Designing a Robotic Gripper Based on the Actuating Capacity of NiTi-Based Shape Memory Wires
Abstract
1. Introduction
2. Materials and Methods
3. Results and Discussion
3.1. Thermal Analysis
3.2. Work-Generating Shape Memory Effect
- NiTiCu wires warmed up faster than the NiTi ones;
- The displacements developed by the NiTiCu wires were slightly lower than those developed by the NiTi wires, compared to which they were smoother and had shorter maintaining times.
- From the point of view of temperature variation, the NiTiCu wire warmed up faster, cooled down faster and maintained the maximum temperature longer than the NiTi wire, though the two wires had the same diameter and length;
- From the point of view of displacement variation, it is obvious that the NiTiCu wire developed a larger stroke, about 10 mm, while the NiTi wire remained elongated after the first heating–cooling cycle.
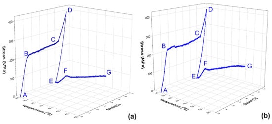
3.3. Tensile Behavior at Room Temperature
3.4. Constrained Recovery Shape Memory Effect
- The NiTiCu wire experienced a larger relaxation capacity during cooling, in good accordance with the WG-SME response from Figure 6;
- Both SM-wires were able to develop repetitive CR-SME.
3.5. Actuation System Based on SM Shrinkage vs. SE Recovery
4. Summary and Conclusions
- From the point of view of WG-SME:
- The SM response (RT displacement) increased with the applied load up to 12 mm, corresponding to a work of 0.47 J;
- Cu addition caused higher heating and cooling rates during single tests and larger displacement during cyclic tests, developing a repetitive work of 0.392 J.
- From the point of view of the RT tensile behavior:
- Both Ni48Ti52 and Ni45Ti50Cu5 wires exhibited stress plateaus during loading associated with the crystallographic reorientation of martensite;
- The Ni48Ti50Fe2 wire had stress plateaus both during loading and unloading, associated with a reversible stress induced martensitic transformation, which changed to inflection points during cycling.
- From the point of view of CR-SME:
- Ni48Ti52 and Ni45Ti50Cu5 wires elongated with 4.5 and 5% developed CR stresses of 123 MPa and 147 MPa, when heated to 56 and 60 °C, respectively;
- Both Ni48Ti52 and Ni45Ti50Cu5 wires, when heated in elongated state, developed repetitive stress–temperature variations;
- Cu addition caused a larger relaxation capacity during cooling.
- From the point of view of the trade-off between SM shrinkage and SE recovery:
- When heated under the effect of a voltage of 4.5–5 V, the 5% pre-strained Ni45Ti50Cu5 wires developed a 28 mm stroke which elongated the Ni48Ti50Fe2 wire by means of leverage;
- When air-cooled, the Ni45Ti50Cu5 wires were elongated again by the unloading recovery of the Ni48Ti50Fe2 wire;
- SM shrinkage lasted a few seconds, while and SE recovery lasted up to 50 s;
- SM vs. SE displacement cycles could be repeated for tens of cycles, during which time a decreasing tendency of the specific energy dissipated by internal friction was noted;
- A robotic gripper was designed based on the antagonistic deformation of Ni45Ti50Cu5 and Ni48Ti50Fe2 wires;
- Compared to classical solutions, with hydraulic or mechanical actuation, the proposed system is more compact, rapid, economical, and ergonomic. Compared to other SMA-driven systems, the present solution can provide the manipulated objects’ fast grasping and slow release speeds.
- General conclusions:
- Here, 0.5 mm-diameter martensitic Ni48Ti52 and Ni45Ti50Cu5 wires were able to perform both WG-SME and CR-SME by repetitively lifting loads up to 4 kg, (developing works of 0.392–0.47 J) and by generating stress of 123–147 MPa (when pre-strained with 4.5 and 5%), respectively;
- Here, 5% pre-strained martensitic Ni45Ti50Cu5 wires and austenitic Ni48Ti50Fe2 wires developed a 28 mm stroke by SM/SE coupling, which was repeated during tens of cycles and accompanied by a decreasing tendency of energy dissipation by internal friction.
- The simulated three-fingers gripper has the potential to develop rapid grasping forces and slow release rates due to the direct coupling of pre-strained SM and SE wires.
- After manufacturing the gripper, additional experiments have to be performed to determine its real grasping and releasing rates and to test the training effect on these rates.
Supplementary Materials
Author Contributions
Funding
Data Availability Statement
Conflicts of Interest
References
- Wayman, C.M. Deformation, Mechanisms and Other Characteristics of Shape Memory Alloys. In Shape Memory Effects in Alloys; Perkins, J., Ed.; Plenum Press: New York, NY, USA, 1975; pp. 1–27. [Google Scholar]
- Otsuka, K.; Wayman, C.M. (Eds.) Introduction. In Shape Memory Materials; Cambridge University Press: Cambridge, UK, 1998; pp. 1–26. [Google Scholar]
- Lohan, C.; Pricop, B.; Comaneci, R.I.; Cimpoesu, N.; Bujoreanu, L.G. Variation tendencies of tensile constrained recovery behaviour and associated structural changes during thermal cycling of a Fe-Mn-Si-Cr-Ni shape memory alloy. Optoelectron. Adv. Mater. 2010, 4, 816–820. [Google Scholar]
- Lieberman, D.S.; Schmerling, M.A.; Carz, R.W. Ferroelastic “Memory“ and Mechanical Properties in AuCd. In Shape Memory Effects in Alloys; Perkins, J., Ed.; Plenum Press: New York, NY, USA, 1975; pp. 203–244. [Google Scholar]
- Buehler, W.J.; Gilfrich, J.V.; Wiley, R.C. Effect of Low-Temperature Phase Changes on the Mechanical Properties of Alloys near Composition TiNi. J. Appl. Phys. 1963, 34, 1475–1477. [Google Scholar]
- Ohkata, I.; Suzuki, Y. The design of shape memory alloy actuators and their applications. In Shape Memory Materials; Otsuka, K., Wayman, C.M., Eds.; Cambridge University Press: Cambridge, UK, 1998; pp. 240–266. [Google Scholar]
- Nayan, N.; Singh, G.; Murty, S.V.S.N.; Narayana, P.R.; Mohan, M.; Venkitakrishnan, P.V.; Ramamurty, U. Effect of ternary additions of Cu and Fe on the hot deformation behavior of NiTi shape memory alloy—A study using processing maps. Intermetallics 2021, 131, 107084. [Google Scholar] [CrossRef]
- Velmurugan, C.; Senthilkumar, V. The effect of Cu addition on the morphological, structural and mechanical characteristics of nanocrystalline NiTi shape memory alloys. J. Alloys Compd. 2018, 767, 944–954. [Google Scholar] [CrossRef]
- Liu, X.; Li, H.; Zhang, Y.; Yang, Z.; Gu, Q.; Wang, X.; Zhang, Y.; Yang, J. Cryogenic temperature deformation behavior and shape memory mechanism of NiTiFe alloy. Intermetallics 2023, 162, 107997. [Google Scholar] [CrossRef]
- Lotkov, A.; Grishkov, V.; Timkin, V.; Baturin, A.; Zhapova, D. Yield stress in titanium nickelide-based alloys with thermoelastic martensitic transformations. Mater. Sci. Eng. A 2019, 744, 74–78. [Google Scholar] [CrossRef]
- Oliveira, J.P.; Zeng, Z.; Berveiller, S.; Bouscaud, D.; Fernandes, F.B.; Miranda, R.M.; Zhou, N. Laser Welding of Cu-Al-Be Shape Memory Alloys: Microstructure and Mechanical Properties. Mater. Design 2018, 148, 145–152. [Google Scholar] [CrossRef]
- Mohan, S.; Banerjee, A. Particle filter based self sensing Shape Memory Alloy wire actuator under external cooling. Mech. Syst. Signal Proc. 2023, 185, 109779. [Google Scholar] [CrossRef]
- Rao, Z.; Wang, X.; Leng, J.; Yan, Z.; Yan, X. Design methodology of the Ni50Ti50 shape memory alloy beam actuator: Heat treatment, training and numerical simulation. Mater. Design 2022, 217, 110615. [Google Scholar] [CrossRef]
- Holschuh, B.; Obropta, E.; Newman, D. Low Spring Index NiTi Coil Actuators for Use in Active Compression Garments. IEEE/ASME Trans. Mechatron. 2015, 20, 1264–1277. [Google Scholar] [CrossRef]
- Wang, J.; Huang, B.; Gu, X.; Zhu, J.; Zhang, W. Actuation performance of machined helical springs from NiTi shape memory alloy. Int. J. Mech. Sci. 2022, 236, 107744. [Google Scholar] [CrossRef]
- Lu, Y.; Jiang, J.; Zhang, J.; Zhang, R.; Zhang, Q.; Zhou, Y.; Wang, L.; Yue, H. A dynamic stiffness improvement method for thin plate structures with laminated/embedded shape memory alloy actuators. Thin Walled Struct. 2022, 175, 109286. [Google Scholar] [CrossRef]
- Jani, J.M.; Leary, M.; Subic, A.; Gibson, M.A. A review of shape memory alloy research, applications and opportunities. Mater. Design 2014, 56, 1078–1113. [Google Scholar] [CrossRef]
- Yurtsever, O.; Küçük, H. Design, production and vision based analysis of a wireless operated 2-DOF SMA driven soft robotic arm. Mater. Mater. Today Commun. 2023, 34, 105176. [Google Scholar] [CrossRef]
- Lu, Y.; Xie, Z.; Wang, J.; Yue, H.; Wu, M.; Liu, Y. A novel design of a parallel gripper actuated by a large-stroke shape memory alloy actuator. Int. J. Mech. Sci. 2019, 159, 74–80. [Google Scholar] [CrossRef]
- Amadi, A.; Mohyaldinn, M.; Ridha, S.; Ola, V. Advancing engineering frontiers with NiTi shape memory alloys: A multifaceted review of properties, fabrication, and application potentials. J. Alloys Compd. 2024, 976, 173227. [Google Scholar] [CrossRef]
- Nicholson, D.E.; Benafan, O.; Bigelow, G.S.; Pick, G.; Demblon, A.; Mabe, J.H.; Karaman, I.; Van Doren, B.; Forbes, D.; Sczerzenie, F.; et al. Standardization of Shape Memory Alloys from Material to Actuator. Shape Mem. Superelasticity 2023, 9, 353–363. [Google Scholar] [CrossRef]
- Nespoli, A.; Besseghini, S.; Pittaccio, S.; Villa, E.; Viscuso, S. The high potential of shape memory alloys in developing miniature mechanical devices: A review on shape memory alloy mini-actuators. Sens. Actuators A 2010, 158, 149–160. [Google Scholar] [CrossRef]
- Baek, H.; Khan, A.M.; Kim, Y. A bidirectional rotating actuator by using a single shape memory alloy wire in a double bend shape. Sens. Actuators A 2023, 360, 114526. [Google Scholar] [CrossRef]
- Kennedy, S.; Shougat, M.R.E.U.; Perkins, E. Robust self-sensing shape memory alloy actuator using a machine learning approach. Sens. Actuators A 2023, 354, 114255. [Google Scholar] [CrossRef]
- Hamid, Q.Y.; Wan Hasan, W.Z.; Azmah Hanim, M.A.; Nuraini, A.A.; Hamidon, M.N.; Ramli, H.R. Shape memory alloys actuated upper limb devices: A review. Sens. Actuators Rep. 2023, 5, 100160. [Google Scholar] [CrossRef]
- Shukla, S.; Barjibhe, R. An experimental and numerical comparison of traditional spring DVA in parallel and shape memory alloy actuated DVA in series and parallel for fixed beam vibration control. Mater. Today Proc. 2023. [Google Scholar] [CrossRef]
- Schuleit, M.; Becher, M.; Franke, F.; Maaß, B.; Esen, C. Development of form-fit connection for NiTi shape memory wire actuators using laser processing. Procedia CIRP 2020, 94, 546–550. [Google Scholar] [CrossRef]
- Sgambitterra, E.; Greco, C.; Rodino, S.; Niccoli, F.; Furgiuele, F.; Maletta, C. Fully coupled electric-thermo-mechanical model for predicting the response of a SMA wire activated by electrical input. Sens. Actuators A 2023, 362, 114643. [Google Scholar] [CrossRef]
- Liu, Y.N.; Liu, Y.; Van Humbeek, J. Two-way shape memory effect developed by martensite deformation in NiTi. Acta Mater. 1998, 47, 199–209. [Google Scholar] [CrossRef]
- Liu, R.; Zhang, C.; Ji, H.; Zhang, C.; Qiu, J. Training, Control and Application of SMA-Based Actuators with Two-Way Shape Memory Effect. Actuators 2023, 12, 25. [Google Scholar] [CrossRef]
- Eggeler, G.; Hornbogen, E.; Yawny, A.; Heckmann, A.; Wagner, M. Structural and functional fatigue of NiTi shape memory alloys. Mater. Sci. Eng. A 2004, 378, 24–33. [Google Scholar] [CrossRef]
- Mizzi, L.; Hoseini, S.F.; Formighieri, M.; Spaggiari, A. Development and prototyping of SMA-metamaterial biaxial composite actuators. Smart Mater. Struct. 2023, 32, 035027. [Google Scholar] [CrossRef]
- Ben Zohra, M.; Er-Remyly, O.; Riad, A.; Alhamany, A. Finite element analysis for fatigue phenomena in mechatronic shape memory alloy actuator. Sci. Afr. 2023, 20, e01601. [Google Scholar] [CrossRef]
- Liu, Q.; Ghodrat, S.; Jansen, K.M.B. Design and modelling of a reversible shape memory alloy torsion hinge actuator. Mater. Design 2024, 237, 112590. [Google Scholar] [CrossRef]
- O’Toole, K.T.; McGrath, M.M.; Coyle, E. Analysis and Evaluation of the Dynamic Performance of SMA Actuators for Prosthetic Hand Design. J. Mater. Eng. Perform. 2009, 18, 781–786. [Google Scholar] [CrossRef]
- Dinakaran, V.P.; Balasubramaniyan, M.P.; Muthusamy, S.; Panchal, H. Performa of SCARA based intelligent 3 axis robotic soft gripper for enhanced material handling. Adv. Eng. Softw. 2023, 176, 103366. [Google Scholar] [CrossRef]
- Yang, C.; Wu, X.; Zhu, Y.; Wu, W.; Tu, Z.; Zhou, J. Recent Progress of an Underwater Robotic Avatar. In Intelligent Robotics and Applications; Yang, H., Liu, H., Jun, Z., Yin, Z., Liu, L., Yang, G., Ouyang, X., Wang, Z., Eds.; ICIRA 2022 Lecture Notes in Computer Science; Springer: Cham, Switzerland, 2022; Volume 13455, pp. 615–626. [Google Scholar] [CrossRef]
- Lee, J.-H.; Chung, Y.S.; Rodrigue, H. Long Shape Memory Alloy Tendonbased Soft Robotic Actuators and Implementation as a Soft Gripper. Sci. Rep. 2019, 9, 11251. [Google Scholar] [CrossRef]
- Guo, Z.; Pan, Y.; Wee, L.B.; Yua, H. Design and control of a novel compliant differential shape memory alloy actuator. Sens. Actuator A-Phys. 2015, 225, 71–80. [Google Scholar] [CrossRef]
- Teodoriu, A.P.; Doroftei, I.; Pricop, B.; Bujoreanu, L.G. Study of the Load-Response Effect of NiTi-Based Thermal Actuators. Application to a Robotic Gripper. In 25th International Symposium on Measurements and Control in Robotics; ISMCR 2023. Mechanisms and Machine Science; Doroftei, I., Kiss, B., Baudoin, Y., Taqvi, Z., Keller Fuchter, S., Eds.; Springer: Cham, Switzerland, 2024; Volume 154, pp. 237–251. [Google Scholar] [CrossRef]
- Frenzel, J.; Wieczorek, A.; Opahle, I.; Maas, B.; Drautz, R.; Eggeler, G. On the effect of alloy composition on martensite start temperatures and latent heats in Ni–Ti-based shape memory alloys. Acta Mater. 2015, 90, 213–231. [Google Scholar]
- Zhang, X.Y.; Sehitoglu, H. Crystallography of the B2→R→B 19′ phase transformations in NiTi. Mater. Sci. Eng. A 2004, 374, 292–302. [Google Scholar] [CrossRef]
- Nam, T.H.; Saburi, T.; Shimizu, K. Cu-content dependence of shape memory characteristics in Ti-Ni-Cu alloys. Mater. Trans. JIM 1990, 31, 959–967. [Google Scholar] [CrossRef]
- Wu, S.-K.; Lin, H.; Lin, T. Electrical resistivity of Ti–Ni binary and Ti–Ni–X (X = Fe, Cu) ternary shape memory alloys. Mater. Sci. Eng. A 2006, 438–440, 536–539. [Google Scholar] [CrossRef]
- Harikrishnan, K.; Chandra, K.; Misra, P.S.; Agarwala Vinod, S. B19 orthorhombic martensitic transformations in aged TiNiCu shape memory alloys. In ESOMAT 2009, Proceedings of the 8th European Symposium on Martensitic Transformations, Prague, Czech Republic, 7–11 September 2009; Šittner, P., Heller, L., Paidar, V., Eds.; EDP Sciences: Les Ulis, France, 2009; p. 02020. [Google Scholar] [CrossRef]
- Karthik, G.; Kashyap, B.; Ram Prabhu, T. Processing, properties and applications of Ni-Ti-Fe shape memory alloys. Mater. Today Proc. 2017, 4, 3581–3589. [Google Scholar] [CrossRef]
- Kumar, A.; Palani, I.A.; Yadav, M. Comprehensive study of microstructure, phase transformations, and mechanical properties of nitinol alloys made of shape memory and superelastic wires and a novel approach to manufacture Belleville spring using wire arc additive manufacturing. Mater. Today Commun. 2024, 38, 107881. [Google Scholar] [CrossRef]
- Li, X.C.; Su, Y. A phase-field study of the martensitic detwinning in NiTi shape memory alloys under tension or compression. Acta Mech. 2020, 231, 1539–1557. [Google Scholar] [CrossRef]
- Isalgue, A.; Soul, H.; Yawny, A.; Auguet, C. Functional fatigue recovery of superelastic cycled NiTi wires based on near 100 °C aging treatments. In ESOMAT 2015, Proceedings of the Tenth European Symposium on Martensitic Transformations, Antwerp, Belgium, 14–18 September 2015; Schryvers, N., van Humbeeck, J., Eds.; EDP Sciences: Les Ulis, France, 2015; Volume 33, p. 03019. [Google Scholar] [CrossRef]
- Delville, R.; Malard, B.; Pilch, J.; Sittner, P.; Schryvers, D. Transmission electron microscopy investigation of dislocation slip during superelastic cycling of Ni-Ti wires. Int. J. Plasticity 2011, 27, 282–297. [Google Scholar] [CrossRef]
- Lohan, N.M.; Pricop, B.; Bujoreanu, L.-G.; Cimpoesu, N. Heating rate effects on reverse martensitic transformation in a Cu–Zn–Al shape memory alloy. Int. J. Mater. Res. 2011, 102, 1345–1351. [Google Scholar] [CrossRef]
- Heller, L.; Sittner, P. On the habit planes between elastically distorted austenite and martensite in NiTi. Acta Mater. 2024, 269, 119828. [Google Scholar] [CrossRef]
- Popa, M.; Lohan, N.-M.; Pricop, B.; Cimpoeșu, N.; Porcescu, M.; Comăneci, R.I.; Cazacu, M.; Borza, F.; Bujoreanu, L.-G. Structural-Functional Changes in a Ti50Ni45Cu5 Alloy Caused by Training Procedures Based on Free-Recovery and Work-Generating Shape Memory Effect. Nanomaterials 2022, 12, 2088. [Google Scholar] [CrossRef] [PubMed]
- Mihalache, E.; Pricop, B.; Comăneci, R.I.; Suru, M.-G.; Lohan, N.-M.; Mocanu, M.; Ozkal, B.; Bujoreanu, L.-G. Structural Effects of Thermomechanical Processing on the Static and Dynamic Responses of Powder Metallurgy Fe-Mn-Si Based Shape Memory Alloys. Adv. Sci. Technol. 2017, 97, 153–158. [Google Scholar]














| Wire Material | E | Ry | Rm | εy | εm |
|---|---|---|---|---|---|
| GPa | MPa | MPa | % | % | |
| Ni48Ti52; | 38 | 259 | 279 | 0.8 | 5 |
| Ni45Ti50Cu5 | 23 | 220 | 1177 | 1.2–5.7 | 12 |
| Ni48Ti50Fe2 | 56 | 481 | 925 | 1-7.7 | 46 |
| 1st Cycle | 2nd Cycle | 3rd Cycle | 4th Cycle | 5th Cycle | ||||||
|---|---|---|---|---|---|---|---|---|---|---|
| W0 | Wrec | W0 | Wrec | W0 | Wrec | W0 | Wrec | W0 | Wrec | |
| 3.5 V | 640.35 | 393.55 | 687.2 | 452.5 | 644.7 | 455.6 | 663.35 | 455.8 | 762.85 | 504.7 |
| 4 V | 630.9 | 418.3 | 680.45 | 458.2 | 664.75 | 465.35 | 644.8 | 443.6 | 637.65 | 468.95 |
| 4.5 V | 550.45 | 341.55 | 550.5 | 356.2 | 666.8 | 429.8 | 529.7 | 338.85 | 549.6 | 362.8 |
| 5 V | 281.7 | 240.5 | 460 | 260.6 | 506.15 | 282.3 | 502.95 | 291.95 | 509.45 | 302.8 |
Disclaimer/Publisher’s Note: The statements, opinions and data contained in all publications are solely those of the individual author(s) and contributor(s) and not of MDPI and/or the editor(s). MDPI and/or the editor(s) disclaim responsibility for any injury to people or property resulting from any ideas, methods, instructions or products referred to in the content. |
© 2024 by the authors. Licensee MDPI, Basel, Switzerland. This article is an open access article distributed under the terms and conditions of the Creative Commons Attribution (CC BY) license (https://creativecommons.org/licenses/by/4.0/).
Share and Cite
Teodoriu, A.P.; Pricop, B.; Lohan, N.-M.; Popa, M.; Comăneci, R.I.; Doroftei, I.; Bujoreanu, L.-G. Designing a Robotic Gripper Based on the Actuating Capacity of NiTi-Based Shape Memory Wires. Actuators 2024, 13, 319. https://doi.org/10.3390/act13080319
Teodoriu AP, Pricop B, Lohan N-M, Popa M, Comăneci RI, Doroftei I, Bujoreanu L-G. Designing a Robotic Gripper Based on the Actuating Capacity of NiTi-Based Shape Memory Wires. Actuators. 2024; 13(8):319. https://doi.org/10.3390/act13080319
Chicago/Turabian StyleTeodoriu, Adrian Petru, Bogdan Pricop, Nicoleta-Monica Lohan, Mihai Popa, Radu Ioachim Comăneci, Ioan Doroftei, and Leandru-Gheorghe Bujoreanu. 2024. "Designing a Robotic Gripper Based on the Actuating Capacity of NiTi-Based Shape Memory Wires" Actuators 13, no. 8: 319. https://doi.org/10.3390/act13080319
APA StyleTeodoriu, A. P., Pricop, B., Lohan, N.-M., Popa, M., Comăneci, R. I., Doroftei, I., & Bujoreanu, L.-G. (2024). Designing a Robotic Gripper Based on the Actuating Capacity of NiTi-Based Shape Memory Wires. Actuators, 13(8), 319. https://doi.org/10.3390/act13080319

