Early-Stage Massing Decisions in School Buildings: Interactive Effects on Energy and Thermal Comfort Performance
Abstract
1. Introduction
1.1. Morphological Structure in Sustainable Building Design
1.2. Thermal Comfort and Performance in Educational Buildings
1.3. Literature Review
1.3.1. Massing Typology and Energy Performance
1.3.2. Orientation Effects on Energy Use Intensity
1.3.3. Window-to-Wall Ratio and Envelope Sensitivity
1.4. Research Gap and Study Contribution
1.5. Aims and Objectives
- Compare energy use intensity (EUI) and thermal comfort performance across multiple school mass typologies at the early design stage.
- Identify typology-specific best- and worst-performing orientations for each mass configuration under a fixed baseline envelope condition.
- Quantify the sensitivity of energy demand and thermal comfort to changes in the window-to-wall ratio (20%, 40%, and 60%) under controlled orientation scenarios.
- Assess energy–comfort trade-offs resulting from combined variations in massing, orientation, and envelope transparency.
2. Materials and Methods
2.1. Study Location and Climatic Context
2.2. Interactive Architectural Assessment Framework
2.3. Massing Archetype Selection and Geometric Characterization
2.4. Simulation Workflow and Modeling Approach
2.4.1. Geometric Model Development
2.4.2. Orientation and WWR Parametric Strategy
2.5. Boundary Conditions and Fixed Assumptions
2.5.1. Climate Data and Weather File
2.5.2. Building Construction and Envelope Properties
2.5.3. Internal Loads and Occupancy
2.5.4. HVAC System and Control Strategy
2.5.5. Simulation Period and Temporal Resolution
2.6. Performance Indicators and Thermal Comfort Assessment
2.6.1. Energy Performance Indicators
2.6.2. Thermal Comfort Model and Baseline Definition
2.6.3. Indicator Interpretation and Design Relevance
3. Results
3.1. Baseline Results (WWR 40%)
3.1.1. Energy Performance
3.1.2. Thermal Comfort Performance
3.2. Window-to-Wall Ratio Sensitivity Analysis
3.2.1. Energy Performance Sensitivity
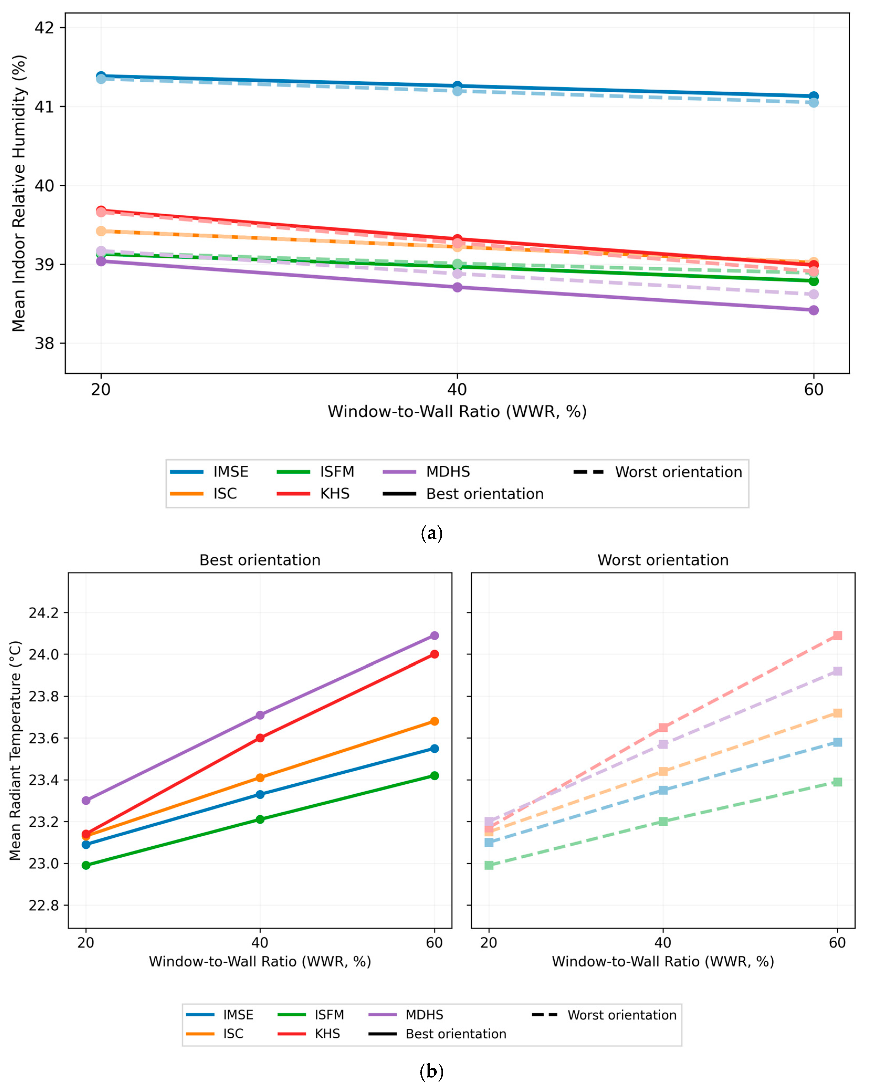
3.2.2. Thermal Comfort Sensitivity
3.2.3. Summary of WWR Effects
3.3. Energy and Thermal Comfort Trade-Offs
4. Discussion
4.1. Massing Typology as a Mediator of Energy and Comfort Performance
4.2. Orientation Effects Conditioned by Massing Configuration
4.3. Window-to-Wall Ratio Effects and Performance Divergence
4.4. Implications for Integrated Architectural Assessment and Previous Research
4.5. Study Limitations and Future Research Directions
5. Conclusions
Author Contributions
Funding
Data Availability Statement
Conflicts of Interest
Abbreviations
| IAA | Interactive Architectural Approach |
| EUI | Energy use intensity |
| WWR | Window-to-wall ratio |
| CDH26 | Cooling degree hours above 26 °C |
| TMY | Typical meteorological year |
| SHGC | Solar Heat Gain Coefficient |
| HVAC | Heating, Ventilation and Air conditioning |
| S/V | Surface-to-volume ratio |
| ISC | International school of Choueifat |
| ISFM | International School of Fakhir Mergasore |
| KHS | Kurdistan High School |
| MDHS | Mamoun Al-Dabbagh High School |
| IMSE | International Maarif Schools of Erbil |
| MRT | Mean radiant temperature |
| RH | Relative humidity |
Appendix A
Fixed Simulation Assumptions and Boundary Conditions
| Parameter | Value | Notes |
|---|---|---|
| Climate data | Erbil typical meteorological year (TMY) | Applied uniformly to all cases |
| Baseline window-to-wall ratio | 40% | Used for orientation screening |
| WWR sensitivity levels | 20%, 40%, 60% | Applied for best and worst orientations |
| HVAC system | Energy Plus Zone HVAC: IdealLoadsAirSystem (Honeybee implementation) | Technology-neutral system used to maintain setpoints and isolate geometry-driven demand |
| Occupancy schedule | Fixed school schedule | Consistent across all models |
| Internal gains | Constant | Occupants, lighting and equipment |
| Construction materials | Fixed | As reported in Table 2 |
| Simulation period | Annual | Full calendar year |
References
- Kistelegdi, I.; Horváth, K.R.; Storcz, T.; Ercsey, Z. Building Geometry as a Variable in Energy, Comfort, and Environmental Design Optimization—A Review from the Perspective of Architects. Buildings 2022, 12, 69. [Google Scholar] [CrossRef]
- Harshalatha; Patil, S.; Kini, P.G. A Review on Simulation Based Multi-Objective Optimization of Space Layout Design Parameters on Building Energy Performance. J. Build. Pathol. Rehabil. 2024, 9, 69. [Google Scholar] [CrossRef]
- Cui, G. Geometric Optimization of the Space around the Buildings Based on the Improvement of Thermal Comfort Efficiency of the Building. Int. J. Low-Carbon Technol. 2024, 19, 1288–1300. [Google Scholar] [CrossRef]
- Mokrzecka, M. Influence of Building Shape and Orientation on Heating Demand: Simulations for Student Dormitories in Temperate Climate Conditions. In Proceedings of the E3S Web of Conferences; EDP Sciences: Les Ulis, France, 2018; Volume 44. [Google Scholar]
- Parasonis, J.; Keizikas, A.; Kalibatiene, D. The Relationship between the Shape of a Building and Its Energy Performance. Archit. Eng. Des. Manag. 2012, 8, 246–256. [Google Scholar] [CrossRef]
- Dervishi, S.; Baçi, N. Early Design Evaluation of Low-Rise School Building Morphology on Energy Performance: Climatic Contexts of Southeast Europe. Energy 2023, 269, 126790. [Google Scholar] [CrossRef]
- Heracleous, C.; Michael, A.; Savvides, A.; Hayles, C. Climate Change Resilience of School Premises in Cyprus: An Examination of 1 Retrofit Approaches and Their Implications on Thermal and Energy Performance. J. Build. Eng. 2021, 44, 103358. [Google Scholar] [CrossRef]
- Chaturvedi, P.; Kumar, N.; Lamba, R.; Nachan, P. Effect of Building form on Daylight and Energy Efficiency for Educational Building in Composite Climate. In Proceedings—ISES Solar World Congress 2023, SWC 2023; International Solar Energy Society: Freiburg im Breisgau, Germany, 2024; pp. 436–445. [Google Scholar]
- Mohsenzadeh, M.; Marzbali, M.H.; Tilaki, M.J.M.; Abdullah, A. Building Form and Energy Efficiency in Tropical Climates: A Case Study of Penang, Malaysia. Urbe Rev. Bras. Gestão Urbana 2021, 13, e20200280. [Google Scholar] [CrossRef]
- Ahn, J. Thermal Control Strategy for the Sustainable Use of Large Classrooms Responding to User Demands in a School Building. Buildings 2024, 14, 3809. [Google Scholar] [CrossRef]
- Utami, S.S.; Sihotang, A.; Ardiyanto, B.; Prayitno, B. Developing Reference Building for Campus Type Buildings in Universitas Gadjah Mada. In Proceedings of the IOP Conference Series: Earth and Environmental Science; Institute of Physics Publishing: Bristol, UK, 2020; Volume 520. [Google Scholar]
- Mobaraki, A.; Nikoofam, M.; Mobaraki, B. The Nexus of Morphology and Sustainable Urban Form Parameters as a Common Basis for Evaluating Sustainability in Urban Forms. Sustainability 2025, 17, 3967. [Google Scholar] [CrossRef]
- Bakmohammadi, P.; Noorzai, E. Optimization of the Design of the Primary School Classrooms in Terms of Energy and Daylight Performance Considering Occupants’ Thermal and Visual Comfort. Energy Rep. 2020, 6, 1590–1607. [Google Scholar] [CrossRef]
- Carlos, J.S. Sustainability Assessment of Government School Buildings in Portugal. Archit. Sci. Rev. 2016, 59, 413–422. [Google Scholar] [CrossRef]
- Afacan, Y.; Ranjbar, A. Impact of Building Massing on Energy Efficient School Buildings. In Proceedings of the Smart Innovation, Systems and Technologies; Springer: Singapore, 2020; Volume 163, pp. 11–22. [Google Scholar]
- Yeretzian, A.; Partamian, H.; Dabaghi, M.; Jabr, R. Integrating Building Shape Optimization into the Architectural Design Process. Archit. Sci. Rev. 2020, 63, 63–73. [Google Scholar] [CrossRef]
- Zhang, A.; Bokel, R.; van den Dobbelsteen, A.; Sun, Y.; Huang, Q.; Zhang, Q. The Effect of Geometry Parameters on Energy and Thermal Performance of School Buildings in Cold Climates of China. Sustainability 2017, 9, 1708. [Google Scholar] [CrossRef]
- Afacan, Y. Impact of Climate Zone and Orientation Angle on the Recurring Massing School Typologies in Turkey. In Proceedings of the Smart Innovation, Systems and Technologies; Springer Science and Business Media Deutschland GmbH: Berlin/Heidelberg, Germany, 2022; Volume 263, pp. 11–27. [Google Scholar]
- Geraldi, M.S.; Gnecco, V.M.; Barzan Neto, A.; Martins, B.A.d.M.; Ghisi, E.; Fossati, M.; Melo, A.P.; Lamberts, R. Evaluating the Impact of the Shape of School Reference Buildings on Bottom-up Energy Benchmarking. J. Build. Eng. 2021, 43, 103142. [Google Scholar] [CrossRef]
- Aloshan, M.; Aldali, K. Empirical Study of Facade Retrofits for Optimizing Energy Efficiency and Cooling in School Buildings in Saudi Arabia. Energy Rep. 2024, 12, 4105–4128. [Google Scholar] [CrossRef]
- Alwetaishi, M.; Benjeddou, O. Impact of Window to Wall Ratio on Energy Loads in Hot Regions: A Study of Building Energy Performance. Energies 2021, 14, 1080. [Google Scholar] [CrossRef]
- Zhang, A.; Bokel, R.; van den Dobbelsteen, A.; Sun, Y.; Huang, Q.; Zhang, Q. Optimization of Thermal and Daylight Performance of School Buildings Based on a Multi-Objective Genetic Algorithm in the Cold Climate of China. Energy Build. 2017, 139, 371–384. [Google Scholar] [CrossRef]
- Hemsath, T.L.; Alagheband Bandhosseini, K. Sensitivity Analysis Evaluating Basic Building Geometry’s Effect on Energy Use. Renew. Energy 2015, 76, 526–538. [Google Scholar] [CrossRef]
- Yang, Y.; Wang, L.; Cimillo, M. Design Factor-Oriented Life-Cycle Energy Optimisatio for Early-Stage Building Design. In Proceedings of the International Conference on Computer-Aided Architectural Design Research in Asia; The Association for Computer-Aided Architectural Design Research in Asia: Hong Kong, China, 2024; Volume 1, pp. 465–474. [Google Scholar]
- Liu, M.; Que, Y.; Yang, N.; Yan, C.; Liu, Q. Research on Multi-Objective Optimization Design of University Student Center in China Based on Low Energy Consumption and Thermal Comfort. Energies 2024, 17, 2082. [Google Scholar] [CrossRef]
- Salameh, M.; Touqan, B. Designing Climate-Adaptive Buildings: Impact of Courtyard Geometry on Microclimates in Hot, Dry Environments. Civ. Eng. J. 2024, 10, 2698–2718. [Google Scholar] [CrossRef]
- Parsaee, M.; Motealleh, P.; Parva, M. Interactive Architectural Approach (Interactive Architecture): An Effective and Adaptive Process for Architectural Design. HBRC J. 2016, 12, 327–336. [Google Scholar] [CrossRef]
- Lapisa, R. The Effect of Building Geometric Shape and Orientation on Its Energy Performance in Various Climate Regions. Int. J. GEOMATE 2019, 16, 113–119. [Google Scholar] [CrossRef]
- Xu, Y.; Zhang, G.; Yan, C.; Wang, G.; Jiang, Y.; Zhao, K. A Two-Stage Multi-Objective Optimization Method for Envelope and Energy Generation Systems of Primary and Secondary School Teaching Buildings in China. Build. Environ. 2021, 204, 108142. [Google Scholar] [CrossRef]
- Peel, M.C.; Finlayson, B.L.; Mcmahon, T.A. Hydrology and Earth System Sciences Updated World Map of the Köppen-Geiger Climate Classification. Hydrol. Earth Syst. Sci. 2007, 11, 1633–1644. [Google Scholar] [CrossRef]
- Baper, S.Y.; Ismael, Z.K. The Impact of Site Contexts in Increasing the Diversity of Architectural Concepts: Using an Interactive Architectural Approach. Buildings 2024, 14, 2567. [Google Scholar] [CrossRef]
- Othman, S.A.; Aziz, S.Q.; Mustafa, J.S.; Abdulrahman, P.I. Evaluation of Construction Materials and Environmental Situation Management in School Buildings Throughout a Half-Century (1970 to 2021) in Erbil City. Acad. J. Nawroz Univ. 2023, 12, 682–697. [Google Scholar] [CrossRef]
- Mobaraki, B.; Castilla Pascual, F.J.; Lozano-Galant, F.; Lozano-Galant, J.A.; Porras Soriano, R. In Situ U-Value Measurement of Building Envelopes through Continuous Low-Cost Monitoring. Case Stud. Therm. Eng. 2023, 43, 102778. [Google Scholar] [CrossRef]










| Typology ID | Morphological Description | (S/V) Ratio | Gross Floor Area (m2) | Number of Floors | Mass Configuration Diagram |
|---|---|---|---|---|---|
| Typology A (ISC) | Dispersed multi-block | 0.88 | 32,470.98 | 2–3 | ![]() |
| Typology B (ISFM) | H-shape articulated | 0.98 | 12,683.39 | 3 | ![]() |
| Typology C (KHS) | Linear articulated bar | 1.35 | 2790.43 | 2 | ![]() |
| Typology D (MDHS) | Courtyard mass | 1.12 | 3568.44 | 2–3 | ![]() |
| Typology E (IMSE) | Clustered pavilion | 0.87 | 23,351.60 | 2 | ![]() |
| Building Element | Construction Type | U-Value (W/m2·K) |
|---|---|---|
| External wall | Exterior mass wall | 0.39 |
| Internal wall | Masonry partition | 0.52 |
| Roof | Insulated built-up roof | 0.35 |
| Ground floor | Insulated ground-contact slab | 0.5 |
| Windows | Single glazing (SHGC = 0.31) | 5.8 |
| Scenarios | Heating Demand [kWh/m2] | Cooling Demand [kWh/m2] | Total Energy Intensity (kWh/m2·yr) |
|---|---|---|---|
| ISC | |||
| Base | 79.297 | 204.215 | 283.512 |
| N | 79.279 | 204.168 | 283.447 |
| E | 79.571 | 206.064 | 285.635 |
| W | 79.586 | 206.089 | 285.675 |
| S | 79.302 | 204.124 | 283.425 |
| ISFM | |||
| Base | 53.957 | 143.452 | 197.409 |
| N | 53.265 | 142.41 | 195.675 |
| E | 53.733 | 143.73 | 197.464 |
| W | 53.707 | 143.832 | 197.539 |
| S | 53.794 | 141.983 | 195.777 |
| KHS | |||
| Base | 76.616 | 208.853 | 285.47 |
| N | 76.318 | 206.21 | 282.528 |
| E | 76.506 | 208.525 | 285.032 |
| W | 76.526 | 208.029 | 284.555 |
| S | 76.254 | 206.401 | 282.655 |
| MDHS | |||
| Base | 84.088 | 201.835 | 285.923 |
| N | 84.488 | 201.64 | 286.128 |
| E | 83.905 | 201.756 | 285.661 |
| W | 84.948 | 201.495 | 286.443 |
| S | 84.411 | 201.689 | 286.1 |
| IMSE | |||
| Base | 74.272 | 171.006 | 245.278 |
| N | 74.377 | 171.393 | 245.77 |
| E | 74.103 | 170.447 | 244.549 |
| W | 74.159 | 170.307 | 244.466 |
| S | 74.374 | 171.295 | 245.669 |
| Scenarios | Overheating Hours (>26 °C) [h] | Overheating (%) | CDH26 (°C·h) | Discomfort (%) |
|---|---|---|---|---|
| ISC | ||||
| Base | 1929 | 22.02% | 4803.13 | 51.3% |
| N | 1927 | 22.0% | 4797.19 | 51.27% |
| E | 1961 | 22.39% | 4970.27 | 51.82% |
| W | 1962 | 22.4% | 4971.49 | 51.8% |
| S | 1928 | 22.01% | 4801.58 | 51.24% |
| ISFM | ||||
| Base | 1760 | 20.09% | 3882.79 | 48.98% |
| N | 1741 | 19.87% | 3796.41 | 48.09% |
| E | 1770 | 20.21% | 3904.68 | 48.84% |
| W | 1764 | 20.14% | 3917.03 | 48.80% |
| S | 1732 | 19.77% | 3787.1 | 48.71% |
| KHS | ||||
| Base | 2174 | 24.82% | 6989.02 | 55.08% |
| N | 2131 | 24.33% | 6674.05 | 54.69% |
| E | 2170 | 24.77% | 6957.18 | 55.01% |
| W | 2186 | 24.95% | 6964.78 | 55.24% |
| S | 2131 | 24.33% | 6579.18 | 54.65% |
| MDHS | ||||
| Base | 2307 | 26.34% | 9290.35 | 59.50% |
| N | 2295 | 26.20% | 9196.82 | 59.68% |
| E | 2298 | 26.23% | 9303.64 | 59.34% |
| W | 2261 | 25.81% | 8967.44 | 59.43% |
| S | 2277 | 25.99% | 9140.22 | 59.28% |
| IMSE | ||||
| Base | 2123 | 24.24% | 7314.76 | 56.77% |
| N | 2117 | 24.17% | 7314.49 | 56.80% |
| E | 2117 | 24.17% | 7284.3 | 56.68% |
| W | 2110 | 24.09% | 7249.05 | 56.75% |
| S | 2123 | 24.24% | 7308.52 | 56.85% |
Disclaimer/Publisher’s Note: The statements, opinions and data contained in all publications are solely those of the individual author(s) and contributor(s) and not of MDPI and/or the editor(s). MDPI and/or the editor(s) disclaim responsibility for any injury to people or property resulting from any ideas, methods, instructions or products referred to in the content. |
© 2026 by the authors. Licensee MDPI, Basel, Switzerland. This article is an open access article distributed under the terms and conditions of the Creative Commons Attribution (CC BY) license.
Share and Cite
Yahya, F.F.; Bapir, S.Y. Early-Stage Massing Decisions in School Buildings: Interactive Effects on Energy and Thermal Comfort Performance. Buildings 2026, 16, 1484. https://doi.org/10.3390/buildings16081484
Yahya FF, Bapir SY. Early-Stage Massing Decisions in School Buildings: Interactive Effects on Energy and Thermal Comfort Performance. Buildings. 2026; 16(8):1484. https://doi.org/10.3390/buildings16081484
Chicago/Turabian StyleYahya, Faten Firas, and Salahaddin Yassin Bapir. 2026. "Early-Stage Massing Decisions in School Buildings: Interactive Effects on Energy and Thermal Comfort Performance" Buildings 16, no. 8: 1484. https://doi.org/10.3390/buildings16081484
APA StyleYahya, F. F., & Bapir, S. Y. (2026). Early-Stage Massing Decisions in School Buildings: Interactive Effects on Energy and Thermal Comfort Performance. Buildings, 16(8), 1484. https://doi.org/10.3390/buildings16081484






