Abstract
Parental leave schemes undoubtedly facilitate the combination of work and family life during leave-taking. In addition to this instantaneous effect of parental leave uptake, a growing yet limited body of research addresses the question of subsequent effects of parental leave uptake. As work-family policies, such as parental leave, are geared towards stimulating family formation and (female) employment, this study assessed whether the individual uptake of parental leave by employed mothers after the birth of a child yielded differential parity progression and employment patterns compared to eligible employed mothers that did not take leave. Using data from the Belgian Administrative Socio-Demographic panel, we applied dynamic propensity score matching and hazard models. Our results indicate that previous leave uptake is a differentiating factor in subsequent fertility and employment outcomes, but also that (self-)selection strongly affects this relation. Descriptive analyses indicate that mothers who use leave shortly after childbearing exhibit a similar progression to second births, more third births and less fourth births, while displaying substantially lower hazards of exiting the labour force regardless of parity. However, when controlling for the fact that mothers who use parental leave exhibit a stronger pre-birth attachment to the labour force, work for larger employers in specific employment sectors, and also differ from non-users in terms of household characteristics (e.g., higher household income, more likely to be married and less likely to have a non-Belgian background), many associations between leave uptake and subsequent fertility and employment outcomes turn neutral or even negative. No indication for higher parity progression among leave users was found and the hazard of exiting the labour force was moderately higher for leave users. These empirical results are discussed in the Belgian context of low parental leave benefits, short leave entitlements and low uptake of parental leave, features which are also displayed by other Western European countries and contrast with the Nordic European countries studied in previous research.
1. Introduction
In the context of rising female labour force participation and declining fertility levels in many developed countries since the second half of the 20th century, so-called work-family reconciliation policies, such as formal childcare or parental leave, have been introduced and extended. The assessment of the effectiveness of work-family reconciliation policies in terms of female employment and fertility has been high on the social demographic research agenda for decades. However, the ever-growing available body of research remains inconclusive, with varying effects of formal childcare and parental leave depending on the policy design features and the context considered (; ; ; ; ; ).
Parental leave schemes are assumed to relieve the tension that typically arises between work and family life when one becomes a parent. As a result, the availability of parental leave supports work-family combination and potentially persuades to have (more) children, while remaining active in the labour force. A growing yet limited body of research assesses the effect of individual-level uptake of parental leave on subsequent parity progression and maternal employment (; ; ; ; ). The assumption is that the uptake of parental leave not only relieves work-family tensions on the short term, but may also exhibit longer term effects to the extent that past leave-taking experiences proved to facilitate early childrearing tasks without jeopardising labour market careers. This body of empirical studies responds to literature reviews putting forward the use of longitudinal data at the individual level as a fruitful path to assess population heterogeneity in individual uptake and the association with later outcomes (; ; ).
Work-family reconciliation policies such as parental leave schemes are by definition geared towards stimulating both family formation and parental employment. As a result, the evaluation of the effectiveness of such policies requires the assessment of associations between the uptake of parental leave on the one hand, and subsequent patterns of childbearing and employment on the other. Consequently, this paper assesses how individual-level parental leave uptake relates to subsequent patterns of parity progression and maternal employment. With respect to fertility, most research finds positive effects of parental leave schemes (; ; ; ). Well-known findings are the positive effects of the Speed premium on the timing of the second and third births in Sweden (; ) and Austria (; ; ). However, in comparison to the number of studies addressing the effects of leave availability on fertility at the aggregate level, a limited number of mostly Nordic European contributions investigated the impact of leave-taking on subsequent fertility behaviour at the individual level (; ; ; ; ; ; ). With respect to maternal employment, mothers’ parental leave uptake may play an ambiguous role. Leave systems have been suggested to facilitate the combination of childrearing and labour market participation (; ; ), but might also steer women out of the labour force (; ; ; ; ).
This paper contributes to the growing yet limited body of literature on the employment and fertility effects of individual parental leave uptake in two ways. First and foremost, developed countries vary substantially with respect to the length, flexibility, replacement benefits, general use and acceptance of parental leave, but also the broader social and policy context parental leave systems are embedded into. As a result, the impact of leave-taking on subsequent outcomes is likely to vary depending on the design features of parental leave policy and the broader context considered. A thorough understanding of the effects of parental leave uptake on subsequent fertility and employment behaviour requires empirical evidence for a wide range of parental leave systems and welfare state types. The fact that parental leave uptake could both imply positive and negative consequences for subsequent female employment patterns, partly depending on the context considered, is widely acknowledged (; ; ). With respect to fertility, most available studies associating individual-level parental leave uptake to subsequent outcomes find a positive relation in Nordic European countries (see, for example, ; ; ; ). Nordic European countries often exhibit relatively generous parental leave systems characterised by relatively long leave entitlements and/or high income-replacement levels. Furthermore, it is likely that the uptake of parental leave is widely accepted as mothers’ parental leave uptake is very high (). This study fills a gap in research by addressing the association between leave uptake and subsequent patterns of parity progression and maternal employment in Belgium, a context which has hitherto not been considered and in many ways resembles other Western European countries in terms of work-family reconciliation. The relatively low flat-rate parental leave benefit in Belgium implies limited financial support and entails a substantial opportunity cost of leave-taking, whereas the relatively short period of leave provides parents with a limited time frame to rely on leave schemes in order to combine work and family life. In addition, the uptake of parental leave in Belgium is relatively low. This may yield negative consequences of leave-taking in terms of forgone career opportunities, workload backlogs or social penalties related to workplace attitudes toward leave-taking (; ).
A second gap in the available literature is that previous studies, whilst acknowledging that the uptake of parental leave and subsequent outcomes are likely to reflect selection mechanisms, rarely attempted to separate selection effects into leave-taking from causal effects (, ; ). This distinction implies differentiating between the effect of parental leave uptake on subsequent outcomes on the one hand, and the degree to which parental leave schemes attract or serve mothers with pre-defined later outcomes in terms of parity progression and maternal employment. This paper adopts dynamic propensity score matching, an econometric approach routinely applied in policy evaluations, to pair mothers who use leave during the first year after a birth to their counterparts that did not (yet) use leave with similar background characteristics (; ). Although strictly causal claims on the impact of leave uptake on subsequent parity progression and maternal employment lie beyond the scope of this study, this application does shed light on the type of selection into leave uptake and provides associations without parametric assumptions and with minimal bias due to the large amount of detailed observed characteristics in large-scale register data ().
2. Leave Schemes and Work-Family Reconciliation in Belgium
Leave schemes available to employed parents in Belgium during the 2000s consist of three systems. First, the system of maternity/paternity leave provides employed mothers with 1–6 weeks before the baby is due and an obligatory minimum of 9 weeks following delivery, plus any remainder of the leave that was not taken up before childbirth. This total of 15 weeks contrasts with the ten days of paternity leave men are granted after childbirth. Both maternity and paternity leave yields earnings-related benefits at a relatively high replacement rate (75–100% depending on gender, length of leave and employment sector) (). The system of maternity/paternity leave in Belgium is not incorporated into the system of parental leave. As the uptake of the minimum amount of maternity leave is compulsory and paternity leave is very limited in length, the uptake and subsequent employment and fertility effects of this type of leave is not studied in this article.
Secondly, since 1985, employees, if approved by the employer, have the individual right to interrupt labour force participation part-time or full-time for any reason (e.g., care for children, travelling, education) in the so-called system of Time Credit1. Time Credit aimed to stimulate participation in the labour market of unemployed persons by means of employment rotation. The eligibility requirement for Time Credit is at least six months (12 months in case of part-time work) of employment with the current employer. Employees benefit from job protection and in case workers are fired for reasons related to the Time Credit, they receive a compensation worth 6 months of wage in addition to severance pay. If their position is temporally taken by an unemployed person eligible to unemployment benefits, workers using Time Credit receive a fixed benefit2 paid by the National Employment Service. The minimum duration of leave is six months and the maximum duration is 12 months. The maximum lifetime duration of Time Credit is 72 months3 (; ; ).
Thirdly, the 1997 introduction of parental leave presents a shift from employment rotation to work-family reconciliation as the main policy goal. The parental leave system, which is embedded in the system of Time Credit, grants an individual the right to take maximum 3 months parental leave for mothers and fathers (; ). This length of parental leave is the minimum set in the EU Directive. Consequently, Belgium belongs to a set of European countries with relatively short durations of parental leave, such as Italy, Portugal, Ireland, the UK, Denmark, and Norway. To be entitled, employees (except civil servants) need to have been working for the current employer 12 out of 15 months prior to the application. A connection between the entitlement to parental leave and work experience (with the current employer) also exists in other Western European countries, such as Denmark, France, Ireland or the Netherlands, but contrasts with the universal eligibility for leave schemes in other countries such as Sweden and Finland.
Users of parental leave in Belgium receive a fixed benefit4 which is relatively low from a European comparison, accompanied by other Western European countries with relatively low, temporally limited, or means-tested parental leave benefits, such as Austria, France, Italy or the Netherlands. The low parental leave benefit in the Belgian system contrasts with relatively generous benefit levels in Nordic European countries such as Denmark, Norway, Iceland and Sweden (; ; ). During 1997–2007, legislative changes extended and increased the flexibility of parental leave in Belgium. At the time of the introduction, individuals were entitled to leave for children younger than 4 years. This age limit became 6 years in 2005. Whereas the original legislation in 1997 offered a three-month full-time labour interruption, the 1998 Royal Decree added another option: a 50 per cent reduction of working hours under a part-time contract for an uninterrupted period of six months. In 2002, a third option became available: a 20 per cent reduction of working hours for 15 months. (; ; ; ). Various sources show that from the introduction on, the popularity of parental leave has been increasing in tandem with the increasing flexibility of leave schemes. However, even when controlling for eligibility, previous research indicates that only a minority of parents use parental leave (; ). Despite noteworthy increases in male parental leave uptake, leave-taking by men remains strikingly low compared to uptake by mothers (; ; ).
As parental leave policies do not operate in a social and policy vacuum, an understanding of the Belgian context requires insight into the importance of other work-family reconciliation options, such as formal childcare institutions or informal care. Relying on a rich body of literature documenting work-family reconciliation across European countries (; ; ; ; ; ), we conclude that Belgium provides extensive work-family support without relying mostly on parental leave schemes as in many other (often Central or Eastern) European countries (; ). This is materialized in high enrolment rates in formal childcare for pre(primary) school children (; ), relatively weak motherhood employment penalties (), and the use of informal childcare for children aged under three mostly as a supplementary source of care in combination with formal childcare (; ). In sum, the Belgian work-family reconciliation context is characterised by a parental leave system which, from a European comparison, is not generous, but also a high availability and uptake of formal childcare.
3. Theory
3.1. Parental Leave Uptake and the Work-Family Tension
As a result of increasing female labour force participation, working parents—mothers in particular—face a tension between participation in paid work on the one hand and childrearing on the other. This tension stems from shifts in women’s public roles (e.g., as employee) which are not mirrored by equivalent shifts in the private sphere, as mothers continue to be considered as primary care-givers for children. Potential work-family incompatibilities operate through varying channels. A reduction of working hours mostly implies opportunity costs (e.g., forgone wages and career opportunities) (). Gendered parenting norms, which are reinforced through social interactions, may be cumbersome to reconcile with the development of a career (). But also individual preferences towards qualitative and strong involvement in the upbringing of children may consist of a barrier towards combining work and family (; ). As a result of this tension between work and family life, for women in particular, previous research has put forward work-family reconciliation policies (; ) as important mediating factors relieving work-family incompatibility. The uptake of parental leave by working mothers facilitates women’s combination of work and family life. Depending on the type of leave (e.g., full-time or part-time) this implies an instantaneous or sequential combination of work and family.
3.2. Subsequent Effects on Parity Progression and Maternal Employment?
In addition to the immediate impact of parental leave uptake on the combination of work and family life, it is often assumed that parental leave uptake also affects subsequent patterns of childbearing and employment (, ; ; ). Concerning parity progression, the following research question is assessed in this article: “How does mothers’ uptake of parental leave at the individual level associate with continued childbearing?”. The experience of an easier work-family combination due to leave-taking by working mothers may stimulate continued childbearing, whereas a more cumbersome work-family combination may hamper further parity progression. The degree to which the leave-taking experience was a positive work-family experience in turn depends on numerous other factors. For instance, a positive leave experience may imply that leave-taking by women allowed mothers to spend time with their child with little opportunity costs in terms of forgone wages, career opportunities, workload backlogs, or social relations at the workplace as a result of leave taking. In this case, continued childbearing may be stimulated as mothers have experienced a feasible and available strategy to combine work and family through the use of parental leave schemes. However, negative leave-taking experiences might also occur, potentially leaving mothers without a feasible strategy to combine work and family in the future, which may come at the cost of continued fertility. Such negative parental leave experiences in terms of human capital devaluation, forgone income and career opportunities, and social penalties () are expected to be more likely in contexts in which parental leave use is limited and parental leave benefits are low, such as Belgium. As a result, it is cumbersome to hypothesise on the impact of mothers’ leave uptake on continued fertility patterns in Belgium. It is possible that the experience of leave-taking stimulates parity progression as parental leave facilitates the combination of work and family (hypothesis 1a). However, given the low parental leave benefits and potential negative career consequences in a low uptake context, the effect of leave uptake on continued childbearing may also be neutral or even negative (hypothesis 1b).
With respect to maternal employment, this article addresses the question “How does mothers’ uptake of parental leave at the individual level associate with continued employment patterns?”. The uptake of parental leave undeniably allows women to keep a foothold in the labour force while taking leave. However, the relationship with later labour market outcomes is ambiguous. The uptake of parental leave by mothers may prevent drop-outs due to difficult combinations of work- and family-related activities. The uptake of parental leave allows working mothers to develop a sequential (e.g., full-time leave uptake) or parallel (e.g., part-time leave uptake) work-family strategy, which, in turn, potentially benefits their labour attachment in the longer run (hypothesis 2a). However, the available literature also highlights the possibility that mothers’ parental leave uptake steers women towards a role as care-giver, which implies that women who use parental leave will be more likely to quit paid work (hypothesis 2b). The degree to which the uptake of parental leave can steer women out of the labour force depends on individual preferences, but also on contextual features such as social penalties or forgone income and opportunities in the workplace, which are expected to be more likely in contexts in which parental leave use is limited and benefits are low, such as Belgium.
3.3. (Self-)Selection
Although associations between leave-taking and subsequent parity progression and maternal employment potentially reflect causal effects of leave-taking experiences, these associations may also occur due to selection or anticipation mechanisms. In an influential paper, () note that “Many fertility-related family benefits are optional, such as parental leave, paternal leave, or care leave. In the last case, the uptake of a certain policy and childbearing may be mutually endogenous, which makes it hard to judge whether associations between the two reflect causality of the policy on fertility behavior. This nevertheless suggests that in order to measure the impact of family policies on fertility we should study the effect that the individual uptake of a policy has on subsequent childbearing behavior”.
In contrast to experimental designs in which treatment is randomly assigned, parental leave uptake occurs as a result of eligibility, the choice to take up leave, potential constraints towards leave-taking, and available alternative work-family strategies. First, only eligible parents can decide to take up parental leave. Hence, in empirical studies of the impact of leave-taking on subsequent childbearing and employment, controlling for eligibility is required to prevent spuriousness due to the direct link between recent employment histories and parental leave entitlements in European countries such as Belgium.
Secondly, given that eligibility requirements are met, the uptake of parental leave is partly determined by preferences. These preferences may well be related to fertility intentions and attitudes toward continued maternal employment. A positive relation between leave-taking and parity progression for instance can result from self-selection of women and/or their partners with higher fertility intentions into leave use (; ; ; ; ).
Third, the use of parental leave is also determined by opportunities and constraints. Whenever income replacement is low, such as in the Belgian case, affordability becomes an issue in the decision of whether or not to take up leave (; ). Hence the relation between leave-taking on the one hand and continued childbearing and maternal employment on the other may reflect differential patterns for different income or wealth groups. In addition, the decision to take up leave also potentially depends on workplace-level constraints (e.g., norms towards leave-taking, supervisors’ attitudes, available procedures) (; ; ). Parents using leave are likely to be employed in a setting which is relatively supportive towards the work-family combination and continued childbearing, which needs to be taken into account when comparing outcomes, depending on leave uptake.
Fourth, the choice to use parental leave depends on the available modes of behaviour in the context considered. As a result, the comparison of working parents that do and working parents that do not use parental leave is likely to vary substantially depending on the context considered. In Belgium, a context with high availability of flexible childcare arrangements () and routine use of complementary informal childcare (), work-oriented women may be more inclined to use childcare as this allows instantaneous work-family compatibility.
As a result of potentially more stable employment patterns, higher income levels, employment in workplaces supportive to the work-family combination and potential self-selection in terms of fertility preferences, the selection into leave uptake is assumed to be positive with respect to fertility patterns (hypothesis 3). This implies that the association between leave-taking and subsequent fertility will be less positive or more negative when controlling for selection into leave uptake. With respect to subsequent employment patterns, it is more cumbersome to hypothesise on the direction of selection. On the one hand, parents who take up leave potentially also exhibit more stable previous employment patterns, higher income levels and work in workplaces that support the combination of work and family, which may induce positive selection in terms of continued employment patterns (hypothesis 4a). On the other hand, employed parents who do not use parental leave but adopt an alternative work-family strategy such as the use of (in)formal childcare, may be more career-oriented, which, in turn, may positively affect subsequent parental employment patterns (hypothesis 4b).
4. Data and Methods
4.1. Data
We used data from the Belgian Administrative Socio-Demographic panel (ASD Panel) that was constructed using longitudinal microdata from the National Register and the Crossroads Bank for Social Security. The ASD Panel is representative of the female population aged 15–50 years, legally residing in Belgium between 1 January 1999 and 31 December 2010. Apart from sampled women, the Panel also includes all individuals officially being part of the same household on the first of January in each year. As a result, the ASD Panel is also representative of all co-residential heterosexual couples with a woman in childbearing ages residing in Belgium in the period 1999–2010. Besides socio-demographic variables, the ASD Panel provides detailed quarterly measurements of parental leave uptake and labour market positions of all household members.
This study focused on 7556 employed women who experience a first, second, and/or third birth during the period from the first quarter of 2001 to the last quarter of 2005 and were entitled to parental leave during the first year after childbirth. Our sample of women experienced 4742 first births, 4143 second births, and 1006 third births. For this sample, subsequent parity progression and employment patterns up to five years after childbirth were analysed, depending on leave uptake during the first year after the latest birth. In order to assess the relation between mothers’ leave uptake on the one hand and parity progression on the other, the samples were observed until (i) the birth of a next child, or (ii) censoring due to emigration, death, or the end of the five-year observation period. Similarly, in order to assess the relation between leave uptake and maternal employment, working mothers were observed until (i) the mother exited the labour force, or (ii) censoring due to emigration, death, or end of the five-year observation period.
4.2. Method
Exploiting the longitudinal nature of the ASD Panel, this study adopted dynamic propensity score matching () in combination with discrete-time hazard models () to assess the relation between parental leave uptake by mothers on the one hand, and parity progression and maternal employment on the other. As a result, the analyses followed a two-step procedure.
First, in line with previous research on the relation between work-family strategies and later outcomes (, ), propensity score matching methods were used to compare mothers depending on their uptake of parental leave. This approach to compare treated and non-treated groups is widely used in policy evaluations (, ; ) and does not impose any functional form on the relationship between independent and dependent variables. Matching is based on propensity scores, the conditional probability of parental leave uptake, given all relevant observed variables. Using a nearest-neighbour algorithm with replacement, we paired every eligible employed mother that used parental leave to an eligible employed mother that did not use parental leave with a very similar propensity score to use parental leave. In contrast to static matching approaches in which treatment status—whether or not leave was used—is time-constant, the relation between leave uptake and subsequent outcomes is dynamic, as mothers could start using parental leave at any or most points in time during the 5-year follow-up period. Consequently, we adopted a dynamic matching approach for leave taking during the first four quarters after every childbirth ()5 in which mothers who started using parental leave were matched with similar mothers that did not use parental leave (yet).
In previous applications of this evaluation approach, the assumption of conditional independence is routinely made in order to interpret differential outcomes between groups as causal treatment effects on the treated. This implies that differential outcomes between matched groups of women in terms of outcomes, parity progression and maternal employment, can be attributed to the treatment, the uptake of parental leave (). In line with previous research on parental leave uptake and later outcomes, this study does not make this claim, but rather argues that the dynamic matching approach using rich longitudinal register data provides a comparison of groups with and without leave uptake that is minimally biased (). The assumption of conditional independence asserts that the treated group and matched control group exhibited the same outcomes when controlling for all observable characteristics which may impact both parental leave uptake and the outcomes of interest. Intuitively, this implies that all factors that may impact both uptake and outcomes should be observed in the data used. In line with previous applications of the effects of parental leave uptake, we argue that, although it is questionable that this assumption will hold at all times, the use of rich large-scale register data with detailed variables does strengthen the assumption (; ). Although potentially important confounding factors in the relation between parental leave uptake and subsequent fertility and employment outcomes, such as preferences, are typically not observed in register data, in so far as those factors are captured by the rich set of observed variables which can be used in large-scale register data, the bias is controlled for in this approach (; ).
Matching was performed separately by order of birth. The background variables used in the matching procedure consisted of mothers’ individual characteristics, but also household-level and workplace or contextual variables. Quarter since birth indicates the amount of quarters elapsed since childbirth. Since only leave uptake during the first year was considered, this variable had a minimum value of 0 (quarter of birth) and a maximum of 3. Age at birth was included to control for age-related differences in leave uptake, but also differential parity progression and employment patterns. With respect to employed mothers’ position in the labour force, the matching used several employment characteristics one year before childbirth, as positions after or closer to childbirth are likely to be endogenous. Working hours and employment intensity preceding birth were included as indicators for the degree of labour force attachment, which in turn is likely to be associated to parental leave uptake and subsequent outcomes. The former distinguishes full-time employment (100% or more of the working hours of a full-time employment contract in the sector of employment) from near full-time (less than 100% and more than 80%), part-time (less than or equal to 80% and more or equal to 45%), marginal employment (less than 45%), and employees with unknown working hours. Employment intensity equals the amount of quarters of employment during the 8 quarters preceding birth. As the uptake of parental leave, as well as parity progression and maternal employment have been found to vary by (pre-birth) sector of employment, the matching distinguishes between ten sectors of employment6. For similar reasons, the size of the employer was also included in the matching procedure, distinguishing workplaces with less than 5 employees from those with, 5 to 9, 10 to 19, 20 to 49, 50 to 99, 100 to 199, 200 to 499, 500 to 999, and more than 1000 employees.
As parental leave uptake strategies as well as parity progression and maternal employment also depend on the occurrence and characteristics of a cohabiting partner, the matching also took partnering status into account, distinguishing single mothers, unmarried cohabiting mothers, and married cohabiting mothers, and controlled for couple-level factors. With respect to the latter, we controlled for couples’ migration background7, partners’ relative age, identifying whether they were older or younger, but also the partners’ labour market position—employed, unemployed, inactive, self-employed, on parental leave—and the total income from paid labour from the mother and her partner, if any.
Finally, calendar year, region of residence (Flanders, Wallonia and Brussels), and the national level unemployment rate were included as contextual variables which may capture numerous factors both affecting parental leave uptake and subsequent outcomes in terms of parity progression and maternal employment.
As a second step in the analyses, women that exhibited leave-taking and their matched counterparts that did not (yet) use parental leave were followed up for five years after the birth. Using person-quarter files, discrete-time hazards models were estimated to study (i) parity progression to the next birth and (ii) labour force exits. In both sets of models, the exposure variable was quarters since the start of parental leave uptake, which, for the matched control group, implies the time since they were matched to a treated mother. A cubic baseline specification was adopted, both for parity progression and labour force exits. The models also controlled for parity—distinguishing mothers with one child, from those with two, or three children. The main independent variable of interest was parental leave uptake which indicates whether mothers have used leave since the latest birth. The effect of parental leave uptake on subsequent hazards was interacted with the baseline to enable differential associations depending on the partition of the baseline considered, and also by parity. Finally, we controlled for the time span between birth and the start of leave-taking. For the matched control group, the latter indicates the timing of matching.
For both outcome variables, two models were estimated. First, the descriptive model estimated the hazard of parity progression and labour force exits, depending on leave uptake by mothers, using unmatched control groups. Consequently, the associations did not control for the rich set of background characteristics discussed above. Second, the matched model compared hazards of parity progression and labour force exits between mothers that started to use parental leave to their counterparts that did not yet do so, controlling for all background characteristics and other factors captured in these observables through matching. The comparison of descriptive and matched results is informative of the way selection affects the association between leave uptake and subsequent outcomes.
5. Results
5.1. Uptake of Parental Leave
In our sample, 1344 out of 4742 women (28%) experiencing a first birth started using parental leave within the first year after that birth. Although parental leave can also be initiated after the first year of motherhood, Figure 1 indicates that the hazard of starting leave uptake was by far highest in the first two quarters since the first birth. Hazards of parental leave initiation were considerably lower thereafter. As a result of high hazards at early time points since the birth of the first child, 72 per cent of leave uptake incidence by one-child mothers was covered by assessing the first year after the first birth. Similar findings hold for two- and three-child mothers. With respect to second births, 1212 out of 3143 mothers (39%) started using parental leave within the first year after the second birth, amounting to 65 per cent of total leave-taking incidence by two-child mothers. Finally, 379 out of 1006 women (38%) experiencing a third birth took up leave during the first year since the third birth, amounting to 68 per cent of the total incidence of leave uptake by three-child mothers.

Figure 1.
The hazard of starting leave uptake by time elapsed since last birth, for one-child (4742), two-child (3143), and three-child (1006) mothers in Belgium. Source data: Belgian Administrative Socio-Demographic panel (ASD Panel).
Table 1, Table 2 and Table 3 indicate that employed mothers who used parental leave during the first year after the birth of a first, second, or third child differed in many respects from employed mothers who did not (yet) take up leave. With respect to mothers’ pre-birth employment characteristics, one-child working mothers who used leave exhibited a higher proportion of full-time work, whereas their counterparts that did not take up leave exhibited higher shares of mothers working near full-time, part-time or marginal working hours. In addition to a higher attachment to the labour force in terms of working hours, one-child mothers that did use parental leave also exhibited a higher pre-birth employment intensity and were more likely to work for employers with a relatively high number of employees, whereas one-child mothers that did not use parental leave during the first year exhibited lower pre-birth employment intensities and employment for smaller employers. Differences in pre-birth employment characteristics between employed two- or three-child mothers that did and those who did not use parental leave followed the same patterns, yet more limited in magnitude. The proportion with marginal pre-birth working hours was significantly higher among the non-users of parental leave and limited differences in pre-birth employment intensity between users and non-users of parental leave occur. The pattern in which mothers that use parental leave were more likely to work for larger-scale employers was particularly attenuated for two-child mothers. Finally, we found that the distribution of employment sectors differed between the users and non-users of parental leave. Although some sectors of employment were consistently over-represented among employed mothers that did use parental leave—such as health services, social care, finances or estate—the magnitude and significance of the differences depends on the birth order considered.

Table 1.
Sample characteristics (means and proportions) for 4742 women who experienced a first birth in 2001–2005, Belgium.

Table 2.
Sample characteristics (means and proportions) for 3143 women who experienced a second birth in 2001–2005, Belgium.

Table 3.
Sample characteristics (means and proportions) for 1006 women who experienced a third birth in 2001–2005, Belgium.
Besides differences in pre-birth employment characteristics, working mothers that did use parental leave also differed from their counterparts that did not take leave with respect to socio-demographic factors. Regardless of the order of birth, women that did not take up parental leave were more likely to be single mothers. Among two- and three-child working mothers, those who did use parental leave in the first year were more likely to be married. In addition, the distribution of migration backgrounds between those who did and did not use parental leave varied, with a higher proportion of Belgian origin couples amongst mothers that took up leave during the first year after childbearing. Although the occurrence of a partner is a clear differentiating factor in leave uptake among mothers, differences between users and non-users of parental leave with respect to partners’ characteristics were relatively limited. No significant differences in partners’ labour market position between both groups were found for one- and two-child mothers, whereas three-child mothers were less likely to use parental leave in case their partner was unemployed or inactive. With respect to household income from paid labour, the higher pre-birth income level among mothers who used leave is likely to reflect both the fact that a higher income facilitates bridging the period of low income replacement, but also the lower likelihood of being a single mother. Finally, contextual characteristics are also differentiating factors with respect to mothers’ leave uptake. Most importantly, leave users were more likely to live in Flanders. Among two- and three-child mothers, leave users were more likely to experience a birth in a marginally later point in time and under marginally lower unemployment rates.
The theoretical section of this article argues that leave uptake, and thus selection into leave-taking, besides alternative modes of behaviour such as formal childcare, is shaped by three broad factors: eligibility requirements, preferences, and the opportunity structure. In addition to controlling for eligibility by comparing working eligible mothers by leave uptake, the analytical strategy of this paper was to perform matching on observable characteristics in order to minimise bias in the comparison due to differential preferences and opportunity structures. Table 1, Table 2 and Table 3 indicate that the aforementioned differences between the group of working mothers that took up parental leave and those who did not do so, at least in terms of statistical significance, disappeared after matching. Mothers who took up leave were more likely to exhibit a high degree of labour force attachment—with longer working hours and a higher employment intensity—and work for larger employers and specific employment sectors. It is very likely that these characteristics will also impact subsequent employment and childbearing outcomes. A strong attachment to the labour force has been found to be positively associated to future employment outcomes (; ), and linkages between labour force attachment and fertility can be expected based on microeconomic theory (). Similarly, working for large-scale employers and in the employment sectors in which the users of parental leave are overrepresented is likely to affect future work-family compatibility through various channels, such as other initiatives to enhance work-family compatibility or a workplace culture supportive to the combination of work and family. In addition to opportunity structures, differential preferences between the users and non-users of parental leave may lead to spurious associations with subsequent fertility and employment outcomes. In the Belgian context, with a high availability of formal childcare, it is possible that mothers who use parental leave are more traditional with respect to gendered parenting roles and more childbearing-prone, compared to working mothers who do not take up parental leave. Although no direct measurement of preferences or attitudes was used in this study, the matching results at least suggest that selection bias in terms of preferences and attitudes was limited by matching. In addition to the fact that women are, to some extent, (self-)selected into different pre-birth employment positions and that these differences did not persist after matching, differences with respect to partnering behaviour and partners’ characteristics also disappeared after matching. As preferences and attitudes play an important part in partnering behaviour, the matching results suggest that (self-)selection and related spurious associations with subsequent outcomes in this respect were reduced as a result of matching ().
5.2. Multivariate Models
5.2.1. Parental Leave Uptake and Continued Childbearing
The top panel in Figure 2 illustrates the difference in birth hazards between mothers who did and those who did not take up parental leave during the first year since the last birth. When comparing both groups without matching, mothers who used parental leave exhibited lower birth hazards in the first half of the follow-up window, but higher birth hazards thereafter. Hence the descriptive model suggests that mothers who used parental leave progressed to the next birth later. However, after matching, the differential birth hazard function for the group of leave users changed considerably, with significantly lower birth hazards throughout the birth hazard function. Although the negative differential birth hazards were weaker up to two years after the start of parental leave uptake, there seemed to be no compensation afterwards.

Figure 2.
Differential hazards (Average Marginal Effects (AME)) of continued childbearing (upper panel) and exiting the labour force (lower panel) after the initiation of parental leave uptake. Source data: Belgian Administrative Socio-Demographic panel (ASD Panel).
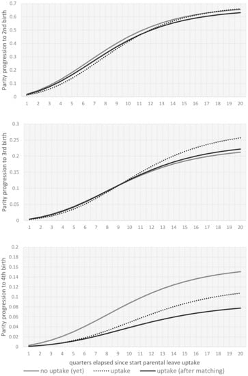
As model parameters indicate that the inclusion of an interaction between parity and the effect of leave-taking entails a significant improvement of the model (∆df: 6; ∆-2LL: 24.10; p: 0.000), but also as the association between leave-taking and subsequent outcomes led to cumulating differences between both groups over time, Figure 3 illustrates the cumulative impact of differential birth hazards between the users and non-users of parental leave by parity. For one-child mothers, the descriptive model indicates a later but not lower progression to a second birth. This contrasts with the lower final parity progression to a second birth among leave users after matching. This finding indicates that (self-)selection into leave-taking in terms of the characteristics observed in this study is positive with respect to parity progression to second children. However, it should be noted that the magnitude of differences in final parity progression to second births is limited, as the final progression for all three groups approximated 65 per cent. With respect to the transition to a third birth, the descriptive model suggests that two-child mothers who used parental leave in the first year after the second birth exhibited a higher final parity progression to a third birth due to substantially higher third birth hazards in the second half of the follow-up window. Whereas 21 per cent of two-child mothers that did not use parental leave progressed to a third birth, the corresponding share of mothers that did use leave was 25.68 per cent. However, after controlling for (self-)selection into leave-taking, the cumulatively higher parity progression for mothers who did take up leave decreased considerably. Finally, the descriptive model shows that three-child mothers who used parental leave were 4.30 per cent less likely to progress to a fourth child after 20 quarters of observation, whereas the matched model indicates that the gap between both groups widened even further when controlling for (self-)selection based on observables. After matching, women who used parental leave after the third child exhibited a 7.76 per cent progression ratio to a fourth birth, which is 7.31 per cent lower than the group who did not use leave.

Figure 3.
Leave uptake during the first year after childbirth and continued parity progression. Source data: Belgian Administrative Socio-Demographic panel (ASD Panel).
5.2.2. Parental Leave Uptake and Continued Employment
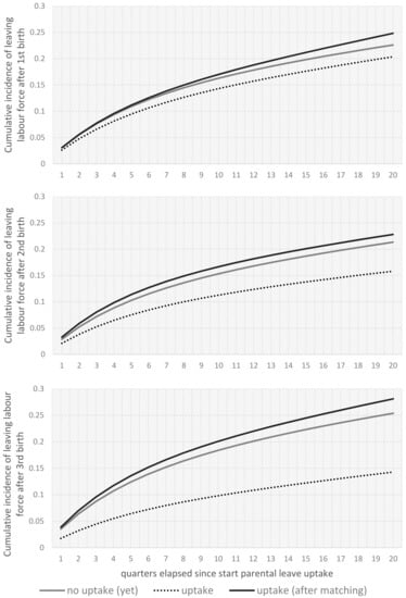
The bottom panel in Figure 2 illustrates the difference in labour force exit hazards between mothers who did and those who did not take up parental leave during the first year since the last birth. When comparing both groups without matching, mothers who used parental leave exhibited a lower hazard to exit employment, especially at short durations since the start of leave uptake. Hence, the descriptive model suggests that parental leave uptake helps mothers to keep a foothold in the labour force. However, after matching, the differential labour force exit hazards turned significantly positive, implying that mothers who used leave shortly after the birth were more likely to leave the labour force thereafter.
As the model parameters indicate that the inclusion of an interaction between parity and the effect of leave-taking on labour force exits entails a significant improvement of the model (∆df: 6; ∆-2LL: 15.04; p: 0.020), Figure 4 illustrates the cumulative impact of differential birth hazards between the users and non-users of parental leave by parity. For one-child mothers, the descriptive model indicates that labour force exits were less likely to occur for the group who did take up parental leave. Whereas 22.61 per cent of one-child mothers who did not use leave left the labour force at least once after five years of observation, the corresponding proportion amongst those that did use leave was 20.37. The descriptive model yields similar conclusions for two- and three- child mothers, although the magnitude of the differences is typically larger. Whereas 21.34 and 25.38 per cent of two- and three-child mothers who did not use leave left the labour force at least once after five years of observation, the corresponding proportions amongst their counterparts that did use leave were 15.81 and 14.29. However, when controlling for (self-)selection, the matched model indicates that mothers that did use parental leave were more likely to exit the labour force. Although the magnitude of the differential labour force exit hazards remains limited regardless of parity, the difference in results between the descriptive and matched model indicates that (self-)selection on observables in this study is positive, in turn entailing a spurious positive association between leave-taking and continued employment.

Figure 4.
Leave uptake during the first year after childbirth and subsequent labour force exits. Source data: Belgian Administrative Socio-Demographic panel (ASD Panel).
6. Conclusions
The relation between work-family reconciliation policies and the combination of childbearing and maternal employment has been high on the social and demographic research agenda for decades. It is commonly assumed that such policies relieve the tension between work and family life, especially for women. Whereas formal childcare policies allow parents to partially outsource childrearing duties, the uptake of parental leave allows partners to free up some time to take care of children while keeping a foothold in employment through job protection. In addition to the undisputable impact of parental leave schemes on the work-family balance during leave-taking, available studies have also put forward the hypothesis that leave uptake will affect subsequent fertility and employment outcomes. In response to literature reviews indicating that the available evidence is inconclusive and that individual uptake of family policies is mostly neglected (; ), recent research progressively exploits large-scale register data to assess the effects of the uptake of work-family reconciliation policies on subsequent outcomes at the individual level.
This article contributes to this strand of literature in two ways. First, the available literature on the association between leave-taking and subsequent employment acknowledges the fact that parental leave uptake might help mothers to keep a foothold in the labour force but may also drive women towards childrearing at the cost of future labour force participation. However, the available literature on leave uptake and subsequent fertility outcomes mostly considers Nordic European countries (, ; ; ; ). The foremost contribution of this paper is that the linkage between parental leave uptake and subsequent outcomes was assessed for Belgium, a context with relatively low replacement benefits and low uptake of parental leave. Secondly, using dynamic propensity score matching methods (; ), a widely adopted approach in policy evaluation literature, this study documented and controlled for (self-)selection into leave uptake. Although the fact that associations between leave uptake and subsequent outcomes may reflect mechanisms of selection is widely acknowledged, previous research has rarely attempted to control for selection in assessments of subsequent effects. The approach adopted in this paper is in line with two existing studies on the impact of leave-taking on subsequent fertility (, ).
With respect to the relation between mothers’ leave uptake and parity progression, our findings are in line with the mixed hypotheses (1a and 1b). Descriptive analyses indicate that mothers who take leave during the first year after their last child exhibit later but not less second births, more third births and less fourth births. However, this study indicates that when controlling for (self-)selection in terms of pre-birth employment characteristics, socio-demographic variables and contextual factors, the progression to second and third births was similar between mothers that did and did not use leave after the previous birth, whereas the progression to a fourth birth was considerably lower. In line with our expectations (hypothesis 3), the associations between leave-taking and parity progression consistently turn less positive or more negative when controlling for (self-)selection in terms of pre-birth employment characteristics, socio-demographic variables, and contextual factors. The lack of any clear positive association between leave uptake and parity progression contrasts with previous research relating parental leave use to higher continued childbearing in Nordic European countries (; ; ; ). Potential explanations for the lack of indications for positive effects of leave-taking on continued fertility in this empirical study for Belgium are assumed to lie in the design features, uptake levels and possibly related acceptance of parental leave. Belgium exhibits relatively short non-universal parental leave schemes with low replacement incomes, alongside a high availability of formal childcare (; ) and routine use of complementary informal childcare (). This policy setup is likely to be responsible for the low overall level of uptake of parental leave. Low uptake levels in turn might result in a lower overall acceptance of leave-taking and potentially higher penalties in terms of future career opportunities or social relations at the workplace ().
Concerning the relation between mothers’ leave uptake and continued employment patterns, descriptive results indicate that leave uptake goes in tandem with considerably lower hazards to quit employment subsequently, particularly for high-parity mothers. Although this descriptive finding is in line with the hypothesis that parental leave uptake positively affects subsequent maternal employment (hypothesis 2a), the results of this study once again highlight the importance of (self-)selection in the assessment of the effects of parental leave uptake on subsequent outcomes. When controlling for the fact that mothers who used parental leave were more strongly attached to the labour force (longer working hours, higher employment intensity), worked for different types of employers (larger workplaces, specific employment sectors), and also differed from non-users in terms of household characteristics (e.g., higher household income, more likely to be married and less likely to exhibit a non-Belgian background), the association between mothers’ leave uptake and subsequent maternal employment became negative. When controlling for eligibility and the aforementioned mechanisms of (self-)selection, no indication of a positive effect of leave-taking on subsequent maternal employment was found. Although this empirical evidence to some degree suggests that that mothers’ uptake of paid parental leave may steer women towards a role as care-giver (; ), implying that women who use parental leave will be more likely to exit paid work (hypothesis 2b), it is noteworthy that the magnitude of the negative associations is very limited. In addition, despite the rich set of observable characteristics used in the dynamic matching models, it is likely that women who use parental leave also differ from non-users in terms of attitudes toward early childrearing practices. Both the lack of positive effects of leave-taking on maternal employment and the potential unobserved selection of mothers with differential parenting attitudes can be related to the Belgian context. A setting with less supportive design features of parental leave (short leave, low income replacement, low uptake and potentially also low acceptability), alongside a high availability of formal childcare and a routine use of informal childcare, is likely to yield a relatively selective group of leave users, but may also hamper positive effects of leave-taking on labour market outcomes beyond the indisputable impact of parental leave on the work-family combination during leave-taking.
The findings of this study are of potential interest to policy-makers in Belgium and other Western European countries with similar work-family reconciliation policies and parental leave design features. First and foremost, we contribute to a growing body of literature documenting the selectivity of parental leave uptake in contexts with employment-related eligibility criteria, limited parental leave benefits, and/or a generally low uptake of leave (; ; ; ). As parental leave provides a subsidised work-family combination during leave-taking, our finding that mothers who used leave were generally more strongly attached to the labour force and exhibited higher income levels, provides potential input for policy towards a more inclusive parental leave system. This line of thought resembles previous findings and discussions on the inclusiveness and distribution of benefits of the subsidised formal childcare system in Belgium (; ). Second, we did not find positive associations between mothers’ leave uptake and subsequent maternal employment and parity progression. This is potentially related to the relatively low flat rate benefits in Belgium. In addition, the low general level of uptake may entail less support towards leave-taking among colleagues and employers, which constitute important factors in the development of work-family strategies among new parents (; ). Limitations with respect to parental leave benefits as well as workplace support may entail less positive or even negative leave-taking experiences, which potentially leaves parents without a feasible work-family strategy for the future. Although our analyses are unable to predict how the aforementioned associations would evolve, these findings might inspire policy-makers to re-consider the level of parental leave benefits and develop initiatives to increase support towards leave-taking among employees and employers.
Finally, this article identified four limitations to this study and corresponding fruitful avenues for future research. First, despite the fact that our selection-on-observables application using detailed large-scale register data captured (self-)selection into leave uptake in manifold ways, the issue of selectivity in effect evaluations of parental leave uptake requires continuous attention. Potential future pathways for future research are selection-on-observables approaches using other data sets with other or more indicators, but also the application of approaches that take into account selection in terms of unobservables. Second, as this article solely considers whether mothers exhibit any parental leave uptake, the effects of other dimensions of leave-taking, such as the length or type of leave, lie beyond the scope of this article. Thirdly, with respect to the labour market outcome variable considered, continued employment, future research that focuses not only on employment, but also on employment characteristics, such as wages or promotions after leave-taking, would enrich our understanding of the association between leave-taking and subsequent labour force positions. Fourth, as the overwhelming majority of leave in Belgium in 2000–2005 was taken up by mothers, this study focused on female leave use. However, as previous literature for other contexts has highlighted potential effects of male leave-taking () and more recent data for Belgium indicate noteworthy increases in male leave uptake (), the evaluation of the effects of male leave uptake in Belgium presents itself as a fruitful path for future research.
Author Contributions
J.W. and K.N. both contributed to funding acquisition, the conceptualization of this study and the development of the analytical strategy. K.N. designed the administrative socio-demographic panel in view of evaluating family policies and contributed to the linkage and validation of the data. J.W. performed the analyses and wrote the original draft. J.W. and K.N. both contributed to the visualization of the results. Finally, all authors edited the text in line with reviewer comments and all authors read and approved the final version of the manuscript.
Funding
This research was funded by the Research Foundation Flanders (Grant No. G.0327.15 N) and the Research Council of the University of Antwerp (Grant BOFNOI-20102014).
Conflicts of Interest
The authors declare no conflict of interest.
References
- Aassve, Arnstein, and Trude Lappegård. 2009. Childcare Cash Benefits and Fertility Timing in Norway. European Journal of Population/Revue européenne de Démographie 25: 67–88. [Google Scholar] [CrossRef]
- Aassve, Arnstein, and Trude Lappegård. 2010. Cash-Benefit Policy and Childbearing Decisions in Norway. Marriage & Family Review 46: 149–69. [Google Scholar]
- Allison, Paul. 2004. Event-history Analysis. In Handbook of Data Analysis. Edited by Allan Hardy and Melissa Bryman. London, Thousand Oaks and New Delhi: Sage. [Google Scholar]
- Andersson, Gunnar, Ann-Zofie Duvander, and Karsten Hank. 2004. Do child-care characteristics influence continued child bearing in Sweden? An investigation of the quantity, quality, and price dimension. Journal of European Social Policy 14: 407–18. [Google Scholar] [CrossRef]
- Andersson, Gunnar, Jan Michael Hoem, and Ann-Zofie Duvander. 2006. Social differentials in speed-premium effects in childbearing in Sweden. Demographic Research 14: 51–70. [Google Scholar] [CrossRef]
- Andersson, Gunnar, Li Ma, Ann-Zofie Duvander, and Marie Evertsson. 2011. Does gender equality lead to higher fertility? A study of the effect of fathers’ use of parental leave on continued childbearing in Sweden. Paper presented at the Population Association of America Annual Meeting, Washington, DC, USA, April 22–25. [Google Scholar]
- Anxo, Dominique, Colette Fagan, Mark Smith, Marie-Thérèse Letablier, and Corinne Perraudin. 2007. Parental Leave in European Companies. Dublin: European Foundation for the Improvement of Living and Working Conditions. [Google Scholar]
- Becker, Gary. 1991. A Treatise on the Family: Enlarged Edition. Cambridge: Harvard University Press. [Google Scholar]
- Blum, Sonja, Alison Koslowski, and Peter Moss. 2017. International Review of Leave Policies and Research 2017. Available online: http://www.leavenetwork.org/lp_and_r_reports/ (accessed on 10 June 2019).
- Brines, Julie. 1994. Economic Dependency, Gender, and the Division of Labor at Home. American Journal of Sociology 100: 652–88. [Google Scholar] [CrossRef]
- Bygren, Magnus, and Ann-Zofie Duvander. 2006. Parents’ Workplace Situation and Fathers’ Parental leave Use. Journal of Marriage and Family 68: 363–72. [Google Scholar] [CrossRef]
- Ciccia, Rossella, and Inge Bleijenbergh. 2014. After the Male Breadwinner Model? Childcare Services and the Division of Labor in European Countries. Social Politics: International Studies in Gender, State & Society 21: 50–79. [Google Scholar] [CrossRef]
- Cukrowska-Torzewska, Ewa. 2017. Cross-Country Evidence on Motherhood Employment and Wage Gaps: The Role of Work–Family Policies and Their Interaction. Social Politics: International Studies in Gender, State & Society 24: 178–220. [Google Scholar] [CrossRef]
- D’addio, Anna Christina, and Marco Mira d’Ercole. 2005. Trends and Determinants of Fertility Rates in OECD Countries: The Role of Politics. Social, Employment and Migration Working Papers, No. 27. Paris: OECD. [Google Scholar]
- Desmet, Bert, Ignace Glorieux, and Jessie Vandeweyer. 2007. Wie zijn de loopbanonderbrekers. Socio-demografische kenmerken, motivaties en arbeidshouding van loopbaanonderbrekers. Brussels: Vrije Universiteit Brussel, TOR. [Google Scholar]
- Deven, Fred, and Peter Moss. 2005. Leave Policies and Research: Reviews and Country Notes. Brussels: CBGS. [Google Scholar]
- Duvander, Ann-Zofie, and Ann-Christin Jans. 2009. Consequences of Fathers’ Parental Leave Use: Evidence from Sweden. Finnish Yearbook of Population Research 44: 49–62. [Google Scholar]
- Duvander, Ann-Zofie, and Gunnar Andersson. 2006. Gender equality and fertility in Sweden: A study of the impact of fathers uptake of parental leave on continued childbearing. Marriage and Family Review 39: 121–42. [Google Scholar] [CrossRef]
- Duvander, Ann-Zofie, Trude Lappegård, and Gunnar Andersson. 2010. Family Policy and fertility: Fathers’ and mothers’ use of parental leave and continued childbearing in Norway and Sweden. Journal of European Social Policy 20: 45–57. [Google Scholar] [CrossRef]
- Evertsson, Marie, and Ann-Zofie Duvander. 2011. Parental Leave—Possibility or Trap? Does Family Leave Length Effect Swedish Women’s Labour Market Opportunities? European Sociological Review 27: 435–50. [Google Scholar] [CrossRef]
- Fagnani, Jeanne. 1999. Parental leave in France. In Parental Leave. Edited by Peter Moss and Fred Deven. Brussels: NIKI/CBGS Publications, pp. 69–84. [Google Scholar]
- Fitzenberger, Bernd, Susanne Steffes, and Anthony Strittmatter. 2010. Return-to-Job During and After Maternity Leave. Leibniz: Leibniz Centre for European Economic Research. [Google Scholar]
- Gauthier, Anne Hélène. 2007. The impact of family policies on fertility in industrialized countries: A review of the literature. Population Research and Policy Review 26: 323–46. [Google Scholar] [CrossRef]
- Gerber, Theodore, and Brienna Perelli-Harris. 2012. Maternity Leave in Turbulent Times: Effects on Labor Market Transitions and Fertility in Russia, 1985–2000. Social Forces 90: 1297–322. [Google Scholar] [CrossRef]
- Hakim, Catherine. 1998. Developing a Sociology for the Twenty-First Century: Preference Theory. The British Journal of Sociology 49: 137–43. [Google Scholar] [CrossRef]
- Hakim, Catherine. 2002. Lifestyle Preferences as Determinants of Women’s Differentiated Labor Market Careers. Work and Occupations 29: 428–59. [Google Scholar] [CrossRef]
- Hank, Karsten, and Michaela Kreyenfeld. 2003. A Multilevel Analysis of Child Care and Women’s Fertility Decisions in Western Germany. Journal of Marriage and Family 65: 584–96. [Google Scholar] [CrossRef]
- Hedebouw, Georges, and Annick Peetermans. 2009. Onderzoek naar het gebruik van opvang voor kinderen jonger dan 3 jaar in het Vlaamse Gewest in 2009. In Leuven: HIVA—K.U.Leuven, Steunpunt Welzijn. Brussels: Volksgezondheid en Gezin, Kind en Gezin. [Google Scholar]
- Hoem, Jan Michael, Alexia Prskawetz, and Gerda Neyer. 2001. Autonomy or conservative adjustment? The effect of public policies and educational attainment on third births in Austria, 1975–96. Population Studies 55: 249–61. [Google Scholar] [CrossRef]
- Hoem, Jan Michael. 1993. Public Policy as the fuel of fertility: Effects of a policy Reform on the Pace of Chilbearing in Sweden in the 1980s. Acta Sociologica 36: 19–31. [Google Scholar] [CrossRef]
- Kil, Tine, Jonas Wood, and Karel Neels. 2018. Parental leave uptake among migrant and native mothers: Can precarious employment trajectories account for the difference? Ethnicities 18: 106–41. [Google Scholar] [CrossRef]
- Kil, Tine, Karel Neels, Jonas Wood, and Helga de Valk. 2017. Employment After Parenthood: Women of Migrant Origin and Natives Compared. European Journal of Population 34: 413–40. [Google Scholar] [CrossRef] [PubMed]
- Korpi, Walter. 2000. Faces of Inequality: Gender, Class, and Patterns of Inequalities in Different Types of Welfare States. Social Politics: International Studies in Gender, State & Society 7: 127–91. [Google Scholar] [CrossRef]
- Lalive, Rafael, and Josef Zweimüller. 2009. How does parental leave affect fertility and return to work? Evidence from two natural experiments. The Quaterly Journal of Economics 124: 1363–402. [Google Scholar] [CrossRef]
- Lappegård, Trude. 2008. Family Policies and Fertility: Parents’ Parental Leave Use, Childcare Availability, the Introduction of Childcare Cash Benefit and Continued Childbearing in Norway. Discussion Papers No. 564. Oslo: Statistics Norway. [Google Scholar]
- Lapuerta, Irene, Pau Baizan, and Maria José Gonzalez. 2011. Individual and Institutional Constraints: An Analysis of Parental Leave Use and Duration in Spain. Population Research and Policy Review 30: 185–210. [Google Scholar] [CrossRef]
- Luci, Angela, and Olivier Thevenon. 2012. The Impact of Family Policy Packages on Fertility Trends in Developed Countries. Documents de Travail 174. Paris: INED. [Google Scholar]
- Luci-Greulich, Angela, and Olivier Thévenon. 2013. The Impact of Family Policies on Fertility Trends in Developed Countries. European Journal of Population/Revue européenne de Démographie 29: 387–416. [Google Scholar] [CrossRef]
- Luekemann, Laura, and Anja-Kristin Abendroth. 2018. Women in the German Workplace: What Facilitates or Constrains Their Claims-Making for Career Advancement? Social Sciences 7: 214. [Google Scholar] [CrossRef]
- Matysiak, Anna, and Dorota Węziak-Białowolska. 2016. Country-Specific Conditions for Work and Family Reconciliation: An Attempt at Quantification. European Journal of Population 32: 475–510. [Google Scholar] [CrossRef]
- Mauerer, Gerlinde, and Eva-Maria Schmidt. 2019. Parents’ Strategies in Dealing with Constructions of Gendered Responsibilities at Their Workplaces. Social Sciences 8: 250. [Google Scholar] [CrossRef]
- McDonald, Peter. 2006. Low Fertility and the State: The Efficicacy of Policy. Population and Development Review 32: 485–510. [Google Scholar] [CrossRef]
- Merens, Ans, and Saskia Keuzenkamp. 2006. Combinatie van arbeid en zorg. In Sociale atlas van vrouwen uit etnische minderheden. Edited by Ans Merens and Saskia Keuzenkamp. Den Haag: SCP. [Google Scholar]
- Merla, Laura, and Fred Deven. 2013. Belgium Country Note. In International Review of Leave Policies and Research 2013. Edited by Peter Moss. London: Institute of Education University London. [Google Scholar]
- Morel, Nathalie. 2007. From subsidiarity to “free choice”: Child- and elderly-care policy reforms in France, Germany, Belgium and the Netherlands. Social Policy & Administration 41: 618–47. [Google Scholar]
- Moss, Peter, and Karin Wall. 2007. International Review of Leave Policies and Related Research 2007. Employment Relations Research Series; London: Department for Business, Enterprise and Regulatory Reform. [Google Scholar]
- Moss, Peter. 2010. International Review of Leave Policies and Related Research 2010. Edited by Peter Moss. London: Employment Market Analysis and Research (EMAR), Department for Business, Innovation and Skills. [Google Scholar]
- Neyer, Gerda, and Gunnar Andersson. 2008. Consequences of Family Policies on Childbearing Behavior: Effects or Artifacts? Population and Development Review 34: 699–724. [Google Scholar] [CrossRef]
- OECD. 2010. Use of Childbirth-Related Leave by Mothers and Fathers (PF2.2). Paris: OECD Family Database. [Google Scholar]
- OECD. 2016a. OECD Family Database. Available online: http://www.oecd.org/els/family/database.htm (accessed on 1 April 2017).
- OECD. 2016b. Parental Leave: Where Are the Fathers? Men’s Uptake of Parental Leave is Rising but Still Low. Paris: OECD Family Database. [Google Scholar]
- Ondrich, Jan, Katharina Spiess, and Qing Yang. 1996. Barefoot and in a German Kitchen: Federal parental leave and benefit policy and the return to work after childbirth in Germany. Journal of Population Economics 9: 247–66. [Google Scholar] [CrossRef] [PubMed]
- Pavolini, Emmanuele, and Wim Van Lancker. 2018. The Matthew effect in childcare use: A matter of policies or preferences? Journal of European Public Policy 25: 878–93. [Google Scholar] [CrossRef]
- Population Council. 2006. Policies to Reconcile Labor Force Participation and Childbearing in the European Union. Population and Development Review 32: 389–93. [Google Scholar] [CrossRef]
- Pronzato, Chiara Daniela. 2009. Return to work after childbirth: does parental leave matter in Europe? Review of Economics of the Household 7: 341–60. [Google Scholar] [CrossRef]
- Rosenbaum, Paul R., and Donald B. Rubin. 1983. The Central Role of the Propensity Score in Observational Studies for Causal Effects. Biometrika 70: 41–55. [Google Scholar] [CrossRef]
- Rostgaard, Tine. 2005. Diversity and Parental Leave. In Leave Policies and Research. Reviews and Country Notes. Edited by Fred Deven and Peter Moss. Brussels: Centrum voor Bevolkings- en Gezinsstudie (CBGS)—WERKDOCUMENT. [Google Scholar]
- RVA. 2012. Ouderschapsverlof: Evolutie van de verhouding mannen/vrouwen van 2002 tot 2012. Brussel: RVA Dienst Studies. [Google Scholar]
- Saxonberg, Steven. 2013. From Defamilialization to Degenderization: Toward a New Welfare Typology. Social Policy & Administration 47: 26–49. [Google Scholar]
- Sianesi, Barbara. 2004. An Evaluation of the Swedish System of Active Labor Market Programs in the 1990s. The Review of Economics and Statistics 86: 133–55. [Google Scholar] [CrossRef]
- Sianesi, Barbara. 2008. Differential effects of active labour market programs for the unemployed. Labour Economics 15: 370–99. [Google Scholar] [CrossRef]
- St’astna, Anna, and Tomas Sobotka. 2009. Changing Parental Leave and Shifts in Second and Third-Birth Rates in Austria. Working Papers 7. Vienna: Vienna Institute of Demography. [Google Scholar]
- Thevenon, Olivier. 2011. Does Fertility Respond to Work and Family-life Reconciliation policies in France? In Fertility and Public Policy: How to Reverse the Trend of Declining Birth Rates. Edited by Noriyuki Takayama and Martin Werding. Cambridge and London: MIT Press. [Google Scholar]
- Van Eeckhoutte, Willy. 1986. Beroepsloopbaanonderbreking (Sociale herstelwet 22.1.1985). Antwerpen. Available online: http://www.ejustice.just.fgov.be/cgi_loi/change_lg.pl?language=nl&la=N&cn=1985012230&table_name=wet (accessed on 15 October 2019).
- Van Lancker, Wim, and Joris Ghysels. 2012. Who benefits? The social distribution of subsidized childcare in Sweden and flanders. Acta Sociologica 55: 125–42. [Google Scholar] [CrossRef]
- Vande Gaer, Eva, Caroline Gijselinckx, and Georges Hedebouw. 2013. Het Gebruik van Opvang voor Kinderen Jonger dan 3 jaar in het Vlaamse Gewest. Leuven: SWVG. [Google Scholar]
- Vikat, Andres. 2004. Women’s Labor Force Attachment and Childbearing in Finland. Demographic Research Special Collection 3: 177–212. [Google Scholar] [CrossRef]
- Vikström, Johan. 2017. Dynamic treatment assignment and evaluation of active labor market policies. Labour Economics 49: 42–54. [Google Scholar] [CrossRef]
- Wood, Jonas, and Karel Neels. 2014. Uptake of Parental Leave and Effects on Second Birth Hazards in Belgium, France and Germany: A Shared Frailty Approach. Paper presented at the Population Association of America Annual Meeting, Boston, MA, USA, May 1–3. [Google Scholar]
- Wood, Jonas, and Karel Neels. 2017. First a job, then a child? Subgroup variation in women’s employment-fertility link. Advances in Life Course Research 33: 38–52. [Google Scholar] [CrossRef]
- Wood, Jonas, and Karel Neels. 2019. Local Childcare Availability and Dual-Earner Fertility: Variation in Childcare Coverage and Birth Hazards over Place and Time. European Journal of Population, 1–25. [Google Scholar] [CrossRef]
- Wood, Jonas, Karel Neels, Tine Kil, and David De Wachter. 2016. Family Formation and Labour Force Participation. A Decomposition of Educational Differentials in Maternal Employment. Population 71: 53–82. [Google Scholar] [CrossRef]
1 | Until 2001, the system was called “loopbaanonderbreking” [career break]. Thereafter, the system was called “tijdskrediet” [time credit] in the private sector. For simplicity, we consistently use “Time Credit”. |
2 | In 1985, the benefit was €260.39 for full-time leave and €130.19 for part-time leave. |
3 | For Time Credit applications after 28 November 2011, the maximum total amount is 60 months. |
4 | Parents on full-time parental leave in 2012 receive €786.78. Parents using part-time or 20 per cent leave receive amounts proportional to the rate of reduction (ACLVB 2013). |
5 | For an elaborate and formal discussion of the dynamic propensity score matching approach applied in this study, see (). |
6 | (1) agriculture, mineral extraction, industry; (2) wholesale, retail; (3) logistics, storage, energy distribution; (4) education; (5) public administration, extraterritorial organisations, (6) health services, social care; (7) art, leisure, recreation, other services; (8) finances, estate; (9) administration, support services, professionals; (10) hotel- and catering. |
7 | The matching distinguishes between single mother with Belgian origin, single mother with non-Belgian origin, two Belgian origin partners, Belgian origin mother with non-Belgian origin partner, non-Belgian origin mother with Belgian origin partner, same non-Belgian origin couple, mixed non-Belgian origin couple, unknown origin. |
© 2019 by the authors. Licensee MDPI, Basel, Switzerland. This article is an open access article distributed under the terms and conditions of the Creative Commons Attribution (CC BY) license (http://creativecommons.org/licenses/by/4.0/).