Abstract
Thrust ripple and density greatly impact the performance of the linear machine and other linear actuators, causing positioning control precision, dynamic performance, and efficiency issues. Generalized pole-pair combinations are difficult to satisfy both the thrust and ripple for double salient reluctance linear machines. In this paper, a DC-Biased vernier reluctance linear machine (DCB-VRLM) is proposed to solve the abovementioned issues. The key to the proposed design is to reduce the ripple and enhance the thrust density with non-uniform teeth by utilizing and optimizing the modulated flux in the air gap. To effectively verify the proposed design, the DCB-VRLMs with different winding pole pairs and secondary poles are compared. The 12-slot/10-pole combination is chosen to adopt a non-uniform air gap structure. Moreover, the energy distribution of AC/DC winding is studied and optimized to further enhance the performance of the proposed DCB-VRLM. The results indicate that the DCB-VRLM with the non-uniform air gap has a lower thrust ripple, better overload capability, and higher thrust density, which confirms its superiority in long-stroke linear rail transit and vertical elevator applications.
1. Introduction
Non-permanent magnet electric machines have been widely used in industrial applications and are concerned by researchers for they employ no permanent magnets (PMs), which have no risk of demagnetization and a slight cost issue. As one type of non-permanent magnet machine, the switched reluctance machine (SRM) adopts the doubly salient structure, which has neither PMs nor windings on the rotor. A variable flux reluctance machine (VFRM) was proposed, in which DC excitation windings are uniformly placed in the stator slot [1]. The number of rotor poles can be odd, which is no longer limited by the selection of rotor poles of SRMs. Reference [2] proposed a control strategy that integrates VFRM excitation windings and armature windings, saving stator windings and forming DC-biased vernier reluctance machines (DCB-VRMs). The DC-biased machine injects DC current into the armature windings, so the phase current is divided into the positive biased part and negative biased part. Based on the flux modulation principle, the torque generation mechanism of DCB-VRMs was analyzed [3]. It is found that although the torque density of DCB-VRMs is not as high as that of PM machines, the good overload capability can ensure that the output torque is close to PM machines by increasing the current. The slots/poles combinations and winding structure of DCB-VRMs were further studied [4], in which the electromagnetic properties of several slot/pole combinations, such as inductance, back electromotive force (back EMF), torque, loss, etc., are compared by using finite element analysis. According to the principle of magnetic field modulation [5], it is also possible to improve the torque density of DCB-VRMs by installing a few PMs in appropriate positions [6,7,8]. Short-distance concentrated windings are commonly used in DC-VRMs since DC-VRMs are developed from SRMs, but distributed windings have also been applied to DCB-VRMs [9].
The machines with doubly salient structures have the advantage of simple structure, low cost, and high reliability, which is suitable for long-stroke linear applications. Several machines have been applied in the field of long-stroke linear applications successfully, such as induction machines, SRMs, and doubly salient permanent magnet machines (DSPMMs) [10]. The doubly salient linear machines with PM on the slots were proposed in [11], which can provide a much higher thrust force than linear variable flux reluctance machines at the same copper loss. A hybrid-excited doubly salient permanent magnet linear machine with DC-biased armature current was studied [12], which exhibits better thrust capability under high power dissipation. However, the existence of PMs will limit the overload capability of DCB-VRLMs, and also increase the manufacturing cost, so the linear machines without PMs also have important research significance.
The torque ripple of rotation electric machines with doubly salient structures is large, which aggravates the vibration, noise, and speed ripple of machines. This problem is more serious in linear machines with doubly salient structures due to the addition of the edge effect. The common methods to reduce the thrust ripple include skewing poles, adjusting the primary length, slot shifting, etc. In addition, a structure with unequal windings is proposed to optimize the non-uniform inductance caused by the non-uniform winding distribution in a dual three-phase permanent magnet linear machine [13]. A non-uniform air gap structure was used to reduce the torque ripple for permanent magnet brushless motors, which also made the motor achieve a wide speed range [14]. This change in rotor shape also can be applied to linear machines.
In this paper, the 12-slot/10-pole DCB-VRLM with non-uniform air gap structure is proposed to reduce the thrust ripple. The magnetic field modulation principle and combinations of 12-slot DCB-VRLMs with different pole pairs and secondary poles are analyzed. Four possible combinations are selected and optimized by the multi-objective optimization algorithm. Then, the 12-slot/10-pole combination is chosen to adopt a non-uniform air gap structure for its highest average thrust. The non-uniform air gap structure changes the flux density distribution in the air gap and reduces the cogging force of DCB-VRLMs, so the thrust ripple can be reduced at the same time. The results show that the DCB-VRLM with non-uniform air gap has a lower thrust ripple than the constant air gap structure. At the same time, the analytical method and 3D FEM are used to verify the thrust result. Hence, the DCB-VRLM with non-uniform air gap has lower thrust ripple and higher thrust density, which can be used as a linear actuator in rail transit, vertical elevators, and other long-stroke applications.
2. Magnetic Field Modulation Principle and Configurations of DCB-VRLMs
2.1. Magnetic Field Modulation Principle
The doubly salient structure of DCB-VRLMs is shown in Figure 1, and concentrated winding is used to reduce the copper loss. Based on the equivalent magnetic circuit method, the magnetic motive force (MMF) of the DC component Fdc can be expressed as (1) [15]:
where Ndc and Idc represent the number of coil turns and the current value of DC windings, respectively, Pdc is the DC component pole pairs, Lp is the length of the primary, and x is the position of the secondary.
Figure 1.
Structure and parameters of DCB-VRLMs.
With the influence of primary slotting ignored, the air gap permeability can be expressed as:
where Nsp is the secondary pole number, v the is secondary velocity, x0 is the initial position of the secondary, μ0 is vacuum permeability, hag is the length of the air gap, hst is the height of the secondary tooth, wst is the width of the secondary tooth, and wss is the width of the secondary slot.
Ignoring the influence of high-order harmonics, the no-load air gap magnetic flux density can be calculated as (5). The second and third components in (5) are generated by the modulation effect of the secondary salient poles on the DC component magnetic field. Due to the large amplitude of the lower harmonic in the traveling wave magnetic field, the pole pairs of the low harmonics are generally taken as the pole pairs of the armature winding to make full use of the harmonic. Therefore, the third component in (5) should be selected as the effective component of the machines to enhance the back EMF.
Hence, the winding pole pairs can be expressed as:
where Pa is the armature winding pole pairs, va is the motion velocity of the armature magnetic field, v is the motion velocity of the secondary, G is the transmission ratio.
If the influence of higher harmonics is considered, the winding pole pairs can be expressed as:
where i = 0, 1, 2, 3... and j = 1, 2, 3...
According to the formula of magnetic flux density, the phase flux linkage can be calculated, and then the no-load back EMF can be obtained, so the thrust can be expressed as:
where Pout is output power, ea, eb, and ec are no-load back EMF, ia, ib, and ic are armature currents.
2.2. Configurations of Slots and Poles
It is necessary to consider how to reduce the thrust ripple when choosing the combinations of winding pole pairs and secondary poles. According to (6), three variables Pa, Nsp, and Pdc need to be determined.
The case of 12-slot is taken as an example in this paper; hence, the number of slots Ns is 12. The better choice of Pa in the 12-slot is 4, 5, 7, and 8 since their winding factor is higher than 0.866 [16]. When the number of secondary poles is close to the primary slots, the thrust ripple will be smaller. Therefore, 10, 11, 13, and 14 should be selected for Nsp in 12-slot machines. The Pdc in 12-slot includes 4 configurations, as shown in Table 1. Therefore, Pdc can be equal to 1, 2, 3, and 6, but it has been proved in rotating electrical machines that choosing Pdc = 6 is helpful to reduce torque ripple [4]. However, the Pa, Nsp and Pdc can also be chosen for flexibility by different design aims.
Table 1.
Configurations of DC Component Pole Pairs.
In summary, the possible combinations of Pa/Nsp/Pdc are 4/10/6, 5/11/6, 7/13/6, and 8/14/6 according to (6).
2.3. Non-Uniform Air Gap Structure
To reduce the thrust ripple, the structure of the air gap is changed from constant to non-uniform, as shown in Figure 2. Here, the unilateral non-uniform air gap is analyzed as a simple example.
Figure 2.
Structure of constant and non-uniform air gap.
The influence of primary slotting is ignored in the following analysis. According to the coordinate system established in Figure 2, the relationship between the length of the air gap and the secondary teeth width is given as:
where r is the radius of an arc in the non-uniform structure, ha is the height of an arc in the non-uniform structure, x and y are the coordinates of a certain point in the arc.
The air gap length at any point in the secondary teeth is calculated as:
Hence, the effective air gap length in the original air gap permeability should be replaced by hag − y, and the transformed formulations can be expressed as:
The effective air gap length δ (x, a) can be obtained by the position function of primary and secondary. The cogging force of the machine is determined by the magnetic co-energy in the air gap:
where a is the position of secondary.
3. Optimization of Structural Parameters
3.1. Optimization for Different Slots/Poles Combinations
The machine structure is optimized using the NSGA-II multi-objective optimization algorithm [17], which improves the distribution of search solutions in the decision space based on the NSGA algorithm. In the optimization, the end length is adjusted to reduce the influence of the end effect. The main optimization variables include primary tooth width, secondary tooth width, secondary height, end length, etc. The population size is set as 100, and the evolutionary generation is set as 50. The optimization goal is to increase the average thrust and reduce the thrust ripple.
To reduce the normal magnetic force, the bilateral structure is selected for study in this paper. The performance of the models was analyzed by the finite element method (FEM) using Ansys Maxwell software. The structures of the four machines are optimized under the same constraints, and the non-dominated solution of the final generation is shown in Figure 3.
Figure 3.
Multi-objective optimization of DCB-VRLMs using NSGA-II algorithm.
The selection principle of the optimal point is as follows: arrange the non-dominated solution of final generation (N points) in ascending order, and then subtract the two adjacent solutions to get (ΔThrust, ΔRipple) for N-1 points, and select the design point with the largest ΔThrust/ΔRipple value as the optimal point. Then, the optimal point is determined according to the optimization results. The winding connection of four combinations is shown in Figure 4. The key parameters of DCB-VRMs are listed in Table 2, where the primary length in the table does not include the end length.
Figure 4.
The DCB-VRLMs with different combinations of Pa/Nsp/Pdc. (a) Model 1: 4/10/6. (b) Model 2: 5/11/6. (c) Model 3: 7/13/6. (d) Model 4: 8/14/6.
Table 2.
Key Parameters of DCB-VRLMs.
3.2. Optimization for Non-Uniform Air Gap Structure
The air gap structure of 12-slot/10-pole DCB-VRLM can be changed to non-uniform by making both the primary and secondary into an arc. The structure parameters of the machine are optimized by NSGA-II multi-objective optimization algorithm under the same conditions as Section 3.1, and the result is shown in Figure 5. The optimal point can be determined from the optimization result and marked in Figure 5. The configuration of DCB-VRLM with non-uniform air gap structure and its 3D model is shown in Figure 6, the key parameters are listed in Table 3.
Figure 5.
Multi-objective optimization of DCB-VRLM with non-uniform air gap using NSGA-II algorithm.
Figure 6.
The DCB-VRLM with non-uniform air gap structure.
Table 3.
Key Parameters of DCB-VRLM with Non-uniform Air Gap Structure.
4. Performance Analysis of Different Modulation Combinations
The four models of DCB-VRMs are shown in Figure 4 and Table 2 in Section 3.1. They have the same primary length and winding current density. In addition, the motion velocity is set as 2 m/s to compare under the same application specifications. For DCB-VRMs, the velocity relationship can be expressed as:
where we is the electric angular velocity, wm is the mechanical angular velocity, and Nr is the number of rotor poles.
Hence, the motion velocity v of DCB-VRLMs can be expressed as:
where f is the current frequency, and τ is the distance between two secondary poles.
The inverter circuit of DCB-VRLMs is shown in Figure 7, which can flexibly control the machine by adjusting the DC/AC ratio. The inverter can be a dual-three-phase or six-phase inverter. Phase currents of DCB-VRLMs can be expressed as:
Figure 7.
The inverter circuit of DCB-VRLMs.
4.1. No-Load Back-EMF
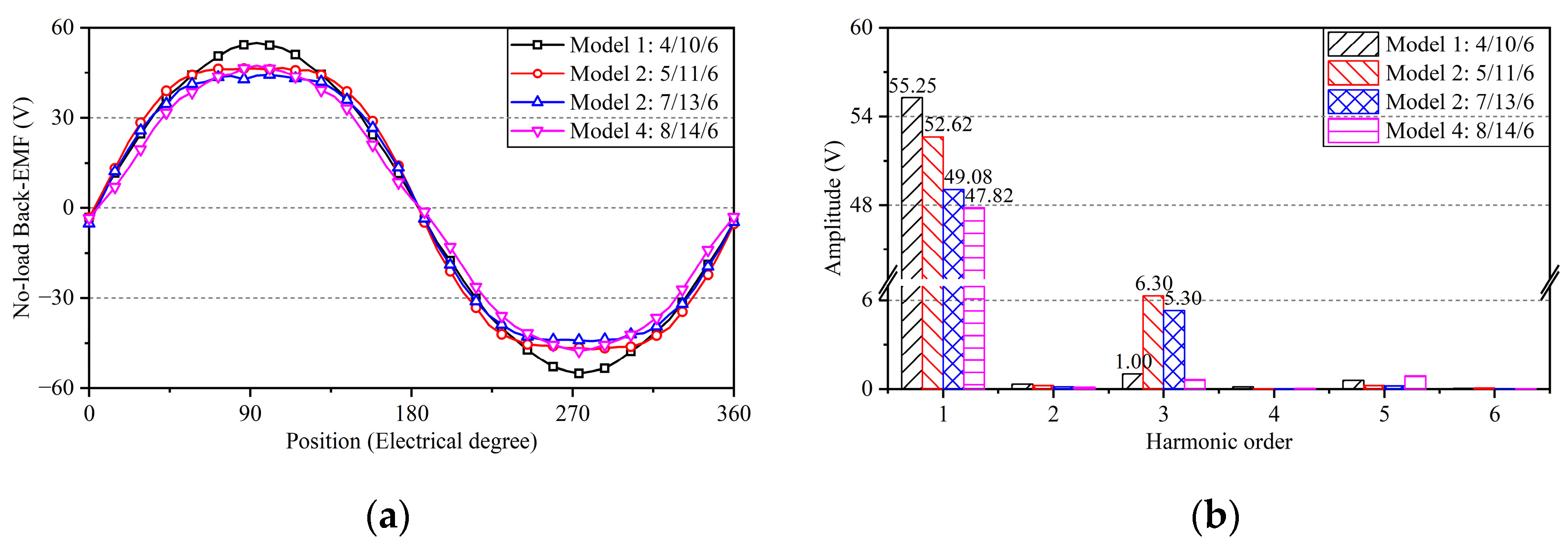
When only DC current component is applied, the no-load performance of the four machines can be obtained. The no-load back-EMF and harmonic order of phase A are shown in Figure 8.
Figure 8.
The no-load back-EMF (a) and harmonic order (b) of DCB-VRLMs with different combinations.
As shown in Figure 8a, Model 1 and Model 4 are more sinusoidal than Model 2 and Model 3. Meantime, the total harmonic distortions (THD) of the four models can be calculated as 2.33%, 12.02%, 10.86%, and 3.17%. In Figure 8b, the fundamental amplitude decreases with the increase in the number of secondary poles. The third harmonic amplitude of Model 2 and Model 3 is higher than that of Model 1 and Model 4.
Similarly, when only DC current component is applied, the no-load performance of the DCB-VRLMs with constant and non-uniform air gap structures can be obtained. The back-EMF and harmonic order of phase A are shown in Figure 9.
Figure 9.
The no-load back-EMF (a) and harmonic order (b) of DCB-VRLM with the constant and non-uniform air gap.
As can be seen in Figure 9a, the DCB-VRLM with non-uniform air gap is more sinusoidal than the constant ones. It can be calculated that the THD of DCB-VRLM with constant and non-uniform air gap is 2.33% and 1.08%. In Figure 9b, the non-uniform air gap structure increases the fundamental amplitude and decreases the third harmonic amplitude compare to the constant ones.
Figure 10 shows the detent force, the normal magnetic flux of the air gap, and its harmonic order of DCB-VRLM with the constant and non-uniform air gap. As can be seen in Figure 10a, the maximum detent force of the non-uniform air gap structure motor is reduced by 61.4% compared to the constant air gap from 10.1 N to 3.9 N. Figure 10b shows the waveform of normal air gap magnetic density (ignoring the end length), it can be seen that the non-uniform air gap structure improves the air gap magnetic density distribution. Figure 10c shows that the 4th and 7th harmonics are the main working harmonics of the machine, and the 6th, 18th, and 30th harmonics are stationary with no thrust contribution.
Figure 10.
The detent force (a), the normal magnetic flux of air gap (b), and its harmonic order (c) of DCB-VRLM with the constant and non-uniform air gap.
4.2. Rated On-Load Characteristics
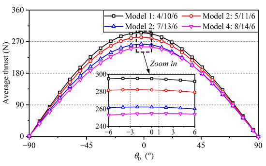
Figure 11 shows the average thrust variation with the phase current angle when the AC current and DC current are both 5 A. It is shown that the maximum thrust occurs when the phase current angle is −3°~1°. Therefore, the current angle is set to maximize the average thrust. Then, the magnetic flux distributions when t = 0 of four models are shown in Figure 12, and the thrust comparison of four possible combinations are shown in Figure 13. It can be seen that the average thrust decreases with the increase in the number of secondary poles, and the thrust ripple of Model 2~Model 4 is lower than Model 1. Model 2 with 11-pole has low thrust ripple and high average thrust, which should be a better application choice.
Figure 11.
Average thrust variation with phase current angle.

Figure 12.
The magnetic flux density distribution of DCB-VRLMs with different combinations of Pa/Nsp/Pdc. (a) Model 1: 4/10/6. (b) Model 2: 5/11/6. (c) Model 3: 7/13/6. (d) Model 4: 8/14/6.
Figure 13.
The thrust comparison of four possible combinations.
The average thrust, thrust ripple, and other performances of the four models are shown in Table 4. The copper loss for DCB-VRLMs can be calculated as (the end winding is considered):
where Rphase is phase resistance.
Table 4.
Performance of Four Models.
The winding temperature of the machine is set as 85 °C at 200 W copper loss and 150 °C at 400 W copper loss approximately [12]. Rphase increases with the increase in temperature. Rphase = R20 [1 + α (t − 20)], where α = 0.003862 is the temperature coefficient. Then, the iron loss can be calculated by the Bertotti iron loss model as:
where Ph is hysteresis core loss, Pc is classical eddy-current core loss, Pe is hysteresis excess core loss, Bm is the amplitude of magnetic flux density, Kh is the hysteresis core loss coefficient, Kc is the classical eddy-current core loss coefficient, and Ke is the excess core loss coefficient.
The excessive loss of the machines is roughly set to 2% of the output power. The performance of the four models in Table 4 is compared at the same motion velocity (2 m/s) and copper loss (200 W). The secondary weight is calculated as twice the number of secondary poles.
It can be found that the average thrust and efficiency decrease with the increase in the number of secondary poles. Among them, Model 1 exhibits the highest average thrust and highest thrust ripple, Model 2~Model 4 have low thrust ripple than Model 1, while the max normal magnetic force of the four models is less than 2 N. Model 1 and Model 2 exhibit a higher thrust density than Model 3 and Model 4.
The efficiency of DCB-VRLMs is low since the low-speed application condition in this paper, but it can increase when motion velocity is high. Among the four models, Model 2 with 11 poles is the better choice from a comprehensive point of view, since it has a higher average thrust, lower thrust ripple, and lower max normal magnetic force.
For the non-uniform air gap structure, when both the DC and AC current are applied, the thrust comparison of DCB-VRLM with the constant and non-uniform air gap is shown in Figure 14. The AC current and DC current are both set as 5 A. It can be seen that the thrust ripple of DCB-VRLM with the non-uniform air gap is lower than the constant ones, and the average thrust is higher than the constant one.
Figure 14.
The thrust comparison of DCB-VRLM with constant and non-uniform air gap.
The average thrust, thrust ripple, and other performances comparison of DCB-VRLM with constant and non-uniform air gap are shown in Table 5, which are compared at the same motion velocity (2 m/s) and copper loss (200 W). It can be found that the average thrust of DCB-VRLM with non-uniform air gap is 4.1% higher than the constant ones, while the thrust ripple of DCB-VRLM with non-uniform air gap is 65.6% lower than the constant ones, and the reduction percentage is consistent with the detent force.
Table 5.
Key Parameters of DCB-VRLM with Non-uniform Air Gap Structure.
4.3. Overload Capability Verification
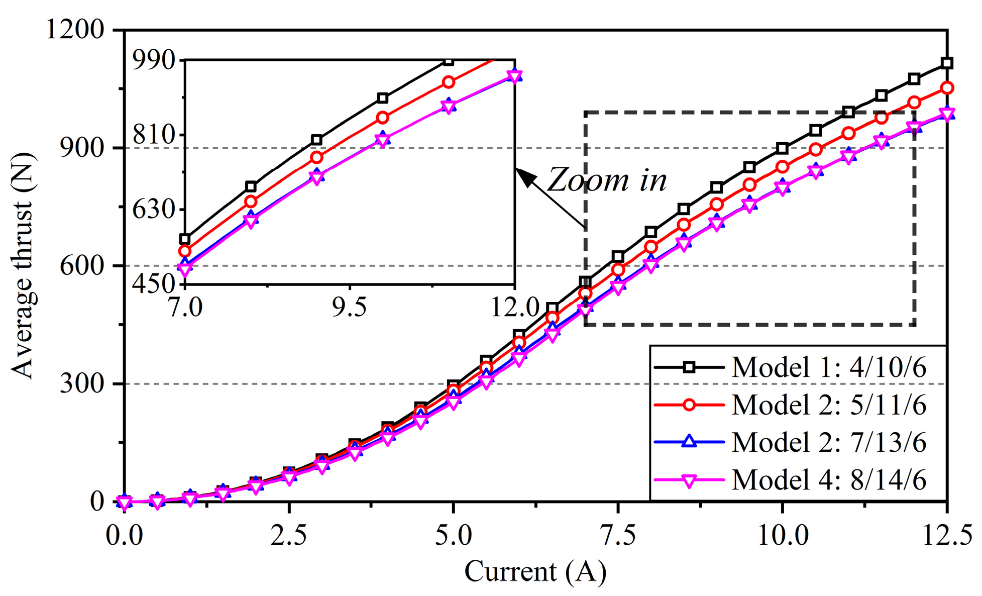
The average thrust performance of DCB-LVRMs under different currents is shown in Figure 15. The AC current is set as equal to the DC current, and they are both set from 0 A to 12.5 A. The results show that the average thrust of Model 1~4 at I = 10 A can reach 898.72 N, 851.83 N, 800.03 N, and 799.73 N, respectively, with good overload capability. Model 4 exhibits higher thrust than Model 3 when the current is greater than 10.4 A.
Figure 15.
The average thrust performance under different currents.
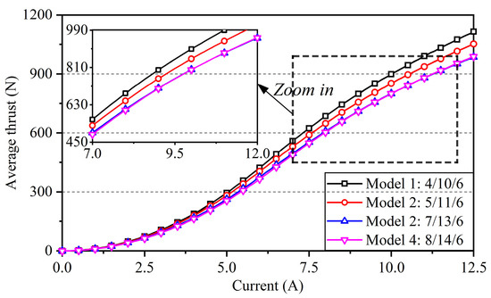
The overload performance of DCB-LVRMs with constant and non-uniform air gap under different currents is shown in Figure 16. The AC current is set as equal to DC current, and they are both set from 0 A to 12.5 A. As can be seen in Figure 16a, the result shows that DCB-LVRM with the non-uniform air gap has good overload capability too, and the DCB-VRLM with non-uniform air gap exhibits about 3.1% higher thrust than the constant ones. As can be seen in Figure 16b, the thrust ripple of the DCB-VRLM with non-uniform air gap exhibit better performance than the constant ones when the current increases.
Figure 16.
The overload performance (a) average thrust (b) thrust ripple of DCB-VRLMs with constant and non-uniform air gap under different currents.
4.4. Energy Distribution of AC/DC Current
Figure 17 shows the average thrust and estimated efficiency under different AC currents and DC currents of DCB-VRLMs with the non-uniform air gap. Here, the change of resistance with temperature has been considered by numerical fitting when the current changes. The results show that the highest efficiency of DCB-VRLMs can reach more than 80%. The DC/AC ratio with the highest efficiency is 1 when the AC current is 0~4 A and decreases gradually when the AC current increase. When the AC current is 12.5 A, the DC/AC ratio with the highest efficiency is reduced to 0.52.
Figure 17.
The average thrust and efficiency under different AC currents and DC currents of DCB-VRLM with non-uniform air gap.
4.5. 3D FEM Verification and Comparison
In order to verify the effectiveness of the 2D FEM calculation results, the DCB-VRLM with the non-uniform air gap was calculated using the analytical calculation method and 3D FEM, respectively, as shown in Table 6. The 3D magnetic flux density distribution map at t = 0 is shown in Figure 18, and the thrust waveform of different calculation methods is shown in Figure 19.
Table 6.
Comparison of different calculation methods.
Figure 18.
3D magnetic flux density distribution map of DCB-VRLM with non-uniform air gap.
Figure 19.
3D magnetic flux density distribution map of DCB-VRLM with non-uniform air gap.
It can be seen from Figure 19 and Table 6 that the calculation error between 2D FEM and the other two methods is less than 1.2%, but the calculation time of 3D FEM is about 861.5 times that of 2D FEM. Therefore, the analysis results calculated by 2D FEM are effective, and can save a lot of computing resources.
5. Conclusions
This paper proposed a 12-slot/10-pole bilateral non-permanent magnet DCB-VRLM with non-uniform air gap structure. The main contribution of the proposed design is concluded as follows.
The thrust ripple is effectively reduced with the non-uniform air gap structure under 12-slot/10-pole combination. Results indicate the thrust ripple of DCB-VRLM with the non-uniform air gap is reduced by 65.6% lower than the constant ones. At the same time, the average thrust of DCB-VRLM with the non-uniform air gap is improved compared to the constant ones of 4.1%.
A better overload capability is achieved with the proposed design. Under a heavy load condition, the average thrust of the proposed DCB-LVRM can be improved to 914 N with excitation currents of 10 A while that under the rated condition is 307.4 N with excitations of 5 A.
Based on the discussion, the DCB-VRLM with non-uniform air gap structure has better overload capability, low thrust ripple, and high thrust density, which confirm its superiority in long-stroke linear applications.
Author Contributions
Conceptualization, W.F. and J.L.; methodology, Z.Q. and Y.Z.; software, Z.Q. and H.C.; validation, Y.Z., D.S. and J.L.; formal analysis, D.S. and H.C.; writing—original draft preparation, Z.Q.; writing—review and editing, J.L., W.F. and Y.Z. All authors have read and agreed to the published version of the manuscript.
Funding
This work was funded by the Shanghai Sailing Program, grant number 20YF1412600.
Institutional Review Board Statement
Not applicable.
Informed Consent Statement
Not applicable.
Data Availability Statement
Not applicable.
Conflicts of Interest
The authors declare no conflict of interest.
References
- Liu, X.; Zhu, Z.Q. Electromagnetic performance of novel variable flux reluctance machines with DC-field coil in stator. IEEE Trans. Magn. 2013, 49, 3020–3028. [Google Scholar] [CrossRef]
- Zhu, Z.Q.; Lee, B.; Liu, X. Integrated field and armature current control strategy for variable flux reluctance machine using open winding. IEEE Trans. Ind. Appl. 2016, 52, 1519–1529. [Google Scholar]
- Jia, S.; Qu, R.; Kong, W.; Li, D.; Li, J. Flux modulation principles of DC-biased sinusoidal current vernier reluctance machines. IEEE Trans. Ind. Appl. 2018, 54, 3187–3196. [Google Scholar] [CrossRef]
- Jia, S.; Qu, R.; Kong, W.; Li, D.; Li, J.; Zhang, R. Stator/rotor slot and winding pole pair combinations of DC-biased current vernier reluctance machines. IEEE Trans. Ind. Appl. 2018, 54, 5967–5977. [Google Scholar] [CrossRef]
- Chen, Y.; Fu, W.; Weng, X. A concept of general flux-modulated electric machines based on a unified theory and its application to developing a novel doubly-fed dual-stator motor. IEEE Trans. Ind. Electron. 2017, 64, 9914–9923. [Google Scholar] [CrossRef]
- Jia, S.; Qu, R.; Kong, W.; Li, D.; Li, J.; Yu, Z.; Fang, H. Hybrid excitation stator PM vernier machines with novel DC-biased sinusoidal armature current. IEEE Trans. Ind. Appl. 2018, 54, 1339–1348. [Google Scholar] [CrossRef]
- Jia, S.; Qu, R.; Li, J.; Li, D.; Kong, W. A stator-PM consequent-pole vernier machine with hybrid excitation and DC-biased sinusoidal current. IEEE Trans. Magn. 2017, 53, 8105404. [Google Scholar] [CrossRef]
- Sheng, T.; Niu, S.; Fu, W.; Lin, Q. Topology exploration and torque component analysis of double stator biased flux machines based on magnetic field modulation mechanism. IEEE Trans. Energy Convers. 2018, 33, 584–593. [Google Scholar] [CrossRef]
- Jia, S.; Sun, P.; Liang, D.; Dong, X.; Zhu, Z.; Liu, J. Analysis of DC-biased vernier reluctance machines having distributed windings. IEEE Trans. Magn. 2021, 57, 8106605. [Google Scholar] [CrossRef]
- Eguren, I.; Almandoz, G.; Egea, A.; Ugalde, G.; Escalada, A.J. Linear machines for long stroke applications—A review. IEEE Access 2020, 8, 3960–3979. [Google Scholar] [CrossRef]
- Shen, Y.; Zeng, Z.; Lu, Q.; Wu, L. Design optimization and performance investigation of linear doubly salient slot permanent magnet machines. IEEE Trans. Ind. Appl. 2019, 55, 1524–1535. [Google Scholar] [CrossRef]
- Shen, Y.; Lu, Q.; Shi, T.; Xia, C. Analysis and evaluation of hybrid-excited doubly salient permanent magnet linear machine with DC-biased armature current. IEEE Trans. Ind. Appl. 2021, 57, 3666–3677. [Google Scholar] [CrossRef]
- Jiang, Q.; Lu, Q.; Li, Y. Thrust ripple and depression method of dual three-phase permanent magnet linear synchronous motors. Trans. China Electrotech. Soc. 2021, 36, 883–892. [Google Scholar]
- Chau, K.T.; Cui, W.; Jiang, J.Z.; Wang, Z. Design of permanent magnet brushless motors with asymmetric air gap for electric vehicles. J. Appl. Phys. 2006, 99, 08R322. [Google Scholar] [CrossRef]
- Du, Y.; Cheng, M.; Chau, K.T. Design and analysis of a new linear primary permanent magnet vernier machine. Trans. China Electrotech. Soc. 2012, 27, 22–30. [Google Scholar]
- Carraro, E.; Bianchi, N.; Zhang, S.; Koch, M. Design and performance comparison of fractional slot concentrated winding spoke type synchronous motors with different slot-pole combinations. IEEE Trans. Ind. Appl. 2018, 54, 2276–2284. [Google Scholar] [CrossRef]
- Deb, K.; Pratap, A.; Agarwal, S.; Meyarivan, T.A.M.T. A fast and elitist multiobjective genetic algorithm: NSGA-II. IEEE Trans. Evol. Comput. 2002, 6, 182–197. [Google Scholar] [CrossRef]
Disclaimer/Publisher’s Note: The statements, opinions and data contained in all publications are solely those of the individual author(s) and contributor(s) and not of MDPI and/or the editor(s). MDPI and/or the editor(s) disclaim responsibility for any injury to people or property resulting from any ideas, methods, instructions or products referred to in the content. |
© 2022 by the authors. Licensee MDPI, Basel, Switzerland. This article is an open access article distributed under the terms and conditions of the Creative Commons Attribution (CC BY) license (https://creativecommons.org/licenses/by/4.0/).



















