Next Article in Journal
Quantitative Evaluation of Rubber–Asphalt Compatibility: Multivariate Correlation Study of Process Parameters, Base Asphalt Components, and Rheological Properties
Previous Article in Journal
Study on the Static Characteristics of Lignin-Fiber-Reinforced Sand
 
 
Font Type:
Arial Georgia Verdana
Font Size:
Aa Aa Aa
Line Spacing:
Column Width:
Background:
Article

Analysis of Carbon Emissions for Traditional Rural Residences and Adaptability Study of Lightweight Steel Assembled Rural Residences in Different Climate Zones of China

1
School of Architecture and Art Design, Hebei University of Technology, Tianjin 300130, China
2
Key Laboratory of Healthy Human Settlements in Hebei Province, Tianjin 300130, China
*
Author to whom correspondence should be addressed.
Buildings 2026, 16(8), 1533; https://doi.org/10.3390/buildings16081533
Submission received: 4 February 2026 / Revised: 26 March 2026 / Accepted: 1 April 2026 / Published: 14 April 2026

Abstract

Traditional rural residences are distributed across diverse climate zones in China, resulting in significant variations in their carbon emissions. Meanwhile, lightweight steel assembled rural residences are increasingly becoming more widely used, but unfortunately, their adaptability in different climate zones of China has not been fully recognized. Therefore, the aim of this study is to investigate the environmental impact and economic cost of lightweight steel assembled rural residences in the life cycle. Furthermore, the climate adaptability of lightweight steel assembled rural residences was explored, and a dual-objective optimization of life-cycle carbon emissions and the cost of unit carbon emission reduction was carried out. In this study, representative traditional rural residences from five climate zones of China were chosen as the research objective. At first, carbon emissions and the potential of carbon emission reduction in the life cycle of rural residences were investigated, including the production stage, construction stage, operation stage, and demolition stage, and the cost of unit carbon emission reduction for lightweight steel assembled rural residences was analyzed. Furthermore, the rural residences with the greatest optimization potential for carbon emission reduction were selected to find the optimal design parameters based on the entropy-weighted TOPSIS decision-making method. The results indicate that the production and operation stages have the greatest potential for carbon emission reduction in rural residences in the life cycle, while the construction and demolition stages contribute only marginal reductions. Furthermore, life-cycle carbon emissions can be reduced by 3.7% to 59.44% for lightweight steel assembled rural residences, and lightweight steel assembled rural residences for Siheyuan are the most suitable candidates for priority promotion, with the cost of unit carbon emission reduction being 0.099 CNY/kgCO2e. Moreover, lightweight steel assembled rural residences for MHJ demonstrate the best performance considering the objectives of life-cycle carbon emissions and the cost of unit carbon emission reduction, while NCVD performed the worst. For NCVD, with the optimal design parameters, life-cycle carbon emissions are reduced by 115.84 kgCO2e m−2, while the cost of unit carbon emission reduction increases by only 0.158 CNY/kgCO2e.

1. Introduction

By 2022, the total building area had reached approximately 6.96 × 10 9   m 2 in China, where rural residences accounted for about one-third of the total building area [1]. The vast majority of rural residences are still primarily constructed using brick-wood or brick-concrete structures. Although they complied with contemporary building standards at the time of construction, modern building safety standards, the diversification of residential functions, and heightened durability requirements have rendered their original structural performance inadequate for contemporary needs. More importantly, the indiscriminate renovation of rural residences in recent years has led to the dissolution of traditional social structures, resulting in the homogenization and diminishment of building forms and the erasure of traditional regional symbols. Consequently, there is an urgent need to find an adaptable and efficient structure for rural residences and to enhance building climate adaptability [2]. Recently, light steel structures have garnered significant global attention, and their application in rural residences is becoming increasingly widespread [3]. In China, the industrialization of rural residence construction is accelerating, creating favorable conditions for the promotion and application of light steel structures. Indisputably, compared with traditional structures, light steel structures possess numerous advantages, as shown in Table 1.
The number of publications in the fields of rural residences and light steel structures indexed in the Web of Science was analyzed, as shown in Figure 1. It can be seen that the number of publications has exhibited a steady growth trend over the past decade.
To achieve scientific substitution and the large-scale promotion of light steel buildings in rural residences, conducting life-cycle carbon emission (LCCE) analysis of traditional rural residences and exploring their potential for carbon emission reduction are essential. Many scholars have studied LCCEs of buildings, while studies on rural residences in China, both domestic and international, have mainly focused on operational energy [13]. Tang et al. [14] projected carbon emission pathways for rural areas in the eastern provinces, with a primary focus on the impact of operational energy consumption on carbon emissions. Chang et al. [15] employed a process-based hybrid life-cycle assessment model to quantify energy use throughout the life cycle of urban and rural residences in China from a macro-perspective, revealing that operational energy consumption is the dominant component. Furthermore, some studies have explored ways to reduce energy consumption in rural residences from the perspective of the climate, materials, and structural design fields, as well as related fields. Cao et al. [16] utilized life-cycle assessment and orthogonal experimental methods to evaluate retrofits of the external windows, roof, and wall of a rural residence in Tongchuan City, Shanxi Province. The study demonstrated that passive energy-saving retrofits of rural residences in the cold zone significantly reduced carbon emissions. Yu et al. [17] proposed a series of design strategies for folk dwellings in Hanzhong, including optimization of building scale, layout organization, design of indoor and outdoor transitional spaces, and selection of building materials, to reduce energy consumption in rural residence. Dai et al. [18] compared traditional rammed earth with cement-stabilized rammed earth techniques, demonstrating that cement-stabilized rammed earth reduces construction-stage carbon emissions by 15–20% while cutting costs by 25%, and quantified the dominant contributions of construction machinery energy consumption and building waste to embodied carbon emission. Yao et. al. [19] set LCCEs and economic cost as dual-control objectives for rural residences in the severe cold zone and developed an optimization model for renovation design. The results indicated that the type of external door and window was the main impact factor on LCCEs, and the optimized rural residences achieved a 25.01–36.26% reduction in LCCEs and a 5.56–18.87% in the life cycle economic cost. The existing research has evolved from establishing basic frameworks to exploring materials, structures, and regional cases of rural residences.
Meanwhile, the application and optimization of light steel structures have become a focal point in the international construction sector. Huang et al. [20] demonstrated the efficacy of light steel structures in reducing LCCEs through a comparative case study, offering a practical framework for low-carbon retrofits of traditional buildings. Wasim et al. [21] developed an integrated framework that optimizes lightweight steel assembled buildings through combined structural, thermal, and energy simulations to maximize energy and cost efficiency. Zhang et al. [22] indicated that highly optimized lightweight steel-assembled buildings can reduce the costs of the operation stage by more than 50% compared with traditional construction in Europe. Li et al. [23] found that low-carbon straw buildings with light steel structures reduced net carbon emissions by 76.92% compared with the reference buildings. Elkhayat concluded that an optimized, lightweight steel-framed residence in Ireland achieved 15% lower life-cycle carbon emissions than conventional masonry by using low-carbon steel and reducing floor components [24]. Shashidhara et al. [25] assessed the performance of the light gauge steel frame structure using cold-formed steel (CFS) profile-89 and CFS profile-150, respectively, based on various seismic methods and found that the performance of both structures was at life safety level. The scholars have focused on the advantages of light steel structures, energy consumption, and structural reliability.
In summary, the potential for carbon emission reduction in the life cycle of traditional rural residences across different climate zones in China has not been systematically revealed. Meanwhile, rural residences with light steel structures, namely lightweight steel assembled rural residences, have seen widespread adoption in rural areas of China. However, the regional characteristics of traditional rural residences are not presented in lightweight steel assembled rural residences. Furthermore, the environmental impact and economic cost of replacing traditional rural residences with light steel structure remain to be clearly demonstrated. To address these gaps, the primary study question is whether lightweight steel assembled rural residences have adaptability across five climate zones in China, while preserving regional characteristics of traditional rural residences. Therefore, in the study, five rural residences located in different climate zones of China were selected as prototypical models, and lightweight steel assembled rural residences with regional characteristics of traditional rural residences were developed. At first, a comparative analysis of the life-cycle carbon emission reduction potential of traditional rural residences across different climate zones in China was conducted. Furthermore, the inequality of the LCCE and the cost of unit carbon emission reduction (CUCER) for the typical lightweight steel assembled rural residences was comprehensively revealed. Furthermore, for lightweight steel assembled rural residences with carbon emission reduction potential, optimization solutions were further developed. Finally, an optimization design was implemented for rural residences with the most potential to reduce the LCCE and lower the CUCER. The objective is to clarify the differences in environmental impact and economic cost between rural residences and to provide a scientific basis and decision-making references for the low-carbon and economic design and promotion of lightweight steel assembled rural residences across different climate zones in China. The innovativeness of this study is shown as follows:
(1)
A comparative analysis for rural residences across five climate zones in China was presented to identify the different effects of structural replacement and regional character retention on life-cycle carbon emissions.
(2)
A dual-control optimization considering both the life-cycle carbon emissions and the cost of unit carbon emission reduction was developed to improve the economic evaluation of carbon mitigation strategies.
(3)
A decision-making approach of the entropy-weighted TOPSIS method was developed to identify rural residences with the most optimization potential and the optimal design parameters for the rural residences.

2. Methodology

2.1. Model of Life-Cycle Carbon Emission

Life cycle assessment (LCA) is a method commonly used to evaluate the environmental impact of a product, process, or activity throughout its life cycle. Therefore, the LCA method was used to obtain carbon emissions of traditional rural residences and lightweight steel assembled rural residences with regional characteristics of traditional rural residences in different climate zones of China, respectively. Generally, the LCCE of buildings derives from five stages: planning stage (stage A: including the mental efforts of designers, labor input and time), production stage (stage B: including the production of building materials and their transport to the site), construction stage (stage C: including mechanical construction and labor-related activities), operation stage (stage D: including operational energy consumption and carbon emissions due to maintenance and renewal), and demolition stage (stage E: including the energy consumption of the deconstruction and transport to waste processing) [26], as shown in Figure 2. However, given that the mental efforts of designers, labor input and time spent in the planning stage are difficult to quantify. Therefore, the carbon emissions generated from energy consumption during this process are negligible.
The carbon emissions generated throughout a building’s life cycle ( E sum ) are defined as the cumulative value of each sub-stage.
E sum = E pt + E c + E om + E dr
where E sum is the LCCEs (kgCO2e), and E pt , E c , E om , and E dr represent the carbon emissions of production, construction, operation and demolition stage for the buildings, respectively, shown as follows:
E pt = E p + E t
E c = E c 1 + E c 2
E om = E o + E m
E dr = E d + E r
where E p is the carbon emissions in the building materials production stage (kgCO2e), E t is the carbon emissions during the building materials transportation stage (kgCO2e), E c 1 is the carbon emissions from mechanical construction (kgCO2e), E c 2 is the carbon emissions during manual work (kgCO2e), E o is the carbon emissions during the operation stage (kgCO2e), E m is the carbon emissions during the maintenance stage (kgCO2e), E d is the carbon emissions during the deconstruction stage (kgCO2e), and E r is the carbon emissions during the transport to waste processing stage.
In the production stage of the buildings, it is mainly composed of the production of construction materials, the processing of components and assemblies. To quantify the associated carbon emissions, carbon emission factors are essential. In the study, the carbon emission factors for materials and energy were derived from the Chinese standard GB/T 51366-2019 [27] and domestic research. Additionally, owing to significant disparities in the construction periods of rural residences across zones, and considering that most such rural residences are built using locally sourced materials, applying the average transport distance estimation method would introduce significant uncertainties into the results [28]. Therefore, the embodied carbon emissions from the raw material transport process were not considered in the study.
E p = i = 1 n Q pi × E E pi
where Q pi and E E pi are the quantity and carbon emission factor of material i, and n represents the number of types of material or mechanical construction equipment used.
In the construction stage of the buildings, carbon emissions primarily result from energy consumption associated with mechanical equipment and labor-related activities. Currently, there is relatively little research on carbon emissions from labor-related activities, and no corresponding reference data are provided in the IPCC guidelines or the carbon emission calculation standard (GB/T 51366-2019) [27]. Therefore, the selection of carbon emissions from labor-related activities in the study is based on the data from the 2024 China statistical yearbook [29], in which China’s per capita domestic energy consumption in 2022 is 500 kg of standard coal equivalent (kgce) per year. Using an energy carbon emission factor of 2.384 kgCO2e/kgce, carbon emissions from labor-related activities were calculated as 3.266 kgCO2e per workday. The data on engineering quantities, including material usage, workdays, and machine shifts, were obtained from the investigation.
E c 1 = i = 1 n T i × E E c 1 i
E c 2 = G × E F c 2
where T i and E F c 1 i are the quantity and carbon emission factor of construction machinery i, respectively, and G and E F c 2 represent the quantity and carbon emission factor of workers during construction, respectively.
The operation stage is the longest-lasting stage in buildings’ life cycle and is divided into two stages: daily operation and renovation and maintenance. Carbon emissions in the operation stage primarily stem from heating, cooling, lighting, household appliances, and domestic water use in building operation. This part of carbon emissions was obtained through simulation with the DesignBuilder software (Version 7.0.0.082) in the study, which utilizes EnergyPlus as its core simulation engine, enabling accurate modeling of dynamic building energy consumption. Furthermore, the carbon emissions from building maintenance were estimated at 20% of total carbon emissions during the material production and construction stages [30] due to the difficulty in obtaining detailed statistics on the carbon footprint factor and coefficient of building maintenance measures.
The demolition stage of buildings primarily consists of deconstruction and disposal of waste. Based on the relationship between different building scales and their carbon emissions during the demolition stage, the carbon emissions caused by demolition account for approximately 90% of carbon emissions during the construction stage [31].

2.2. Model of Cost of Unit Carbon Emission Reduction

The economic efficiency of carbon emission reduction for lightweight steel assembled rural residences compared with traditional rural residences was evaluated using CUCER. It should be specifically noted that the cost differences in lightweight steel assembled rural residences across regions are primarily driven by operational expenses and insulation material costs. Therefore, the sum of the initial investment and the annual savings in heat loss costs over the material’s service life is calculated as the total cost in this study, shown as follows:
H = C t / Δ E
Δ E = E x E y
where H is CUCER of buildings (CNY/kgCO2e), Δ E denotes the carbon emission reduction attributable to the building envelope replacement (kgCO2e m−2), a positive Δ E value indicates a reduction in carbon emissions, C t is the total cost of building (CNY m−2), E x denotes the carbon emissions of traditional rural residences (kgCO2e m−2), and E y is the carbon emissions of lightweight steel assembled rural residences (kgCO2e m−2).
Generally, heat loss through exterior walls and roofs accounts for approximately 35% of total building heat loss, while heat transfer through the ground represents merely 2% [32]. Therefore, the study focuses specifically on the influence of insulation thickness layer for the exterior wall and roof on overall building energy consumption. The total load ( Q t ) is shown as:
Q t = Q w + Q s
where Q t is the annual total load (kWh), Q w denotes the heating load (kWh) and Q s denotes the cooling load (kWh). The total cost of an insulated building is defined as the sum of the energy consumption cost for handling the total building load and the cost of the insulation materials.
C t = C k + C b
C k = C w + C s × P W F
C b = ( d 1 + d 2 ) × C in × S c S z
where C k is the sum of the energy consumption cost for handling the total load and C b is the cost of the insulation materials (CNY m−2), C w and C s are the energy consumption costs for winter and summer (CNY m−2), d 1 represents the thickness of the wall insulation layer (m), d 2 represents the thickness of the roof insulation layer (m), C in is the cost of the insulation material (CNY m−3), S c is the area covered by the insulation material (m2), and S z represents the area of the building (m2).
All rural residences were assumed to utilize the heat pump systems to provide cooling in summer and heating in winter to ensure a standardized assessment. The energy cost unit area in winter and summer is as follows [33]:
C w = Q w C O P × C e
C s = Q s E E R × C e
where C O P and E E R represent the coefficient of performance and energy efficiency ratio for heating and cooling modes of the heat pump systems, respectively, and C e represents the residential electricity price (CNY/kWh). The analysis applied the residential electricity price stipulated by the local Development and Reform Commissions: 0.425 CNY/kWh in Changchun, 0.52835 CNY/kWh in Beijing, 0.575 CNY/kWh in Huangshan, 0.6395 CNY/kWh in Guangzhou, and 0.455 CNY/kWh in Chuxiong.
The energy consumption cost for handling the total load of buildings incurred in the life cycle of buildings is discounted to their present value using the present worth factor ( P W F ) method [34].
P W F = 1 1 + I * N / I *
I * = I g 1 + I ,   g > I
I * = I g 1 + g ,   g < I
where g represents the inflation rate, I denotes the loan interest rate, and N is the service life of the insulation material. These data were obtained from the year 2024 of the People’s Bank of China and the National Bureau of Statistics of the People’s Republic of China, as shown in Table 2.

2.3. Decision-Making Method

Representative multi-objective decision-making methods include the weighted sum method, the analytic hierarchy process, the weighted product method, and the TOPSIS method. However, in the study, the entropy-weighted TOPSIS method was employed to analyze the dual-control objectives of environmental impact and economic cost for rural residences, with indicator weights determined based on information entropy rather than subjective judgment, thereby reducing weight bias and improving the objectivity of the evaluation results. The calculation process is as follows:
(1)
Generally, the indicators need to be standardized in order to eliminate the impact of differences in measurement units and ensure comparability among variables. Here, the LCCE and CUCER are negative indicators, which can be standardized as follows:
L C C E n = L C C E max L C C E L C C E max L C C E min
C U C E R n = C U C E R max C U C E R C U C E R max C U C E R min
where L C C E and C U C E R represent the original values, and L C C E n and C U C E R n represent their standardized value.
(2)
Information entropy and weights of the two objectives L C C E and C U C E R can be obtained as follows:
H L C C E = 1 ln m f = 1 m L C C E f ln L C C E f
H C U C E R = 1 ln m f = 1 m C U C E R f ln C U C E R f
W L C C E = 1 H L C C E 1 H L C C E + 1 H C U C E R
W C U C E R = 1 H C U C E R 1 H L C C E + 1 H C U C E R
where H L C C E and H C U C E R represent the information entropy, which determine the weight W L C C E and W C U C E R , respectively, L C C E f and C U C E R f are the f-th value of L C C E and C U C E R , and m represents the number of objective values.
(3)
Weighted decision matrix and positive/negative ideal values can be developed as follows:
L C C E f * = W L C C E × L C C E f
C U C E R f * = W C U C E R × C U C E R f
V L C C E + = max L C C E f *
V C U C E R + = max C U C E R f *
V L C C E = min L C C E f *
V C U C E R = min C U C E R f *
where L C C E f * and C U C E R f * represent the f-th weighted value of L C C E and C U C E R , respectively, V + is the positive ideal solution, representing the highest level of optimization objective, while V is the negative ideal solution, representing the worst level of optimization objective.
(4)
The values corresponding to positive and negative ideal solutions for D + and D can be obtained by Equations (30) and (31):
D + = L C C E f * V L C C E + 2 + C U C E R f * V C U C E R + 2
D = L C C E f * V K C C E 2 + C U C E R f * V C U C E R 2
(5)
Relative closeness can be obtained as:
Q f = D D + + D
where Q f represents the relative closeness, Q f 0 , 1 , a larger Q f indicates a better solution.

2.4. Case Study

China, spanning a vast territory, features five distinct climate zones [40]: severe cold, cold, hot summer and cold winter, mild, and hot summer and warm winter. To ensure the capture of all five climate zones and to provide climatologically representative data for the study, a representative model of the rural residence was selected for each climate zone, which does not cover all types of rural residences in China, but is representative of different climate zones. The five rural residences were selected as prototypical models of rural residences for the study, shown as follows: (1) single-story vernacular dwellings of Northeast China (NCVD), Changchun City [41], (2) the traditional Siheyuan (SHY), Beijing City [42], (3) Maohuaju (MHJ), Huangshan City [41], (4) vernacular dwellings of Lingnan (LNVD), Guangzhou City [41], (5) flat-roofed rammed-earth dwellings of Yunnan (YNVD), Chuxiong City [41]. The envelope information for prototypical models of the selected rural residences is provided in Figure 3.
In the study, taking into account regional characteristics of rural residences in climate zones, the architectural forms of prototypical models for traditional rural residences were preserved in lightweight steel assembled rural residences, and only the structure and the envelope materials were replaced.
DesignBuilder software was utilized to simulate the heating load, cooling load, and lighting energy consumption of rural residences. The local meteorological data from standard climate databases was used, ensuring that energy consumption accurately reflects local conditions. Then, the geometry of rural residences was developed in DesignBuilder based on the information in Figure 3. Major structures such as windows, roof, and floor ensure that the model accurately reflects the physical characteristics of the actual building. Moreover, the simulation was performed from 1 January to 31 December 2024. The parameters and schedule for room zoning were established in accordance with the Chinese Standard JGJ/T 449-2018 [43] and GB/T 50034-2024 [44]. The daylighting reference point was set at 0.75 m above the floor in the room. Artificial lighting was activated when the illuminance at the 0.75 m working plane fell below the specified threshold. Moreover, variations in energy consumption due to the differences in household appliances were excluded from the study to control for variables.
The models of rural residences were developed in DesignBuilder, as shown in Figure 4. Building zones were defined as the areas within a rural residence with distinct thermal properties, including temperature, humidity, and airflow. Parameters for different building zones were established based on the standards and surveys to ensure the simulation results accurately reflect the actual rural residences’ performance [40,45].

3. Results

The residential buildings were expected to have a lifespan of 50 years [46]. The carbon emission factors of embodied carbon involving the life cycle are presented in Table 3.

3.1. Differences in Carbon Emissions of Traditional Rural Residences

The levels of carbon emissions at each stage of the life cycle for traditional rural residences across different zones are presented in Figure 5. Overall, the difference in carbon emissions between the construction stage and demolition stage is not significant, ranging from 8 to 12 kgCO2e m−2. In contrast, the difference between the production stage and the operation stage is more pronounced, especially in the operation stage. Heating and cooling energy consumption is the primary determinant of carbon emissions in the operation stage, as shown in Table 4. Notably, SHY exhibits a marked difference between heating and cooling carbon emissions, with the former being 11 times those of the latter. The cooling carbon emissions of LNVD are approximately four times higher than its heating carbon emissions. MHJ shows a relatively smaller difference, with cooling carbon emission being about one-third those of heating.
NCVD exhibits the highest LCCEs among all rural residences, with total carbon emissions being 4597.63 kgCO2e·m−2, comparable to SHY but significantly higher than in other zones. The carbon emissions of the operation stage in NCVD account for 82.9% of LCCEs, which is the primary driver of the high carbon emissions profile. This is primarily due to the prolonged and severe winters in the severe cold zone, where the extended heating season and high thermal demand result in substantially higher heat pump operational load and durations than traditional rural residences in other zones. What is more, the carbon emission factor of the electrical grid in Northeast China remains significantly higher than that of the southern grids, which are powered by cleaner energy sources.
SHY has the highest carbon emissions, 1187.28 kgCO2e·m−2, at the production stage, which is 1.6 times that of NCVD and 6.3 times that of YNVD, respectively. The core difference is the choice of building materials. The other zones use local low-carbon vernacular building materials such as timber and natural clay, while SHY relies on the high-embodied-carbon building materials such as cement mortar, lime mortar, and solid clay bricks. SHY also demonstrates relatively high carbon emissions in the operation stage. Beyond the influence of heating energy consumption, the dispersed layout of SHY significantly increases the total surface area of the building envelope, resulting in heat transfer losses substantially higher than those observed in other rural residences.
Compared with NCVD and SHY, MHJ, LNVD, and YNVD exhibit lower carbon emissions during both production and operation stages. It is noted that LNVD shows relatively high carbon emissions in the production stage, primarily due to the hot, humid climate, which necessitates the extensive use of high-embodied-carbon building materials such as masonry and concrete blocks to meet moisture-proofing and anti-corrosion requirements.

3.2. Carbon Emission of Lightweight Steel Assembled Rural Residences

3.2.1. Optimal Thickness of Insulation Layer

The typical structures of lightweight steel assembled rural residences are shown in Table 5. For wall and roof insulated with graphite polystyrene boards, the increasing insulation layer thickness reduces energy consumption but also increases material costs. Therefore, it is essential to determine the optimal economic thickness for graphite polystyrene boards. First, a binomial fitting of the curve was performed, and model equations were developed. And then the optimal economic thickness of the insulation layer was subsequently derived using mathematical methods, as shown in Table 6 and Table 7.
The results indicate that the economic thickness of the insulation layer for the rural residence wall in both the cold zone and the severe cold zone significantly exceeds that of other zones. Notably, the economic thickness of the wall insulation layer for the rural residence in the severe cold zone is comparable to that in the cold zone, but the thickness of the roof insulation is significantly greater than in the cold zone. Moreover, the results indicate that the roof insulation is not required in the hot summer and cold winter zone, while wall insulation is not needed in the hot summer and warm winter zone and the mild zone. However, a wall insulation thickness of 75 mm is identified as the necessary choice in the hot summer and cold winter zone, as it effectively controls energy consumption under economic constraints. In contrast, in the hot summer and warm winter zone and mild zone, the winter heating demand is very low or non-existent, and the payback period for wall insulation is deemed too long; thus, wall insulation does not need to be applied. However, when intense solar radiation is encountered, the roof becomes the primary heat-gain component in summer, accounting for the majority of cooling energy consumption. The addition of 24 mm and 22 mm roof insulation layers is demonstrated to effectively block solar radiation heat.

3.2.2. Differences in Carbon Emissions of Lightweight Steel Assembled Rural Residences

Based on the calculated economic thickness values, the parameters of rural residences in DesignBuilder were set, and the corresponding carbon emissions were calculated as shown in Table 8. It is evident that compared with traditional rural residences, lightweight steel assembled rural residences have achieved carbon emission reduction in both heating and cooling. Notably, SHY has a substantial reduction in heating carbon emissions, and the heating carbon emissions are only 2.51 times those of cooling carbon emissions.
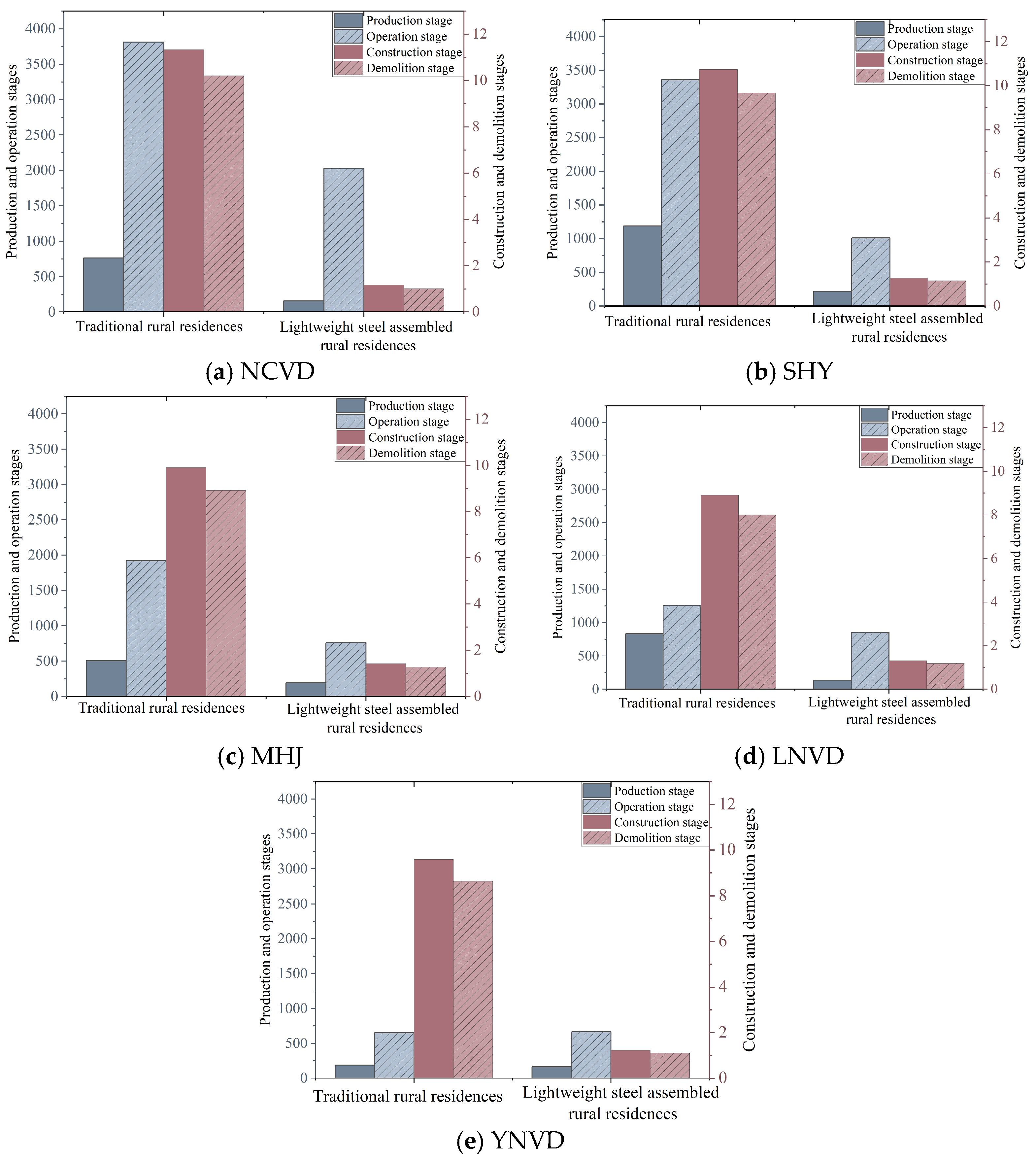
The difference in LCCEs for lightweight steel assembled rural residences is presented in Figure 6. A marginal decrease in carbon emissions is observed for the construction and demolition stages, compared with a substantial reduction in the production and operation stages. The carbon emissions in the production stage for LNVD are the lowest, and those for SHY are the highest. While carbon emissions decrease significantly in the operation stage, they remain the primary contributor to LCCEs. The operational carbon emissions of NCVD reach 2032.44 kgCO2e m−2, substantially higher than other zones, while those of SHY are only 1008.32 kgCO2e m−2. However, MHJ, LNVD, and YNVD all remain below 900 kgCO2e m−2.

3.3. Comparison of Traditional Rural Residences and Lightweight Steel Assembled Rural Residences

3.3.1. Potential of Carbon Emission Reduction

To clarify which lightweight steel assembled rural residences offer the most significant potential for carbon emission reduction and are most worthy of nationwide promotion, the study further compared the carbon emission reduction rate of the five residential types, where the optimal economic thickness of the insulation layer for them was selected, respectively. As shown in Figure 7, it can be observed that lightweight steel assembled rural residences across different climate zones have exhibited notable carbon emission reduction performance, with gross declines ranging from 3.7% to 59.44%. This highlights their low-carbon attributes and climate adaptability. The highest carbon emission reduction rate is observed in the hot summer and cold winter zone, reaching 59.44%, followed by SHY at 55.22%. The lowest reduction rate of the rural residences, at 3.7%, is found in the mild zone.
The variations in carbon emissions across different stages between traditional rural residences and lightweight steel assembled rural residences are shown in Figure 8. For lightweight steel assembled rural residences, SHY demonstrates the most pronounced carbon emission reduction in the life cycle, decreasing from 4565.69 kgCO2e m−2 to 2044.26 kgCO2e m−2. The significant decline is primarily attributable to a substantial drop in carbon emissions from the production stage, from 1187.28 kgCO2e m−2 to 216.19 kgCO2e m−2, coupled with a considerable reduction in the operation stage, from 3357.98 kgCO2e m−2 to 1008.32 kgCO2e m−2. Therefore, there is an extremely urgent need to reduce the carbon emissions of rural residences during the production and operation stages. Priority should be given to the use of renewable, locally sourced, and recyclable materials, along with the enhancement of the thermal performance of envelopes such as external wall, roof, and windows, in order to effectively mitigate the carbon emissions in the hot summer and warm winter zone. For NCVD and MHJ, the operation stage of rural residences has the greatest potential for carbon emission reduction in the life cycle, decreasing from 3812.94 kgCO2e m−2 to 2032.44 kgCO2e m−2 and from 1922.46 kgCO2e m−2 to 761.61 kgCO2e m−2, respectively. Therefore, priority should be given to implementing energy-efficient retrofits and adopting clean energy alternatives in rural residences in this zone to reduce carbon emissions during the operation stage effectively. In contrast, the carbon emission reduction of LNVD is more significant during the production stage, with the carbon emissions dropping sharply from 836.12 kgCO2e m−2 to 131.95 kgCO2e m−2. However, the carbon emission reduction during the operation stage is relatively small, amounting to 402.35 kgCO2e m−2. Therefore, reducing material usage or replacing conventional materials with low-carbon alternatives may be the most effective way to lower carbon emissions in the mild zone. Unlike the other four zones, YNVD shows only a limited carbon emission reduction in the production stage. Furthermore, the carbon emissions in the operation stage for YNVD actually increased slightly after the envelope replacement. This may be attributed to the original thick earthen walls of YNVD, which exhibit inherently efficient thermal insulation properties. In contrast, lightweight steel assembled rural residences for YNVD rely more heavily on heating and cooling equipment to maintain indoor thermal comfort.
In summary, it can be inferred that the life-cycle carbon emissions of lightweight steel assembled rural residences exhibit distinct stage-specific characteristics. Carbon emissions from the operation stage constitute the dominant contribution to carbon emission reduction in rural residences located in climates with high heating and cooling demand. In contrast, mitigating embodied carbon in materials becomes the decisive factor in zones with mild climates and low operational energy consumption. And in terms of promoting the nationwide use of lightweight steel assembled rural residences, priority should be given to the MHJ, SHY and LNVD.
Given that the production and operation stages are identified as the primary sources of LCCEs for rural residences, the comparison of their contribution proportion and the key contributors to their differences was further explored. Figure 9 illustrates the proportion of carbon emissions for rural residences across various zones in the two stages over the past 50 years. Specifically, the proportion of carbon emissions in the operation stage of NCVD rises from 82.9% to 92.8%, because the enhanced thermal performance of the envelope significantly reduces winter heating energy consumption, thereby greatly increasing the relative contribution of the operation stage to LCCEs. For LNVD, the proportion of operational carbon emissions in the life cycle has increased significantly, from 59.4% to 86.4%, due to the replacement of the envelope. It can be inferred that the reduction in cooling energy consumption during summer is the primary factor driving the increase in the proportion of operational carbon emissions in the mild zone of China. The changes observed in MHJ and YNVD are relatively marginal.

3.3.2. Cost of Carbon Emission Reduction

The study has clarified the carbon emission reduction rate of lightweight steel assembled rural residences across five climate zones and verified the climate adaptability of the proposed scheme by quantifying carbon emission reduction effects. However, the low-carbon design of rural residences requires a simultaneous balance between the carbon emission reduction benefits and economic feasibility. Therefore, the distribution characteristics of CUCER for rural residences in the five climate zones were further analyzed.
As shown in Figure 10, CUCER across different climate zones generally follows a similar trend to carbon emission reduction rates, though with notable regional variations. Notably, CUCER of SHY is 0.099 CNY/kgCO2e, significantly lower than that of other zones. YNVD demonstrates the lowest potential, with a CUCER of up to 4.75 CNY/kgCO2e. Otherwise, MHJ ranks second, with a value of 0.139 CNY/kgCO2e, lower than that of the severe cold zone (0.167 CNY/kgCO2e) and the hot summer and warm winter zone (0.232 CNY/kgCO2e). These findings suggest that, given limited funds, priority should be given to promoting lightweight steel assembled rural residences in the cold zone to maximize returns on carbon emission reduction.

3.3.3. General Model of Climate Adaptability

The entropy-weighted TOPSIS method was selected to assess the climate adaptability of lightweight steel assembled rural residences and to determine rural residences with the greatest optimization potential for carbon emission reduction. The entropy-weight approach was used to determine the weights of the two objectives, as shown in Table 9.
As shown in Table 10, the relative closeness values for MHJ, LNVD, and SHY are concentrated at higher levels above 0.8, indicating that light steel structure offer favorable comprehensive benefits in zones characterized by the hot summer and cold winter (represented by MHJ), the hot summer and warm winter (represented by LNVD), and the cold zone (represented by SHY). Therefore, the three lightweight steel assembled rural residences can be considered general models suitable for their respective climate zones. The relative closeness for YNVD in the mild zone is 0.51, which is moderate. Furthermore, LCCEs of NCVD are the lowest, at 831.36 kgCO2e m−2. Meanwhile, given their advantages in the construction speed and seismic performance, lightweight steel assembled rural residences still offer a certain degree of climate adaptability, and they can serve as a general model for the mild zone. It is worth noting that the NCVD exhibits a relative closeness value of only 0.49, significantly lower than that for other rural residences, reflecting its relative disadvantage under the dual-control objectives.

3.4. Dual-Control Objective Optimization for NCVD

Lightweight steel assembled rural residences for NCVD in the severe cold zone, with the highest operational carbon emissions, exhibit lower climate adaptability. Therefore, lightweight steel assembled rural residences for NCVD were selected as the optimization design case.

3.4.1. Analysis of Non-Dominated Solution Set

Optimizing window dimensions and selecting appropriate glass types can significantly reduce overall energy consumption. It is noted that climate and orientation factors must be fully considered in window design [50]. Moreover, Feng et al. [51] noted that in the severe cold zone, the south-facing window-to-wall ratio has a greater impact on energy consumption than the north-facing ratio. Therefore, this study selected the south-facing window-to-wall ratio as the design parameter for investigation. Moreover, regional characteristics of traditional rural residences are also taken into account. Ultimately, three design parameters related to building carbon emissions were selected: (a) building orientation, (b) south-facing window-to-wall ratio, and (c) glass material. Five levels were assigned to each design parameter, as shown in Table 11. Based on the existing 0.1 window-to-wall ratio for NCVD and the design standard for energy efficiency of rural residences [52], the south-facing window-to-wall ratio was set to 0.05, 0.1, 0.15, 0.2, and 0.25.
To achieve complete coverage of design options, the exhaustive method was employed. An initial set of 125 combinations of design parameters was generated. By calculating the LCCE and CUCER for each combination, 93 set of solutions are selected as the non-dominated solutions, as shown in Figure 11.

3.4.2. Optimization Decision Evaluation Based on Entropy Weight-TOPSIS

The entropy-weight method was employed to calculate the information entropy and the weight for each objective. The weight for the LCCE is 0.64, and for CUCER it is 0.36. Furthermore, the relative closeness of various optimization solutions was calculated and ranked. The optimal solution was determined as follows: south-facing orientation, a south-facing window-to-wall ratio of 0.15, and double-pane insulated glass composed of 6 mm clear glass + 12 mm air gap + 6 mm clear glass, where the LCCE of light steel structure assembled rural residence for NCVD amounts to 2076.33 kgCO2e·m−2, and CUCER is 0.325 CNY/kgCO2e. The optimal LCCE from light steel structure assembled rural residences for NCVD reduced by 115.84 kgCO2e·m−2 after replacing to light steel structure, but the CUCER increased by only 0.158 CNY/kgCO2e. Lightweight steel assembled rural residences for NCVD with the optimal design parameters are considered a general model of climate adaptability in the severe cold zone.

4. Discussion

From the LCCE perspective, there is little variation in carbon emissions during the production stage among the five types of lightweight steel assembled rural residences. It can be inferred that light steel materials themselves have low-carbon production characteristics, and the use of standardized light steel components instead of traditional building materials in rural residences reduces the difference in carbon emissions between rural residences in different climate zones. Compared with traditional rural residences, lightweight steel assembled rural residences in NCVD, SHY, MHJ, and LNVD all achieve a carbon emission reduction of over 50% in the life cycle, whereas YNVD achieved only 3.7%. The primary reason for this disparity is that the mild zone is characterized by warm winters and cool summers, resulting in extremely low demand for heating and cooling. Consequently, lightweight steel assembled rural residences cannot perform effectively under such climatic conditions. From the CUCER perspective, CUCER of lightweight steel assembled rural residences for SHY is the lowest. Therefore, SHY proved to be a suitable candidate for lightweight steel assembled rural residences in the cold zone. In contrast, for lightweight steel assembled rural residences, YNVD located in the mild zone with the lowest cost-effectiveness, optimization strategies should be tailored to reduce their total cost.
Through a comparative analysis of rural residences across five climate zones in China, the study reveals regional disparities in the LCCE and CUCER of lightweight steel assembled rural residences. Building on these findings, the study further discusses the results in light of existing literature. At first, existing research generally indicates that LCCEs of rural residences are mainly concentrated in the production stage and the operation stage [15]. The findings of this study also validate this conclusion. However, existing research generally focuses on a single climate zone [16,19]. In the study, typical traditional rural residences from five climate zones in China were selected as the research objects, and the carbon emission reduction potential across different zones was analyzed systematically. Secondly, it is demonstrated that traditional rural residences replaced with light steel structure, while preserving regional characteristics, can achieve stable carbon emission reduction in all climate zones, with overall carbon emission reduction ranging from 3.7% to 59.4%. Furthermore, it validates the climate-applicability of lightweight steel assembled rural residences across multiple climates. The findings indicate that light steel structures can significantly reduce embodied carbon emissions during the building materials production stage, consistent with existing studies [23]. Furthermore, carbon emissions during the operation stage show high sensitivity to climate conditions, with the mild zone even experiencing increased carbon emissions. Moreover, the results indicate that the development of lightweight steel assembled rural residences to replace traditional rural residences should not rely solely on structural system replacement, but rather integrate targeted designs based on regional climate conditions. In terms of economic cost, existing research indicates that lightweight steel assembled buildings can significantly reduce economic costs through modular construction and efficient component design [24,25]. Based on this, the “cost of unit carbon emission reduction” indicator was proposed. Quantifying the economic investment required to achieve unit carbon emission reduction across different climate zones of China enables the comparability of cross-regional carbon emission reduction costs. Previous studies have demonstrated the feasibility of light steel structures in carbon emission reduction and economic cost through a case study [23]. However, the climate adaptability of lightweight steel assembled rural residences with regional characteristics was further demonstrated in the study, and general models of climate adaptability across five climate zones were developed.
It should be noted that a preliminary foundation for the practical implementation of lightweight steel assembled rural residences with regional characteristics of traditional rural residences located in five climate zones of China was provided. However, several challenges remain to be addressed. Firstly, the impact of inflation and energy price fluctuations on costs was not taken into account. A dynamic economic analysis should be incorporated in future studies. Meanwhile, the application of the LCA method in the study also has limitations. Firstly, LCA requires a large amount of information, and the quality of input data is uncertain [53]. Inaccuracies, from the calculation of material quantity in rural residences, the simulation of energy consumption, and so on, are present throughout the entire research process and are unavoidable. Future research could include an analysis of the uncertainties associated with LCCEs of rural residences. Secondly, carbon emissions from transportation during the production stage were ignored, and carbon emissions during the demolition stage were calculated as 90% of those from the construction stage. Additionally, a uniform national value was used for carbon emission factors. Future research should refine the calculation accuracy of LCCEs and establish a database of region-specific emission factors. Finally, the optimization design focused solely on NCVD with the greatest optimization potential for carbon emission reduction and did not cover rural residence types in other climate zones. In the future, the feasibility of optimal design parameters of rural residences in different climate zones could be further explored.

5. Conclusions

In the study, the life-cycle carbon emissions of traditional rural residences in China were analyzed, and regional variations in both total carbon emissions and their stage-specific distribution were highlighted. Furthermore, the adaptability advantages of lightweight steel assembled rural residences under various climate conditions were demonstrated based on environmental impact and economic cost. The specific study conclusions are as follows:
(1)
NCVD exhibits the most significant carbon emissions in the life cycle among all rural residences, with total carbon emissions of unit area reaching 4597.63 kgCO2e·m−2. In the production stage, SHY generates the highest carbon emissions, measured at 1187.28 kgCO2e·m−2. This value is 1.6 times that of NCVD and 6.3 times that of YNVD, respectively.
(2)
The required optimal economic thickness of the insulation layer for lightweight steel assembled rural residences is different. Notably, the thickness of the roof insulation layer in NCVD is greater than that of SHY. The roof insulation is not required in the hot summer and cold winter zone. The thicknesses of the roof insulation layer for LNVD and YNVD are 24 mm and 22 mm, respectively.
(3)
Significant potential for carbon emission reduction is observed in the production and operation stages of rural residences in China, while the construction and demolition stages contribute only marginal reductions. For the lightweight steel assembled rural residences, SHY achieves the most significant carbon emission reduction in the operation stage, whereas YNVD showed an increase.
(4)
The carbon emission reduction performance of lightweight steel assembled rural residences demonstrates significant regional heterogeneity. The highest carbon emission reduction rate, 59.44%, is achieved in MHJ. In contrast, YNVD demonstrates the least effectiveness, with a reduction of only 3.7%. Priority implementation of light steel structures is recommended in the severe cold zone, the hot summer and cold winter zone, the cold zone, and the hot summer and warm winter zone.
(5)
From an economic perspective, SHY remains the most economically viable candidate for the replacement of light steel structures in traditional rural residences, achieving a carbon emission reduction of 0.099 CNY/kgCO2e. However, considering both life-cycle carbon emissions and the cost of unit carbon emission reduction, the MHJ demonstrated the best performance.
(6)
The optimal design parameters for NCVD features south-facing orientation, a south-facing window-to-wall ratio of 0.15, and double-pane insulated glass composed of 6 mm clear glass + 12 mm air gap + 6 mm clear glass, where the cost of unit carbon emission reduction increases to 0.325 CNY/kgCO2e, but the life-cycle carbon emissions reduce to 2076.33 kgCO2e m−2.

Author Contributions

Conceptualization, S.Y.; Methodology, X.J. and Y.W.; Investigation, Y.N. and J.G.; Writing—original draft, X.J.; Writing—review & editing, Y.W. and S.Y.; Supervision, S.Y.; Project administration, S.Y.; Funding acquisition, S.Y. All authors have read and agreed to the published version of the manuscript.

Funding

This research was funded by Youth Foundation of Ministry of Education of China on Humanities and Social Sciences Research (Grant No. 23YJCZH276) and Hebei Natural Science Foundation (Grant No. E2024202167).

Data Availability Statement

The original contributions presented in this study are included in the article. Further inquiries can be directed to the corresponding author.

Conflicts of Interest

The authors declare no conflicts of interest.

Abbreviations

Nomenclature
Variables C in Cost of the insulation material (CNY m−3)
E sum Life-cycle carbon emissions (kgCO2e) S c Area covered by the insulation material (m2)
E pt Production carbon emissions (kgCO2e) S z Area of building (m2)
E c Construction carbon emissions (kgCO2e) C O P Coefficient of performance and energy efficiency ratio for heating modes of residential heat pump systems
E om Operation carbon emissions (kgCO2e) E E R Coefficient of performance and energy efficiency ratio for cooling modes of residential heat pump systems
E dr Demolition carbon emissions (kgCO2e) C e Residential electricity price (CNY/kWh)
E p Carbon emissions in the building materials production stage (kgCO2e) g Inflation rate
E t Carbon emissions during the building materials transportation stage (kgCO2e) I Loan interest rate
E c 1 Carbon emissions from mechanical construction (kgCO2e) N Service life of the insulation material
E c 2 Carbon emissions during manual work (kgCO2e) L C C E f f-th value of LCCE
E o Carbon emissions during the operation stage (kgCO2e) C U C E R f f-th value of CUCER
E m Carbon emissions during the maintenance stage (kgCO2e) L C C E n L C C E standardized value
E d Carbon emissions during the demolition construction stage (kgCO2e) C U C E R n C U C E R standardized value
E r Carbon emissions during the waste transport stage W L C C E Weight of L C C E
Q pi Quantity of material i-th W C U C E R Weight of C U C E R
E E pi Carbon emission factor of material i-th H L C C E Information entropy of L C C E
n Number of types of material or mechanical construction equipment used H C U C E R Information entropy of C U C E R
T i Quantity of construction machinery i-th L C C E f * f-th weighted value of LCCE
E F c 1 i Carbon emission factor of construction machinery i-th C U C E R f * f-th weighted value of CUCER
G Quantity of workers during construction m Number of objective values
E F c 2 Carbon emission factor of workers during construction V + Positive ideal solution
H CUCER of buildings (CNY/kgCO2e) V Negative ideal solution
E Carbon emission reduction (kgCO2e m−2) D + Positive ideal solution distance
C t Total cost of building (CNY m−2) D Negative ideal solution distance
E x Carbon emissions of traditional rural residences (kgCO2e m−2) Q f Relative closeness
E y Carbon emissions of lightweight steel assembled rural residences (kgCO2e)Abbreviations
Q t Annual total load (kWh)LCCELife-cycle carbon emission
Q w Heating load (kWh)PWFPresent worth factor
Q s Cooling load (kWh)NCVDSingle-story vernacular dwellings of Northeast China
C k Sum of the energy consumption cost for handling the total load (CNY m−2)SHYTraditional Siheyuan
C b Cost of the insulation materials (CNY m−2)LNVDMaohuaju
C w Energy consumption cost for winter (CNY m−2)LNVDVernacular dwellings of Lingnan
C s Energy consumption cost for summer (CNY m−2)YNVDFlat-roofed rammed-earth dwellings of Yunnan
d 1 Thickness of the wall insulation layer (m)LCALife cycle assessment
d 2 Thickness of the roof insulation layer (m)CUCERCost of unit carbon emission reduction

References

  1. Tsinghua University Building Energy Efficiency Center. Annual Development Research Report on Building Energy Efficiency in China 2024; China Architecture & Building Press: Beijing, China, 2024. [Google Scholar]
  2. Askar, R.; Bragança, L.; Gervásio, H. Adaptability of Buildings: A Critical Review on the Concept Evolution. Appl. Sci. 2021, 11, 4483. [Google Scholar] [CrossRef]
  3. Gorgolewski, M. Developing a Simplified Method of Calculating U-Values in Light Steel Framing. Build. Environ. 2007, 42, 230–236. [Google Scholar] [CrossRef]
  4. Soares, N.; Santos, P.; Gervásio, H.; Costa, J.J.; Simões da Silva, L. Energy Efficiency and Thermal Performance of Lightweight Steel-Framed (LSF) Construction: A Review. Renew. Sust. Energy Rev. 2017, 78, 194–209. [Google Scholar] [CrossRef]
  5. Landolfo, R. Lightweight Steel Framed Systems in Seismic Areas: Current Achievements and Future Challenges. Thin-Walled Struct. 2019, 140, 114–131. [Google Scholar] [CrossRef]
  6. Jeleniewicz, K.; Szlachetka, O.; Mazur, Ł. Environmental and Circularity Assessment of Steel and Timber Structures in A Small-Scale Residential Building. J. Build. Eng. 2025, 110, 113020. [Google Scholar] [CrossRef]
  7. Starzyk, A.; Cortiços, N.D.; Duarte, C.C.; Łacek, P. Timber Architecture for Sustainable Futures: A Critical Review of Design and Research Challenges in the Era of Environmental and Social Transition. Buildings 2025, 15, 2774. [Google Scholar] [CrossRef]
  8. Ávila, F.; Puertas, E.; Gallego, R. Characterization of the Mechanical and Physical Properties of Unstabilized Rammed Earth: A Review. Constr. Build. Mater. 2021, 270, 121435. [Google Scholar] [CrossRef]
  9. Dai, S. A State-of-the-Art Review of the Life Cycle Assessment of Rammed Earth Building Construction. Energy Build. 2026, 350, 116643. [Google Scholar] [CrossRef]
  10. Martin-Antunes, M.A.; Perlot, C.; Espuelas, S.; Marcelino, S.; Seco, A. Recent Developments in Stabilized Rammed Earth: Testing Protocols and the Recommendations for Standardization. J. Build. Eng. 2025, 106, 112436. [Google Scholar] [CrossRef]
  11. AI-Tarbi, S.M.; Baghabra AI-Amoudi, O.S.; AI-Osta, M.A.; Al-Awsh, W.A.; Shameem, M.; Zami, M.S. Development of Energy-Efficient Hollow Concrete Blocks Using Perlite, Vermiculite, Volcanic Scoria, and Expanded Polystyrene. Constr. Build. Mater. 2023, 371, 130723. [Google Scholar] [CrossRef]
  12. Das, R.; Bhowmik, A.; Makhal, S.; Mukherjee, S.; Satra, R.; Deb, P. The Conceptual Review on Use of Hollow Concrete Blocks in RC Design. In Proceedings of the 2nd International Conference on Advanced Earth Science and Foundation Engineering (ICASF 2023), Mohali, India, 26–27 May 2023. [Google Scholar]
  13. Li, Q.; Han, T.; Niu, C.; Liu, P. Life Cycle Carbon Emission Analyzing of Rural Residential Energy Efficiency Retrofit: A Case Study of Gansu Province. E3S Web Conf. 2021, 329, 01063. [Google Scholar] [CrossRef]
  14. Tang, Z.; Li, D.; Guo, H. Study on Carbon Emission Pathways in the Rural Areas of Guangdong Province. Energies 2022, 15, 8886. [Google Scholar] [CrossRef]
  15. Chang, Y.; Ries, R.J.; Wang, Y. Life-Cycle Energy of Residential Buildings in China. Energy Policy 2013, 62, 656–664. [Google Scholar] [CrossRef]
  16. Cao, P.; Wang, J.; Huang, D.; Cao, Z.; Li, D. Evaluation and Analysis of Passive Energy Saving Renovation Measures for Rural Residential Buildings in Cold Zones: A Case Study in Tongchuan, China. Sustainability 2025, 17, 540. [Google Scholar] [CrossRef]
  17. Yu, Z.; Guo, Z.; Ling, Z.; Chen, Y. Research on Low-Carbon Building Design Strategies for Folk Dwellings in Hanzhong Based on Single Objective Optimization. Buildings 2024, 14, 2154. [Google Scholar] [CrossRef]
  18. Dai, S.; Bai, W.; Xiao, J. Balancing Environmental Impact and Practicality: A Case Study on the Cement-Stabilized Rammed Earth Construction in Southeast Rural China. Sustainability 2024, 16, 8731. [Google Scholar] [CrossRef]
  19. Yao, S.; Wu, Y.; Ni, X.; Zhao, S.; Wu, X.; Li, M. Optimization Design of Rural Residences in Severe Cold Zone of China Weighing the Dual-Control Objectives of Life Cycle Carbon Emission and Economic Cost. Energy Build. 2025, 328, 115156. [Google Scholar] [CrossRef]
  20. Huang, B.; Xing, K.; Rameezdeen, R. Exploring Embodied Carbon Comparison in Lightweight Building Structure Frames: A Case Study. Sustainability 2023, 15, 15167. [Google Scholar] [CrossRef]
  21. Wasim, M.; Wang, K.; Yuan, Z.; Jin, M.; Abadel, A.; Nehdi, M.L. An Optimized Energy Efficient Design of a Light Gauge Steel Building. Case Stud. Constr. Mater. 2023, 19, e02398. [Google Scholar] [CrossRef]
  22. Zhang, C.; Hu, M.; Laclau, B.; Garnesson, T.; Yang, X.; Li, C.; Tukker, A. Environmental Life Cycle Costing at the Early Stage for Supporting Cost Optimization of Precast Concrete Panel for Energy Renovation of Existing Buildings. J. Build. Eng. 2021, 35, 102002. [Google Scholar] [CrossRef]
  23. Li, H.; Luo, Z.; Xu, X.; Cang, Y.; Yang, L. Assessing the Embodied Carbon Reduction Potential of Straw Bale Rural Houses by Hybrid Life Cycle Assessment: A Four-Case Study. J. Clean. Prod. 2021, 303, 127002. [Google Scholar] [CrossRef]
  24. Elkhayat, Y. A Comparative LCA of Light Gauge Steel and Traditional Masonry for Dwellings. J. Eng. Res. 2025; Advance Online Publication. [CrossRef]
  25. Shashidhara; Vinayak, H.K. Seismic Performance Assessment of Two-Storied Light Gauge Steel Frame Structure. Nat. Hazards 2022, 112, 807–828. [Google Scholar] [CrossRef]
  26. ISO 21930:2017; Sustainability in Buildings and Civil Engineering Works-Core Rules for Environmental Product Declarations of Construction Products and Services. International Organization for Standardization: Geneva, Switzerland, 2017.
  27. GB/T 51366-2019; Standard for Calculating Carbon Emissions from Buildings. China Construction Industry Press: Beijing, China, 2016.
  28. Zhang, X.; Wang, F. Assessment of Embodied Carbon Emissions for Building Construction in China: Comparative Case Studies Using Alternative Methods. Energy Build. 2016, 130, 330–340. [Google Scholar] [CrossRef]
  29. China Statistical Yearbook 2024; China Statistics Press: Beijing, China, 2024.
  30. Zhang, X.; Shen, L.; Zhang, L. Life Cycle Assessment of the Air Emissions During Building Construction Process: A Case Study in Hong Kong. Renew. Sustain. Energy Rev. 2013, 17, 160–169. [Google Scholar] [CrossRef]
  31. Zhang, Y. Assessment of CO2 Reduction in Building Life Cycle. Ph.D. Thesis, National Cheng Kung University, Tainan, Taiwan, 2002. [Google Scholar]
  32. He, X. Energy Saving Research of Residential Building Envelope in Hot Summer and Cold Winter Zone. Master’s Thesis, Southwest Jiaotong University, Chengdu, China, 2019. [Google Scholar]
  33. Xu, J.; He, J.; Sun, W. Calculation of economical thermal insulation thickness of building envelope in Nanjing. Heat. Vent. Air Cond. 2008, 38, 49–51. [Google Scholar] [CrossRef]
  34. Hasan, A. Optimizing Insulation Thickness for Buildings Using Life Cycle Cost. Appl. Energy 1999, 63, 115–124. [Google Scholar] [CrossRef]
  35. GB 21455-2019; Minimum Allowable Values of the Energy Efficiency and Energy Efficiency Grades for Room Air Conditioners. China Standards Press: Beijing, China, 2019.
  36. The People’s Bank of China. Announcement on the Loan Prime Rate (LPR) Released by Authorized National Interbank Funding Center on 20 December 2024. 2024. Available online: http://www.pbc.gov.cn/zhengcehuobisi/125207/125213/125440/3876551/5539790/index.html (accessed on 6 December 2025).
  37. National Bureau of Statistics of China. Press Conference on the Performance of the National Economy in 2024. 2025. Available online: https://www.stats.gov.cn/xxgk/jd/sjjd2020/202501/t20250117_1958334.html (accessed on 6 December 2025).
  38. Morales, M.F.D.; Reguly, N.; Kirchheim, A.P.; Passuello, A. Uncertainties Related to the Replacement Stage in LCA of Buildings: A Case Study of a Structural Masonry Clay Hollow Brick Wall. J. Clean. Prod. 2020, 251, 119649. [Google Scholar] [CrossRef]
  39. DB13JT8510~8513-2022; Construction Engineering Consumption Quota and Calculation Rules (Building Engineering, Decoration Engineering, Installation Engineering, Municipal Engineering), Expenses and Base Period Prices. China Standards Press: Hebei, China, 2022.
  40. GB/T 50176-2016; Thermal Design Code for Civil Buildings. China Construction Industry Press: Beijing, China, 2016.
  41. Gao, H. Climate Adaptability Study of Traditional Dwellings. Master’s Thesis, Xi’an University of Architecture and Technology, Xi’an, China, 2013. [Google Scholar]
  42. Cao, S. Optimal Design of Exterior Envelope for Ultra-Low Energy Consumption Rural Residences in the Beijing Area. Master’s Thesis, Hebei University of Technology, Tianjin, China, 2015. [Google Scholar]
  43. JGJ/T 449-2018; Standard for Green Performance Calculation of Civil Buildings. China Construction Industry Press: Beijing, China, 2018.
  44. GB/T 50034-2024; Standard for Lighting Design of Buildings. China Construction Industry Press: Beijing, China, 2024.
  45. GB 55015-2021; General Code for Energy Efficiency and Renewable Energy Application in Buildings. China Construction Industry Press: Beijing, China, 2021.
  46. GB 50352-2019; Uniform Standard for Design of Civil Buildings. China Construction Industry Press: Beijing, China, 2019.
  47. DB32/T 4880-2024; Calculation Standard for Carbon Emission of Civil Buildings. China Standard Press: Nanjing, China, 2024.
  48. Liu, Y. Research on Carbon Emission Analysis and Carbon Reduction Strategies of Local Rural Houses in the Yellow River Region of Inner Mongolia. Master’s Thesis, Inner Mongolia University of Science and Technology, Baotou, China, 2023. [Google Scholar]
  49. National Center for Climate Change Strategy and International Cooperation. China Regional Grid Baseline Emission Factors for 2023 Emission Reduction Projects. 2024. Available online: http://www.ncsc.org.cn/SY/zywj/202407/t20240709_1081217.shtml (accessed on 31 October 2025).
  50. Karimi, M.; Tomoyuki, C.; Lee, M. Influence of Window-to-Wall Ratio, Orientation, and Glazing Type on Building Energy Performance across Climatic Zones in Afghanistan. J. Build. Constr. Plan. Res. 2025, 13, 151–173. [Google Scholar] [CrossRef]
  51. Feng, G.; Chi, D.; Xu, X.; Dou, B.; Sun, Y.; Fu, Y. Study on the Influence of Window-Wall Ratio on the Energy Consumption of Nearly Zero Energy Buildings. Procedia Eng. 2017, 205, 730–737. [Google Scholar] [CrossRef]
  52. GB/T 50824-2013; Design Standard for Energy Efficiency of Rural Residential Buildings. China Architecture and Building Press: Beijing, China, 2012.
  53. Steinmann, Z.J.; Venkatesh, A.; Hauck, M.; Schipper, A.M.; Karuppiah, R.; Laurenzi, I.J.; Huijbregts, M.A. How to Address Data Gaps in Life Cycle Inventories: A Case Study on Estimating CO2 Emissions from Coal-Fired Electricity Plants on a Global Scale. Environ. Sci. Technol. 2014, 48, 5282–5289. [Google Scholar] [CrossRef] [PubMed]
Figure 1. Annual distribution of publications.
Figure 1. Annual distribution of publications.
Buildings 16 01533 g001
Figure 2. Building life cycle stage.
Figure 2. Building life cycle stage.
Buildings 16 01533 g002
Figure 3. Information of the prototypical models of the selected rural residences.
Figure 3. Information of the prototypical models of the selected rural residences.
Buildings 16 01533 g003aBuildings 16 01533 g003b
Figure 4. Models of rural residences were developed in DesignBuilder.
Figure 4. Models of rural residences were developed in DesignBuilder.
Buildings 16 01533 g004
Figure 5. Carbon emissions of traditional rural residences.
Figure 5. Carbon emissions of traditional rural residences.
Buildings 16 01533 g005
Figure 6. Carbon emissions of lightweight steel assembled rural residences.
Figure 6. Carbon emissions of lightweight steel assembled rural residences.
Buildings 16 01533 g006
Figure 7. Optimal economic thickness and carbon emission reduction rate.
Figure 7. Optimal economic thickness and carbon emission reduction rate.
Buildings 16 01533 g007
Figure 8. Changes in carbon emissions of rural residences in each sub-stage.
Figure 8. Changes in carbon emissions of rural residences in each sub-stage.
Buildings 16 01533 g008
Figure 9. Proportion of carbon emissions for rural residences in the production stage or operation stage.
Figure 9. Proportion of carbon emissions for rural residences in the production stage or operation stage.
Buildings 16 01533 g009
Figure 10. Cost of unit carbon emission reduction.
Figure 10. Cost of unit carbon emission reduction.
Buildings 16 01533 g010
Figure 11. LCCE and CUCER of the solution set.
Figure 11. LCCE and CUCER of the solution set.
Buildings 16 01533 g011
Table 1. Structures of low-carbon buildings.
Table 1. Structures of low-carbon buildings.
StructuresAdvantagesDisadvantagesReference
Light steel structure
  • Rapid construction
  • High space efficiency
  • Material recyclability
  • Low carbon footprint
  • Excellent seismic performance
  • Poor vibration isolation
  • Numerous thermal bridges
[4,5]
Timber structure
  • Renewable resource
  • Low operational energy consumption
  • Poor fire resistance
  • Limited span capacity
  • Resource availability
  • Susceptible to humidity and insect damage
[6,7]
Rammed earth
  • Local material availability
  • Low cost
  • Poor durability
  • Low social acceptance
  • Lower compressive strength
  • Low tensile and shear strength
[8,9,10]
Concrete block
  • Resistance to fire
  • Environmentally friendly
  • Fast and easier construction system
  • Rapid heating rate
  • Low compressive strength
  • Commonly used in non-load-bearing structures
[11,12]
Table 2. Parameters and values used in the calculation.
Table 2. Parameters and values used in the calculation.
ParametersValueReference
C O P 2.6[35]
E E R 3.0[35]
I 3.10%[36]
g 0.2%[37]
P W F 18.06[36,37]
N 25 years[38]
C in 497.2 CNY/m3[39]
Table 3. Parameters for embodied carbon calculation.
Table 3. Parameters for embodied carbon calculation.
Types of Material and EnergyUnitCarbon Emission Factor/(kgCO2/Unit)Reference
White lime plastert1190.00[27]
Sandt2.51[27]
WaterL0.168[27]
Claym22.69[27]
Brick and stonem316.00[27]
Concretem3295.00[27]
Gypsum boardt32.80[27]
Solid clay brickt292.00[27]
Lime mortarm3747.00[27]
Clayt2.69[27]
Coal gangue solid brickm322.8[27]
WaterL0.168[27]
Cement mortarm3365.00[47]
Personman-days3.266[29]
Woodm233.8[48]
Northeast China power gridkgCO2/kWh1.047[49]
North China power gridkgCO2/kWh0.935[49]
East China power gridkgCO2/kWh0.7703[49]
China Southern power gridkgCO2/kWh0.7738[49]
Table 4. Heating and cooling carbon emissions of traditional rural residences.
Table 4. Heating and cooling carbon emissions of traditional rural residences.
ParameterUnitNCVDSHYMHJLNVDYNVD
Heating carbon emissionskgCO2e m−274.3957.7824.134.527.10
Cooling carbon emissionskgCO2e m−205.257.1217.896.84
Table 5. The structure of lightweight steel assembled rural residences.
Table 5. The structure of lightweight steel assembled rural residences.
StructureConstruction ComponentThickness
WallOSB board9 mm
light steel studs (filled with centrifugal glass wool)89 mm
OSB board9 mm
moisture-proof breathable membrane1 mm
graphite polystyrene board40 mm
ceramic tiles10 mm
Roofasphalt shingles-
SBS waterproofing membrane4 mm
cement board6 mm
graphite polystyrene board.30 mm
Ceiling layercentrifugal glass wool100 mm
OSB board9 mm
Table 6. Model of insulation layer cost for lightweight steel assembled rural residences.
Table 6. Model of insulation layer cost for lightweight steel assembled rural residences.
Climate ZonesModel of the Total Cost for Lightweight Steel Assembled Rural ResidencesNo.
Severe cold C t = 486.52789 1451.39937 d 1 301.51527 d 2 + 7741.04633 d 1 2 + 844.01769 d 2 2 (33)
Cold C t = 365.36463 642.42034 d 1 1324.51721 d 2 + 3397.90786 d 1 2 + 5191.95619 d 2 2 (34)
Hot summer and cold winter C t = 215.98618 58.015761 d 1 + 386.65607 d 2 + 386.77174 d 1 2 + 3377.43982 d 2 2 (35)
Hot summer and warm winter C t = 207.2168 2220.28832 d 1 + 2242.2118 d 2 + 44512.87003 d 1 2 + 1198.04268 d 2 2 (36)
Mild C t = 76.9524 2251.37059 d 1 + 2211.29344 d 2 + 55619.0878 d 1 2 + 1193.00752 d 2 2 (37)
Table 7. Economic thickness of insulation layer for lightweight steel assembled rural residences in different climate zones.
Table 7. Economic thickness of insulation layer for lightweight steel assembled rural residences in different climate zones.
Climate ZonesThickness of the Wall Insulation Layer (m)Thickness of the Roof Insulation Layer (m) C t (CNY m−2 a−1)
Severe cold0.0940.179391.547
Cold0.0950.128250.521
Hot summer and cold winter 0.0750202.74
Hot summer and warm winter 00.024261.72
Mild00.022151.847
Table 8. Heating and cooling carbon emission of lightweight steel assembled rural residences.
Table 8. Heating and cooling carbon emission of lightweight steel assembled rural residences.
ParameterUnitNCVDSHYMHJLNVDYNVD
Heating carbon emissionskgCO2e m−237.4912.2210.330.981.45
Cooling carbon emissionskgCO2e m−204.872.346.921.25
Table 9. Entropy method to calculate the weight results.
Table 9. Entropy method to calculate the weight results.
IndicatorInformation EntropyWeight
LCEE0.856850.81%
CUCER0.861349.19%
Table 10. Calculation results in TOPSIS evaluation.
Table 10. Calculation results in TOPSIS evaluation.
Rural ResidencesLCEECUCER D + D Q f Sorting
NCVD00.48470.50820.48470.48825
SHY0.36040.49190.14780.60980.80503
MHJ0.46200.48760.04630.67170.93551
LNVD0.44860.47780.06110.65540.91472
YNVD0.508100.49190.50810.50814
Table 11. Optimized design parameters and ranges for light steel structure assembled rural residence for NCVD.
Table 11. Optimized design parameters and ranges for light steel structure assembled rural residence for NCVD.
LevelBuilding OrientationSouth-Facing Window-to-Wall RatioGlass Material
Level 1South-facing0.25Insulated glass: 6 mm clear + 12 mm air gap + 6 mm clear
Level 215° west of south0.2Insulated Glass: 6 mm Low-E transparent + 12 mm air gap + 6 mm clear
Level 330° west of south0.15Double-pane insulated glass: 6 mm clear glass + 12 mm air gap + 6 mm clear glass
Level 415° east of south0.1Double-pane insulated glass: 6 mm medium-transmittance Low-E glass + 12 mm air gap + 6 mm clear glass
Level 530° east of south0.05Triple-pane insulated glass: 6 mm clear + 12 mm air gap + 6 mm clear + 12 mm air gap + 6 mm clear
Disclaimer/Publisher’s Note: The statements, opinions and data contained in all publications are solely those of the individual author(s) and contributor(s) and not of MDPI and/or the editor(s). MDPI and/or the editor(s) disclaim responsibility for any injury to people or property resulting from any ideas, methods, instructions or products referred to in the content.

Share and Cite

MDPI and ACS Style

Jin, X.; Wu, Y.; Yao, S.; Nie, Y.; Guo, J. Analysis of Carbon Emissions for Traditional Rural Residences and Adaptability Study of Lightweight Steel Assembled Rural Residences in Different Climate Zones of China. Buildings 2026, 16, 1533. https://doi.org/10.3390/buildings16081533

AMA Style

Jin X, Wu Y, Yao S, Nie Y, Guo J. Analysis of Carbon Emissions for Traditional Rural Residences and Adaptability Study of Lightweight Steel Assembled Rural Residences in Different Climate Zones of China. Buildings. 2026; 16(8):1533. https://doi.org/10.3390/buildings16081533

Chicago/Turabian Style

Jin, Xingyu, Ying Wu, Sheng Yao, Yuqian Nie, and Jiayi Guo. 2026. "Analysis of Carbon Emissions for Traditional Rural Residences and Adaptability Study of Lightweight Steel Assembled Rural Residences in Different Climate Zones of China" Buildings 16, no. 8: 1533. https://doi.org/10.3390/buildings16081533

APA Style

Jin, X., Wu, Y., Yao, S., Nie, Y., & Guo, J. (2026). Analysis of Carbon Emissions for Traditional Rural Residences and Adaptability Study of Lightweight Steel Assembled Rural Residences in Different Climate Zones of China. Buildings, 16(8), 1533. https://doi.org/10.3390/buildings16081533

Note that from the first issue of 2016, this journal uses article numbers instead of page numbers. See further details here.

Article Metrics

Back to TopTop