Mycobacterium tuberculosis Modulates the Expansion of Terminally Exhausted CD4+ and CD8+ T-Cells in Individuals with HIV-TB Co-Infection
Abstract
1. Introduction
2. Materials and Methods
2.1. Study Population
2.2. Ethical Statement
2.3. CD4+ T Cell Count and Plasma RNA Viral Load Estimation
2.4. PBMC Isolation and Semi-Quantitative Expression of Immune Checkpoint Molecules (ICMs) by Real-Time PCR
2.5. Frequency of CD4+ and CD8+ T Cells Surface-Expressing ICMs Using Multiparametric Flow Cytometry
2.6. Statistical Analysis
3. Results
3.1. Comparative Evaluation of Absolute CD4+ T Cell Counts and Plasma Viral Load in HIV-Mono- and HIV-TB Co-Infected Individuals
3.2. Increased Gene Expression of Exhaustion Markers in HIV-TB Co-Infected Individuals as Compared to HIV Mono-Infected Individuals and TB Mono-Infected Individuals
3.3. Increased Frequency of CD4+ and CD8+ T Cells Surface-Expressing ICMs in HIV-TB Co-Infected Individuals as Compared to Other Groups
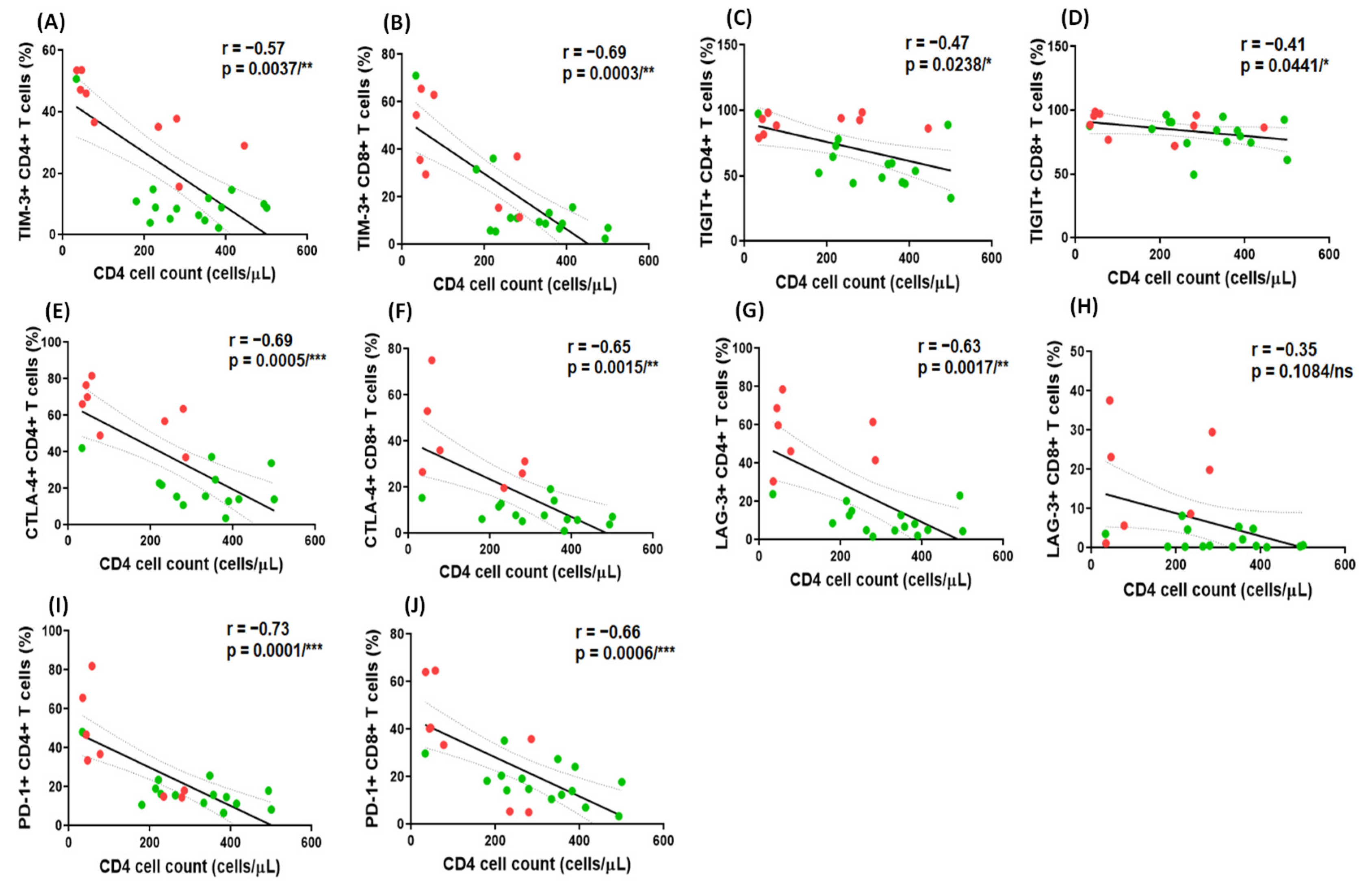
3.4. The Frequencies of ICM-Expressing CD4+ and CD8+ T Cells Correlate Positively with Plasma Viral Load and Negatively with Absolute CD4+ T-Cell Counts in HIV-1-Infected Individuals
3.5. Increased Frequencies of CD4+ and CD8+ T Cells Co-Expressing Two ICMs in HIV-TB Co-Infected Individuals as Compared to HIV Mono-Infected Individuals
4. Discussion
5. Conclusions
Supplementary Materials
Author Contributions
Funding
Institutional Review Board Statement
Informed Consent Statement
Data Availability Statement
Acknowledgments
Conflicts of Interest
Abbreviations
| AIDS | Acquired immunodeficiency syndrome |
| ART | antiretroviral therapy |
| ATT | anti-tuberculosis treatment |
| CAD | coronary artery disease |
| CCR5 | C-C Motif Chemokine Receptor 5 |
| cDNA | Complementary DNA |
| CKD | chronic kidney disease |
| CTLA-4 | Cytotoxic T-Lymphocyte Antigen-4 |
| CXCR4 | C-X-C Motif Chemokine Receptor 4 |
| FBS | Fetal bovine serum |
| FSC-A | forward scatter area |
| FSC-H | forward scatter height |
| HIV | Human immunodeficiency virus |
| HO-1 | heme-oxygenase-1 |
| ICIs | Immune checkpoint inhibitors |
| ICMs | immune checkpoint molecules |
| ICOS | Inducible T-cell Costimulator |
| ICTC | Integrated Counselling and Testing Centre |
| IDO | Indoleamine 2,3, dioxygenase |
| IDUs | intravenous drug users |
| IEC | Institutional Ethics Committee |
| IFN-γ | Interferon-gamma |
| iNKT | Invariant natural killer T cells |
| IQR | Interquartile Range |
| KW | Kruskal-Wallis |
| LAG-3 | Lymphocyte Activation Gene-3 |
| LTR | long terminal repeat |
| Mtb | Mycobacterium tuberculosis |
| NACO | National AIDS Control Organization |
| NF-kB | Nuclear Factor kappa-light-chain-enhancer of activated B cells |
| NK cells | Natural killer cells |
| PBMCs | Peripheral blood mononuclear cells |
| PBS | Phosphate-Buffered Saline |
| PD-1 | Programmed cell death 1 |
| PLHA | people living with HIV/AIDS |
| qRT-PCR | Quantitative real-time polymerase chain reaction |
| RT | reverse transcriptase |
| SD | Standard deviation |
| SSC-A | side scatter area |
| TB-IRIS | TB-associated immune reconstitution inflammatory syndrome |
| TIGIT | T cell immunoreceptor with Ig and immunoreceptor tyrosine-based inhibitory motif domains |
| TIM-3 | T-cell Immunoglobulin and Mucin-domain containing-3 |
| TND | Target not detected |
| TNF-α | tumour necrosis factor-alpha |
| WHO | World Health Organization |
References
- Available online: https://iris.who.int/bitstream/handle/10665/376584/9789240087002-eng.pdf?sequence=1 (accessed on 3 September 2024).
- Global Tuberculosis Report 2024. Available online: https://www.who.int/teams/global-tuberculosis-programme/tb-reports/global-tuberculosis-report-2024 (accessed on 21 December 2024).
- Available online: https://tbcindia.mohfw.gov.in/wp-content/uploads/2023/05/6250311444TB-India-Report-2018.pdf (accessed on 13 October 2024).
- Shankar, E.M.; Vignesh, R.; Ellegård, R.; Barathan, M.; Chong, Y.K.; Bador, M.K.; Rukmani, D.V.; Saber, N.S.; Kamarulzaman, A.; Velu, V.; et al. HIV-Mycobacterium tuberculosis co-infection: A “danger-couple model” of disease pathogenesis. Pathog. Dis. 2014, 70, 110–118. [Google Scholar] [CrossRef] [PubMed]
- Leitner, J.; Grabmeier-Pfistershammer, K.; Steinberger, P. Receptors and ligands implicated in human T cell costimulatory processes. Immunol. Lett. 2010, 128, 89–97. [Google Scholar] [CrossRef] [PubMed]
- Larsson, M.; Shankar, E.M.; Che, K.F.; Saeidi, A.; Ellegård, R.; Barathan, M.; Velu, V.; Kamarulzaman, A. Molecular signatures of T-cell inhibition in HIV-1 infection. Retrovirology 2013, 10, 31. [Google Scholar] [CrossRef] [PubMed]
- O’Neill, R.E.; Cao, X. Co-stimulatory and co-inhibitory pathways in cancer immunotherapy. Adv. Cancer Res. 2019, 143, 145–194. [Google Scholar] [PubMed]
- Zhang, Q.; Vignali, D.A.A. Co-stimulatory and co-inhibitory pathways in autoimmunity. Immunity 2016, 44, 1034–1051. [Google Scholar] [CrossRef]
- Capece, D.; Verzella, D.; Fischietti, M.; Zazzeroni, F.; Alesse, E. Targeting Costimulatory Molecules to Improve Antitumor Immunity. BioMed Res. Int. 2012, 2012, 926321. [Google Scholar] [CrossRef]
- Schnell, A.; Bod, L.; Madi, A.; Kuchroo, V.K. The yin and yang of co-inhibitory receptors: Toward anti-tumor immunity without autoimmunity. Cell Res. 2020, 30, 285–299. [Google Scholar] [CrossRef]
- Kamali, A.N.; Bautista, J.M.; Eisenhut, M.; Hamedifar, H. Immune checkpoints and cancer immunotherapies: Insights into newly potential receptors and ligands. Ther. Adv. Vaccines Immunother. 2023, 11, 25151355231192043. [Google Scholar] [CrossRef]
- Guo, Z.; Zhang, R.; Yang, A.-G.; Zheng, G. Diversity of immune checkpoints in cancer immunotherapy. Front. Immunol. 2023, 14, 1121285. [Google Scholar] [CrossRef]
- He, X.; Xu, C. Immune checkpoint signaling and cancer immunotherapy. Cell Res. 2020, 30, 660–669. [Google Scholar] [CrossRef]
- Cai, H.; Liu, G.; Zhong, J.; Zheng, K.; Xiao, H.; Li, C.; Song, X.; Li, Y.; Xu, C.; Wu, H.; et al. Immune Checkpoints in Viral Infections. Viruses 2020, 12, 1051. [Google Scholar] [CrossRef] [PubMed]
- Wykes, M.N.; Lewin, S.R. Immune checkpoint blockade in infectious diseases. Nat. Rev. Immunol. 2018, 18, 91–104. [Google Scholar] [CrossRef]
- Cai, X.; Zhan, H.; Ye, Y.; Yang, J.; Zhang, M.; Li, J.; Zhuang, Y. Current Progress and Future Perspectives of Immune Checkpoint in Cancer and Infectious Diseases. Front. Genet. 2021, 12, 785153. [Google Scholar] [CrossRef] [PubMed]
- Turnis, M.E.; Andrews, L.P.; Vignali, D.A.A. Inhibitory receptors as targets for cancer immunotherapy. Eur. J. Immunol. 2015, 45, 1892–1905. [Google Scholar] [CrossRef] [PubMed]
- McDermott, D.F.; Atkins, M.B. PD-1 as a potential target in cancer therapy. Cancer Med. 2013, 2, 662–673. [Google Scholar] [CrossRef]
- Iwai, Y.; Hamanishi, J.; Chamoto, K.; Honjo, T. Cancer immunotherapies targeting the PD-1 signaling pathway. J. Biomed. Sci. 2017, 24, 26. [Google Scholar] [CrossRef]
- Postow, M.A.; Callahan, M.K.; Wolchok, J.D. Immune Checkpoint Blockade in Cancer Therapy. J. Clin. Oncol. 2015, 33, 1974–1982. [Google Scholar] [CrossRef]
- Zhang, P.; Wang, Y.; Miao, Q.; Chen, Y. The therapeutic potential of PD-1/PD-L1 pathway on immune-related diseases: Based on the innate and adaptive immune components. Biomed. Pharmacother. 2023, 167, 115569. [Google Scholar] [CrossRef]
- Chen, R.-Y.; Zhu, Y.; Shen, Y.-Y.; Xu, Q.-Y.; Tang, H.-Y.; Cui, N.-X.; Jiang, L.; Dai, X.-M.; Chen, W.-Q.; Lin, Q.; et al. The role of PD-1 signaling in health and immune-related diseases. Front. Immunol. 2023, 14, 1163633. [Google Scholar] [CrossRef]
- Jubel, J.M.; Barbati, Z.R.; Burger, C.; Wirtz, D.C.; Schildberg, F.A. The Role of PD-1 in Acute and Chronic Infection. Front. Immunol. 2020, 11, 487. [Google Scholar] [CrossRef]
- Schönrich, G.; Raftery, M.J. The PD-1/PD-L1 Axis and Virus Infections: A Delicate Balance. Front. Cell. Infect. Microbiol. 2019, 9, 207. [Google Scholar] [CrossRef]
- Sachdeva, M.; Fischl, M.A.; Pahwa, R.; Sachdeva, N.; Pahwa, S. Immune exhaustion occurs concomitantly with immune activation and decrease in regulatory T cells in viremic chronically HIV-1-infected patients. J. Acquir. Immune. Defic. Syndr. 2010, 54, 447–454. [Google Scholar] [CrossRef] [PubMed]
- Muthumani, K.; Choo, A.Y.; Shedlock, D.J.; Laddy, D.J.; Sundaram, S.G.; Hirao, L.; Wu, L.; Thieu, K.P.; Chung, C.W.; Lankaraman, K.M.; et al. Human Immunodeficiency Virus Type 1 Nef Induces Programmed Death 1 Expression through a p38 Mitogen-Activated Protein Kinase-Dependent Mechanism. J. Virol. 2008, 82, 11536–11544. [Google Scholar] [CrossRef]
- Day, C.L.; Kaufmann, D.E.; Kiepiela, P.; Brown, J.A.; Moodley, E.S.; Reddy, S.; Mackey, E.W.; Miller, J.D.; Leslie, A.J.; DePierres, C.; et al. PD-1 expression on HIV-specific T cells is associated with T-cell exhaustion and disease progression. Nature 2006, 443, 350–354. [Google Scholar] [CrossRef] [PubMed]
- Leng, Q.; Bentwich, Z.; Magen, E.; Kalinkovich, A.; Borkow, G. CTLA-4 upregulation during HIV infection: Association with anergy and possible target for therapeutic intervention. AIDS 2002, 16, 519. [Google Scholar] [CrossRef] [PubMed]
- Kaufmann, D.E.; Kavanagh, D.G.; Pereyra, F.; Zaunders, J.J.; Mackey, E.W.; Miura, T.; Palmer, S.; Brockman, M.; Rathod, A.; Piechocka-Trocha, A.; et al. Upregulation of CTLA-4 by HIV-specific CD4+ T cells correlates with disease progression and defines a reversible immune dysfunction. Nat. Immunol. 2007, 8, 1246–1254. [Google Scholar] [CrossRef]
- Finney, C.A.M.; Ayi, K.; Wasmuth, J.D.; Sheth, P.M.; Kaul, R.; Loutfy, M.; Kain, K.C.; Serghides, L. HIV Infection Deregulates Tim-3 Expression on Innate Cells: Combination Antiretroviral Therapy Results in Partial Restoration. JAIDS J. Acquir. Immune Defic. Syndr. 2013, 63, 161. [Google Scholar] [CrossRef]
- de Kivit, S.; Lempsink, L.J.R.; Plants, J.; Martinson, J.; Keshavarzian, A.; Landay, A.L. Modulation of TIM-3 expression on NK and T cell subsets in HIV immunological non-responders. Clin. Immunol. 2015, 156, 28–35. [Google Scholar] [CrossRef]
- Jones, R.B.; Ndhlovu, L.C.; Barbour, J.D.; Sheth, P.M.; Jha, A.R.; Long, B.R.; Wong, J.C.; Satkunarajah, M.; Schwenekar, M.; Chapman, J.M.; et al. Tim-3 expression defines a novel population of dysfunctional T cells with highly elevated frequencies in progressive HIV-1 infection. J. Exp. Med. 2008, 205, 2763–2779. [Google Scholar] [CrossRef]
- Tian, X.; Zhang, A.; Qiu, C.; Wang, W.; Yang, Y.; Qiu, C.; Liu, A.; Lingyan, Z.; Songhua, Y.; Huiliang, H.; et al. The upregulation of LAG-3 on T cells defines a subpopulation with functional exhaustion and correlates with disease progression in HIV-infected subjects. J. Immunol. 2015, 194, 3873–3882. [Google Scholar] [CrossRef]
- Juno, J.A.; Stalker, A.T.; Waruk, J.L.; Oyugi, J.; Kimani, M.; Plummer, F.A.; Kimani, J.; Fowke, K.R. Elevated expression of LAG-3, but not PD-1, is associated with impaired iNKT cytokine production during chronic HIV-1 infection and treatment. Retrovirology 2015, 12, 17. [Google Scholar] [CrossRef]
- Vendrame, E.; Seiler, C.; Ranganath, T.; Zhao, N.Q.; Vergara, R.; Alary, M.; Labbé, A.C.; Guédou, F.; Poudrier, J.; Holmes, S.; et al. TIGIT is upregulated by HIV-1 infection and marks a highly functional adaptive and mature subset of natural killer cells. AIDS 2020, 34, 801. [Google Scholar] [CrossRef]
- Yin, X.; Liu, T.; Wang, Z.; Ma, M.; Lei, J.; Zhang, Z.; Fu, S.; Fu, Y.; Hu, Q.; Ding, H.; et al. Expression of the Inhibitory Receptor TIGIT Is Up-Regulated Specifically on NK Cells With CD226 Activating Receptor From HIV-Infected Individuals. Front. Immunol. 2018, 9, 2341. [Google Scholar] [CrossRef]
- Porichis, F.; Hart, M.G.; Massa, A.; Everett, H.L.; Morou, A.; Richard, J.; Brassard, N.; Veillette, M.; Hassan, M.; Ly, N.L.; et al. Immune Checkpoint Blockade Restores HIV-Specific CD4 T Cell Help for NK Cells. J. Immunol. 2018, 201, 971–981. [Google Scholar] [CrossRef]
- Brunet-Ratnasingham, E.; Morou, A.; Dubé, M.; Niessl, J.; Baxter, A.E.; Tastet, O.; Brassard, N.; Ortega-Delgado, G.; Charlebois, R.; Freeman, G.J.; et al. Immune checkpoint expression on HIV-specific CD4+ T cells and response to their blockade are dependent on lineage and function. EBioMedicine 2022, 84, 104254. [Google Scholar] [CrossRef]
- Balasko, A.L.; Kowatsch, M.M.; Graydon, C.; Lajoie, J.; Fowke, K.R. The effect of blocking immune checkpoints LAG-3 and PD-1 on human invariant Natural Killer T cell function. Sci. Rep. 2023, 13, 10082. [Google Scholar] [CrossRef] [PubMed]
- Van der Sluis, R.M.; Kumar, N.A.; Pascoe, R.D.; Zerbato, J.M.; Evans, V.A.; Dantanarayana, A.I.; Anderson, J.L.; Sékaly, R.P.; Fromentin, R.; Chomont, N.; et al. Combination Immune Checkpoint Blockade to Reverse HIV Latency. J. Immunol. 2020, 204, 1242–1254. [Google Scholar] [CrossRef] [PubMed]
- Fromentin, R.; DaFonseca, S.; Costiniuk, C.T.; El-Far, M.; Procopio, F.A.; Hecht, F.M.; Hoh, R.; Deeks, S.G.; Hazuda, D.J.; Lewin, S.R.; et al. PD-1 blockade potentiates HIV latency reversal ex vivo in CD4+ T cells from ART-suppressed individuals. Nat. Commun. 2019, 10, 814. [Google Scholar] [CrossRef]
- Day, C.L.; Abrahams, D.A.; Bunjun, R.; Stone, L.; de Kock, M.; Walzl, G.; Wikinson, R.J.; Burgers, W.A.; Hanekom, W.A. PD-1 Expression on Mycobacterium tuberculosis-Specific CD4 T Cells Is Associated With Bacterial Load in Human Tuberculosis. Front. Immunol. 2018, 9, 1995. [Google Scholar] [CrossRef]
- Pan, S.-W.; Shu, C.-C.; Huang, J.-R.; Lee, C.-C.; Tseng, Y.-H.; Hung, J.-J.; Hsu, P.K.; Chen, N.J.; Su, W.J.; Feng, J.Y.; et al. PD-L1 Expression in Monocytes Correlates with Bacterial Burden and Treatment Outcomes in Active Pulmonary Tuberculosis. Int. J. Mol. Sci. 2022, 23, 1619. [Google Scholar] [CrossRef] [PubMed]
- Suarez, G.V.; Melucci Ganzarain, C.D.C.; Vecchione, M.B.; Trifone, C.A.; Marín Franco, J.L.; Genoula, M.; Moraña, E.J.; Balboa, L.; Quiroga, M.F. PD-1/PD-L1 Pathway Modulates Macrophage Susceptibility to Mycobacterium tuberculosis Specific CD8+ T cell Induced Death. Sci. Rep. 2019, 9, 187. [Google Scholar] [CrossRef]
- McNab, F.W.; Berry, M.P.R.; Graham, C.M.; Bloch, S.A.A.; Oni, T.; Wilkinson, K.A.; Wilkinson, R.J.; Kon, O.M.; Banchereau, J.; Chaussabel, D.; et al. Programmed death ligand 1 is over-expressed by neutrophils in the blood of patients with active tuberculosis. Eur. J. Immunol. 2011, 41, 1941–1947. [Google Scholar] [CrossRef]
- Wang, F.; Hou, H.; Wu, S.; Tang, Q.; Huang, M.; Yin, B.; Huang, J.; Liu, W.; Mao, L.; Lu, Y.; et al. Tim-3 pathway affects NK cell impairment in patients with active tuberculosis. Cytokine 2015, 76, 270–279. [Google Scholar] [CrossRef]
- Qiu, Y.; Chen, J.; Liao, H.; Zhang, Y.; Wang, H.; Li, S.; Luo, Y.; Fang, D.; Li, G.; Zhou, B.; et al. Tim-3-expressing CD4+ and CD8+ T cells in human tuberculosis (TB) exhibit polarized effector memory phenotypes and stronger anti-TB effector functions. PLoS Pathog. 2012, 8, e1002984. [Google Scholar] [CrossRef] [PubMed]
- Phillips, B.L.; Gautam, U.S.; Bucsan, A.N.; Foreman, T.W.; Golden, N.A.; Niu, T.; Kaushal, D.; Mehra, S. LAG-3 potentiates the survival of Mycobacterium tuberculosis in host phagocytes by modulating mitochondrial signaling in an in-vitro granuloma model. PLoS ONE 2017, 12, e0180413. [Google Scholar] [CrossRef] [PubMed]
- Tezera, L.B.; Bielecka, M.K.; Ogongo, P.; Walker, N.F.; Ellis, M.; Garay-Baquero, D.J.; Thomas, K.; Reichmann, M.T.; Johnston, D.A.; Wilkinson, K.A.; et al. Anti-PD-1 immunotherapy leads to tuberculosis reactivation via dysregulation of TNF-α. Elife 2020, 9, e52668. [Google Scholar] [CrossRef] [PubMed]
- Liu, C.-W.; Wu, L.S.-H.; Lin, C.-J.; Wu, H.-C.; Liu, K.-C.; Lee, S.-W. Association of tuberculosis risk with genetic polymorphisms of the immune checkpoint genes PDCD1, CTLA-4, and TIM3. PLoS ONE 2024, 19, e0303431. [Google Scholar] [CrossRef]
- Jurado, J.O.; Pasquinelli, V.; Alvarez, I.B.; Martínez, G.J.; Laufer, N.; Sued, O.; Cahn, P.; Musella, R.M.; Abbate, E.; Salomón, H.; et al. ICOS, SLAM and PD-1 expression and regulation on T lymphocytes reflect the immune dysregulation in patients with HIV-related illness with pulmonary tuberculosis. J. Int. AIDS Soc. 2012, 15, 17428. [Google Scholar] [CrossRef]
- Barham, M.S.; Abrahams, D.A.; Khayumbi, J.; Ongalo, J.; Tonui, J.; Campbell, A.; de Kock, M.; Ouma, S.G.; Odhiambo, F.H.; Hanekom, W.A.; et al. HIV Infection Is Associated With Downregulation of BTLA Expression on Mycobacterium tuberculosis-Specific CD4 T Cells in Active Tuberculosis Disease. Front. Immunol. 2019, 10, 1983. [Google Scholar] [CrossRef]
- Ramaseri Sunder, S.; Suryadevara, N.C.; Pydi, S.S.; Neela, V.S.K.; Valluri, V.L. Defective Antigen Presentation Leads to Upregulation of PD1 and IL-10 in HIV-TB Co-Infection. J. Interferon Cytokine Res. 2020, 40, 310–319. [Google Scholar] [CrossRef]
- Pollock, K.M.; Montamat-Sicotte, D.J.; Grass, L.; Cooke, G.S.; Kapembwa, M.S.; Kon, O.M.; Sampson, R.D.; Taylor, G.P.; Lalvani, A. PD-1 Expression and Cytokine Secretion Profiles of Mycobacterium tuberculosis-Specific CD4+ T-Cell Subsets; Potential Correlates of Containment in HIV-TB Co-Infection. PLoS ONE 2016, 11, e0146905. [Google Scholar] [CrossRef] [PubMed][Green Version]
- Fromentin, R.; Bakeman, W.; Lawani, M.B.; Khoury, G.; Hartogensis, W.; DaFonseca, S.; Killian, M.; Epling, L.; Hoh, R.; Sinclair, E.; et al. CD4+ T Cells Expressing PD-1, TIGIT and LAG-3 Contribute to HIV Persistence during ART. PLoS Pathog. 2016, 12, e1005761. [Google Scholar] [CrossRef] [PubMed]
- Sada-Ovalle, I.; Ocaña-Guzman, R.; Pérez-Patrigeón, S.; Chávez-Galán, L.; Sierra-Madero, J.; Torre-Bouscoulet, L.; Addo, M.M. Tim-3 blocking rescue macrophage and T cell function against Mycobacterium tuberculosis infection in HIV+ patients. J. Int. AIDS Soc. 2015, 18, 20078. [Google Scholar] [CrossRef] [PubMed]
- Available online: https://naco.gov.in/sites/default/files/NACP_V_Strategy_Booklet.pdf (accessed on 4 September 2024).
- Sambrook, J.; Fritsch, E.F.; Maniatis, T. Molecular Cloning a Laboratory Manual, 2nd ed.; Cold Spring Harbor Laboratory Press: Cold Spring Harbor, NY, USA, 1989. [Google Scholar]
- Fenwick, C.; Joo, V.; Jacquier, P.; Noto, A.; Banga, R.; Perreau, M.; Pantaleo, G. T-cell exhaustion in HIV infection. Immunol. Rev. 2019, 292, 149–163. [Google Scholar] [CrossRef]
- McLane, L.M.; Abdel-Hakeem, M.S.; Wherry, E.J. CD8 T Cell Exhaustion During Chronic Viral Infection and Cancer. Annu. Rev. Immunol. 2019, 37, 457–495. [Google Scholar] [CrossRef]
- Labuschagne Naidoo, R.-B.; Steel, H.C.; Theron, A.J.; Anderson, R.; Tintinger, G.R.; Rossouw, T.M. Persistently Elevated Expression of Systemic, Soluble Co-Inhibitory Immune Checkpoint Molecules in People Living with HIV before and One Year after Antiretroviral Therapy. Pathogens 2024, 13, 540. [Google Scholar] [CrossRef]
- Gay, C.L.; Bosch, R.J.; Ritz, J.; Hataye, J.M.; Aga, E.; Tressler, R.L.; Mason, S.W.; Hwang, C.K.; Grasela, D.M.; Ray, N.; et al. Clinical Trial of the Anti-PD-L1 Antibody BMS-936559 in HIV-1 Infected Participants on Suppressive Antiretroviral Therapy. J. Infect. Dis. 2017, 215, 1725–1733. [Google Scholar] [CrossRef]
- Colston, E.; Grasela, D.; Gardiner, D.; Bucy, R.P.; Vakkalagadda, B.; Korman, A.J.; Lowy, I. An open-label, multiple ascending dose study of the anti-CTLA-4 antibody ipilimumab in viremic HIV patients. PLoS ONE 2018, 13, e0198158. [Google Scholar] [CrossRef]
- Rasmussen, T.A.; Rajdev, L.; Rhodes, A.; Dantanarayana, A.; Tennakoon, S.; Chea, S.; Spelman, T.; Lensing, S.; Rutishauser, R.; Bakkour, S.; et al. Impact of Anti-PD-1 and Anti-CTLA-4 on the Human Immunodeficiency Virus (HIV) Reservoir in People Living With HIV With Cancer on Antiretroviral Therapy: The AIDS Malignancy Consortium 095 Study. Clin. Infect. Dis. 2021, 73, e1973–81. [Google Scholar] [CrossRef]
- Lavole, A.; Mazieres, J.; Schneider, S.; Brosseau, S.; Kiakouama, L.M.; Greillier, L.; Guihot, A.; Abbar, B.; Baron, M.; Makinson, A.; et al. 1389P IFCT-1602 CHIVA2 phase II trial: Nivolumab in previously treated HIV-patients with advanced non-small cell lung cancer (NSCLC). Ann. Oncol. 2020, 31, S882–3. [Google Scholar] [CrossRef]
- Gonzalez-Cao, M.; Morán, T.; Dalmau, J.; Garcia-Corbacho, J.; Bracht, J.W.P.; Bernabe, R.; Juan, O.; de Castro, J.; Blanco, R.; Drozdowskyj, A.; et al. Assessment of the Feasibility and Safety of Durvalumab for Treatment of Solid Tumors in Patients With HIV-1 Infection. JAMA Oncol. 2020, 6, 1063–1067. [Google Scholar] [CrossRef]
- Toor, J.S.; Singh, S.; Sharma, A.; Arora, S.K. Mycobacterium tuberculosis Modulates the Gene Interactions to Activate the HIV Replication and Faster Disease Progression in a Co-Infected Host. PLoS ONE 2014, 9, e106815. [Google Scholar] [CrossRef] [PubMed]
- Waters, R.; Ndengane, M.; Abrahams, M.-R.; Diedrich, C.R.; Wilkinson, R.J.; Coussens, A.K. The Mtb-HIV syndemic interaction: Why treating M. tuberculosis infection may be crucial for HIV-1 eradication. Future Virol. 2020, 15, 101–125. [Google Scholar] [CrossRef] [PubMed]
- Collins, K.R.; Quiñones-Mateu, M.E.; Toossi, Z.; Arts, E.J. Impact of tuberculosis on HIV-1 replication, diversity, and disease progression. AIDS Rev. 2002, 4, 165–176. [Google Scholar] [PubMed]
- Wong, K.; Nguyen, J.; Blair, L.; Banjanin, M.; Grewal, B.; Bowman, S.; Boyd, H.; Gerstner, G.; Cho, H.J.; Panfilov, D.; et al. Pathogenesis of Human Immunodeficiency Virus-Mycobacterium tuberculosis Co-Infection. J. Clin. Med. 2020, 9, 3575. [Google Scholar] [CrossRef]
- Mehta, G.; Sharma, A.; Arora, S.K. Human Immunodeficiency Virus-1 Subtype-C Genetically Diversify to Acquire Higher Replication Competence in Human Host with Comorbidities. AIDS Res. Hum. Retroviruses 2021, 37, 391–398. [Google Scholar] [CrossRef]
- Mehta, G.; Sharma, A.; Arora, S.K. Short Communication: Acquisition of Additional Nuclear Factor Kappa B Binding Sites in Long Terminal Repeat of Genetically Evolving HIV-1 Subtype C Viral Species in Host with Comorbidities. AIDS Res. Hum. Retroviruses 2021, 37, 380–384. [Google Scholar] [CrossRef]
- Kedzierska, K.; Crowe, S.M.; Turville, S.; Cunningham, A.L. The influence of cytokines, chemokines and their receptors on HIV-1 replication in monocytes and macrophages. Rev. Med. Virol. 2003, 13, 39–56. [Google Scholar] [CrossRef]
- Briken, V.; Porcelli, S.A.; Besra, G.S.; Kremer, L. Mycobacterial lipoarabinomannan and related lipoglycans: From biogenesis to modulation of the immune response. Mol. Microbiol. 2004, 53, 391–403. [Google Scholar] [CrossRef]
- Suzuki, Y.; Suda, T.; Asada, K.; Miwa, S.; Suzuki, M.; Fujie, M.; Furuhashi, K.; Nakamura, Y.; Inui, N.; Shirai, T.; et al. Serum Indoleamine 2,3-Dioxygenase Activity Predicts Prognosis of Pulmonary Tuberculosis. Clin. Vaccine Immunol. 2012, 19, 436–442. [Google Scholar] [CrossRef]
- Neogi, U.; Bontell, I.; Shet, A.; Costa, A.D.; Gupta, S.; Diwan, V.; Laishram, R.S.; Wanchu, A.; Ranga, U.; Banerjea, A.C.; et al. Molecular Epidemiology of HIV-1 Subtypes in India: Origin and Evolutionary History of the Predominant Subtype, C. PLoS ONE 2012, 7, e39819. [Google Scholar] [CrossRef] [PubMed]
- Seth, P. Evolution of HIV-1 in India. Indian J. Virol. 2010, 21, 3–7. [Google Scholar] [CrossRef] [PubMed]
- Holderried, T.A.W.; de Vos, L.; Bawden, E.G.; Vogt, T.J.; Dietrich, J.; Zarbl, R.; Bootz, F.; Kristiansen, G.; Brossart, P.; Landsberg, J.; et al. Molecular and immune correlates of TIM-3 (HAVCR2) and galectin 9 (LGALS9) mRNA expression and DNA methylation in melanoma. Clin. EpiGenet. 2019, 11, 161. [Google Scholar] [CrossRef] [PubMed]
- Chihara, N.; Madi, A.; Kondo, T.; Zhang, H.; Acharya, N.; Singer, M.; Nyman, J.; Marjanovic, N.D.; Kowalczyk, M.S.; Wang, C.; et al. Induction and transcriptional regulation of the co-inhibitory gene module in T cells. Nature 2018, 558, 454–459. [Google Scholar] [CrossRef]
- Kgoadi, K.; Bajpai, P.; Ibegbu, C.C.; Dkhar, H.K.; Enriquez, A.B.; Dawa, S.; Cribbs, S.K.; Rengarajan, J. Alveolar macrophages from persons with HIV mount impaired TNF signaling networks to M. tuberculosis infection. Nat. Commun. 2025, 16, 2397. [Google Scholar] [CrossRef]
- Shankar, E.M.; Saeidi, A.; Vignesh, R.; Velu, V.; Larsson, M. Understanding Immune Senescence, Exhaustion, and Immune Activation in HIV–Tuberculosis Coinfection. In Handbook of Immunosenescence; Springer: Cham, Switzerland, 2018; pp. 1–15. [Google Scholar]
- Chew, G.M.; Fujita, T.; Webb, G.M.; Burwitz, B.J.; Wu, H.L.; Reed, J.S.; Hammond, K.B.; Clayton, K.L.; Ishii, N.; Abdel-Mohsen, M.; et al. TIGIT Marks Exhausted T Cells, Correlates with Disease Progression, and Serves as a Target for Immune Restoration in HIV and SIV Infection. PLoS Pathog. 2016, 12, e1005349. [Google Scholar] [CrossRef]
- Moskophidis, D.; Lechner, F.; Pircher, H.; Zinkernagel, R.M. Virus persistence in acutely infected immunocompetent mice by exhaustion of antiviral cytotoxic effector T cells. Nature 1993, 362, 758–761. [Google Scholar] [CrossRef]
- Zajac, A.J.; Blattman, J.N.; Murali-Krishna, K.; Sourdive, D.J.; Suresh, M.; Altman, J.D.; Ahmed, R. Viral immune evasion due to persistence of activated T cells without effector function. J. Exp. Med. 1998, 188, 2205–2213. [Google Scholar] [CrossRef]
- Gallimore, A.; Glithero, A.; Godkin, A.; Tissot, A.C.; Plückthun, A.; Elliott, T.; Hengartner, H.; Zinkernagel, R. Induction and exhaustion of lymphocytic choriomeningitis virus-specific cytotoxic T lymphocytes visualized using soluble tetrameric major histocompatibility complex class I-peptide complexes. J. Exp. Med. 1998, 187, 1383–1393. [Google Scholar] [CrossRef]
- Kahan, S.M.; Wherry, E.J.; Zajac, A.J. T Cell Exhaustion During Persistent Viral Infections. Virology 2015, 479–480, 180–193. [Google Scholar] [CrossRef]
- Sakuishi, K.; Apetoh, L.; Sullivan, J.M.; Blazar, B.R.; Kuchroo, V.K.; Anderson, A.C. Targeting Tim-3 and PD-1 pathways to reverse T cell exhaustion and restore anti-tumor immunity. J. Exp. Med. 2010, 207, 2187–2194. [Google Scholar] [CrossRef]
- Jin, H.-T.; Anderson, A.C.; Tan, W.G.; West, E.E.; Ha, S.-J.; Araki, K.; Freeman, G.J.; Kuchroo, V.K.; Ahmed, R. Cooperation of Tim-3 and PD-1 in CD8 T-cell exhaustion during chronic viral infection. Proc. Natl. Acad. Sci. USA 2010, 107, 14733–14738. [Google Scholar] [CrossRef]
- Liu, J.; Zhang, S.; Hu, Y.; Yang, Z.; Li, J.; Liu, X.; Deng, L.; Wang, Y.; Zhang, X.; Jiang, T.; et al. Targeting PD-1 and Tim-3 Pathways to Reverse CD8 T-Cell Exhaustion and Enhance Ex Vivo T-Cell Responses to Autologous Dendritic/Tumor Vaccines. J. Immunother. 2016, 39, 171–180. [Google Scholar] [CrossRef]
- Yadav, R.; Redmond, W.L. Current Clinical Trial Landscape of OX40 Agonists. Curr. Oncol. Rep. 2022, 24, 951–960. [Google Scholar] [CrossRef]
- Li, J.; Huang, H.-H.; Tu, B.; Zhou, M.-J.; Hu, W.; Fu, Y.-L.; Li, X.-Y.; Yang, T.; Song, J.W.; Fan, X.; et al. Reversal of the CD8+ T-Cell Exhaustion Induced by Chronic HIV-1 Infection Through Combined Blockade of the Adenosine and PD-1 Pathways. Front. Immunol. 2021, 12, 687296. [Google Scholar] [CrossRef]








| Characteristics of Study Participants | HIV Mono-Infected | HIV-TB Co-Infected | TB Mono-Infected | Healthy Controls |
|---|---|---|---|---|
| Human subjects (n) | 15 | 10 | 15 | 15 |
| Mean age (years) | 35.2 | 39 | 33.67 | 30 |
| Males (%) | 73.33% | 80% | 53.33% | 60% |
| Females (%) | 26.67% | 20% | 46.67% | 40% |
| Mean CD4 count (cells/μL)/(Range) | 308.9 | 166.7 * | NA | NA |
| Mean CD4 T-cell count (Range) | (33–500) | (34–445) * | NA | NA |
| Median CD4 T-cell count (cells/μL) | 333 | 77 * | NA | NA |
| Median CD4 T-cell count (cells/μL)/[IQR] | [221–389] | [44.5–282] * | NA | NA |
| Mean viral load (copies/mL) | 334,212 | 736,364 | NA | NA |
| Mean viral load (copies/mL)/(Range) | (TND−1,930,480) | (138,183–1,787,488) | NA | NA |
| Median viral load (copies/mL) | 45,749 | 460,125 | NA | NA |
| Median viral load (copies/mL)/[IQR] | [11,543–358,292] | [181,538–1,311,977] | NA | NA |
Disclaimer/Publisher’s Note: The statements, opinions and data contained in all publications are solely those of the individual author(s) and contributor(s) and not of MDPI and/or the editor(s). MDPI and/or the editor(s) disclaim responsibility for any injury to people or property resulting from any ideas, methods, instructions or products referred to in the content. |
© 2025 by the authors. Licensee MDPI, Basel, Switzerland. This article is an open access article distributed under the terms and conditions of the Creative Commons Attribution (CC BY) license (https://creativecommons.org/licenses/by/4.0/).
Share and Cite
Sharma, K.; Sharma, A.; Arora, S.K. Mycobacterium tuberculosis Modulates the Expansion of Terminally Exhausted CD4+ and CD8+ T-Cells in Individuals with HIV-TB Co-Infection. Pathogens 2025, 14, 802. https://doi.org/10.3390/pathogens14080802
Sharma K, Sharma A, Arora SK. Mycobacterium tuberculosis Modulates the Expansion of Terminally Exhausted CD4+ and CD8+ T-Cells in Individuals with HIV-TB Co-Infection. Pathogens. 2025; 14(8):802. https://doi.org/10.3390/pathogens14080802
Chicago/Turabian StyleSharma, Komal, Aman Sharma, and Sunil K. Arora. 2025. "Mycobacterium tuberculosis Modulates the Expansion of Terminally Exhausted CD4+ and CD8+ T-Cells in Individuals with HIV-TB Co-Infection" Pathogens 14, no. 8: 802. https://doi.org/10.3390/pathogens14080802
APA StyleSharma, K., Sharma, A., & Arora, S. K. (2025). Mycobacterium tuberculosis Modulates the Expansion of Terminally Exhausted CD4+ and CD8+ T-Cells in Individuals with HIV-TB Co-Infection. Pathogens, 14(8), 802. https://doi.org/10.3390/pathogens14080802

