, a six-degree-of-freedom dynamic model is established. Taking the vertical suspension system as an example, linearization-based analysis reveals the inherent translational-rotational coupling mechanism caused by the deviation between electromagnetic force application points and the model’s center of mass.
- (2)
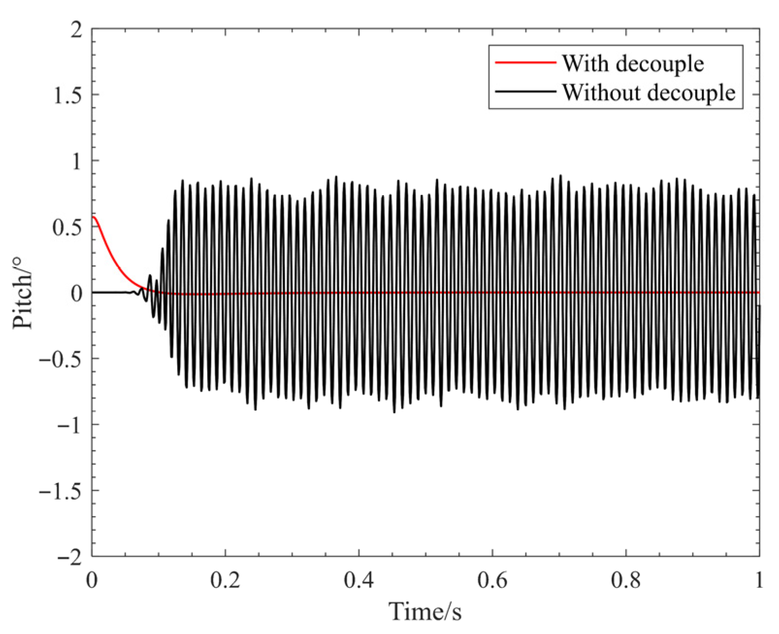
- A model-based feedback decoupling controller is designed and evaluated specifically for the vertical suspension system. Both simulation and experimental results demonstrate that this method exhibits high sensitivity to parameter variations, revealing its fundamental limitation of insufficient robustness in practical MSBS applications.
- (3)
- A decoupling control strategy based on geometric feature transformation is proposed. This method eliminates the dependency on precise system parameters and demonstrates effective decoupling performance through comparative simulations and experimental validation on an actual MSBS.
2. System Modeling and Linearization
2.1. MSBS Description and Six-Degree-of-Freedom Dynamic Equations
2.2. Linearization of Vertical Dynamics Equations
3. Design of the Decoupling Controller for Vertical Suspension System
3.1. Coupling Term Analysis
3.2. Feedback Decoupling Controller Design
3.3. Design of Decoupling Controller Based on Geometric Feature Transformation
4. Simulation and Experimental Validation
4.1. Simulation and Analysis Based on Linear Model
4.2. Simulation and Analysis Based on Nonlinear Model
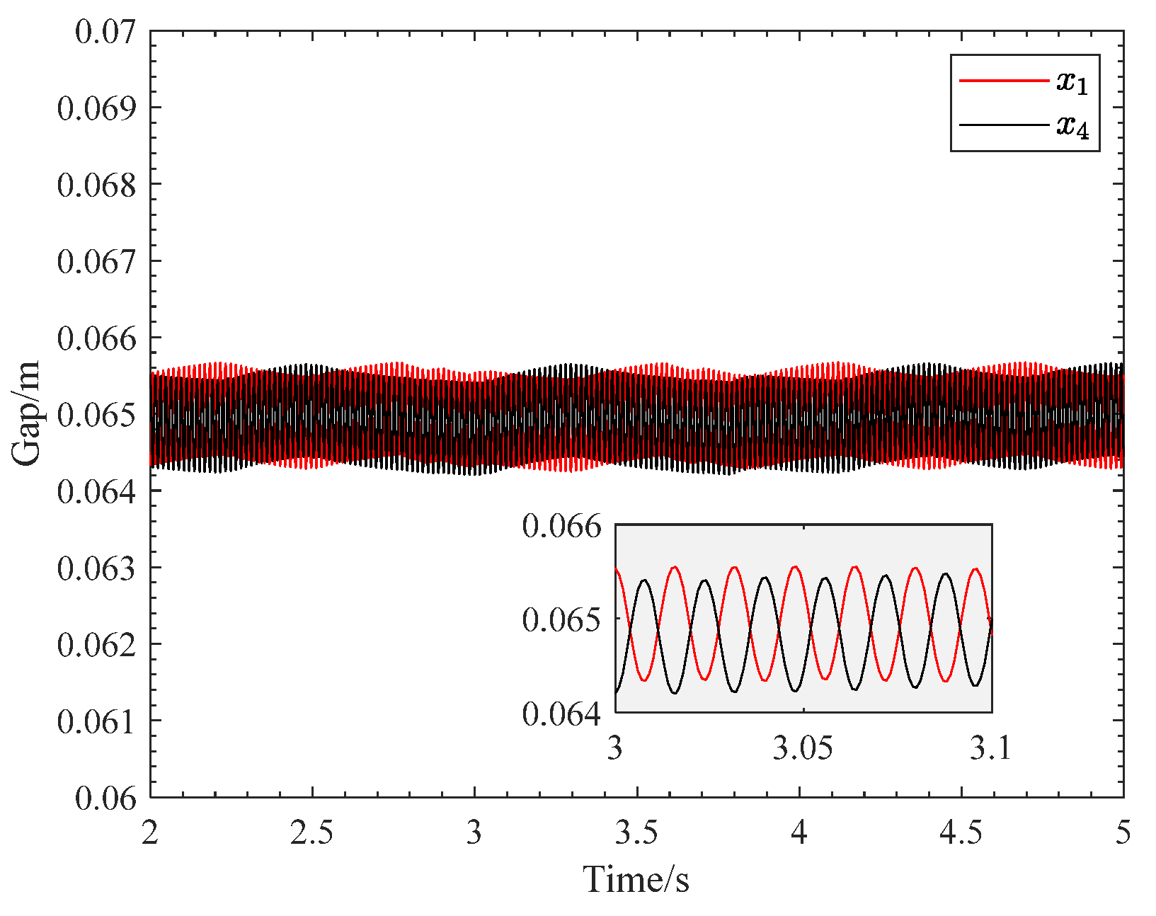
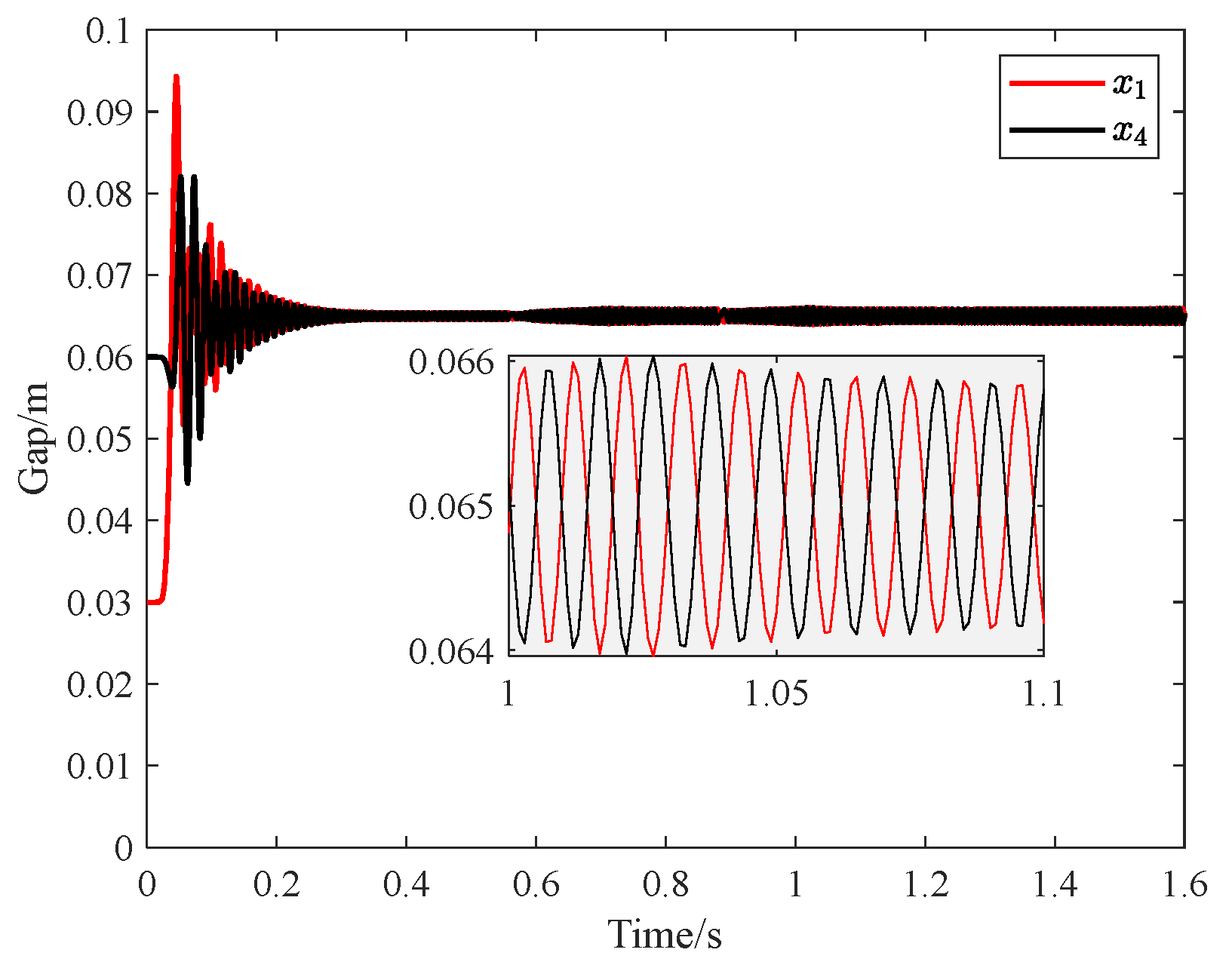
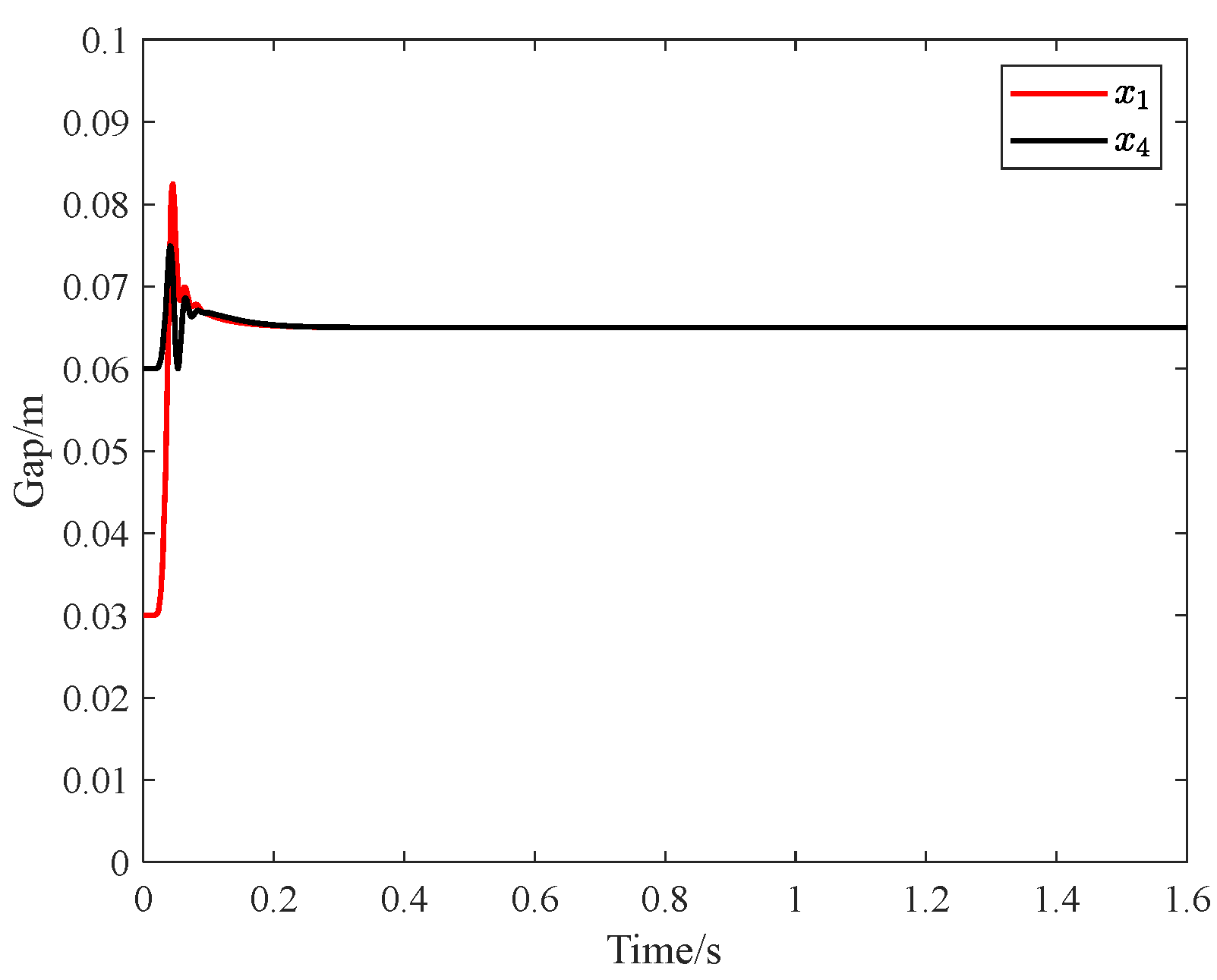
4.3. Experimental Validation and Analysis
5. Conclusions
Author Contributions
Funding
Data Availability Statement
Conflicts of Interest
References
- Liu, Y.; Wang, Y.; Yuan, C.; Luo, C.; Jiang, Z. Aerodynamic force and moment measurement of 10° half-angle cone in JF12 shock tunnel. Chin. J. Aeronaut. 2017, 30, 983–987. [Google Scholar] [CrossRef]
- Oshima, R.; Sawada, H.; Obayashi, S. A development of dynamic wind tunnel test technique by using a magnetic suspension and balance system. In Proceedings of the American Institute of Aeronautics and Astronautics Inc, AIAA, San Diego, CA, USA, 4–8 January 2016; pp. 1541–1555. [Google Scholar]
- Park, K.; Sung, Y.; Han, J. Cable suspension and balance system with low support interference and vibration for effective wind tunnel tests. Int. J. Aeronaut. Space Sci. 2021, 22, 1048–1061. [Google Scholar] [CrossRef]
- Kai, D.; Sugiura, H.; Tezuka, A. Magnetic suspension and balance system for high-subsonic wind tunnel. AIAA J. 2019, 57, 2489–2495. [Google Scholar] [CrossRef]
- Lee, D.K.; Lee, J.S.; Han, J.H.; Kawamura, Y. Dynamic calibration of magnetic suspension and balance system for sting-free measurement in wind tunnel tests. J. Mech. Sci. Technol. 2013, 27, 1963–1970. [Google Scholar] [CrossRef]
- Kobayashi, T.; Seo, K.; Kaneda, S.; Sasaki, K.; Shinji, K.; Oyama, S.; Okuizumi, H.; Konishi, Y.; Hasegawa, H.; Obayashi, S. Measurement of the aerodynamic forces acting on a non-spinning javelin using an MSBS. Proceedings 2020, 49, 144–152. [Google Scholar] [CrossRef]
- Shehata, H.; Cox, D.; Schoenenberger, M.; Britcher, C.P.; Shellabarger, E.; Schott, T.; McGovern, B. The Feasibility of Motion Tracking Camera System for Magnetic Suspension Wind Tunnel Tests. In Proceedings of the AIAA SCITECH 2024 Forum, Orlando, FL, USA, 8–12 January 2024; p. 1918. [Google Scholar]
- Tashiro, K.; Yokota, S.; Zigunov, F.; Ozawa, Y.; Asai, K.; Nonomura, T. Slanted cylinder afterbody aerodynamics measured by 0.3-m magnetic suspension and balance system with six-degrees-of-freedom control. Exp. Fluids 2022, 63, 119. [Google Scholar] [CrossRef]
- Senda, H.; Sawada, H.; Okuizumi, H.; Konishi, Y.; Obayashi, S. Aerodynamic measurements of AGARD-B model at high angles of attack by 1-m magnetic suspension and balance system. In Proceedings of the 2018 AIAA Aerospace Sciences Meeting, Kissimmee, FL, USA, 8–12 January 2018; p. 0302. [Google Scholar]
- Xia, W.; Dou, F.; Long, Z. A disturbance force compensation framework for a magnetic suspension balance system. Actuators 2023, 12, 98. [Google Scholar] [CrossRef]
- Lee, D.K.; Lee, J.S.; Han, J.H.; Kawamura, Y.; Chung, S.J. Development of a simulator of a magnetic suspension and balance system. Int. J. Aeronaut. Space Sci. 2010, 11, 175–183. [Google Scholar] [CrossRef]
- Neill, C.K. Comparison of Support Methods for Static Aerodynamic Testing and Validation of a Magnetic Suspension and Balance System. Master’s Thesis, Old Dominion University, Norfolk, VA, USA, 2019. [Google Scholar]
- Lee, D. Design of robust control system of magnetic suspension and balance system through harmonic excitation simulation. Aerospace 2021, 8, 304–318. [Google Scholar] [CrossRef]
- Sawada, H.; Umezawa, K.; Yokozeki, T.; Watanabe, A. Wind tunnel test of Japanese arrows with the JAXA 60-cm magnetic suspension and balance system. Exp. Fluids. 2012, 53, 451–466. [Google Scholar] [CrossRef]
- Kai, D.; Sugiura, H.; Tezuka, A. Development of magnetic suspension and balance system for high-subsonic wind tunnel. In Proceedings of the 2018 AIAA Aerospace Sciences Meeting, Kissimmee, FL, USA, 8–12 January 2018; pp. 304–317. [Google Scholar]
- Takagi, Y.; Sawada, H.; Obayashi, S. Development of magnetic suspension and balance system for intermittent supersonic wind tunnels. AIAA J. 2016, 54, 1277–1286. [Google Scholar] [CrossRef]
- Wang, H.; Liu, G.; Yin, L.M. Discrete Sliding mode variable structure control of MSBS. Control. Theory Appl. 2004, 23, 13–14. [Google Scholar]
- Xia, W.; Long, Z.; Dou, F. System modeling and control system performance optimization of magnetic suspension and balance system. Int. J. Appl. Electromagn. Mech. 2022, 68, 105–122. [Google Scholar] [CrossRef]
- Britcher, C.; McGovern, B.; Cox, D.; Schoenenberger, M. An investigation of bluff body corrections using the NASA/ODU 6-inch MSBS. In Proceedings of the 19th International Conference on Flow Dynamics (ICFD2022), Sendai, Japan, 9–11 November 2022. [Google Scholar]
- Britcher, C.P.; Cox, D.E. Electromagnetic modeling of wind tunnel magnetic suspension and balance systems. In Proceedings of the AIAA SCITECH 2023 Forum, National Harbor, MD, USA, 23–27 January 2023; p. 1819. [Google Scholar]
- Schoenenberger, M.; Cox, D.; Britcher, C. Forced Displacement Technique for Measuring Blunt Body Aerodynamics in a Magnetic Suspension Wind Tunnel. In Proceedings of the 21st International Conference on Flow Dynamics (ICFD), Sendai, Japan, 18–20 November 2024. [Google Scholar]
- Zhao, Z.; Xu, Y.; Wen, G. Gradient-based performance optimization for flight control system with real-time data. IEEE Trans. Syst. Man Cybern. Syst. 2025, 55, 2537–2545. [Google Scholar] [CrossRef]
- Shinji, K.; Nagaike, H.; Nonomura, T.; Asai, K.; Okuizumi, H.; Konishi, Y.; Sawada, H. Aerodynamic characteristics of low-fineness-ratio freestream-aligned cylinders with magnetic suspension and balance system. AIAA J. 2020, 58, 3711–3714. [Google Scholar] [CrossRef]
- Sung, Y.H.; Lee, D.K.; Han, J.S.; Kim, H.Y.; Han, J.H. MSBS-SPR integrated system allowing wider controllable range for effective wind tunnel test. Int. J. Aeronaut. Space Sci. 2017, 18, 414–424. [Google Scholar] [CrossRef]
- Nonomura, T.; Sato, K.; Fukata, K.; Nagaike, H.; Okuizumi, H.; Konishi, Y.; Asai, K.; Sawada, H. Effect of fineness ratios of 0.75–2.0 on aerodynamic drag of freestream-aligned circular cylinders measured using a magnetic suspension and balance system. Exp. Fluids 2018, 59, 77. [Google Scholar] [CrossRef]
- Guo, S.; Bai, C. Coupling effect of unbalanced magnetic pull and ball bearing on nonlinear vibration of motor rotor system. J. Vib. Control 2022, 28, 665–676. [Google Scholar] [CrossRef]
- Xia, W.; Zeng, J.; Dou, F.; Long, Z. Method of combining theoretical calculation with numerical simulation for analyzing effects of parameters on the maglev vehicle-bridge system. IEEE Trans. Veh. Technol. 2021, 70, 2250–2257. [Google Scholar] [CrossRef]
- Pan, C.; Wang, C.; Liu, Z.; Chen, X. Winding vibration analysis of unbalanced transformer based on electromagnetic-mechanical coupling. Int. J. Electr. Power Energy Syst. 2022, 134, 107459. [Google Scholar] [CrossRef]
- Zou, Y.; Zhu, J.; Liu, Y. State-feedback controller design for disturbance decoupling of Boolean control networks. IET Control Theory Appl. 2017, 11, 3233–3239. [Google Scholar] [CrossRef]
- Yin, Z.; Cai, Y.; Ren, Y.; Wang, W.; Chen, X.; Yu, C. Decoupled active disturbance rejection control method for magnetically suspended rotor based on state feedback. J. Beijing Univ. Aeronaut. Astronaut. 2021, 48, 1210–1221. [Google Scholar]
- Xu, Y.; Zhao, Z.; Yin, S.; Long, Z. Real-time performance optimization of electromagnetic levitation systems and the experimental validation. IEEE Trans. Ind. Electron. 2022, 70, 3035–3044. [Google Scholar] [CrossRef]
- Xu, Y.; Zhao, Z.; Yin, S. Performance optimization and fault-tolerance of highly dynamic systems via Q-learning with an incrementally attached controller gain system. IEEE Trans. Neural Netw. Learn. Syst. 2022, 34, 9128–9138. [Google Scholar] [CrossRef] [PubMed]













| Form of Resultant Force | Current Combination | Form of Resultant Force | Current Combination |
|---|---|---|---|
| Axial force | Pitching moment | ||
| Vertical force | Yawing moment | ||
| Lateral force | Rolling moment |
| Indicator | Steady-State Error | Peak Value | Vibration Frequency |
|---|---|---|---|
| Without Decoupling | 0.001033 | 0.0943 | 200 Hz |
| Feedback Decoupling | 0 | 0.0824 | 0 Hz |
| Indicator | Steady-State Error | Peak Value | Vibration Frequency |
|---|---|---|---|
| Without Decoupling | 0.001016 | 0.0820 | 200 Hz |
| Feedback Decoupling | 0 | 0.0749 | 0 Hz |
Disclaimer/Publisher’s Note: The statements, opinions and data contained in all publications are solely those of the individual author(s) and contributor(s) and not of MDPI and/or the editor(s). MDPI and/or the editor(s) disclaim responsibility for any injury to people or property resulting from any ideas, methods, instructions or products referred to in the content. |
© 2025 by the authors. Licensee MDPI, Basel, Switzerland. This article is an open access article distributed under the terms and conditions of the Creative Commons Attribution (CC BY) license (https://creativecommons.org/licenses/by/4.0/).
Share and Cite
Zhou, X.; Xia, W.; Dou, F.; Long, Z. Design and Implementation of Decoupling Controllers for Vertical Suspension System of Magnetic Suspension and Balance System. Actuators 2025, 14, 501. https://doi.org/10.3390/act14100501
Zhou X, Xia W, Dou F, Long Z. Design and Implementation of Decoupling Controllers for Vertical Suspension System of Magnetic Suspension and Balance System. Actuators. 2025; 14(10):501. https://doi.org/10.3390/act14100501
Chicago/Turabian StyleZhou, Xu, Wentao Xia, Fengshan Dou, and Zhiqiang Long. 2025. "Design and Implementation of Decoupling Controllers for Vertical Suspension System of Magnetic Suspension and Balance System" Actuators 14, no. 10: 501. https://doi.org/10.3390/act14100501
APA StyleZhou, X., Xia, W., Dou, F., & Long, Z. (2025). Design and Implementation of Decoupling Controllers for Vertical Suspension System of Magnetic Suspension and Balance System. Actuators, 14(10), 501. https://doi.org/10.3390/act14100501

