Abstract
Although electro-hydrostatic actuators (EHAs) hold broad application prospects in more-electric aircraft and high-end equipment, they face a difficult trade-off between dynamic response and energy efficiency. To simultaneously enhance the dynamic response and energy efficiency of the EHA, this paper designs an innovative variable pump displacement and variable motor speed (VPVM) configuration that utilizes an electro-hydraulic servo valve for active displacement control. To address the flow mismatch problem associated with traditional asymmetric single-rod cylinders without reducing the power density of EHA, this paper also designs an innovative symmetric single-rod cylinder configuration. Based on the above two innovative configurations, this paper further develops a corresponding EHA prototype with a rated power density of 0.72 kW/kg. Simulation and experimental results demonstrate that compared to the traditional EHA with the fixed pump displacement and variable motor speed configuration (FPVM-EHA), the EHA with the proposed VPVM configuration (VPVM-EHA) not only improves energy efficiency and reduces motor heat generation under low-speed and heavy-load conditions, but also achieves a dynamic response close to that of the FPVM-EHA under fast dynamic response conditions.
1. Introduction
Electro-hydrostatic actuators (EHAs) are partially enclosed hydraulic systems that integrate components such as the motor, pump, tank, valve block, and cylinder [,], with the advantages of high power density, high efficiency, and easy maintenance. EHAs have broad application prospects in high-end equipment [,,]. According to the different control variables, EHA configurations can be divided into three types: fixed pump displacement and variable motor speed (FPVM) [], variable pump displacement and fixed motor speed (VPFM) [], and variable pump displacement and variable motor speed (VPVM) []. Due to the advantages of simple structure and high reliability of FPVM configuration, most EHAs currently adopt this configuration [,]. However, EHAs with FPVM configurations (referred to as FPVM-EHA) are prone to motor overheating under low-speed and heavy-load conditions, which not only reduces energy efficiency but also shortens service life []. Some studies have also reported that under certain operating conditions, FPVM-EHAs generate less heat than EHAs with VPFM configuration (VPFM-EHAs) [], which highlights the importance of selecting the configuration according to the application scenario.
One of the current challenges in the development of EHAs is the trade-off between high dynamic response and high energy efficiency, that is, improving dynamic response often comes at the expense of energy efficiency, and vice versa [,]. To simultaneously improve dynamic response and energy efficiency, researchers have proposed the VPVM configuration that can control both motor speed and pump displacement. By providing more control variables, the VPVM configuration has opened up new opportunities for improving the performance of EHAs []. However, the adoption of VPVM configuration in EHAs will lead to increased system complexity and reduced reliability, which is an unavoidable disadvantage of the VPVM configuration and should be considered when designing EHAs with VPVM configuration (VPVM-EHAs). Jiao et al. [] proposed a load-sensitive VPVM configuration that directly feeds load pressure back to the variable displacement mechanism. When the load pressure increases, both the pump displacement and motor current decrease, thereby reducing motor heating and improving energy efficiency. However, this configuration will also reduce the stiffness of the EHA when reducing the pump displacement, resulting in a decrease in dynamic response []. Yang et al. [] proposed an active load-sensitive VPVM configuration that adds a proportional pressure reducing valve between the load pressure and the variable displacement mechanism. This configuration can actively control the pump displacement and balance the dynamic response and energy efficiency of the EHA. However, due to the large size and leakage of the proportional pressure reducing valve, this configuration increases the mass and power loss of the EHA []. In summary, the dynamic response of the existing VPVM-EHAs is far inferior to that of the traditional FPVM-EHA, which seriously limits the promotion and application of VPVM-EHAs in high-end equipment.
In aviation and aerospace applications, most EHAs in service use symmetrical double-rod cylinders []. Compared to dual-rod cylinders, single-rod cylinders offer significant advantages in increasing power density [] and hold great promise for application in aviation and aerospace fields, which have extremely stringent requirements on EHA power density. However, the unequal effective working area of the rod and rodless chambers in traditional single-rod cylinders leads to the flow mismatch []. To solve the flow mismatch problem, some studies have designed asymmetric three-port pumps to match asymmetric single-rod cylinders []. However, this solution will increase flow pulsation, noise, and vibration. Some studies have solved the flow mismatch problem by adding a flow compensation valve [] or an additional pump []. However, these solutions will increase the system complexity of EHAs and reduce reliability [,,]. In summary, while existing solutions solve the flow mismatch problem caused by asymmetric single-rod cylinders, they also bring new problems.
This paper designs an innovative VPVM configuration for EHAs by using an electro-hydraulic servo valve (EHSV) for active pump displacement control. This paper also designs an innovative symmetrical single-rod cylinder configuration. By optimizing the internal structure, the effective working areas of the rod and rodless chambers are equal, thus achieving flow matching. Furthermore, this paper develops a high-power density VPVM-EHA prototype employing two innovative configurations. Both simulation and experimental results demonstrate that compared with the traditional FPVM configuration, the proposed VPVM configuration not only significantly improves the energy efficiency of the EHA under low-speed and heavy-load conditions, but also achieves dynamic response performance close to that of the FPVM configuration under rapid response conditions. Furthermore, while maintaining the advantages of high power density, the symmetrical single-rod cylinder perfectly solves the flow mismatch problem of traditional asymmetric single-rod cylinders (without causing new problems), helping the VPVM-EHA prototype achieve a power density of 0.72 kW/kg.
The remainder of this paper is organized as follows. Section 2 introduces the innovative configuration and prototype development of the VPVM-EHA. In Section 3, the mechanism model of VPVM-EHA is established, and simulation analysis of dynamic response is performed. Section 4 conducts experimental comparative tests for the dynamic response and energy efficiency of VPVM-EHA. Conclusions are provided in Section 5.
2. Design and Development
2.1. Configuration Design
As shown in Figure 1, the VPVM-EHA consists of five components, namely a five-phase permanent magnet synchronous motor (F-PMSM), a variable displacement piston pump, an accumulator, a symmetrical single-rod cylinder, and a valve block. When the VPVM-EHA is in operation, the electrical energy is first converted into rotational mechanical energy through the F-PMSM. Then, the F-PMSM drives the piston pump to rotate through the main shaft, converting the rotational mechanical energy into hydraulic energy. Finally, the cylinder converts the hydraulic energy into linear mechanical energy through the pressure difference between two working chambers to drive the piston rod to move []. Compared with the traditional FPVM configuration that requires an additional oil source, the VPVM configuration proposed in this paper realizes the variable displacement function by adding an EHSV between the drain port and the cylinder for displacement control. The innovations of the proposed VPVM configuration are: (1) EHSV is introduced into EHA for the first time to realize active displacement control, which is different from traditional fixed displacement or load-sensitive passive displacement control. (2) The external hydraulic source that the existing VPVM configurations rely on is eliminated, and the displacement control is completed based on the pressure of EHA, thereby improving the power density of the EHA and providing a new and efficient displacement control path.

Figure 1.
Components of VPVM-EHA.
Furthermore, the symmetrical single-rod cylinder configuration perfectly solves the flow mismatch problem caused by traditional asymmetric single-rod cylinder without reducing the power density of VPVM-EHA or causing new problems. As shown in Figure 2, when the F-PMSM rotates forward, port B of the piston pump is connects to port b of the cylinder, driving the piston rod to extend. When the F-PMSM rotates backward, port A of the piston pump connects to port a of the cylinder, driving the piston rod to retract. Under highly dynamic operating conditions, the proposed VPVM configuration can actively increase the displacement to achieve a high dynamic response comparable to that of the traditional FPVM configurations. Under low-speed and heavy-load conditions, the proposed VPVM configuration can actively reduce displacement to achieve a high energy efficiency comparable to that of the existing VPVM configurations. The rotational speed of F-PMSM and the displacement of piston pump jointly control the movement velocity of piston rod.

Figure 2.
The operating principle of VPVM-EHA. (a) F-PMSM rotates forward. (b) F-PMSM rotates backward.
2.2. Prototype Development
2.2.1. Prototype Parameters
According to the design objectives of the VPVM-EHA prototype, the technical parameters are set, as shown in Table 1. It is worth noting that the purpose of developing the VPVM-EHA prototype in this paper is solely to validate the effectiveness of the proposed innovative configurations. Rather than using a strict forward-thinking approach, the VPVM-EHA prototype is developed by integrating existing components in the authors’ lab, such as the motor, pump, and valve, while ensuring that all the target functions and performance of the VPVM-EHA are achieved. Therefore, before developing the VPVM-EHA prototype, this paper did not establish detailed calculation models for the technical parameters of key components. Instead, this paper directly referred to calculation models in the existing studies [] and performed a simple calculation of the technical parameters of key components.

Table 1.
Technical parameters setting of VPVM-EHA prototype.
2.2.2. Components Selection
In the aviation and aerospace fields, most in-service EHAs use three-phase motors [,]. However, compared with three-phase motors, five-phase motors have excellent fault tolerance and lower output torque ripple [,], which has significant advantages in improving the reliability of EHA and has good application prospects in the aviation and aerospace fields where reliability requirements are extremely stringent []. This paper selects an oil-cooled F-PMSM prototype with a two-pole and twenty-slot structure, as shown in Figure 3. This F-PMSM prototype is designed and developed by the authors’ laboratory. The F-PMSM prototype with a weight of 6.76 kg, a maximum current of 150 A, a rated voltage of 270 V DC, a maximum current of 150 A, a rated power of 10.22 kW, and a maximum rotational speed of 12,011 rpm. The above technical parameters are actual test results from professional institutions.

Figure 3.
The selected F-PMSM prototype.
This paper selects an axial piston pump prototype with nine pistons. The F-PMSM prototype with a maximum flow of 24 L/min, a maximum pressure of 28 MPa, and a variable displacement range of 0~2 mL/rev. In this paper, an EHSV is added between the cylinder for displacement control and the drain port of piston pump to realize active displacement control. The manufacturer of the selected EHSV is Zhejiang Hanqin Technology Co., Ltd., (Hangzhou, China) and the model is CSDX3-2A. For the selected EHSV, the weight is 176 g, the maximum operating pressure is 40 MPa, the response time is 40 ms (when the valve receives an input signal, it takes about 40 ms to complete the action and stabilize the output), the output pressure range is 0~40 MPa, and the maximum control current is 40 mA. Since the actuation frequency of the VPVM-EHA prototype is much lower than the bandwidth of the EHSV and the response time of the EHSV is fast enough (only 40 ms), the EHSV has little impact on the system dynamic response of the VPVM-EHA and can meet the dynamic response requirements of the system.
As shown in Figure 4, by adjusting the control current of the EHSV, the pressure difference between the two working chambers of the cylinder for displacement control can be adjusted, thereby adjusting the deflection angle of the swash plate by extending or retracting the piston rod, and finally achieving the goal of adjusting the displacement of the piston pump. The damper connected to the spring provides restoring force and stable support for the swash plate, ensuring that the swash plate can return to the default angle when the hydraulic control force disappears or reaches equilibrium, thereby guaranteeing the safety and stability of the piston pump. To improve the reliability of the variable displacement mechanism as much as possible, the swash plate angle sensor is not installed on the piston pump. This paper directly sets the displacement of the piston pump to be positively correlated with the control current of the EHSV, that is, the larger the control current, the larger the pump displacement [].

Figure 4.
The structure of variable displacement mechanism. is the system pressure, is the accumulator pressure (low-pressure port connected directly to the accumulator), is the control current, and is the output pressure.
In addition, to further improve the reliability of the VPVM-EHA prototype, this paper eliminats the traditional shaft-end seal between the F-PMSM and the piston pump through optimized design, which not only reduced friction and power loss but also simplified the system structure [].
Based on the symmetrical single-rod cylinder configuration proposed in Section 2.1, this paper further developed a symmetrical single-rod cylinder prototype, as shown in Figure 5. This cylinder adopts a coaxial dual-chamber structure with equal effective working areas (Area I = Area II in Figure 5), ensuring symmetrical oil flow during piston rod extension and retraction []. A displacement sensor (the manufacturer is Qijian and the model is AC-50-AS) is installed within the cylinder to monitor the position of piston rod in real time. The cylinder has three oil ports, namely port a, port b, and port T. When oil enters port a, the piston rod extends. When oil enters port b, the piston rod retracts. Port T is connected to the air chamber to compensate for the volume difference between the inlet and outlet oil, thus preventing pressure fluctuations within the cylinder.

Figure 5.
Structure of symmetrical single-rod cylinder.
By integrating the above selected/designed F-PMSM prototype, axial piston pump prototype with variable displacement function, and symmetrical single-rod cylinder prototype, as well as the high-pressure accumulator and valve block, this paper develops a VPVM-EHA prototype, as shown in Figure 6. The VPVM-EHA prototype with a power density of 0.72 kW/kg.

Figure 6.
VPVM-EHA prototype. (a) 3D model. (b) Real prototype.
3. Dynamic Modeling and Simulation
3.1. Dynamic Model
To preliminarily analyze the improvement in dynamic performance achieved by the VPVM configuration and design a controller to conduct functional and performance experiments of the VPVM-EHA prototype, a simple dynamic model of VPVM-EHA is established.
3.1.1. F-PMSM Model
The voltage model of F-PMSM is established as []
where and are the armature voltage and current, respectively. is the resistance, is the inductance, is the angular speed, is the back electromotive force (EMF) coefficient, is the number of pole pairs, is the total number of conductors, is the magnetic flux, and is the number of branch pairs.
The torque model of F-PMSM is established under the assumption that cogging torque, iron losses, and mechanical friction are neglected. The electromagnetic torque can be calculated as []
where is the electromagnetic torque, and are the damping factor and moment of the motor-pump group inertia, respectively. and are mainly determined by the mass of permanent magnet rotors in F-PMSM, as well as the mass and number of pistons in the piston pump. is the load torque and is the torque coefficient.
The relationship between , and in the Laplace domain can be obtained by combining Equations (1) and (2), as follows
where is the natural frequency of F-PMSM and is the relative damping ratio of F-PMSM.
3.1.2. Piston Pump Model
The flow continuity equation of piston pump is established as []
where and are the flow rates of ports A and B, respectively. is the pump displacement, and are the pressures of ports A and B, respectively. and are the initial volumes of chambers connected to ports A and B, respectively. and are the internal leakage coefficient and the external leakage coefficient, respectively. is the effective bulk elastic modulus.
The flow equation of variable displacement mechanism can be established as
where is the flow rate of EHSV, is the discharge coefficient, is the orifice width, is the valve core displacement, is the oil density, is the orifice pressure drop.
When is small and the pressure difference is approximately constant, Equation (5) can be linearized as
where is the flow gain, is the flow-pressure coefficient. In the cylinder for displacement control, is the effective area of working chamber, is the piston rod velocity, and are the internal and external leakage coefficients, respectively. is the EHSV output pressure and is the initial volume of working chamber.
Balance equations of the cylinder for displacement control and load forces can be established under the assumption of pure viscous friction, as follows
where is the load mass, is the rod acceleration, is the friction coefficient, and is the external load force.
Since the initial displacement of the piston pump is the maximum displacement, the relationship between , and in the Laplace domain can be obtained by combining Equations (4)–(7), as follows
where , is the control current of EHSV, is the current gain, and is the maximum displacement of piston pump. is the natural frequency of the variable displacement mechanism and is the relative damping ratio of the variable displacement mechanism.
3.1.3. Cylinder Model
Based on the assumption of laminar flow, the nonlinear orifice equation can be linearized []. When the piston rod extends, the flow rates of the inlet chamber and the outlet chamber are
where is the rod velocity, and are the internal leakage coefficient and external leakage coefficient, respectively. and are the pressure of two working chambers, is the initial volume of the working chamber, and is the effective area of the working chamber.
When the piston rod retracts, the flow rates of the inlet chamber and the outlet chamber are
The force balance equation of the symmetrical single-rod cylinder can be established under the assumption of pure viscous friction, as follows
where is the output force, is the external load mass, is the rod acceleration, is the friction coefficient, and is the external load.
By combining Equations (4), (9) and (10), ignoring external leakage and pump oil volume deformation, the relationship between and in the Laplace domain is obtained as
The natural frequency of the symmetrical single-rod cylinder is
The relative damping ratio is
3.1.4. VPVM-EHA Model
Based on the dynamic models of key components established above, the relationship between , , and in the Laplace domain can be established as
The block diagram of the EHA system in the Laplace domain is shown in Figure 7, and the model parameter settings are shown in Table 2. Furthermore, the Bode diagram of VPVM-EHA can be plotted with the highest frequency of 10.75 Hz, as shown in Figure 8.

Figure 7.
Block diagram of the EHA system in the Laplace domain.

Table 2.
Parameter settings for the dynamic model of VPVM-EHA.

Figure 8.
Bode diagram of VPVM-EHA.
3.2. Controller Design
Figure 9 shows the block diagram of the VPVM-EHA controller. The VPVM-EHA is a dual-input and single-output system. The controller consists of three closed-loop control loops, namely the positional control loop, speed control loop and the displacement control loop. For the displacement control loop, under highly dynamic operating conditions, the controller actively increases the displacement to improve the dynamic response of VPVM-EHA. Under low-speed and heavy-load conditions, the controller actively reduces the displacement to reduce motor current, thereby improving the energy efficiency of VPVM-EHA. For the speed control loop, the controller dynamically adjusts the rotational speed of F-PMSM based on the load demand, thereby matching the flow rate and output power requirements. Both control loops utilize optimized PID controllers, with parameter settings shown in Table 3. It should be noted that the dynamic model established in this paper is solely for the purpose of developing a simple PID control method for functional and performance experiments on the VPVM-EHA prototype. Therefore, to reduce the complexity of modeling and controller design, some nonlinear models are significantly simplified and linearized, and nonlinear factors such as the oil elastic modulus, friction, leakage, and moment of inertia are ignored.

Figure 9.
Block diagram of VPVM-EHA controller.

Table 3.
Parameter settings of controller.
3.3. Dynamic Performance
In this paper, a step displacement condition with a displacement amplitude of 10 mm and a constant load of 40 kN is designed to analyze the dynamic response performance of the proposed VPVM configuration compared to the traditional FPVM configuration. The FPVM configuration is implemented by setting the displacement of the VPVM-EHA to a constant value of 2 mL/rev.
Simulation results for this condition are shown in Figure 10. The step rise time of the FPVM configuration is 0.08 s, while that of the VPVM configuration is 0.09 s. The VPVM configuration maintains a low pump displacement before the step displacement command (at 0.3 s) to achieve higher energy efficiency. Once the step displacement occurs, the pump displacement increases rapidly, thereby improving the dynamic response. The difference of 0.01 s in rise time between the VPVM and FPVM configurations corresponds to the response delay of the cylinder for displacement control. The changes in pump displacement is shown in Figure 11.

Figure 10.
Simulation results under the step displacement condition.

Figure 11.
The changes in pump displacement under the step displacement condition.
In addition, the motor speed and motor current of the VPVM configuration are shown in Figure 12 and Figure 13. It can be observed that the motor speed rises sharply at 0.3 s, reaching nearly 12,000 rpm, which is the maximum allowable speed and thus approaching saturation. Similarly, the motor current increases similar to the motor speed, reaching the maximum allowable value of 150 A, also approaching saturation.

Figure 12.
The changes in motor speed of VPVM configuration under the step displacement condition.

Figure 13.
The changes in motor current of VPVM configuration under the step displacement condition.
The above simulation results show that under the step displacement condition, the VPVM configuration not only achieves dynamic response performance comparable to that of the FPVM configuration, but can also operates close to the physical saturation boundaries of the F-PMSM.
4. Results and Discussions
4.1. Experiment Setup
The EHA experimental platform consists of the EHA system, the real-time simulation system, and the drive system, as shown in Figure 14. The EHA system consists of the VPVM-EHA and the loading system. The loading system uses a valve-controlled cylinder to apply external loading force to the VPVM-EHA.

Figure 14.
VPVM-EHA experimental platform. (a) Block diagram; (b) Real platform.
The symmetrical single-rod cylinder uses a built-in LVDT displacement sensor from Qijian, Nanjing, China (model AC-50-AS). The angle sensor of F-PMSM is from Tamagawa, Shanghai, China (model TS2620N21E11), and the current sensor of F-PMSM is from LEM, Shanghai, China (model CASR-50). All sensor data is pre-processed using a low-pass filter with a passband frequency range of 0.002~0.005 Hz. The EHSV is powered by a 24 V DC power supply (the manufacturer is IVYTECH, Dongwan, China and the model is IV3033D).
The real-time simulation system uses Dspace to run the MATLAB 2022 program, collects the cylinder position, motor speed, and motor current signals as inputs (the sampling time is 0.125 ms), and outputs the motor speed and pump displacement control signals. The drive system uses an IGBT motor driver with an input voltage of 270 V DC.
The experimental platform operates as follows: First, the MATLAB control program on the host computer is compiled to the real-time simulation system. The real-time simulation system then outputs the motor speed and pump displacement control signals to the drive system. After that, the drive system outputs the control currents of F-PMSM and EHSV, and the VPVM-EHA begins operation. During the operation of VPVM-EHA, the real-time simulation system collects the cylinder position and motor current signals and inputs them into the MATLAB control program. The MATLAB control program outputs the motor speed and pump displacement control signals, which are then transmits to the drive system. The drive system outputs the control currents of F-PMSM and EHSV. Both F-PMSM and EHSV use PID controllers.
4.2. Experiment Design
To better highlight the performance of the proposed VPVM configuration, a fair comparison is conducted with the traditional FPVM configuration. The pump displacement of FPVM configuration is set to the maximum displacement of 2 mL/rev.
A sinusoidal displacement condition with a displacement amplitude of 45 mm, a sinusoidal frequency of 0.1 Hz, and a constant load of 100 kN is designed. This condition is a typical low-speed and heavy-load condition, and is utilized to analyze the energy efficiency improvement of the proposed VPVM configuration compared with the traditional FPVM configuration. The step displacement condition utilized to verify the dynamic response is exactly the same as the simulation condition designed in Section 3.3. This condition is utilized to verify the dynamic response performance of the proposed VPVM configuration compared to that of the traditional FPVM configuration. The sinusoidal displacement condition is referred to as C1 and the step displacement condition is referred to as C2.
4.3. Experimental Results
In this paper, the trajectory tracking error and the maximum absolute percentage error (MAPE) is also used to characterize the control performance.
Figure 15 shows the comparative experimental results under C1. Figure 15a,b show that both VPVM-EHA and FPVM-EHA track the reference trajectory well, with the VPVM-EHA achieving higher position control accuracy. As shown in Figure 15d, the MAPEs of VPVM-EHA and FPVM-EHA are 0.61% and 0.87%, respectively. Figure 15c shows the motor heating results under C1. The copper loss heat generation of VPVM-EHA and FPVM-EHA are 4.23× 104 J and 9.19× 104 J, respectively. The heat generated by VPVM-EHA is only 46.03% of that of FPVM-EHA.

Figure 15.
Comparative experimental results under C1. (a) Trajectory tracking results. (b) Trajectory tracking errors. (c) Copper loss heat generation. (d) MAPEs.
Figure 16 shows the changes in pump displacement of VPVM-EHA and FPVM-EHA under C1. It can be found that the VPVM-EHA can reduce motor heat generation and improve overall energy efficiency by actively reducing pump displacement.

Figure 16.
Changes in pump displacement of VPVM-EHA and FPVM-EHA under C1.
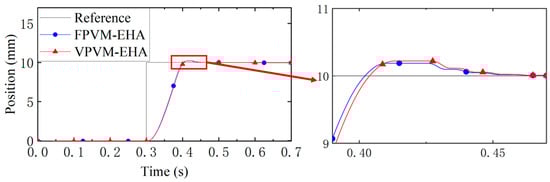
Figure 17 and Figure 18 show the experimental results under C2. As shown in Figure 17a, the step rise times of the VPVM-EHA and FPVM-EHA are 0.09 s and 0.08 s, respectively. highly consistent with the simulation results. The experimental results in Figure 17a are highly consistent with the simulation results in Figure 10, verifying the accuracy of the VPVM-EHA model. In Figure 17c, the copper loss heat generation of the VPVM-EHA and FPVM-EHA are 790 J and 930 J, respectively, and the heat generation of the VPVM-EHA is only 84.9% of that of the FPVM-EHA. In Figure 17d, the MAPEs of the VPVM-EHA and FPVM-EHA are 1.1% and 3.4%, respectively, further highlighting the improved control performance of the VPVM-EHA. The results in Figure 17 demonstrate that the VPVM-EHA effectively reduces motor heat generation while maintaining a dynamic response similar to that of the FPVM-EHA.

Figure 17.
Comparative experimental results under C2. (a) Trajectory tracking results. (b) Trajectory tracking errors. (c) Copper loss heat generation. (d) MAPEs.

Figure 18.
Changes in pump displacement of VPVM-EHA and FPVM-EHA under C2.
Figure 18 shows the changes in pump displacement of VPVM-EHA and FPVM-EHA under C2. It can be found that the VPVM-EHA actively increases pump displacement during the step process to improve dynamic response, and reduces pump displacement after the step to improve energy efficiency.
Furthermore, the experimental results fully demonstrate that the proposed symmetric single-rod cylinder configuration can perfectly solve the flow mismatch problem caused by traditional asymmetric single-rod cylinders without reducing the power density of the VPVM-EHA or causing new problems.
5. Conclusions
To meet the demand for improving the power density, energy efficiency, and dynamic response of EHAs, this paper first proposes an innovative VPVM configuration and a symmetrical single-rod cylinder configuration. Then, a corresponding VPVM-EHA prototype is developed, achieving a power density of up to 0.72 kW/kg. Next, a simple dynamic model is established to conduct preliminary simulation analysis for the dynamic response of the VPVM configuration and design a controller for the VPVM-EHA. The results demonstrate that the VPVM configuration achieves dynamic response performance very close to that of the FPVM configuration and higher control accuracy, while significantly improving energy efficiency by actively controlling the pump displacement. The dynamic response simulation results are highly consistent with the experimental results, verifying the accuracy of the dynamic model. Furthermore, the experimental results fully demonstrate that the proposed symmetric single-rod cylinder configuration can perfectly solve the flow mismatch problem caused by traditional asymmetric single-rod cylinders without reducing the power density of the VPVM-EHA or causing new problems. The results of this paper can be utilized to improve the power density, dynamic response, and energy efficiency of EHAs. In future work, based on the VPVM-EHA prototype, the authors will consider various nonlinear factors to develop a more refined model and design a controller with improved performance by considering various uncertain parameters and disturbances.
Author Contributions
Conceptualization, Z.L. and F.Z.; methodology, H.L.; software, B.Y.; validation, X.O., Z.L. and H.L.; formal analysis, Z.L.; investigation, F.Z.; resources, F.Z.; data curation, B.Y.; writing—original draft preparation, Z.L.; writing—review and editing, F.Z.; visualization, X.O.; supervision, Z.L.; project administration, Z.L.; funding acquisition, F.Z. All authors have read and agreed to the published version of the manuscript.
Funding
This research was funded by the National Natural Science Foundation of China (Grant Nos. 52405077 and U2141209) and the Aeronautical Science Foundation of China (Grant Nos. 20240028076003 and 20182876003).
Data Availability Statement
The data presented in this study are available on request from the corresponding author.
Conflicts of Interest
The authors declare no conflicts of interest. The funders had no role in the design of the study; in the collection, analyses, or interpretation of data; in the writing of the manuscript; or in the decision to publish the results.
References
- Lee, W.; Li, S.; Han, D.; Sarlioglu, B.; Minav, T.A.; Pietola, M. A Review of Integrated Motor Drive and Wide-Bandgap Power Electronics for High-Performance Electro-Hydrostatic Actuators. IEEE Trans. Transp. Electrif. 2018, 4, 684–693. [Google Scholar] [CrossRef]
- Fan, S.; Wang, S.; Wang, Q.; Wang, X.; Liu, D.; Wu, X. Cumulative thermal coupling modeling and analysis of oil-immersed motor-pump assembly for electro–hydrostatic actuator. Chin. J. Aeronaut. 2025, 38, 103250. [Google Scholar]
- Tri, N.M.; Nam, D.N.C.; Park, H.G.; Ahn, K.K. Trajectory control of an electro hydraulic actuator using an iterative back stepping control scheme. Mechatronics 2015, 29, 96–102. [Google Scholar]
- MOOG Inc. Electro Hydrostatic Actuators; MOOG Inc.: SaltLake City, UT, USA, 2014. [Google Scholar]
- Van Den Bossche, D. The A380 flight control electro-hydrostatic actuators, achievements and lessons learnt. In Proceedings of the 25th Congress of International Council of the Aeronautical Sciences, Hamburg, Germany, 3–8 September 2006; pp. 1–8. [Google Scholar]
- Jensen, K.J.; Ebbesen, M.K.; Hansen, M.R. Novel Concept for Electro-Hydrostatic Actuators for Motion Control of Hydraulic Manipulators. Energies 2021, 14, 6566. [Google Scholar] [CrossRef]
- Tessari, F.; Galluzzi, R.; Tonoli, A.; Amati, N.; De Michieli, L.; Laffranchi, M. Knee Prosthesis Powered by a Fully Integrated and Highly Back-Drivable Electro-Hydrostatic Actuator. Mechatronics 2023, 91, 102972. [Google Scholar]
- Nguyen, M.H.; Ahn, K.K. Extended Sliding Mode Observer-Based Output Feedback Control for Motion Tracking of Electro-Hydrostatic Actuators. Mathematics 2023, 11, 4324. [Google Scholar]
- Komagata, M.; Nakanishi, T.; Yamamoto, K.; Nakamura, Y. Development of compact revolute electro-hydrostatic actuator module and evaluation of its backdrivability and internal leakage. Adv. Robot. 2023, 37, 1419–1437. [Google Scholar] [CrossRef]
- Rodriguez-Aguilar, R.; Marmolejo-Saucedo, J.-A.; Köse, U. Development of a Digital Twin Driven by a Deep Learning Model for Fault Diagnosis of Electro-Hydrostatic Actuators. Mathematics 2024, 12, 3124. [Google Scholar] [CrossRef]
- Dinca, L.; Corcau, J.-I.; Grigorie, T.L.; Cucu, A.-A.; Vasilescu, B. Studies on the Thermal Behavior of an Electro-Hydrostatic Servo Actuator. Actuators 2025, 14, 48. [Google Scholar] [CrossRef]
- Alle, N.; Hiremath, S.S.; Makaram, S.; Subramaniam, K.; Talukdar, A. Review on electro hydrostatic actuator for flight control. Int. J. Aerosp. Eng. 2016, 2016, 125–145. [Google Scholar]
- Kumar, G.; Mandal, N.P. Position Control Performance Analysis of Linear Actuator in Swashplate-Controlled Electro Hydrostatic Actuation System. Eng. Res. Express 2023, 5, 045087. [Google Scholar] [CrossRef]
- Ghanbari, M.; Kinsner, W.; Sepehri, N. Detection of Faults in Electro-Hydrostatic Actuators Using Feature Extraction Methods and an Artificial Neural Network. In Proceedings of the 2022 IEEE World AI IoT Congress (AIIoT), Seattle, WA, USA, 6–9 June 2022; pp. 1–7. [Google Scholar]
- Son, Y.S.; Kim, W. Robust Nonlinear Position Control with Extended State Observer for Single-Rod Electro-Hydrostatic Actuator. Mathematics 2021, 9, 2397. [Google Scholar] [CrossRef]
- Jiao, Z.; Li, Z.; Shang, Y.; Wu, S.; Song, Z.; Pan, Q. Active Load Sensitive Electro-Hydrostatic Actuator on More Electric Aircraft: Concept, Design, and Control. IEEE Trans. Ind. Electron. 2022, 69, 5030–5040. [Google Scholar] [CrossRef]
- Tao, Z.; Xie, H.; Yang, H. Design and tracking control of an electro-hydrostatic actuator for a disc cutter replacement manipulator. Autom. Constr. 2022, 142, 104480. [Google Scholar] [CrossRef]
- Shang, Y.; Hao, W.; Jiao, Z.; Song, Z. Direct load sensitive electro hydrostatic force control actuator for asymmetric cylinder with switch valve: Design and simulation. In Proceedings of the International Conference on Fluid Power and Mechatronics, Harbin, China, 5–7 August 2015. [Google Scholar]
- Zhu, T.; Xie, H.; Yang, H. Kinematics and workspace analysis of a disc cutter replacement manipulator for TBM in a constrained motion space. In Intelligent Robotics and Applications. Proceedings of the ICIRA 2023, Hangzhou, China, 5–7 July 2023; Lecture Notes in Computer, Science; Yang, H., Liu, H., Zou, J., Yin, Z., Liu, L., Yang, G., Ouyang, X., Wang, Z., Eds.; Springer: Singapore, 2023; Volume 14272, pp. 229–240. [Google Scholar]
- Kumar, M. A Survey on Electro Hydrostatic Actuator: Architecture and Way Ahead. Mater. Today Proc. 2021, 45, 6057–6063. [Google Scholar] [CrossRef]
- Bartlett, H.L. A Symmetric Multichamber Hydraulic Cylinder with Variable Piston Area: An Approach to Compact and Efficient Electrohydrostatic Actuation. J. Mech. Des. 2021, 143, 083501. [Google Scholar] [CrossRef]
- Gaile, A.; Lue, Y. Electro Hydraulic Actuation (EHA) systems for primary flight control, landing gear and other type of actuation. In Proceedings of the 2016 IEEE International Conference on Aircraft Utility Systems (AUS), Beijing, China, 10–12 October 2016; pp. 723–728. [Google Scholar]
- Zhou, F.; Liu, H.; Zhang, P.; Ouyang, X.; Xu, L.; Ge, Y.; Yao, Y.; Yang, H. High-Precision Control Solution for Asymmetrical Electro-Hydrostatic Actuators Based on the Three-Port Pump and Disturbance Observers. IEEE/ASME Trans. Mechatron. 2023, 28, 396–406. [Google Scholar] [CrossRef]
- Lyu, L.; Chen, Z.; Yao, B. Development of parallel-connected pump-valve-coordinated control unit with improved performance and efficiency. Mechatronics 2020, 70, 102419. [Google Scholar] [CrossRef]
- Galluzzi, R.; Xu, Y.; Amati, N.; Tonoli, A. Optimized design and characterization of motor-pump unit for energy-regenerative shock absorbers. Appl. Energy 2018, 210, 16–27. [Google Scholar]
- Yuan, C.; Pan, M.; Plummer, A. A Review of Switched Inertance Hydraulic Converter Technology. J. Dyn. Syst. Meas. Control 2020, 142, 050801. [Google Scholar] [CrossRef]
- Hati, K.; Mandal, N.P.; Sanyal, D. Energy-Saving Design of Variable-Displacement Bi-Directional Pump-Controlled Electrohydraulic System. Proc. Inst. Mech. Eng. Part I J. Syst. Control Eng. 2021, 235, 1218–1236. [Google Scholar]
- Gøytil, P.; Hansen, M.R.; Tvilde, H. Effective Bulk Modulus in Low-Pressure Pump-Controlled Hydraulic Cylinders. Actuators 2025, 14, 366. [Google Scholar] [CrossRef]
- Costa, G.K.; Sepehri, N. Four-quadrant analysis and system design for single-rod hydrostatic actuators. J. Dyn. Syst. Meas. Control 2019, 141, 021011. [Google Scholar] [CrossRef]
- Huang, L.; Yu, T.; Jiao, Z.; Li, Y. Active Load-Sensitive Electro-Hydrostatic Actuator for More Electric Aircraft. Appl. Sci. 2020, 10, 6978. [Google Scholar] [CrossRef]
- Kulida, E.; Lebedev, V. Modern Approaches to Prognostics and Health Management of an Aircraft Electromechanical Actuator. Methods 2024, 18, 1–15. [Google Scholar] [CrossRef]
- Tiwari, D.; Miscandlon, J.; Tiwari, A.; Jewell, G.W. A Review of Circular Economy Research for Electric Motors and the Role of Industry 4.0 Technologies. Sustainability 2021, 13, 9668. [Google Scholar] [CrossRef]
- Tawfiq, K.B.; Ibrahim, M.N.; Sergeant, P. An Enhanced Fault-Tolerant Control of a Five-Phase Synchronous Reluctance Motor Fed from a Three-to-Five-Phase Matrix Converter. IEEE J. Emerg. Sel. Top. Power Electron. 2022, 10, 4182–4194. [Google Scholar] [CrossRef]
- Vu, D.T.; Nguyen, N.K.; Semail, E. Fault-Tolerant Control for Nonsinusoidal Multiphase Drives with Minimum Torque Ripple. IEEE Trans. Power Electron. 2021, 37, 6290–6304. [Google Scholar] [CrossRef]
- Naveed, M.M.; Shah, M.S.; Moonen, N.; Gerber, M.; Soeiro, T.B. Advancing High-Frequency Inverter Design in More Electric Aircraft: Challenges and Research Perspectives. IEEE Open J. Ind. Electron. Soc. 2025, 6, 1423–1447. [Google Scholar] [CrossRef]
- Nemeth, B.; Varga, B.; Gaspar, P. Hierarchical design of an electro-hydraulic actuator based on robust LPV methods. Int. J. Control 2015, 88, 1429–1440. [Google Scholar] [CrossRef]
- Nguyen, T.H.; Ahn, J.-H.; Kwak, K.-S.; Ahn, K.K. Energy Efficiency Investigation of a Novel Independent Metering Valve System in Switching Modes. In Proceedings of the 2024 Autumn Conference on Drive and Control, The Korea Fluid Power Systems Society, Seoul, Republic of Korea, 10–12 October 2024; pp. 92–98. [Google Scholar]
- Ketelsen, S.; Padovani, D.; Andersen, T.O.; Ebbesen, M.K.; Schmidt, L. Classification and review of pump-controlled differential cylinder drives. Energies 2019, 12, 1293. [Google Scholar] [CrossRef]
- Zhou, F.; Xiao, W.; Xiaoping, O.; Zhang, P.; Xu, L.; Yang, H. Modeling and control of a novel electro-hydrostatic actuator with a three-port hydraulic pump. In Proceedings of the 2020 ASME Fluid Power and Motion Control, Online, 9–11 September 2020. [Google Scholar]
- Chen, X.; Ling, Z.; Li, T.; Liu, H.; Zhou, F.; Ouyang, X.; Jiang, H.; Yang, B. Fault-Tolerant Control Method for Five-Phase PMSM with High Control Performance and Low Computational Burden. In Proceedings of the 49th Annual Conference of the IEEE Industrial Electronics Society, Singapore, 16–19 October 2023. [Google Scholar]
- Yang, B.; Lu, Y.; Jiang, H.; Ling, Z.; Li, T.; Liu, H.; Ouyang, X. Quantitative comparative study on the performance of a valve-controlled actuator and electro-hydrostatic actuator. Actuators 2024, 13, 118. [Google Scholar] [CrossRef]
- Jiang, H.; Ling, Z.; Zhou, F.; Sun, M.; Liu, H.; Xu, L.; Yao, Y.; Ouyang, X.; Yang, H. Adaptive Dead Zone Compensation Method for Electro-Hydrostatic Actuators Under Low-Speed Conditions. Chin. J. Mech. Eng. 2024, 37, 168. [Google Scholar] [CrossRef]
Disclaimer/Publisher’s Note: The statements, opinions and data contained in all publications are solely those of the individual author(s) and contributor(s) and not of MDPI and/or the editor(s). MDPI and/or the editor(s) disclaim responsibility for any injury to people or property resulting from any ideas, methods, instructions or products referred to in the content. |
© 2025 by the authors. Licensee MDPI, Basel, Switzerland. This article is an open access article distributed under the terms and conditions of the Creative Commons Attribution (CC BY) license (https://creativecommons.org/licenses/by/4.0/).