Next Article in Journal
Millennials’ Consumption Intention Toward Green Stadiums in the Context of Environmental Law: The Roles of Facility Visibility, Green Communication, and Interactive Experience
Previous Article in Journal
Analysis of Carbon Emissions for Traditional Rural Residences and Adaptability Study of Lightweight Steel Assembled Rural Residences in Different Climate Zones of China
Previous Article in Special Issue
Enhancing Durability of Plant-Mixed Hot Recycled Asphalt Mixtures in Arid Climates Through Qingchuan Rock Asphalt Modification
 
 
Font Type:
Arial Georgia Verdana
Font Size:
Aa Aa Aa
Line Spacing:
Column Width:
Background:
Article

Quantitative Evaluation of Rubber–Asphalt Compatibility: Multivariate Correlation Study of Process Parameters, Base Asphalt Components, and Rheological Properties

1
College of Engineering, Sichuan Normal University, Chengdu 610101, China
2
Guangxi Jiaoke New Material Technology Limited Liability Company, Guangxi Key Laboratory of Road Structure and Materials, Nanning 530000, China
3
College of Computer Science, Chongqing University, Chongqing 400044, China
4
Merchants Chongqing Communications Research & Design Institute Co., Ltd., Chongqing 400067, China
*
Author to whom correspondence should be addressed.
Buildings 2026, 16(8), 1531; https://doi.org/10.3390/buildings16081531
Submission received: 11 March 2026 / Revised: 1 April 2026 / Accepted: 9 April 2026 / Published: 14 April 2026
(This article belongs to the Special Issue Mechanical Properties of Asphalt and Asphalt Mixtures: 2nd Edition)

Abstract

In this study, an L16(43) orthogonal experimental design was employed to optimize the preparation process of rubber-modified asphalt, and a series of rheological tests were conducted using a dynamic shear rheometer to systematically investigate the compatibility mechanisms among the four components: base asphalt and rubber particles. The results indicate that process parameters exert varying degrees of influence on performance. The optimal combination determined was: base bitumen temperature of 170 °C, shear rate of 4000 r/min, and shear time of 40 min, followed by isothermal curing at 170 °C for 60 min. Rheological analysis indicates that resin and asphalt are the key components determining the high-temperature rheological properties of rubber-modified asphalt; notably, L74, which has the highest asphalt content, exhibits excellent high-temperature performance. Grey correlation analysis shows that the correlation coefficient between resin content and creep recovery capacity is 0.82, while the correlation coefficient between asphalt content and resistance to permanent deformation is 0.86. Furthermore, the goodness-of-fit value of the multiple regression model exceeded 0.99, further confirming the reliability of the research results. This study provides a precise characterization of compatibility, thereby offering a theoretical foundation and technical support for material selection and process control in the application of rubber-modified asphalt.

1. Introduction

To promote the efficient recycling and value-added utilization of waste rubber tires, researchers have increasingly investigated the use of crumb rubber—produced by processing scrap tires—as an asphalt modifier to satisfy the performance demands of asphalt pavements. Waste tires, often termed “black pollution,” have accumulated rapidly alongside the expansion of road transportation infrastructure, making their sustainable management a pressing challenge. Among existing recycling pathways, mechanically grinding scrap tires into crumb rubber for industrial reuse has become a widely adopted approach. Meanwhile, the continued growth of the transportation sector has imposed more stringent performance requirements on pavement materials. Consequently, incorporating crumb rubber into asphalt not only helps alleviate environmental burdens but also improves pavement performance, offering notable environmental and engineering benefits [1,2].
Existing research on modified-asphalt preparation has progressively shifted from single-factor, trial-and-error experimentation toward multi-factor statistical optimization. Early studies primarily relied on comparative tests and one-factor-at-a-time analyses to evaluate how individual processing parameters affect binder properties. For example, Wang et al. [3,4] proposed a pre-crushing technique that improved the aging resistance of styrene–butadiene–styrene (SBS)-modified asphalt by 10–13%. Xue et al. [5] quantified the relative influence of processing variables for polyurethane/phosphogypsum-modified asphalt and reported that the average variation in aging performance was 23.9–42.2% lower than that of the base asphalt. Wei et al. [6] identified mixing temperature as the most influential factor for rubberized asphalt and recommended an optimal production window of 180–200 °C. An et al. [7] further applied grey relational analysis to identify key control parameters, including crumb rubber content and development temperature. Building on these efforts, subsequent studies have adopted more systematic optimization frameworks—such as response surface methodology [8,9] and orthogonal experimental designs [10,11]—to evaluate multi-factor interactions and refine process windows in composite-modified asphalt systems. Despite these advances, many investigations still emphasize qualitative interpretations or consider only a limited subset of parameters; accordingly, more comprehensive quantification of multi-parameter synergies and the relative weights of processing factors remains warranted.
Building on the continued refinement of modified-asphalt preparation processes, growing attention has shifted toward the compatibility between the modifier and the base asphalt, as this compatibility is pivotal to system stability and the long-term durability of pavement performance. Accordingly, a range of approaches has been proposed to assess and improve compatibility. Several studies [12,13,14] have focused on surface modification and activation of crumb rubber to enhance its interaction with asphalt. Zheng Wenhua et al. [15] showed that combining surface activation with grafted additives can effectively improve the compatibility of rubberized asphalt. To address the poor compatibility typically associated with dry-process rubberized asphalt, Liang et al. [16] employed high-temperature pretreatment, pre-swelling, and microwave activation of crumb rubber, which substantially improved both high-temperature performance and storage stability. From the standpoint of evaluation, Wang D.W. et al. [17] reviewed existing compatibility assessment methods and concluded that rheological indices remain the most widely used, while recent studies increasingly integrate morphological observations to enable more comprehensive evaluation. In addition, several researchers have advanced quantitative analytical frameworks. For example, Wang Y.Z. et al. [18] used surface free energy theory to systematically examine the effects of rubber content and aging conditions on adhesion behavior and surface energy. Ren et al. [19] investigated the influences of asphalt type and SBS emulsion dosage on rheological properties, compatibility, and storage stability, and further indicated that asphaltene and resin contents can substantially affect modification effectiveness.
Building on this foundation, researchers have increasingly examined the intrinsic chemical composition of base asphalt, where the distribution of saturates, aromatics, resins, and asphaltenes (SARA) is widely recognized as a key factor influencing the stability of modified systems. Accordingly, prior studies have investigated the relationships between SARA fractions and the compatibility and macroscopic performance of rubberized asphalt from multiple perspectives. Wang, T. et al. [20] analyzed the association between low-temperature performance and SARA composition in rubber-modified asphalt and suggested that mass exchange between phases can contribute to improved compatibility and low-temperature properties. Cheng, Z. et al. [21] examined component migration and interfacial adhesion, reporting that rubber preferentially absorbs light fractions from the base asphalt; their results further indicated positive correlations between adhesion performance and resin/asphaltene contents, and negative correlations with aromatics and saturates, with the magnitude of these trends depending on aggregate type. From a rheological standpoint, Xiao, F. et al. [22] used fractionation–reconstitution experiments to show that increasing polar fractions enhances system stiffness and that individual fractions exhibit distinct temperature sensitivities. Collectively, these studies—from fraction separation to performance characterization—support intrinsic links between base asphalt SARA fractions and the compatibility and macroscopic behavior of rubberized asphalt, providing a theoretical basis for material selection and formulation design. Nevertheless, although recent work has associated compositional characteristics with specific performance domains, quantitative mapping from base asphalt SARA composition to high-temperature nonlinear rheological responses, particularly under standardized preparation conditions, remains limited.
In summary, although existing studies have examined rubberized-asphalt compatibility from multiple perspectives—including macroscopic performance, rheological characterization, and chemical modification—and have proposed multi-indicator evaluation schemes, several gaps remain. Many investigations still focus on individual factors or a limited set of variables, giving insufficient attention to the interactions and potential synergies among processing parameters, base asphalt SARA fractions, and crumb rubber characteristics. Moreover, while the role of SARA fractions has been increasingly recognized, much of the evidence is derived from empirical associations or comparisons of macroscopic indices; thus, more rigorous quantification of the relationships between fraction variability and key rheological responses is still needed. Finally, despite the growing use of rheology-based compatibility assessments, integrated evidence frameworks that link multi-mode rheological results with compositional information to interpret compatibility differences remain relatively underdeveloped.
To address the aforementioned issues, this study is intended to systematically quantify the influence weights of fabrication process parameters for rubber-modified asphalt through orthogonal experimental design, identifying the optimal process window via multi-factor coupling analysis. On this basis, multi-mode rheological testing is conducted using a dynamic shear rheometer to systematically reveal the compatibility patterns between base asphalts with different four-fraction compositions and crumb rubber. Grey relational analysis and multiple regression analysis are subsequently employed to establish quantitative correlation models between fraction contents and rheological parameters. The workflow diagram is shown in Figure 1. This study achieves multi-dimensional correlation and quantitative analysis among process parameters, base asphalt fractions, and rheological performance, thereby addressing the current deficiencies in systematic process optimization and quantitative compatibility evaluation of fractions. The findings provide reliable theoretical foundations and technical basis for rubber-modified asphalt’s material design, fabrication method, and practical application.

2. Materials and Methods

2.1. Materials

2.1.1. Base Asphalt

Orthogonal experiments for optimizing the rubber-modified asphalt preparation process employed TEPCO 70# Grade A (Nanning, Guangxi, China) base asphalt. Key performance indicators, as shown in Table 1, The results were found to be in accordance with the Technical Specifications for Construction of Highway Asphalt Pavements (JTG F40-2004 [23].
Four different types of 70#A base asphalt were selected for Dynamic Shear Rheometer (DSR) rheological testing. The selection was based on their distinct four-component compositions, which cover a broad range of saturate, aromatic, resin, and asphaltene contents, ensuring representativeness of different colloidal structures. This allows for a comprehensive evaluation of the influence of each component on the compatibility and rheological properties of rubber-modified asphalt. The four-component fractions of each asphalt were determined via column chromatography, and the samples were designated with specific codes accordingly. The four-component contents of the four different base asphalts are shown in Figure 2.

2.1.2. Rubber Powder

The 40-mesh waste tire rubber powder produced by Guangxi Jiaoke New Material Technology Co., Ltd. (Nanning, Guangxi, China). complies with the requirements of the “Road-Use Waste Tire Vulcanized Rubber Powder” (JT/T 797-2011) [24]. Its technical specifications are shown in Table 2, Table 3 and Table 4. A sample of the rubber powder is depicted in Figure 3.

2.2. Trial Protocol

2.2.1. Orthogonal Experimental Design

Three factors, namely preparation temperature (A), shearing time (B), and shearing rate (C), were selected as influencing variables, each with four levels as presented in Table 5. These factor levels were determined based on the operational window of wet-process-modified asphalt and the balance between rubber particle swelling and degradation. The temperature range was selected as 160–190 °C to balance rubber swelling and thermal aging; shearing time was set between 10 and 40 min to capture the dispersion process and potential over-shearing; and shearing rate was selected between 3000 and 6000 r/min to cover typical laboratory conditions. The crumb rubber content was fixed at 20% by weight of the base asphalt, as this dosage balances performance enhancement with economic feasibility while avoiding excessive viscosity that would compromise workability. An L16(43) orthogonal array was employed to design the experimental scheme. Ductility at 5 °C, penetration, elastic recovery, softening point, and viscosity at 180 °C were adopted as evaluation indicators. Range analysis of the orthogonal test results subsequently determined the significance of each factor and identified the optimal preparation process.

2.2.2. DSR Rheological Tests

Rheological tests of rubber-modified asphalt are typically conducted using a DSR instrument, which applies cyclic stress or strain to the specimen through oscillatory mode to obtain multi-scale material responses across varying frequencies and temperatures. In this study, an ADS CVO-100 DSR was employed to perform fundamental performance tests on rubber-modified asphalts prepared from four different base asphalts. The test procedures, conducted in accordance with the Standard Test Methods of Bitumen and Bituminous Mixtures for Highway Engineering (JTG E2-2011) [25], are described as follows.
  • Strain Sweep Test
To determine the linear viscoelastic range of the rubber-modified asphalt and establish an appropriate strain level for subsequent dynamic tests, a strain sweep test was conducted. The test conditions were set as follows: temperature of 60 °C, frequency of 1.59 Hz, and strain ranging from 0.1% to 10%.
2.
Temperature Sweep Test
To assess the high-temperature rheological behavior and temperature susceptibility of rubber-modified asphalt, Strain-controlled mode was employed for the test. Over a temperature range of 60–80 °C, with a fixed strain amplitude of 1% and frequency of 1.59 Hz, the parameters G* and δ were acquired. The rutting factor (G*/sin δ) was then derived from these data to assess the material’s resistance to permanent deformation at elevated temperatures.
3.
Multiple Stress Creep Recovery Test
To characterize the resistance to permanent deformation and recovery behavior of rubber-modified asphalt under high-temperature conditions, MSCR tests were performed at 60 °C. Two stress levels, 0.1 kPa and 3.2 kPa, were selected to simulate varying traffic loads. For each stress level, ten creep-recovery cycles were executed, with each cycle comprising 1 s of loading and 9 s of recovery. The resulting Jnr and R values served as indicators of high-temperature performance. Additionally, the stress sensitivity of the material was evaluated by computing Jdiff and Rdiff using Equations (1) and (2).
J d i f f = J n r 3.2 J n r 0.1 J n r 0.1 × 100 %
In the formula, J n r 3.2 represents the non-recoverable creep compliance under a stress level of 3.2 kPa, and J n r 0.1 represents the non-recoverable creep compliance under a stress level of 0.1 kPa.
R d i f f = R 0.1 R 3.2 R 0.1 × 100 %
In the formula, R 0.1 represents the creep recovery rate under a stress level of 0.1 kPa, and R 3.2 represents the creep recovery rate under a stress level of 3.2 kPa.

2.2.3. Grey Relational Analysis

The correlation among various factors was analyzed by comparing the similarity between the reference sequence and the comparison sequences, thereby quantifying the influence of components on compatibility. The reference sequence was designated as Yj, and the comparison sequences as Xi. To eliminate the dimensional and unit effects among different indicators and ensure data comparability, mean normalization was performed on the data using Equation (3). The correlation coefficient, denoted as ξ i j k , reflects the degree of correlation of the comparison sequence with the reference sequence at each data point and was calculated using Equation (4). Subsequently, the relational degree γ i j was obtained as the average of the correlation coefficients via Equation (5). The relational degrees of all comparison sequences with respect to the same reference sequence were ranked; a higher relational degree indicates a more pronounced effect of the corresponding factor on the system behavior.
x i k = x i k 1 n k = 1 n x i k
In the formula, where X i k represents the dimensionless value of the i-th sequence after mean normalization, X i k is the original value of the i-th sequence at the k-th sample point, and n is the total number of sample points, the mean normalization is applied to both Yj and Xi.
ξ i j k = min i   min k Y j k X i k + ρ max i   max k Y j k X i k Y j k X i k + ρ max i   max k Y j k X j k
In the formula, ξ i j k is the correlation coefficient, Y j k X i k represents the absolute deviation between the two samples at time k, and ρ is the distinguishing coefficient, typically taken as 0.5.
γ i j = 1 n k = 1 n ξ i j k
In the formula, γ i j is the average relational degree.

2.2.4. Multiple Regression Analysis

To validate the reliability of the grey relational analysis results, a multiple linear regression model was established based on the four-component contents of four different base asphalts and their corresponding MSCR rheological parameters under stress levels between 0.1 kPa and 3.2 kPa. Considering the dimensional differences among the components and to prevent magnitude effects from influencing the interpretation of regression coefficients, z-score normalization was first applied to the raw data, where z = x μ / σ . After normalization, the mean of each independent and dependent variable is 0, and the standard deviation is 1. Subsequently, a standardized multiple linear regression model was developed as follows:
y z = β s S z + β A r A r z + β R R z + β A s A s z + ε
In the equation, y z represents the standardized rheological parameters; S z , A r z , R z , and A s z denote the standardized four-component contents; β s , β A r , β R , and β A s are the standardized regression coefficients; and ε is the residual term.

3. Results and Discussion

3.1. Optimization of the Rubber-Modified Asphalt Preparation Process

3.1.1. Range Analysis of Orthogonal Test Results

The orthogonal test results are presented in Table 6. As shown in Table 6, there are clear variations in the performance indicators across the 16 test groups: penetration ranges from 52 to 69 (0.1 mm), elongation ranges from 3.0 to 12.0 cm, and elastic recovery ranges from 66.3% to 81.7%. the softening point ranges from 65.0 to 72.5 °C, and the viscosity at 180 °C ranges from 1.454 to 2.900 Pa·s, indicating that process parameters have a significant impact on the conventional properties of rubber-modified asphalt.
The average experimental results for each factor at the same level are denoted as k1, k2, k3, and k4, while R represents the maximum range of each factor across different levels. By comparing the magnitude of R values, the significance of each factor on the experimental outcomes can be assessed, thereby identifying the key influencing factors. The factor analysis table for the orthogonal test results is presented in Table 7.
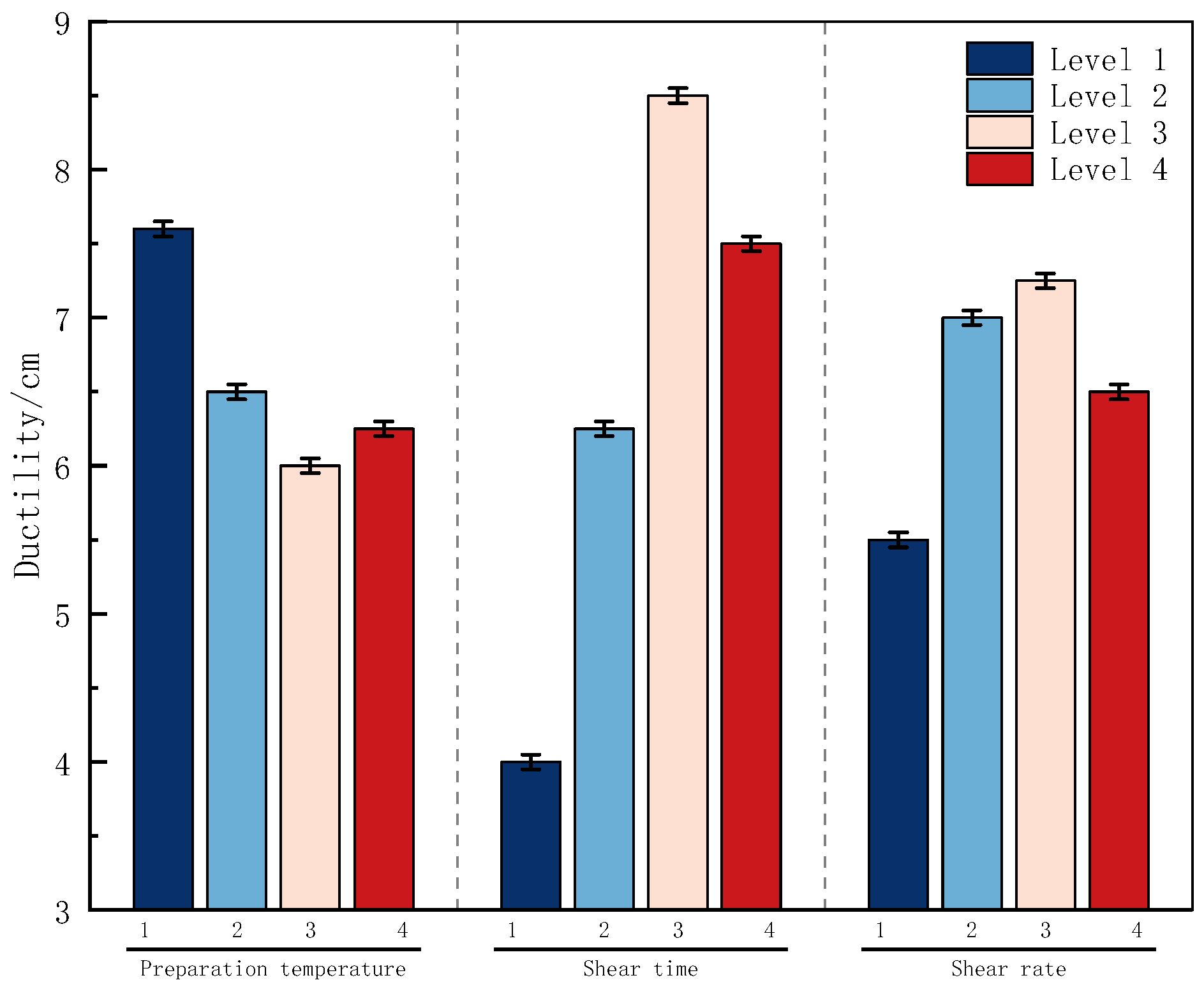
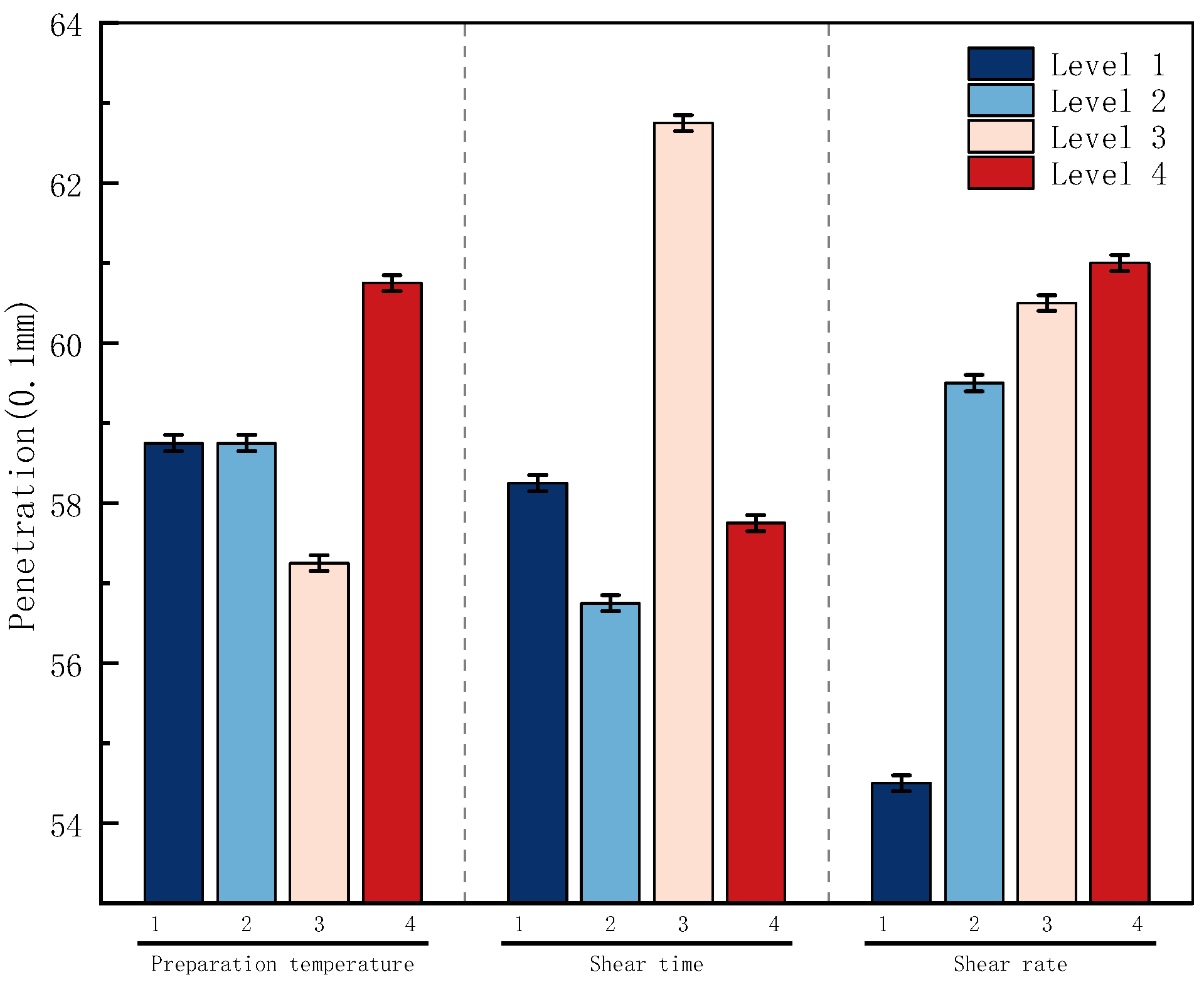
Indicator analysis of penetration was conducted, and the results are presented in Figure 4.
As shown in Figure 4, for the factor of preparation temperature, the mean values of the parameters at each level follow the order of k4 > k1 = k2 > k3, indicating that k4 represents the relatively optimal level. For shearing time, k3 is identified as the relatively optimal level, while for shearing rate, k4 serves as the relatively optimal level. A comparison of the range values for the influence of different factors on penetration reveals that shearing rate exhibits the largest range, followed by shearing time and preparation temperature, demonstrating that shearing rate exerts the most significant influence on penetration. Penetration shows a pronounced positive correlation with shearing rate, increasing progressively with higher shearing rates. This phenomenon indicates that increasing the shearing rate facilitates enhanced dispersion uniformity of crumb rubber within the asphalt matrix, disrupts rubber particle agglomeration, and expands the effective contact area, thereby more effectively improving the softening and plasticity characteristics of the asphalt. The optimal combination is determined as A4B3C4. Combining the range values in Table 7 allows for further quantification of the extent of influence: the R for preparation temperature, shear time, and shear rate are 3.5, 6.0, and 6.5, respectively, thereby supporting the ranking of dominant factors presented in the paper. Indicator analysis of ductility was conducted, and the results are presented in Figure 5.
As illustrated in Figure 5, for the factor of preparation temperature, the mean values of the parameters at each level follow the order of k1 > k2 > k4 > k3, indicating that k1 represents the relatively optimal level. For shearing time and shearing rate, k3 is identified as the relatively optimal level for both factors. A comparison of the range values for the influence of different factors on ductility reveals that shearing time exhibits the largest range, followed by shearing rate and preparation temperature, demonstrating that shearing time exerts the most significant influence on ductility. As can be seen from the figure, the ductility follows a pattern of first increasing and then decreasing as shearing time extends. When shearing time is at level 1, Inadequate shearing results in poor crumb rubber distribution, thereby yielding relatively low ductility values. As shearing time extends to levels 2 and 3, ductility improves markedly, indicating that adequate shearing facilitates more uniform dispersion of crumb rubber and promotes the formation of a stable composite structure with asphalt. However, when shearing time is further extended to level 4, ductility decreases, which may be attributed to excessive aging of the asphalt or over-degradation of the rubber structure caused by prolonged high-temperature shearing. The optimal combination is determined as A1B3C3. Combining the range values in Table 7 allows for further quantification of the extent of influence: the R for preparation temperature, shear time, and shear rate are 1.5, 4.5, and 1.75, respectively, thereby supporting the ranking of dominant factors presented in the paper. Indicator analysis of elastic recovery was conducted, and the results are presented in Figure 6.
As illustrated in Figure 6, for the factor of preparation temperature, the mean values of the parameters at each level follow the order of k2 > k1 > k4 > k3, indicating that k2 represents the relatively optimal level. For shearing time, k4 exhibits the highest mean value, while for shearing rate, k2 demonstrates the highest mean value. A comparison of the range values for the influence of different factors on elastic recovery reveals that preparation temperature exhibits the largest range, followed by shearing time and shearing rate, demonstrating that preparation temperature exerts the most significant influence on elastic recovery. At relatively low temperatures, the activation degree of crumb rubber is insufficient, resulting in an incomplete elastic network and relatively low elastic recovery values. As the temperature increases, the crumb rubber swells adequately and its compatibility with asphalt improves, thereby enhancing the crosslinked network and achieving peak elastic recovery. However, with further temperature elevation, the elastic recovery rate gradually decreases. This phenomenon may be attributable to the intensification of thermal oxidation of asphalt components and possible thermo-mechanical degradation of rubber molecular chains at elevated temperatures, which disrupts the integrity of the network structure and consequently diminishes the elastic recovery capability [26]. Based on the foregoing range analysis of the elastic recovery indicator, the recommended optimal combination of factors is A2B4C2. Combining the range values in Table 7 allows for further quantification of the extent of influence: the R for preparation temperature, shear time, and shear rate are 8.175, 5.075, and 3.375, respectively, thereby supporting the ranking of dominant factors presented in the paper. Indicator analysis of softening point was conducted, and the results are presented in Figure 7.
As illustrated in Figure 7, for the factor of preparation temperature, the mean values of the parameters at each level follow the order of k2 > k1 > k3 > k4, indicating that k2 represents the relatively optimal level. For shearing time, k4 is identified as the relatively optimal level, while for shearing rate, k1 serves as the relatively optimal level. A comparison of the range values for the influence of different factors on softening point reveals that shearing time exhibits the largest range, followed by preparation temperature and shearing rate, demonstrating that shearing time exerts the strongest influence on softening point. Insufficient shearing time fails to ensure adequate dispersion and effective integration of crumb rubber, resulting in an incomplete network structure and limited improvement in softening point. As shearing time increases, the dispersion of crumb rubber within the asphalt matrix becomes progressively uniform, interfacial bonding strength gradually improves, and the crosslinked network is continuously strengthened, leading to a steady increase in softening point. With further extension of shearing time, softening point continues to exhibit an upward trend, indicating that within the experimental time range, prolonged shearing time facilitates the further formation and consolidation of a high-temperature stable structure. Therefore, the optimal combination is determined as A2B4C1. Combining the range values in Table 7 allows for further quantification of the extent of influence: the R for preparation temperature, shear time, and shear rate are 2.625, 4.375, and 2.125, respectively, thereby supporting the ranking of dominant factors presented in the paper.
Indicator analysis of viscosity was conducted, and the results are presented in Figure 8.
As illustrated in Figure 8, for the factor of preparation temperature, the mean values of the parameters at each level follow the order of k2 > k3 > k4 > k1, indicating that k2 represents the relatively optimal level. For shearing time, k4 is identified as the relatively optimal level, while for shearing rate, k2 serves as the relatively optimal level. A comparison of the range values for the influence of different factors on viscosity reveals that shearing time exhibits the largest range, followed by shearing rate and preparation temperature, demonstrating that shearing time exerts the most significant influence on viscosity. With increasing shearing time, the mean viscosity values exhibit a continuously rising trend. This phenomenon indicates that prolonged shearing time, while promoting adequate swelling and dispersion of crumb rubber, also significantly intensifies the thermal aging effect of the asphalt system, and the combined effect of both factors leads to a substantial increase in the consistency of the system. In contrast, although shearing rate exerts a certain influence, its range value is considerably smaller than that of shearing time, indicating its relatively limited capacity to modulate viscosity. Furthermore, preparation temperature exhibits the smallest range value, suggesting that within the temperature range of 160–190 °C, temperature variation has minimal impact on the viscosity of rubber-modified asphalt. The optimal combination is determined as A2B4C2. Combining the range values in Table 7 allows for further quantification of the extent of influence: the R for preparation temperature, shear time, and shear rate are 0.097, 0.773, and 0.446, respectively, thereby supporting the ranking of dominant factors presented in the paper.

3.1.2. Determination of the Optimal Preparation Process

Given that the pavement performance of rubber-modified asphalt necessitates comprehensive consideration of both high- and low-temperature characteristics as well as construction workability, the final process cannot be directly determined by any single indicator [27]. Therefore, taking into account the performance indicators and process workability comprehensively, a comprehensive balancing method was employed to analyze multiple indicators and thereby determine the optimal combination of preparation process parameters. Based on the range analysis results of the orthogonal test, the influences of each evaluation indicator were synthesized, as illustrated in Figure 9.
As indicated in Table 7, preparation temperature exerts the most significant influence on elastic recovery, with the optimal level being A2. An excessively low temperature results in insufficient activation of the crumb rubber, whereas an excessively high temperature induces thermal degradation. The optimal level for ductility is A1; however, the relatively small range value suggests that within the temperature range of 160–190 °C, the influence of temperature on ductility is comparatively limited. For softening point and viscosity, the optimal level is A2. Given that level A2 demonstrates superior performance across elastic recovery, softening point, and viscosity, while its adverse impact on ductility remains controllable, preparation temperature was preliminarily selected as A2. Shearing time exhibits the most pronounced influence on softening point and viscosity, with the optimal level for both indicators being B4, indicating that prolonged shearing time facilitates rubber dispersion and network formation. The optimal level for ductility is B3, displaying an initial increase followed by a decrease, suggesting that excessive shearing may lead to structural damage. For elastic recovery, the optimal level is B4. Based on the marked advantages of B4 in high-temperature performance and elastic recovery, and despite its slightly lower ductility compared to B3—the difference remaining within an acceptable engineering range—ensuring adequate shearing time is critical for achieving effective modification. Accordingly, shearing time was selected as B4. Regarding shearing rate, the optimal levels for elastic recovery and viscosity are both C2, while those for ductility and penetration are C3 and C4, respectively, indicating that higher shearing rates facilitate rubber dispersion and plasticity improvement. The optimal level for softening point is C1, albeit with a relatively small range value. Level C2 exhibits optimal performance in elastic recovery and viscosity, which are core indicators of modification efficacy. Although excessively high shearing rates may enhance dispersion, within the investigated range the incremental improvement in high-temperature-related indices is not proportional at the highest shearing level. Therefore, a moderate shearing rate was selected considering practical feasibility. Therefore, shearing rate was selected as C2.
Integrating the optimal levels of all indicators, the optimal preparation process was determined as follows: heating the base asphalt to 170 °C, incorporating 20% crumb rubber, shearing at 4000 r/min for 40 min, followed by isothermal development at 170 °C for 60 min.

3.2. Compatibility Mechanism Between Base Asphalt and Crumb Rubber

Based on the optimal preparation process determined above, four types of rubber-modified asphalt samples were prepared by blending crumb rubber with four base asphalts exhibiting different component compositions. To systematically characterize the compatibility mechanism of rubber-modified asphalt, multi-mode dynamic shear rheological tests were employed in this study. Specifically, frequency sweep tests were conducted to reveal the viscoelastic region and compatibility, temperature sweep tests were conducted to assess high-temperature performance, and multiple stress creep recovery (MSCR) tests were utilized to quantify the nonlinear deformation behavior and elastic recovery capability under elevated stress levels.

3.2.1. Strain Sweep Test

  • Determination of the Linear Viscoelastic Region
Strain sweep tests were performed on four rubber-modified asphalt samples using a dynamic shear rheometer to determine their linear viscoelastic range and identify a suitable strain level for subsequent dynamic testing The linear viscoelastic region is defined as the strain interval where the complex shear modulus remains above 95% of its initial plateau value. Figure 10 presents the evolution of modulus with increasing strain for each asphalt type.
As illustrated in Figure 10, the variation curves of complex modulus with strain for rubber-modified asphalts with different component compositions exhibit pronounced differences. The Q73 rubber-modified asphalt demonstrates the highest critical strain value, indicating its ability to maintain linear response over a relatively wide strain range. In contrast, the L74 rubber-modified asphalt exhibits the lowest critical strain value, suggesting its relatively narrow linear region and susceptibility to entering the nonlinear zone under strain. The observed differences in critical strain values are closely related to the component composition of the base asphalt. Specifically, the Q73 rubber-modified asphalt, which contains the highest resin content, possesses the broadest linear viscoelastic region. As a polar component, resins effectively promote the swelling and dispersion of crumb rubber, enhance the rubber–asphalt interfacial interaction, and facilitate the formation of a more stable and dense three-dimensional network structure, thereby improving the material’s resistance to strain-induced structural damage. Conversely, the L74 rubber-modified asphalt, characterized by the highest aromatic content, exhibits the narrowest linear region. The excessive light components weaken the overall stiffness of the system, leading to network disruption at relatively low strain levels and a substantial reduction in the linear region.
2.
Han Curve Analysis
From strain sweep test data on linear viscoelastic behavior, the Han curve method was further utilized to analyze the phase structure and compatibility of the rubber-modified asphalts. By plotting the logarithmic relationship between the elastic modulus (G′) and the viscous modulus (G″) (log G′~log G″), the Han curve intuitively reflects the microstructural evolution of the material during the strain sweep process. For an ideal homogeneous viscoelastic material, within the linear strain range where no structural damage occurs, G′ and G″ increase proportionally, and the Han curve exhibits a linear segment with a slope of 1.0. When the strain increases to a level that induces internal network disruption or phase separation, the growth rate of G″ exceeds that of G′, and the slope of the curve progressively decreases to below 1.0. The Han curves for the four rubber-modified asphalts at 60 °C are presented in Figure 11.
Slope = 1.0 corresponds to the linear viscoelastic region, during which the elastic and viscous responses of the rubber-modified asphalt exhibit a linear relationship, indicating a stable internal network structure. Slope = 0.8 represents the critical state of phase separation or structural damage, where the network structure begins to deteriorate due to increasing strain, and the viscous response grows more rapidly than the elastic response. The Q73 rubber-modified asphalt, characterized by the highest resin content, exhibits a more extended “Slope = 1.0 segment,” with the transition point from Slope = 1.0 to 0.8 occurring later, reflecting a broader linear viscoelastic region. This observation indicates superior compatibility between the base asphalt and crumb rubber, facilitating the formation of a stable rubber-modified asphalt network. As strongly polar components, resins effectively promote the swelling of crumb rubber and enhance interfacial adhesion with asphaltenes, leading to the formation of a dense, homogeneous three-dimensional network with enhanced resistance to strain-induced damage. In contrast, the L74 rubber-modified asphalt, with its excessively high aromatic content, exhibits a shorter “Slope = 1.0 segment” and an earlier transition point. Although aromatics facilitate rubber dissolution, they dilute the effective concentration of polar components, thereby weakening network stiffness and leading to structural disassociation at relatively low strains, indicative of poor compatibility. Notably, K71, despite having a slightly lower resin content than M72, demonstrates a longer linear segment with a slope closer to 1.0. This phenomenon may be attributed to the more balanced component ratio in K71, which likely facilitates better interaction and network formation between asphalt fractions and rubber particles. In contrast, the excessively high aromatic content in M72, while improving the initial swelling and dispersion of rubber particles, may lead to reduced overall structural stability. Aromatic components, being more volatile and less polar, tend to weaken the cohesive forces between rubber and asphalt, causing the network to become less stable and more prone to degradation under high temperature or shear condition [22]. Furthermore, K71 and L74, both characterized by relatively high asphaltene contents, exhibit a more gradual slope decline after deviation from linearity, suggesting that the rigid support provided by asphaltenes partially postpones complete structural failure.

3.2.2. Temperature Sweep Test

For the evaluation of the high-temperature rheological properties of rubber-modified asphalt as well as their correlation with the compositional characteristics of the base asphalt, temperature sweep tests were conducted on four types of rubber-modified asphalt using a dynamic shear rheometer. Based on the linear viscoelastic range determined from the strain sweep tests, the temperature sweep was performed over a range of 60, 65, 70, 75, and 80 °C with a constant strain amplitude of 1%. The complex shear modulus (G*), phase angle (δ), and rutting factor (G*/sin δ) were measured and calculated for each specimen, and the resulting data were subsequently analyzed. The obtained curves and corresponding analyses are presented in Figure 12.
  • Complex Shear Modulus
As can be observed from Figure 12a, within the temperature range of 60 °C to 80 °C, As temperature increases, the complex shear modulus (G*) of all rubber-modified asphalts gradually decreases, indicating that the material’s resistance to shear deformation diminishes as temperature rises. Notably, the G* values of K71 and L74 rubber-modified asphalts are significantly higher than those of M72 and Q73 at equivalent temperatures, with L74 demonstrating a relatively modest decrease in complex modulus at 80 °C. At 60 °C, G* is 12.5 kPa; when the temperature rises to 80 °C, G* drops to 3 kPa, representing a 76% decrease. This phenomenon can be attributed to the higher asphaltene contents of both K71 and L74. Asphaltenes, characterized by the strongest polarity and highest molecular weight among asphalt components, form a three-dimensional network structure through strong intermolecular interactions. At elevated temperatures, this network provides effective rigid support to the system, retarding the softening of the colloidal structure under high-temperature conditions and thereby maintaining a relatively high modulus. In contrast, Q73 rubber-modified asphalt, which possesses the highest resin content, exhibits significantly lower complex shear modulus values compared to K71 and L74. Although resins, as moderately polar components, promote the swelling of crumb rubber and enhance interfacial bonding, their molecular chains possess relatively high flexibility, rendering them more susceptible to chain rearrangement as temperature increases, consequently leading to a reduction in complex shear modulus.
2.
Phase Angle
The phase angle represents the proportional relationship between the material’s viscous and elastic components. As illustrated in Figure 12b, the phase angles of all four rubber-modified asphalts exhibit an increasing trend with rising temperature, indicating a transition from elastic-dominated behavior toward viscous-dominated behavior at elevated temperatures. Among them, Q73 rubber-modified asphalt, which possesses the highest resin content, demonstrates the highest phase angle across the entire temperature range, exhibiting the largest increase with an increment of approximately 32%. This can be attributed to the relatively flexible molecular chains and enhanced interfacial mobility conferred by resins, resulting in predominantly viscous behavior. In contrast, K71 and L74 exhibit comparatively lower phase angles. This observation is ascribed to the presence of asphaltenes, which form a stable rigid network through strong polar interactions, thereby inhibiting molecular chain slippage at high temperatures. Consequently, elastic behavior predominates, leading to lower phase angles that increase more gradually with temperature.
3.
Rutting Factor
The rutting factor serves as a critical indicator for evaluating the high-temperature permanent deformation resistance of asphalt, with higher values denoting superior rutting resistance. As can be observed from Figure 12c, the rutting factor of all specimens progressively decreases with increasing temperature. However, at equivalent temperatures, the rutting factors of K71 and L74 are markedly higher than those of M72 and Q73. Particularly above 70 °C, the maximum rutting factor for L74 is 3.6 kPa, further substantiating the pivotal role of asphaltenes in enhancing high-temperature stability. Q73 rubber-modified asphalt, characterized by its relatively low asphaltene content, exhibits insufficient structural support at elevated temperatures, resulting in a comparatively lower rutting factor and diminished resistance to permanent strain. Notably, the rutting factor curves of the four rubber-modified asphalts remain essentially parallel, indicating that within the temperature range investigated in this study, compositional differences exert relatively limited influence on temperature sensitivity.
The temperature sweep results demonstrate that asphaltene content plays a dominant role in governing the high-temperature deformation resistance of rubber-modified asphalt. In particular, Its higher performance in the high-temperature range Complex Shear Modulus and the rutting factor can be regarded as indicators of enhanced structural support; previous studies have indicated that this type of high-temperature rheological enhancement is typically associated with the formation or maintenance of a more continuous “gel/networked” microstructure within the binder [28]. This finding provides clear guidance for enhancing the high-temperature performance of rubber-modified asphalt through the modulation of base asphalt composition. For applications in heavy-load or high-temperature regions, priority should be given to base asphalts with relatively high asphaltene contents.

3.3. Compatibility Evaluation Based on MSCR

3.3.1. MSCR Test

To accurately evaluate the permanent deformation resistance of rubber-modified asphalt and quantify its correlation with the compositional characteristics of the base asphalt, four types of rubber-modified asphalt were evaluated using multiple stress creep recovery (MSCR) tests. By simulating the intermittent loading conditions experienced by pavements under heavy traffic, the MSCR test offers greater insight into material performance under actual traffic loading at elevated temperatures. Using a DSR instrument, constant shear loading was applied for 1 s followed by a 9 s recovery period at stress levels of 0.1 kPa and 3.2 kPa, respectively. The non-recoverable creep compliance (Jnr) and creep recovery rate (R) were employed as indicators to assess the high-temperature performance of the asphalt. The creep recovery rate and non-recoverable creep compliance curves under 0.1 kPa and 3.2 kPa are presented in Figure 13.
As illustrated in Figure 13, under an applied stress of 0.1 kPa, The L74 rubber-modified asphalt exhibits the lowest Jnr value of 0.85 and the highest R value of 78.5, revealing its excellent resistance to permanent deformation and superior creep recovery capability. In contrast, the highest Jnr value and the lowest R value are observed for the Q73 rubber-modified asphalt, reflecting relatively weaker high-temperature performance. When the stress level is increased to 3.2 kPa, the Jnr values of all rubber-modified asphalts increase significantly, while the R values decrease accordingly. This phenomenon indicates that higher stress levels exacerbate deformation damage in rubber-modified asphalt and adversely affect its creep recovery capability, thereby reflecting the nonlinear viscoelastic characteristics of the material. The stress susceptibility of rubber-modified asphalt was evaluated using Jnrdiff and Rdiff. Calculation and analysis reveal that L74 exhibits the lowest stress susceptibility, with the smallest performance variation when the applied stress was raised from 0.1 kPa to 3.2 kPa, demonstrating favorable load adaptability. Overall, the stress susceptibility of both is ranked as Q73 > M72 > K71 > L74. Conversely, Q73 displays the highest stress susceptibility, indicating more pronounced performance degradation under heavy loading conditions.
Correlation analysis between MSCR parameters and the four components of base asphalt elucidates the component-controlled mechanism governing the high-temperature performance of rubber-modified asphalt. Examination of the experimental data reveals that Jnr values exhibit a negative correlation with asphaltene content: L74, characterized by the highest asphaltene content, demonstrates the minimum Jnr value, whereas Q73, with the lowest asphaltene content, displays the maximum Jnr value. This phenomenon can be attributed to the predominant role of asphaltenes as a rigid skeleton in enhancing the resistance to permanent deformation of rubber-modified asphalt. Regarding the creep recovery rate R, a positive correlation with resin content is observed. However, Q73, despite possessing the highest resin content, does not exhibit the highest R value. This may be explained by the fact that excessive resin content leads to increased viscosity of the rubber-modified asphalt, thereby constraining instantaneous creep recovery. Notably, L74, with an intermediate resin content, achieves the highest R value, suggesting the existence of an optimal resin content range that ensures satisfactory interfacial adhesion and network elasticity without excessively increasing asphalt viscosity to the detriment of creep recovery characteristics. Aromatics exhibit relatively weak influence on MSCR parameters; however, excessively high aromatic content may compromise the effective function of polar components through a dilution effect.

3.3.2. Grey Relational Analysis of MSCR Test Results

The present work quantitatively assessed the contribution of the four base asphalt fractions to the high-temperature rheological performance of rubber-modified asphalt. Grey relational analysis was applied to MSCR measurements to establish the correlational strength between compositional variables and rheological indices. The reference sequences were designated as Jnr0.1, R0.1, Jnr3.2, and R3.2, while the comparison sequences comprised the four-component contents, namely S, Ar, R, and As. The relational degrees for each indicator were calculated according to Equations (1)–(3), and the results are presented in Figure 14.
As illustrated in Figure 13, the grey relational degree typically ranges from 0 to 1, where a higher value indicates a stronger correlation between the reference sequence and the corresponding comparison sequence. In this study, values above 0.7 are considered to represent a strong correlation, while those below 0.6 indicate a relatively weak correlation. when Jnr values are taken as the reference sequence, the relational degrees of the four components rank in descending order as As > R > S >Ar. Notably, As exhibits the highest correlation with Jnr, substantiating that asphaltenes—the most polar and highest molecular weight components in asphalt—form a rigid three-dimensional network that serves as the backbone for resisting permanent deformation. The higher the asphaltene content, the more robust the network structure, resulting in smaller irrecoverable deformation under creep loading, i.e., a lower Jnr value. When the R value is adopted as the reference sequence, the relational degrees of the four components follow the order R > As > S > Ar, with resins demonstrating the strongest correlation with R. As strongly polar components of intermediate molecular weight, resins act as the critical medium that promotes crumb rubber swelling and establishes a flexible connection with the asphaltene network. The average relational degrees of R and As with each MSCR parameter exceed 0.7, significantly surpassing those of Ar and S, indicating that resins and asphaltenes constitute the predominant components governing the high-temperature rheological properties of rubber-modified asphalt. In contrast, Ar and S exhibit relatively weak correlations with the rheological parameters. Although Ar, as the primary light oil fraction, contributes to the initial swelling and dispersion of crumb rubber, excessive aromatic content dilutes the concentration of polar components within the system, thereby diminishing the overall stiffness and elasticity of the network structure and consequently impairing deformation resistance and recovery capability. The influence trend of saturates resembles that of aromatics, albeit with a slightly more pronounced effect.

3.3.3. Validation of Multiple Regression Analysis Results

Although gray correlation analysis can effectively reveal the relative importance of various components, it only provides a ranking of correlation strengths and cannot quantify the extent to which changes in component content affect rheological properties. Multivariate regression analysis is introduced as a complementary method to establish clear quantitative relationships. Based on the standardized data, the standardized regression coefficients for each rheological parameter were obtained through fitting using the least squares method, as illustrated in Figure 15.
As depicted in Figure 15, for the non-recoverable creep compliance (Jnr), the regression coefficient of As is negative with the largest absolute value, followed by that of R, while S and Ar exhibit relatively minor influences. Regarding the creep recovery rate (R), the regression coefficient of R is positive with the largest absolute value, followed by that of As. The R2 values for all models exceed 0.99, indicating excellent goodness of fit of the regression models to the experimental data. Through comparison, this ranking demonstrates consistency with the results obtained from grey relational analysis, further confirming that As and R are the predominant components governing the high-temperature rheological properties of rubber-modified asphalt, thereby substantiating the reliability of the grey relational analysis conclusions.

4. Conclusions

This work systematically analyzed the preparation optimization and the compatibility correlation of rubber-modified asphalt with base asphalt using orthogonal experimental design, rheological characterization, and four-component analysis. The main conclusions are outlined below:
  • The orthogonal experimental results show that shearing time has the greatest effect on the softening point and viscosity, whereas preparation temperature predominantly governs elastic recovery. Accordingly, the optimal preparation protocol was determined as follows: the base asphalt was heated to 170 °C, sheared at 4000 r/min for 40 min, and subsequently conditioned isothermally at 170 °C for 60 min. This process balances rubber swelling against thermal aging, thereby promoting uniform crumb rubber dispersion and the development of a stable network structure.
  • Resin content is positively correlated with the width of the linear viscoelastic region. Among the four rubber-modified asphalts, Q73—characterized by the highest resin content—exhibits the largest critical strain. In addition, the Han plot shows that the transition point at which the slope decreases from 1.0 to 0.8 occurs later for Q73, indicating superior compatibility and a more stable network structure.
  • At a given temperature, both the complex shear modulus and the rutting factor increased with increasing asphaltene content. Notably, L74—exhibiting the highest asphaltene content—achieved a rutting factor of 2.1 kPa at 80 °C, approximately 40% higher than that of Q73, indicating that asphaltenes provide substantial structural support under high-temperature loading.
  • The MSCR test results reveal that creep recovery rate is positively correlated with resin content, whereas the non-recoverable creep compliance is negatively correlated with asphaltene content. Grey correlation analysis further quantifies the extent of influence, with the sequence of correlation degree for each component ranked as As > R > S > Ar when Jnr is used as the reference sequence. This indicates that resin and asphaltenes are the core components controlling the high-temperature rheological properties of rubber-modified asphalt. Furthermore, multivariate regression analysis validated these findings, with all models yielding an R2 value greater than 0.99.

Limitations and Future Prospects

Although this study provides valuable data support for optimizing the preparation process of rubber-modified asphalt and understanding the correlations between its components and rheological properties, several limitations remain that warrant further investigation in subsequent research.
  • Microscopic mechanism.
While this study elucidated the regulatory effects of resins and asphaltenes on macroscopic performance through rheological methods and interpreted the underlying mechanisms from the perspective of colloidal structure, direct observation of the interfacial behavior between crumb rubber and asphalt, as well as the interactions among components at the microscopic level, remains lacking. Future research could employ Fourier transform infrared spectroscopy, fluorescence microscopy, or scanning electron microscopy to intuitively reveal, from the molecular and micro-morphological perspectives, the evolution of rubber swelling behavior, interface thickness, and network morphology under different four-component contents.
2.
Long-term performance.
The long-term performance evolution of materials during service life was not addressed in the current study. It is recommended that subsequent investigations incorporate the rolling thin-film oven test and pressure aging vessel to simulate short-term and long-term aging of rubber-modified asphalt. Comparative analysis of the variations in rheological parameters of base asphalts with different component compositions before and after aging would facilitate evaluation of their aging resistance and long-term service life.
3.
Laboratory-to-field gap.
All sample preparations in this study were based on standardized laboratory procedures. However, in practical engineering applications, on-site construction conditions often differ from laboratory environments, potentially exerting significant influence on the ultimate pavement performance of rubber-modified asphalt. Therefore, subsequent research should focus on the regulatory mechanisms of various process variables on material properties and explore mixture design and construction optimization strategies tailored to actual working conditions.
4.
Sample size and generalizability.
The sample size in this study was relatively limited, with only four representative base asphalts selected. To address this constraint, future work should substantially expand the sample set by incorporating a wider range of base asphalts with more diverse four-component distributions. This will allow for validation and generalization of the quantitative correlation models established herein, thereby enhancing the statistical robustness and broader applicability of the findings.

Author Contributions

Conceptualization, N.N. and M.L.; Methodology, N.N. and M.L. and Z.L.; Investigation, M.L. and L.Z.; Validation, L.Z.; Resources, N.N. and H.Y.; Data Curation, Y.T.; Writing—Original Draft Preparation, N.N.; Writing—Review & Editing, Y.T.; Visualization, M.L.; Supervision, N.N. and Z.L.; Project Administration, H.Y. and Z.L.; Funding Acquisition, N.N. All authors have read and agreed to the published version of the manuscript.

Funding

This research was funded by the National Natural Science Foundation of China (Grant No. 52108392) “Study on Component Variation Characteristics and Crack Resistance Mechanism of Rubber-Modified Asphalt under Coupled Strong Radiation and Low Temperature”, the Guangxi Key R&D Program (Grant No. Guike AB23075202), and the Guangxi Key R&D Program (Grant No. Guike AB25069168). The authors gratefully acknowledge their financial support.

Data Availability Statement

The original contributions presented in this study are included in the article. Further inquiries can be directed to the corresponding author.

Conflicts of Interest

Author H.T. Yuan was employed by Guangxi Jiaoke New Materials Technology Co., Ltd. And author Z.B. Luo was employed by China Merchants Chongqing Communications Reseach & Design Institute Co., Ltd. The remaining authors declare that the research was conducted in the absence of any commercial or financial relationships that could be construed as a potential conflict of interest.

References

  1. Xie, C. Current Status of Waste Tire Rubber Powder Modified Asphalt. Compr. Util. Tire Resour. China 2018, 23–28. [Google Scholar] [CrossRef]
  2. Zhang, L.Q. Technological Innovation and Practice in China’s Tire Recycling Industry. Compr. Util. Tire Resour. China 2023, 28–35. [Google Scholar] [CrossRef]
  3. Wang, Y.; Yi, H.; Cui, Y.; Li, S.; Zhou, S.; Yan, C. Research on the Preparation Process of SBS-Modified Asphalt Using Early Shearing Instead of High-Speed Shearing of Modifier. Appl. Sci. 2023, 13, 10335. [Google Scholar] [CrossRef]
  4. Wang, Y.; Yi, H.; Liang, P.; Chai, C.; Yan, C.; Zhou, S. Investigation on Preparation Method of SBS-Modified Asphalt Based on MSCR, LAS, and Fluorescence Microscopy. Appl. Sci. 2022, 12, 7304. [Google Scholar] [CrossRef]
  5. Xue, J.S.; Yang, Y.; Li, J.F.; Zhao, W.; Wang, Y.Y. Preparation process and properties of polyurethane/phosphogypsum-modified asphalt and its mixtures. PLoS ONE 2025, 20, e0327312. [Google Scholar] [CrossRef] [PubMed]
  6. Hou, W. Experimental study on impact of production process parameters on rubber asphalt performance. Appl. Mech. Mater. 2012, 204, 3629–3633. [Google Scholar] [CrossRef]
  7. An, H.; Yang, R.; Yuan, W. Effect of production process parameters on high temperature stability of rubber asphalt mixture. Indian J. Eng. Mater. Sci. 2018, 25, 498–506. [Google Scholar]
  8. Li, S.; Yi, K.; Lv, L.; Zhang, Y. Preparation and performance study of WCO nano SiO2 composite recycled asphalt. In Proceedings of the Eighth International Conference on Environmental Science and Civil Engineering, Nanchang, China, 9 January 2026; p. 140020F. [Google Scholar]
  9. Yang, J.H.; Yin, X.M.; Fang, Y. Preparation Process Optimization of Polyurethane Prepolymer Modified Asphalt Binder Based on Response Surface Methodology and Its Rheological Behaviors. J. Appl. Polym. Sci. 2025, 142, e56909. [Google Scholar] [CrossRef]
  10. Cui, Y.; Li, J.; Zhu, L.; Zuo, S.; Yu, M.; Liu, P.; Cui, X. Preparation and Properties of SBS/REOB-Modified Rejuvenated Asphalt. Appl. Sci. 2022, 12, 4063. [Google Scholar] [CrossRef]
  11. Xie, J.; Yang, Y.M.; Lv, S.T.; Peng, X.H.; Zhang, Y.N. Investigation on Preparation Process and Storage Stability of Modified Asphalt Binder by Grafting Activated Crumb Rubber. Materials 2019, 12, 2014. [Google Scholar] [CrossRef] [PubMed]
  12. Guo, F.; Zhang, J.; Pei, J.; Ma, W.; Hu, Z.; Guan, Y. Evaluation of the compatibility between rubber and asphalt based on molecular dynamics simulation. Front. Struct. Civ. Eng. 2020, 14, 435–445. [Google Scholar] [CrossRef]
  13. Kong, P.P.; Xu, G.; Fu, L.X.; Feng, H.X.; Chen, X.H. Chemical structure of rubber powder on the compatibility of rubber powder asphalt. Constr. Build. Mater. 2023, 392, 131769. [Google Scholar] [CrossRef]
  14. Li, J.; Xiao, X.; Chen, Z.X.; Xiao, F.P.; Amirkhanian, S.N. Internal de-crosslinking of scrap tire crumb rubber to improve compatibility of rubberized asphalt. Sustain. Mater. Technol. 2022, 32, e00417. [Google Scholar] [CrossRef]
  15. Zheng, W.H.; Wang, H.N.; Chen, Y.; Ji, J.; You, Z.P.; Zhang, Y.Q. A review on compatibility between crumb rubber and asphalt binder. Constr. Build. Mater. 2021, 297, 123820. [Google Scholar] [CrossRef]
  16. Liang, M.; Qiu, Z.; Luan, X.; Qi, C.; Guo, N.; Liu, Z.; Su, L.; Yao, Z.; Zhang, J. The effects of activation treatments for crumb rubber on the compatibility and mechanical performance of modified asphalt binder and mixture by the dry method. Front. Mater. 2022, 9, 845718. [Google Scholar] [CrossRef]
  17. Wang, D.W.; Du, P.D.; Wang, J.P.; Han, Z.Q.; Lan, X. A Review of Compatibility Evaluation Methods and Improvement Measures Between Rubber Powder and Base Asphalt. Materials 2025, 19, 139. [Google Scholar] [CrossRef] [PubMed]
  18. Wang, Y.-Z.; Wang, X.-D. Compatibility and Adhesion Properties of Rubber Asphalt. J. Highw. Transp. Res. Dev. (Engl. Ed.) 2020, 14, 40–50. [Google Scholar] [CrossRef]
  19. Ren, S.; Liu, X.; Fan, W.; Wang, H.; Erkens, S. Rheological properties, compatibility, and storage stability of SBS latex-modified asphalt. Materials 2019, 12, 3683. [Google Scholar] [CrossRef]
  20. Wang, T.; Weng, Y.; Cai, X.; Li, J.; Xiao, F.; Sun, G.; Zhang, F. Statistical modeling of low-temperature properties and FTIR spectra of crumb rubber modified asphalts considering SARA fractions. J. Clean. Prod. 2022, 374, 134016. [Google Scholar] [CrossRef]
  21. Chen, Z.; Huang, G.; Wang, S.; Wang, X.; Wang, Z.; Zhang, J.; Falchetto, A.C. Variation of SARA fractions of crumb rubber modified asphalt binder-aggregate interface system and its correlation with adhesion properties. Constr. Build. Mater. 2024, 435, 136902. [Google Scholar] [CrossRef]
  22. Xiao, F.; Wang, J. Rheological Properties of Derived Fractions Composed of Aromatics, Resins, and Asphaltenes. In Proceedings of the RILEM International Symposium on Bituminous Materials; Springer International Publishing: Cham, Switzerland, 2022; pp. 1619–1625. [Google Scholar]
  23. JTG F40-2004; Technical Specifications for Construction of Highway Asphalt Pavements. China Communications Press: Beijing, China, 2004.
  24. JT/T 797-2011; Crumb Rubber for Road Use. China Communications Press: Beijing, China, 2011.
  25. JTG E20-2011; Standard Test Methods of Bitumen and Bituminous Mixtures for Highway Engineering. China Communications Press: Beijing, China, 2011.
  26. Wang, H.; Liu, X.; Apostolidis, P.; van de Ven, M.; Erkens, S.; Skarpas, A. Effect of laboratory aging on chemistry and rheology of crumb rubber modified bitumen. Mater. Struct. 2020, 53, 26. [Google Scholar] [CrossRef]
  27. Chen, Z.; Hu, Q.; Chen, R.; Li, D.; Leng, Z. An entropy weight-TOPSIS decision support method for viscosity reduction of rubberized bitumen. Transp. Res. Part D Transp. Environ. 2026, 154, 105283. [Google Scholar] [CrossRef]
  28. Li, S.; Yu, J.; Wei, R.; Li, R.; Sreeram, A.; Xu, X. Innovative reaction-rejuvenation of aged SBS modified asphalt binder: From physico-rheological behavior to rejuvenation mechanism. Dev. Built Environ. 2025, 25, 100822. [Google Scholar] [CrossRef]
Figure 1. Research Flowchart.
Figure 1. Research Flowchart.
Buildings 16 01531 g001
Figure 2. Base Asphalt Four-Component Content (Mass Fraction).
Figure 2. Base Asphalt Four-Component Content (Mass Fraction).
Buildings 16 01531 g002
Figure 3. Adhesive Powder Sample Image.
Figure 3. Adhesive Powder Sample Image.
Buildings 16 01531 g003
Figure 4. Influence of Factor Levels on Penetration.
Figure 4. Influence of Factor Levels on Penetration.
Buildings 16 01531 g004
Figure 5. Influence of Factor Levels on Ductility.
Figure 5. Influence of Factor Levels on Ductility.
Buildings 16 01531 g005
Figure 6. Influence of Factor Levels on Elastic recovery.
Figure 6. Influence of Factor Levels on Elastic recovery.
Buildings 16 01531 g006
Figure 7. Influence of Factor Levels on Softening point.
Figure 7. Influence of Factor Levels on Softening point.
Buildings 16 01531 g007
Figure 8. Influence of Factor Levels on Viscosity.
Figure 8. Influence of Factor Levels on Viscosity.
Buildings 16 01531 g008
Figure 9. Influence Trends of Various Factors on Different Performance Indicators.
Figure 9. Influence Trends of Various Factors on Different Performance Indicators.
Buildings 16 01531 g009
Figure 10. Variation Curves of Complex Modulus with Strain for Different Rubber-Modified Asphalts at 60 °C under Dynamic Strain Sweep.
Figure 10. Variation Curves of Complex Modulus with Strain for Different Rubber-Modified Asphalts at 60 °C under Dynamic Strain Sweep.
Buildings 16 01531 g010
Figure 11. Logarithmic Curves of Elastic Modulus versus Viscous Modulus for Different Rubber-Modified Asphalts under Dynamic Strain Sweep at 60 °C.
Figure 11. Logarithmic Curves of Elastic Modulus versus Viscous Modulus for Different Rubber-Modified Asphalts under Dynamic Strain Sweep at 60 °C.
Buildings 16 01531 g011
Figure 12. Dynamic Temperature Sweep Curves of Rubber-Modified Asphalts with Different Designations.
Figure 12. Dynamic Temperature Sweep Curves of Rubber-Modified Asphalts with Different Designations.
Buildings 16 01531 g012
Figure 13. MSCR Test Results for Rubber-Modified Asphalts with Different Designations.
Figure 13. MSCR Test Results for Rubber-Modified Asphalts with Different Designations.
Buildings 16 01531 g013
Figure 14. Grey Relational Degree between Base Asphalt Four Components and MSCR Rheological Parameters.
Figure 14. Grey Relational Degree between Base Asphalt Four Components and MSCR Rheological Parameters.
Buildings 16 01531 g014
Figure 15. Multiple Regression Analysis Results.
Figure 15. Multiple Regression Analysis Results.
Buildings 16 01531 g015
Table 1. Key Performance Indicators for 70# Base Asphalt.
Table 1. Key Performance Indicators for 70# Base Asphalt.
Test ItemsUnitTest ResultTechnical Requirements
Penetration (25 °C, 100 g, 5 s)0.1 mm6660~80
Softening Point (Ring and Ball Method)°C48.0≥46
Ductility (15 °C, 5 cm/min)cm>100≥100
180 °C Rotational ViscosityPa·s2.71.5~5.0
RTFOTResidual Penetration Ratio (25 °C)%76≥61
Table 2. Physical Testing Parameters and Technical Requirements for Rubber Powder.
Table 2. Physical Testing Parameters and Technical Requirements for Rubber Powder.
Test ItemsScreeningsRelativedenWater ContentMetal ContentFiber Content
Unit%----%%%
Measurements0.51.220.00.0060.01
Range<101.10~1.30<1<0.03<1
Table 3. Chemical Specifications and Technical Requirements for Rubber Powder.
Table 3. Chemical Specifications and Technical Requirements for Rubber Powder.
Test ItemsAshAcetone Extract MaterialCarbon Black ContentRubber Hydrocarbon Content
Unit%%%%
Measurements7.07.128.957
Range≤8≤22≥28≥42
Table 4. Results of the rubber powder screening.
Table 4. Results of the rubber powder screening.
Square hole mesh size/mm0.850.600.430.300.250.180.150.075Sieve bottom
Mesh number/μm85060042530025018015075---
Percentage/%10010098.585.270.345.628.412.75.2
Table 5. Factors and levels used in the orthogonal test.
Table 5. Factors and levels used in the orthogonal test.
LevelPreparation Temperature A (°C)Shearing Time B (min)Shearing Rate C (r/min)
1160103000
2170204000
3180305000
4190406000
Table 6. Orthogonal Test Results.
Table 6. Orthogonal Test Results.
Test NumberABCPenetration (0.1 mm)Ductility/cmElastic Recovery/%Softening Point/°CViscosity/Pa∙s
1160103000533.072.567.51.454
2160204000547.081.770.51.754
31603050006912.071.066.01.858
4160406000598.078.072.02.870
5170104000635.077.068.01.806
6170203000526.081.072.52.780
7170306000638.079.067.51.639
8170405000577.078.271.02.100
9180105000564.069.365.51.566
10180206000616.068.565.51.756
11180303000556.069.567.52.095
12180404000578.075.270.52.730
13190106000614.066.365.01.485
14190205000606.073.266.51.884
15190304000648.071.367.02.900
16190403000587.074.070.01.705
Table 7. Factor Analysis Table for Orthogonal Test Results.
Table 7. Factor Analysis Table for Orthogonal Test Results.
IndicatorsParametersPreparation TemperatureShearing TimeShearing RateOptimal Combination
Penetration (0.1 mm)k158.7558.2554.5A4B3C4
k258.7556.7559.5
k357.2562.7560.5
k460.7557.7561.0
R3.56.06.5
Ductility/cmk17.54.05.5A1B3C3
k26.56.257.0
k36.08.57.25
k46.257.56.5
R1.54.51.75
Elastic Recovery/%k175.871.27574.25A2B4C2
k278.876.176.3
k370.62572.772.925
k471.276.3572.95
R8.1755.0753.375
Softening Point/°Ck169.066.569.375A2B4C1
k269.7568.7569.0
k367.2567.067.25
k467.12570.87567.5
R2.6254.3752.125
Viscosity/Pa∙sk11.9841.5782.008A2B4C2
k22.0812.0442.298
k32.0372.1231.852
k41.9942.3511.938
R0.0970.7730.446
Disclaimer/Publisher’s Note: The statements, opinions and data contained in all publications are solely those of the individual author(s) and contributor(s) and not of MDPI and/or the editor(s). MDPI and/or the editor(s) disclaim responsibility for any injury to people or property resulting from any ideas, methods, instructions or products referred to in the content.

Share and Cite

MDPI and ACS Style

Ni, N.; Li, M.; Zhang, L.; Tan, Y.; Yuan, H.; Luo, Z. Quantitative Evaluation of Rubber–Asphalt Compatibility: Multivariate Correlation Study of Process Parameters, Base Asphalt Components, and Rheological Properties. Buildings 2026, 16, 1531. https://doi.org/10.3390/buildings16081531

AMA Style

Ni N, Li M, Zhang L, Tan Y, Yuan H, Luo Z. Quantitative Evaluation of Rubber–Asphalt Compatibility: Multivariate Correlation Study of Process Parameters, Base Asphalt Components, and Rheological Properties. Buildings. 2026; 16(8):1531. https://doi.org/10.3390/buildings16081531

Chicago/Turabian Style

Ni, Na, Manzhi Li, Lingkang Zhang, Yaling Tan, Haitao Yuan, and Zhongbin Luo. 2026. "Quantitative Evaluation of Rubber–Asphalt Compatibility: Multivariate Correlation Study of Process Parameters, Base Asphalt Components, and Rheological Properties" Buildings 16, no. 8: 1531. https://doi.org/10.3390/buildings16081531

APA Style

Ni, N., Li, M., Zhang, L., Tan, Y., Yuan, H., & Luo, Z. (2026). Quantitative Evaluation of Rubber–Asphalt Compatibility: Multivariate Correlation Study of Process Parameters, Base Asphalt Components, and Rheological Properties. Buildings, 16(8), 1531. https://doi.org/10.3390/buildings16081531

Note that from the first issue of 2016, this journal uses article numbers instead of page numbers. See further details here.

Article Metrics

Article metric data becomes available approximately 24 hours after publication online.
Back to TopTop