Histochemical and Microscopic Studies Predict that Grapevine Genotype “Ju mei gui” is Highly Resistant against Botrytis cinerea
Abstract
1. Introduction
2. Results
2.1. Grape Genotypes and Their Various Levels of Resistance to B. cinerea
2.2. Fungal Growth on Leaves and Berries Post B. cinerea Inoculation
2.3. Peroxidase and Superoxide Dismutase Activities in ”Ju mei gui” and “Summer black” Post B. cinerea Inoculation
2.3.1. Activities of Superoxide Dismutase (SOD)
2.3.2. Activities of Peroxidase (POD)
2.4. Hydrogen Peroxide (H2O2) Accumulation in HR ”Ju mei gui” and HS “Summer black”leaves and berries in Response to Infection with B. cinerea
2.4.1. H2O2 Activities in “Ju mei gui” and “Summer black” Following Inoculation with B. cinerea
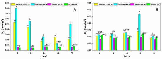
2.4.2. Superoxide Radicals (O2-) Activities in “Ju mei gui” and “Summer black” Post-B. cinerea Inoculation
2.5. Jasmonic Acid Contents in Leaves and Berries of “Ju mei gui” and “Summer black” with Post-B. cinerea Inoculation
3. Discussion
4. Materials and Methods
4.1. Grape and Fungal Resources
4.2. Detached Leaf and Berry Evaluation
4.3. Disease Severity Assessment
4.4. Microscopic Assessment of B. cinerea Development
4.5. Scanning Electron Microscopy (SEM)
4.6. Reactive Oxygen Species
4.6.1. H2O2 Determination
4.6.2. O2- Determination
4.7. Antioxidant Enzymes Analyses
4.8. JA Measurements in “Ju mei gui” and “Summer black”
4.9. Statistical Analysis
5. Conclusions
Author Contributions
Funding
Acknowledgments
Conflicts of Interest
References
- Tu, M.X.; Wang, X.H.; Feng, T.Y.; Sun, X.M.; Wang, Y.Q.; Huang, L.; Gao, M.; Wang, X.P. Expression of a grape (Vitis vinifera) bZIP transcription factor, VIbZIP36, in Arabidopsis thaliana confers tolerance of drought stress during seed germination and seedling establishment. Plant Sci. 2016, 252, 311–323. [Google Scholar] [CrossRef] [PubMed]
 - Li, S.H. Grapevine breeding and genetics in China: History, current status and the future. Acta Hortic. 2015, 1082, 165–176. [Google Scholar]
 - Dean, R.; Van Kan, J.A.L.; Pretorius, Z.A.; Hammond-Kosack, K.E.; Di Pietro, A.; Spanu, P.D. The top fungal pathogens in molecular plant pathology. Mol. Plant Pathol. 2012, 13, 414–430. [Google Scholar] [CrossRef] [PubMed]
 - Mengiste, T. Plant immunity to necrotrophs. Annu. Rev. Phytopathol. 2012, 50, 267–294. [Google Scholar] [CrossRef] [PubMed]
 - Cadle-davidson, L. Monitoring pathogenesis of natural. Vitis 2008, 4, 387–395. [Google Scholar]
 - Ribéreau-Gayon, P.; Dubourdieu, D.; Donèche, B.; Lonvaud, A. Traité d’Oenologie Microbiologie du Vin et Vinifications; Dunod: Paris, France, 1998. [Google Scholar]
 - Latorre, B.; Elfar, K.; Ferrada, E. Gray mold caused by Botrytis cinerea, limits grape production in Chile. Crop Protect. 2015, 42, 305–330. [Google Scholar] [CrossRef]
 - Hahn, M. The rising threat of fungicide resistance in plant pathogenic fungi: Botrytis as a case study. J. Chem. Biol. 2014, 4, 133–141. [Google Scholar] [CrossRef]
 - Damalas, C.A.; Eleftherohorinos, I.G. Pesticide exposure, safety issues, and risk assessment indicators. Int. J. Environ. Res. Public Health. 2011, 8, 1402–1419. [Google Scholar] [CrossRef]
 - Peros, J.P.; Nguyen, T.H.; Troulet, C.; Michel-Romitti, C.; Notteghem, J.L. Assessment of powdery mildew resistance of grape and Erysiphe necator pathogenicity using laboratory assay. Vitis 2006, 45, 29–36. [Google Scholar]
 - Liu, Y.; He, C. Regulation of plant reactive oxygen species (ROS) in stress responses: Learning from AtRBOHD. Plant Cell Rep. 2016, 35, 995–1007. [Google Scholar] [CrossRef]
 - Temme, N.; Tudzynski, P. Does Botrytis cinerea ignore H2O2 -induced oxidative stress during infection? Characterization of botrytis activator protein 1. APS J. 2009, 22, 987–998. [Google Scholar]
 - Dietz, K.J. Thiol-based peroxidases and ascorbate peroxidases: Why plants rely on multiple peroxidase systems in the photosynthesizing chloroplast? Mol. Cells 2016, 39, 20–25. [Google Scholar] [PubMed]
 - Govrin, E.M.; Levine, A. The hypersensitive response facilitates plant infection by the necrotrophic pathogen Botrytis cinerea. Curr. Biol. 2000, 10, 751–757. [Google Scholar] [CrossRef]
 - Sies, H. Oxidative stress: Oxidants and antioxidants. Exp. Physiol. 1997, 82, 291–295. [Google Scholar] [CrossRef] [PubMed]
 - Ahamadi, S.A.K.; Ebadi, A.; Jahanbakhsh, S. Changes in enzymatic and nonenzymatic antioxidant defense mechanisms of canola seedlings at different drought stress and nitrogen levels. Turkish J. Agric. 2015, 39, 601–612. [Google Scholar] [CrossRef]
 - Sharma, P.; Jha, A.B.; Dubey, R.S. Oxidative stress and antioxidative defense system in plants growing under abiotic stresses. In Handbook of Plant and Crop Stress, 3rd ed.; Pessarakli, M., Ed.; CRC Press, Taylor and Francis Publishing Company: Boca Raton, FL, USA, 2010; pp. 89–138. [Google Scholar]
 - Durrant, W.E.; Dong, X. Systemic acquired resistance. Annu. Rev. Phytopathol. 2004, 42, 185–209. [Google Scholar] [CrossRef]
 - Glazebrook, J. Contrasting mechanisms of defense against biotrophic and necrotrophic pathogens. Annu. Rev. Phytopathol. 2005, 43, 205–227. [Google Scholar] [CrossRef]
 - Wasternack, C.; Hause, B. Jasmonates: Biosynthesis, perception, signal transduction and action in plant stress response, growth and development. An update to the 2007 review in Annals of Botany. Ann. Bot. 2013, 111, 1021–1058. [Google Scholar] [CrossRef]
 - Kang, J.H.; Wang, L.; Giri, A.; Baldwin, I.T. Silencing threonine deaminase and JAR4 in nicotiana attenuate impairs jasmonic acid-isoleucine-mediated defenses against manduca sexta. Plant Cell 2006, 18, 3303–3320. [Google Scholar] [CrossRef]
 - Creelman, R.A.; Mullet, J.E. Biosynthesis and action of jasmonate in plants. Annu. Rev. Plant Biol. 1997, 48, 355–381. [Google Scholar] [CrossRef]
 - Poolsawat, O.; Tharapreuksapong, A.; Wongkaew, S.; Chaowiset, W.; Tantasawat, P. Laboratory and field evaluations of resistance to Sphaceloma ampelinum causing anthracnose in grapevine. Australas. Plant Pathol. 2012, 41, 263–269. [Google Scholar]
 - Karuppanapandian, T.; Moon, J.C.; Kim, C.; Manoharan, K.; Kim, W. Reactive oxygen species in plants: Their generation, signal transduction, and scavenging mechanisms. Aust. J. Crop Sci. 2011, 5, 709–725. [Google Scholar]
 - FAO. Prevention of Post-Harvest Food Losses: Fruits, Vegetables and Root Crops: A Training Manual; FAO: Rome, Italy, 1989. [Google Scholar]
 - Mittler, R.; Vanderauwera, S.; Suzuki, N.; Miller, G.; Tognetti, V.B.; Vandepoele, K. ROS signaling: The new wave? Trends Plant Sci. 2011, 16, 300–309. [Google Scholar] [CrossRef] [PubMed]
 - Gabler, F.M.; Smilanick, J.L.; Mansour, M.; Ramming, D.W.; Mackey, B.E. Correlations of morphological, anatomical, and chemical features of grape berries with resistance to Botrytis cinerea. Phytopathology 2003, 93, 1263–1273. [Google Scholar] [CrossRef]
 - Wan, R.; Hou, X.; Wang, X.; Qu, J.; Singer, S.D.; Wang, Y.; Wang, X. Resistance evaluation of Chinese wild Vitis genotypes against Botrytis cinerea and different responses of resistant and susceptible hosts to the infection. Front. Plant Sci. 2015, 6, 1–17. [Google Scholar] [CrossRef]
 - Smilanick, J.L.; Mansour, M.F.; Gabler, F.M.; Margosan, D.A.; Hashim-Buckey, J. Control of post-harvest gray mold of table grapes in the San Joaquin Valley of California by fungicides applied during the growing season. Plant Dis. 2010, 94, 250–257. [Google Scholar] [CrossRef]
 - Asai, S.; Yoshioka, H. Nitric oxide as a partner of reactive oxygen species participates in disease resistance to necrotrophic pathogen Botrytis cinerea in nicotiana benthamiana. APS J. 2009, 22, 619–629. [Google Scholar] [CrossRef]
 - Asselbergh, B.; Curvers, K.; Franca, S.C.; Audenaert, K.; Vuylsteke, M.; Van Breusegem, F. Resistance to Botrytis cinerea in sitiens, an abscisic acid-deficient tomato mutant, involves timely production of hydrogen peroxide and cell wall modifications in the epidermis. Plant Physiol. 2007, 144, 1863–1877. [Google Scholar] [CrossRef]
 - Zhang, Y.; Liu, B.; Li, X.; Ouyang, Z.; Huang, L.; Hong, Y. The denovo biosynthesis of vitamin B6 is required for disease resistance against Botrytis cinerea in tomato. Mol. Plant-Microbe Interact. 2014, 27, 688–699. [Google Scholar] [CrossRef]
 - Foyer, C.H.; Noctor, G. Redox signaling in plants. Antioxid. Redox Signal. 2013, 18, 2087–2090. [Google Scholar] [CrossRef]
 - Atkinson, N.J.; Urwin, P.E. In Posidonia oceanica cadmium induces changes in DNA methylation and chromatin patterning. J. Exp. Bot. 2012, 63, 695–709. [Google Scholar]
 - Jia, H.; Zhang, C.; Pervaiz, T.; Zhao, P.; Liu, Z.; Wang, B. Jasmonic acid involves in grape fruit ripening and resistant against Botrytis cinerea. Funct. Integr. Genom. 2016, 16, 79–94. [Google Scholar] [CrossRef] [PubMed]
 - Bari, R.; Jones, J.D.G. Role of plant hormones in plant defence responses. Plant Mol. Biol. 2009, 69, 473–488. [Google Scholar] [CrossRef] [PubMed]
 - Bruinsma, M.; Van Dam, N.M.; Van Loon, J.J.A.; Dicke, M. Jasmonic acid-induced changes in brassica oleracea affect oviposition preference of two specialist herbivores. J. Chem. Ecol. 2007, 33, 655–668. [Google Scholar] [CrossRef]
 - Li, C.; Schilmiller, A.L.; Liu, G.; Lee, G.I.; Jayanty, S.; Sageman, C. Role of beta-oxidation in jasmonate biosynthesis and systemic wound signaling in tomato. Plant Cell 2005, 17, 971–986. [Google Scholar] [CrossRef]
 - Surya, S.; Li-Ling, C.; Kathleen, S.; Hui, G.; Chin-Feng, H. A phenotypic study of Botrytis bunch rot resistance in Vitis aestivalis-derived ‘Norton’ grape. Trop. Plant Pathol. 2015, 40, 279–282. [Google Scholar]
 - Rahman, M.U.; Hanif, M.; Wan, R.; Hou, X.; Ahmad, B.; Wang, X. Screening Vitis genotypes for responses to Botrytis cinerea and evaluation of antioxidant enzymes, reactive oxygen species and jasmonic acid in resistant and susceptible hosts. Molecules 2019, 24, 5. [Google Scholar] [CrossRef]
 - Coombe, B.G. Growth stages of the grapevine: Adoption of a system for identifying grapevine growth stages. Aust. J. Grape Wine Res. 1995, 1, 104–110. [Google Scholar] [CrossRef]
 - Li, D.; Wan, Y.; Wang, Y.; He, P. Relatedness of resistance to anthracnose and to white rot in Chinese wild grapes. Vit. J. Grapevine Res. 2008, 47, 213–215. [Google Scholar]
 - Rahman, M.U.; Hanif, M.; Shah, K.; Ahmad, B.; Wang, X. In vitro evaluation of berries of various Vitis genotypes for disease resistance to Botrytis cinerea. Vitis 2019, 58, 123–130. [Google Scholar]
 - Moloi, M.J.; Westhuizen, A.J. The reactive oxygen species are involved in resistance responses of wheat to the Russian wheat aphid. J. Plant Physiol. 2006, 163, 1118–1125. [Google Scholar] [CrossRef] [PubMed]
 - Elstner, E.F.; Heupel, A. Formation of hydrogen peroxide by isolated cell walls from horseradish (Armoracia lapathifolia Gilib). Planta 1976, 320, 317–320. [Google Scholar] [CrossRef] [PubMed]
 - Giannopolitis, C.N.; Ries, S.K. Superoxide dismutases. Biol. Roles Copp. 1977, 59, 125–142. [Google Scholar]
 - Royo, J.; Leon, J.; Vancanneyt, G.; Albar, J.P.; Rosahl, S.; Ortego, F. Antisense-mediated depletion of a potato lipoxygenase reduces wound induction of proteinase inhibitors and increases weight gain of insect pests. Proc. Natl. Acad. Sci. USA 1999, 96, 1146–1151. [Google Scholar] [CrossRef] [PubMed]
 - Albrecht, T.; Kehlen, A.; Stahl, K.; Knöfel, H.D.; Sembdner, G.; Weiler, E.W. Quantification of rapid, transient increases in jasmonic acid in wounded plants using a monoclonal antibody. Planta 1993, 191, 86–94. [Google Scholar] [CrossRef]
 








| Species | Genotypes | a Disease Severity % | b Resistant Level | Mycelium | Sporulation | Leaf Lesion % | 
|---|---|---|---|---|---|---|
| V.vinifera L. | Ju mei gui | 4.6 ± 1.69 | HR | N | N | 8.70 ± 0.52 | 
| V.vinifera L. | Cinsault | 92.26 ± 1.12 | HS | Y | Y | 87.3 ± 1.50 | 
| V.vinifera L. | Blue French | 78.58 ± 3.93 | S | Y | Y | 70.00 ± 1.00 | 
| V.vinifera L. | Lady Finger | 84.60 ± 1.03 | HS | Y | Y | 74.50 ± 1.32 | 
| V.vinifera L. | Fresno | 55.75 ± 3.42 | S | Y | Y | 22.6 ± 2.80 | 
| V.vinifera L. | Merlot | 97.59 ± 2.03 | HS | Y | Y | 86.50 ± 1.32 | 
| V.vinifera L. | Thompson Seedless | 74.22 ± 3.66 | S | Y | Y | 63.33 ± 1.23 | 
| V.vinifera L. | Tokay | 93.98 ± 1.77 | HS | Y | Y | 91.33 ± 1.53 | 
| V.vinifera L. | Flame Seedless | 45.86 ± 2.48 | S | Y | N | 25.33 ± 1.53 | 
| V.vinifera L. | Zhana | 63.88 ± 1.68 | S | Y | Y | 46.33 ± 1.53 | 
| V.vinifera L. | Early Muscat | 96.60 ± 0.85 | HS | Y | Y | 94.00 ± 1.00 | 
| V.vinifera L. | Manaizi | 92.28 ± 0.65 | HS | Y | Y | 92.67 ± 0.58 | 
| V.vinifera L. | Red Hanepoot | 84.14 ± 1.68 | HS | Y | Y | 71.33 ± 2.08 | 
| V.vinifera L. | Sangiovese | 76.15 ± 1.66 | HS | Y | Y | 62.90 ± 0.10 | 
| V. vinifera L. × V. amurensis Rupr | Bei hong | 42.40 ± 2.77 | S | Y | Y | 22.67 ± 0.61 | 
| V. vinifera L. × V. amurensis Rupr | Beibing Hong | 86.60 ± 0.43 | HS | Y | Y | 75.13 ± 0.81 | 
| V. vinifera L. × V. labrusca L. | Zuijin xiang | 65.85 ± 1.68 | S | Y | N | 51.67 ± 1.15 | 
| V. vinifera L. × V. labrusca L. | Gold Finger | 84.64 ± 1.56 | HS | Y | Y | 73.33 ± 2.89 | 
| V. vinifera L. × V. labrusca L. | Kyoho | 24.77 ± 0.24 | R | N | N | 58.23 ± 0.68 | 
| V. vinifera L. × V. labrusca L. | Hu Tai No.8 | 92.67 ± 1.41 | HS | Y | Y | 94.27 ± 0.64 | 
| V. vinifera L. × V. labrusca L. | Tian Yuan Qi | 93.07 ± 3.93 | HS | Y | Y | 87.83 ± 1.04 | 
| V. vinifera L. × V. labrusca L. | Summer Black | 98.61 ± 1.13 | HS | Y | Y | 94.17 ± 0.72 | 
| V. vinifera L. × V. labrusca L. | Black Rose | 76.58 ± 0.56 | S | Y | Y | 69.00 ± 2.00 | 
| V. vinifera L. × V. labrusca L. | Dong fang zhi xing | 95.34 ± 3.16 | HS | Y | Y | 1.53 | 
| Species | Genotypes | a Disease Severity% | b Resistant Level | Mycelium | Sporulation | Leaf Lesion % | 
|---|---|---|---|---|---|---|
| V.vinifera L. | Ju mei gui | 5.42 ± 2.42 | HR | N | N | 8.43 ± 0.71 | 
| V.vinifera L. | Cinsault | 88.46 ± 1.85 | HS | Y | Y | 99.33 ± 1.15 | 
| V.vinifera L. | Blue French | 73.56 ± 2.36 | S | Y | Y | 82.83 ± 1.76 | 
| V.vinifera L. | Lady Finger | 55.33 ± 1.26 | S | Y | Y | 35.37 ± 4.45 | 
| V.vinifera L. | Fresno | 59.19 ± 2.65 | S | Y | Y | 77.23 ± 1.16 | 
| V.vinifera L. | Merlot | 76.33 ± 3.22 | S | Y | Y | 91.00 ± 3.00 | 
| V.vinifera L. | Thompson Seedless | 85.33 ± 3.15 | HS | Y | Y | 95.00 ± 3.00 | 
| V.vinifera L. | Tokay | 61.54 ± 3.16 | S | Y | Y | 68.56 ± 1.60 | 
| V.vinifera L. | Flame Seedless | 87.11 ± 2.5 | HS | Y | Y | 59.56 ± 2.65 | 
| V.vinifera L. | Zhana | 82.33 ± 3.04 | HS | Y | Y | 85.33 ± 1.53 | 
| V.vinifera L. | Early Muscat | 66.48 ± 2.35 | S | Y | Y | 69.16 ± 0.76 | 
| V.vinifera L. | Manaizi | 55.23 ± 0.96 | S | Y | N | 72.10 ± 2.17 | 
| V.vinifera L. | Red Hanepoot | 60.52 ± 1.94 | S | Y | N | 88.13 ± 2.20 | 
| V.vinifera L. | Sangiovese | 47.12 ± 1.57 | S | Y | N | 57.12 ± 2.19 | 
| V. vinifera L. × V. amurensis Rupr | Bei hong | 18.55 ± 2.89 | R | N | N | 24.74 ± 1.96 | 
| V. vinifera L. × V. amurensis Rupr | Beibing Hong | 4.50 ± 2.14 | HR | N | N | 5.50 ± 1.50 | 
| V. vinifera L. × V. labrusca L. | Zuijin xiang | 24.28 ± 1.25 | R | N | N | 54.99 ± 4.26 | 
| V. vinifera L. × V. labrusca L. | Gold Finger | 96.22 ± 0.75 | HS | Y | Y | 100.00 ± 0.00 | 
| V. vinifera L. × V. labrusca L. | Kyoho | 19.53 ± 2.1 | R | N | N | 16.33 ± 1.53 | 
| V. vinifera L. × V. labrusca L. | Hu Tai No.8 | 77.56 ± 1.65 | S | Y | Y | 83.12 ± 1.88 | 
| V. vinifera L. × V. labrusca L. | Tian Yuan Qi | 87.21± 2.74 | HS | Y | Y | 90.76 ± 1.19 | 
| V. vinifera L. × V. labrusca L. | Summer Black | 98.73 ± 1.87 | HS | Y | Y | 91.66 ± 2.08 | 
| V. vinifera L. × V. labrusca L. | Black Rose | 70.25 ± 3.14 | S | Y | Y | 82.50 ± 2.18 | 
| V. vinifera L. × V. labrusca L. | Dong fang zhi xing | 4.83 ± 1.92 | HR | N | N | 1.02 | 
© 2020 by the authors. Licensee MDPI, Basel, Switzerland. This article is an open access article distributed under the terms and conditions of the Creative Commons Attribution (CC BY) license (http://creativecommons.org/licenses/by/4.0/).
Share and Cite
Rahman, M.U.; Ma, Q.; Ahmad, B.; Hanif, M.; Zhang, Y. Histochemical and Microscopic Studies Predict that Grapevine Genotype “Ju mei gui” is Highly Resistant against Botrytis cinerea. Pathogens 2020, 9, 253. https://doi.org/10.3390/pathogens9040253
Rahman MU, Ma Q, Ahmad B, Hanif M, Zhang Y. Histochemical and Microscopic Studies Predict that Grapevine Genotype “Ju mei gui” is Highly Resistant against Botrytis cinerea. Pathogens. 2020; 9(4):253. https://doi.org/10.3390/pathogens9040253
Chicago/Turabian StyleRahman, Mati Ur, Qingqing Ma, Bilal Ahmad, Muhammad Hanif, and Youlin Zhang. 2020. "Histochemical and Microscopic Studies Predict that Grapevine Genotype “Ju mei gui” is Highly Resistant against Botrytis cinerea" Pathogens 9, no. 4: 253. https://doi.org/10.3390/pathogens9040253
APA StyleRahman, M. U., Ma, Q., Ahmad, B., Hanif, M., & Zhang, Y. (2020). Histochemical and Microscopic Studies Predict that Grapevine Genotype “Ju mei gui” is Highly Resistant against Botrytis cinerea. Pathogens, 9(4), 253. https://doi.org/10.3390/pathogens9040253
        
