Next Article in Journal
A Hierarchical Adaptation Framework for Water-Centric Heritage in Bursa: Bridging Ottoman Philosophy and Biophilic Design
Previous Article in Journal
Architectural and Operational Drivers of Bedside Light Exposure Across Neonatal, Paediatric, and Adult Intensive Care Units: A Multicentre Real-World Study
Previous Article in Special Issue
Analysis of Dynamic Load Tests on Reinforced Foundations Under the Influence of Karst Soil Cavity Collapse
 
 
Font Type:
Arial Georgia Verdana
Font Size:
Aa Aa Aa
Line Spacing:
Column Width:
Background:
Article

Shear Mechanisms and Strength Evolution in Geogrid-Reinforced Loess: Experimental and Empirical Modeling

by
Tiantian Xiong
1,2,3,* and
Nurazim Ibrahim
2
1
College of Urban Construction, Xi’an Siyuan University, Xi’an 710038, China
2
Faculty of Engineering Science and Technology, Kuala Lumpur University of Science and Technology, Kajang 43000, Malaysia
3
School of Human Settlements and Civil Engineering, Xi’an Jiao Tong University, Xi’an 710049, China
*
Author to whom correspondence should be addressed.
Buildings 2026, 16(5), 897; https://doi.org/10.3390/buildings16050897
Submission received: 11 January 2026 / Revised: 7 February 2026 / Accepted: 10 February 2026 / Published: 25 February 2026
(This article belongs to the Special Issue Advances in Soil–Geosynthetic Composite Materials)

Abstract

The mechanical behavior of loess under varying moisture conditions plays a critical role in the stability of slopes and foundations in loess regions. Owing to its high porosity and metastable structure, loess is particularly sensitive to moisture-induced strength degradation. Although geogrid reinforcement has been widely adopted to improve soil stability, the combined influence of moisture condition, reinforcement characteristics, and confinement on the shear behavior of loess remains insufficiently understood. In this study, consolidated undrained (CU) triaxial tests were conducted on partially saturated loess reinforced with glass fiber geogrids (GFGs) and basalt fiber geogrids (BFGs) under different moisture contents (13–17%) and confining pressures (100–300 kPa). The effects of geogrid type, reinforcement configuration, and confinement on shear strength and deformation behavior were systematically examined. The results indicate that geogrid reinforcement significantly enhances the shear strength, stiffness, and ductility of loess, particularly under low to moderate confining pressures. Increasing the number of reinforcement layers resulted in peak strength improvements of up to approximately 25% and promoted a transition from brittle to ductile behavior. Distinct reinforcement responses were observed: GFG exhibited higher initial stiffness and more rapid mobilization, whereas BFG demonstrated progressive tensile mobilization and superior residual strength. Furthermore, a modified Unified Twin-Shear Strength Theory (UTSST) incorporating a strain-dependent reinforcement mobilization coefficient was proposed, which provided an empirical representation of the observed strength evolution with good agreement with the experimental results (R2 > 0.96).

1. Introduction

Loess deposits are widely distributed across many regions worldwide and are frequently encountered in geotechnical engineering projects such as foundations, embankments, slopes, and transportation infrastructure [1]. Due to their loose structure, high porosity, and weak interparticle bonding, loess soils are particularly sensitive to changes in moisture conditions, which can lead to pronounced variations in strength, stiffness, and deformation behavior [2,3,4]. Consequently, the stability and serviceability of loess-based engineering structures under variable moisture environments remain a critical concern in geotechnical practice.
Field observations and laboratory investigations have consistently shown that increases in moisture content can significantly accelerate strength degradation, creep deformation, and structural damage in loess and other fine-grained soils [2,3,5]. Time-dependent weakening and progressive degradation under coupled environmental and loading conditions have also been reported for silty clay subgrades subjected to dry–wet cycles and repeated traffic loading, highlighting the broader relevance of moisture-induced mechanical deterioration in geomaterials [5]. Numerical studies further indicate that moisture-related weakening at the particle or bond level can fundamentally alter soil fabric and macroscopic response, emphasizing the need to account for moisture effects when evaluating soil stability [6].
To mitigate deformation and enhance load-bearing capacity, geogrid reinforcement has been widely adopted as an effective ground improvement technique in geotechnical engineering [7]. Extensive experimental research demonstrates that geogrids can significantly improve shear strength, stiffness, and ductility of soils through mechanisms such as confinement enhancement, stress redistribution, and mobilization of tensile resistance [4,8,9,10]. Triaxial compression tests on geogrid-reinforced sands and coarse-grained soils have shown that reinforcement effectiveness is strongly influenced by confining pressure, reinforcement stiffness, anchorage conditions, and layer configuration [10,11]. In particular, greater reinforcement benefits are typically observed under low to moderate confinement, whereas the relative contribution of geogrids diminishes as confining pressure increases and soil skeleton strength becomes dominant [8,9].
Beyond bulk strength enhancement, soil–geogrid interface behavior has been recognized as a critical factor governing reinforcement performance. Large-scale direct shear and interface tests indicate that interface shear resistance depends strongly on particle size distribution, geogrid aperture geometry, surface roughness, and loading direction [12,13,14]. Anisotropic interface behavior has been reported, demonstrating that mobilized shear strength varies with reinforcement orientation and stress path [14]. Similar interfacial mechanisms have also been observed in reinforced coral sands under monotonic and cyclic loading, where progressive mobilization of friction and interlocking governs deformation and energy dissipation [15,16].
Despite the extensive body of research on reinforced granular and coarse-grained soils, studies focusing on geogrid-reinforced loess remain relatively limited. Existing investigations on loess have primarily addressed unreinforced conditions, demonstrating pronounced moisture-dependent reductions in shear strength and transitions from brittle to ductile behavior with increasing water content [2,3,17]. However, systematic experimental evidence on how moisture variation interacts with geogrid reinforcement, confining pressure, and reinforcement configuration in loess soils is still scarce. This knowledge gap is particularly significant given that loess in engineering practice often exists under partially saturated conditions and is exposed to moisture fluctuations due to rainfall infiltration and seasonal climate effects [7].
In terms of reinforcement materials, most previous studies have focused on polymer-based geogrids, while comparatively fewer investigations have examined fiber-based geogrids such as glass fiber and basalt fiber geogrids. Recent studies suggest that reinforcement material properties—including stiffness, surface coating, and durability—can significantly influence load transfer efficiency and interfacial behavior [18,19]. In particular, optimization of glass fiber geogrid coatings has been shown to affect mechanical performance and interface characteristics [19], while basalt fiber-based materials exhibit superior durability and stability under aggressive environmental conditions [19]. However, direct comparisons between glass fiber and basalt fiber geogrids under triaxial loading conditions, especially in moisture-sensitive loess soils, remain limited.
From a constitutive modeling perspective, several empirical and semi-empirical approaches have been proposed to describe the strength enhancement of reinforced soils. Classical Mohr–Coulomb-based formulations offer simplicity but often fail to capture nonlinear strength evolution and strain-dependent reinforcement mobilization observed in laboratory tests [10]. More advanced frameworks, such as the unified twin-shear strength theory, provide improved flexibility by accounting for the influence of intermediate principal stress and complex stress paths [10]. Nevertheless, applications of such models to geogrid-reinforced, moisture-sensitive soils are still underexplored.
However, a systematic experimental framework that quantifies the coupled influence of moisture variation, geogrid type (specifically fiber-based GFG vs. BFG), reinforcement configuration, and confining pressure on the shear strength evolution of loess remains conspicuously absent. Existing studies have predominantly investigated either the moisture sensitivity of unreinforced loess or the reinforcement mechanisms in granular soils, leaving critical questions unanswered: (1) What are the fundamental differences in reinforcement efficiency and post-peak behavior between GFG and BFG in moisture-sensitive loess? (2) How does the effectiveness of multi-layer reinforcement vary with changing moisture conditions? (3) How can the nonlinear strength evolution resulting from these complex interactions be adequately captured within a constitutive framework?
To bridge this knowledge gap, this study presents a comprehensive experimental program designed to decouple and analyze these interactive effects. Consolidated undrained triaxial tests were conducted on loess specimens reinforced with GFG and BFG, encompassing a defined matrix of moisture contents (13–17%), confining pressures (100–300 kPa), and reinforcement layers (0, 1, 2). The primary novelty of this work lies in its integrated comparative analysis, which provides: (a) the first direct, quantitative comparison of GFG and BFG performance in partially saturated loess under triaxial stress states; (b) a systematic evaluation of how reinforcement layering efficiency is modulated by moisture content; and (c) an empirical extension of the Unified Twin-Shear Strength Theory (UTSST) incorporating a strain-dependent mobilization factor to describe the observed strength evolution. The findings are expected to deliver actionable insights and a refined modeling approach for the design of geogrid-reinforced loess structures in environments subject to moisture fluctuations.

2. Materials and Methods

2.1. Soil Properties and Sampling

The loess used in this study was collected from the Bai Lu yuan landslide area in Shaanxi Province, China, located on the southern margin of the Loess Plateau. The soil represents a typical aeolian loess characterized by a loose and porous structure, a high silt content, and pronounced collapsibility upon wetting. Prior to testing, the bulk material was air-dried, gently crushed, and sieved through a 2 mm mesh to remove coarse fragments and organic impurities.
The basic physical properties of the loess were determined in accordance with the Chinese Standard GB/T 50123–2019 [20] and the Unified Soil Classification System (USCS). The soil was classified as low-plasticity silty clay (ML) with a target dry density of 1.46 g/cm3 and a natural moisture content of 15.8%. The measured liquid limit, plastic limit, and plasticity index were 32.8%, 21.6%, and 11.2%, respectively. The particle-size distribution consisted of approximately 10% clay (<0.005 mm), 72% silt (0.005–0.05 mm), and 18% fine sand (0.05–0.25 mm).
To ensure consistency in specimen preparation, cylindrical specimens were statically compacted to a uniform dry density of 1.46 g/cm3 under controlled initial moisture contents of 13%, 15%, and 17%. These moisture contents were selected to represent relatively dry, intermediate, and wet preparation conditions commonly encountered in engineering practice. It should be noted that moisture content was used as a specimen preparation parameter, and no attempt was made to define or control matric suction during sample preparation or testing. The measured physical parameters of the tested loess are summarized in Table 1.
It should be noted that moisture content was used solely as a specimen preparation parameter in this study. No attempt was made to impose, measure, or control matric suction during sample preparation or triaxial testing. Accordingly, the mechanical responses discussed herein are interpreted without invoking suction-based mechanisms.
The selected moisture contents of 13%, 15%, and 17% correspond to relatively dry, intermediate, and wet preparation conditions for loess. These values are used to investigate moisture-dependent mechanical behavior under controlled laboratory conditions, rather than to represent specific suction or saturation states. It should be emphasized that matric suction was not measured or controlled in this study, and no soil-water characteristic curve (SWCC) was established. The selected moisture contents were used solely as specimen preparation parameters to investigate moisture-dependent mechanical behavior under partially saturated conditions.

2.2. Reinforcement Materials

Two types of geogrid reinforcements were employed in this study for comparative analysis: Glass Fiber Geogrid (GFG) and Basalt Fiber Geogrid (BFG). As shown as Figure 1.
The GFG (EGA60–60) was manufactured by warp knitting of high-modulus glass fibers coated with a polymer resin. It exhibits a nominal tensile strength of 60 KN/m, an elongation at break of ≤4%, and a square aperture size of 12.7 × 12.7 mm.
The BFG (BFG60–60) was produced from continuous basalt fibers coated with a bituminous resin, providing a tensile strength of 60 KN/m, an elongation of ≤3%, and the same aperture size (12.7 × 12.7 mm).
Geogrid materials are manufactured by Shandong Lude New Engineering Materials Co., Ltd., in Taian, China. All mechanical properties were provided by the manufacturers and verified in accordance with GB/T 17689–2008 [21] and ASTM D6637–15 [22], which specify standard test methods for determining the tensile properties of geogrids. According to previous studies, basalt fiber geogrids are generally reported to exhibit relatively higher surface roughness and favorable chemical durability compared with glass fiber geogrids [14,19]. These material characteristics may influence soil–geogrid interaction behavior; however, no direct surface characterization or interface testing was conducted in the present study, and such effects are discussed qualitatively based on existing literature.
The geogrid reinforcements used in this study included glass fiber geogrids (GFGs) and basalt fiber geogrids (BFGs). Both geogrids feature a uniform mesh size of 12.7 × 12.7 mm and a nominal tensile strength exceeding 60 KN/m, as specified by the manufacturers.
According to common engineering practice in China, geogrids with tensile strengths of approximately 40–60 KN/m are widely adopted for embankment and subgrade reinforcement. In this study, geogrids within this strength range were selected to represent typical practical reinforcement conditions rather than to investigate the intrinsic material properties of the geogrids themselves.
The physical and mechanical parameters of the geogrids were adopted from the manufacturers’ technical data sheets, which were obtained based on standardized tensile testing procedures. No additional laboratory tests on the geogrids were conducted in this study, as the focus of the experimental program was placed on the comparative shear behavior of reinforced loess specimens under different moisture and confinement conditions. The key properties provided by the manufacturers are summarized in Table 2.

2.3. Specimen Preparation

Cylindrical specimens with a diameter of 39.1 mm and a height of 80 mm were prepared using the static compaction method to ensure uniform density and reduce structural disturbance during sample preparation. The specimen dimensions were selected to be compatible with the triaxial testing apparatus and to maintain consistency across all test series. It is acknowledged that, given the geogrid aperture size of 12.7 mm, the number of apertures spanning the specimen diameter is limited. Therefore, the test results are interpreted as reflecting comparative reinforcement effects under controlled laboratory conditions rather than representing a fully scale-independent soil–geogrid interaction behavior. The required mass of soil for each specimen was calculated according to Equation (1):
m0 = (1 + 0.01w0) ρd V
where m0 is the total soil mass (g), w0 is the target moisture content (%), ρd is the dry density (g/cm3), and V is the specimen volume (cm3).
For single-layer reinforcement, each specimen was compacted in two equal soil layers, with one geogrid sheet placed at the mid-height interface. For double-layer reinforcement, specimens were prepared in three soil layers, with two geogrid sheets symmetrically arranged along the specimen height. This configuration was adopted to maintain geometric symmetry along the specimen height and to reduce potential asymmetric deformation during shearing.
Prior to placing each geogrid layer, the surface of the underlying soil was lightly roughened to improve mechanical contact between the soil and the geogrid and to reduce potential slippage at the interface during specimen preparation. The geogrids were carefully positioned to ensure full contact with the surrounding soil and to prevent folding or misalignment during compaction. Direct loading on the geogrid surface and excessive compaction pressure were avoided to minimize potential damage to the reinforcement.
After specimen preparation, all samples were sealed with plastic film to limit moisture loss and stored at room temperature for 24 h to allow moisture redistribution within the specimen prior to triaxial testing. This conditioning process was intended to reduce initial moisture gradients and improve moisture uniformity across the specimen.

2.4. Testing Apparatus and Procedure

All tests were conducted using a GDS Unsaturated Soil Triaxial Testing System (GDS Instruments Ltd., London, UK) (Figure 2), which is capable of applying confining pressures up to 2 MPa and axial loads up to 100 KN. Although the apparatus allows independent control of air and water pressures, matric suction was not imposed or measured in the present study. The system was used primarily to accommodate partially saturated specimens prepared at controlled moisture contents under isotropic confining pressure.
The Consolidated Undrained (CU) triaxial tests were performed under confining pressures (σ3) of 100, 200, and 300 kPa. During consolidation, specimens were subjected to isotropic confining pressure while allowing drainage of pore air, whereas pore water drainage was restricted during the subsequent shearing stage. Axial loading was applied at a constant strain rate of 0.5 mm/min, following the general loading procedure recommended in ASTM D4767–11 [23]. All tests were terminated at an axial strain of 15%.
During shearing, axial stress, pore water pressure, and axial deformation were continuously recorded using the data acquisition system of the triaxial apparatus. Each test condition was repeated at least twice to assess the repeatability of the observed stress–strain response.
The experimental program included unreinforced loess specimens, as well as single-layer and double-layer glass fiber geogrid (GFG) and basalt fiber geogrid (BFG) reinforced specimens, tested under three moisture contents and three confining pressures. An overview of the testing matrix is summarized in Table 3.
Although the triaxial system is capable of independent air and water pressure control, matric suction was not imposed or monitored in this study. During consolidation, pore air was allowed to drain freely, while during the subsequent shearing stage, pore water drainage was restricted, following a consolidated undrained (CU) testing procedure applied to partially saturated specimens. It should be emphasized that matric suction was not measured or controlled in this study, and no soil-water characteristic curve (SWCC) was established. The selected moisture contents were used solely as specimen preparation parameters to investigate moisture-dependent mechanical behavior under partially saturated conditions.
For clarity, the term “CU” is used herein to describe the loading path and drainage condition of the pore water phase during shearing, rather than to imply full saturation of the specimens.

3. Experimental Results and Discussion

Cylindrical triaxial specimens with a diameter of 39.1 mm and a height of 80 mm were prepared by static compaction. The geogrids were cut into circular sheets with a diameter of 39.1 mm to match the specimen cross-section. The required dry soil mass (m0) to achieve the target dry density was calculated using Equation (1). During layered compaction, equal amounts of soil were placed in each layer to ensure that the overall dry density of the specimen met the design value.
For single-layer reinforcement, each specimen was compacted in two equal layers. At the designated reinforcement level, the surface of the lower layer was lightly roughened to improve mechanical contact between the soil and the geogrid, after which the geogrid was carefully positioned. The second soil layer was then added and compacted. To minimize potential damage to the reinforcement, direct loading or excessive compaction pressure on the geogrid surface was avoided. The configuration of the single-layer reinforced specimen is illustrated in Figure 3b, showing the prepared specimen and the top view of the embedded geogrid.
All specimens were prepared at a target dry density of 1.46 g/cm3 and controlled initial moisture contents of 13%, 15%, and 17%, which were selected to represent relatively dry, intermediate, and wet preparation conditions commonly encountered in engineering practice. Moisture content was used as a specimen preparation parameter, and no attempt was made to define or control matric suction during specimen preparation or testing.
After specimen preparation, isotropic consolidation was conducted using a GDS advanced triaxial testing system (GDS Instruments, London, UK). Consolidation confining pressures (σ3) of 100, 200, and 300 kPa were applied to establish the target stress state prior to shearing. Following consolidation, undrained shearing was performed at a constant axial strain rate of 0.5 mm/min. Each test was terminated when the axial strain reached 15%, at which point the complete stress–strain and pore water pressure responses were recorded. The general loading procedure was consistent with the recommendations of GB/T 50123–2019 (China) and ASTM D4767–11 (USA).
The detailed triaxial consolidated-undrained (CU) test program for both unreinforced and reinforced loess specimens is summarized in Table 4.
Building on the results of triaxial consolidated undrained (CU) tests conducted on loess specimens prepared at different moisture contents, this section further examines the shear behavior of geogrid-reinforced loess, with particular emphasis on the effects of reinforcement layering, confining pressure, and geogrid configuration on shear strength and deformation characteristics.
Figure 4 presents the Stress–strain responses of reinforced and unreinforced loess under CU triaxial conditions at different moisture contents and confining pressures. Unreinforced specimens (N = 0) are included as baseline references to quantify reinforcement-induced strength and ductility enhancement.

3.1. Effect of Moisture Content on Shear Behavior

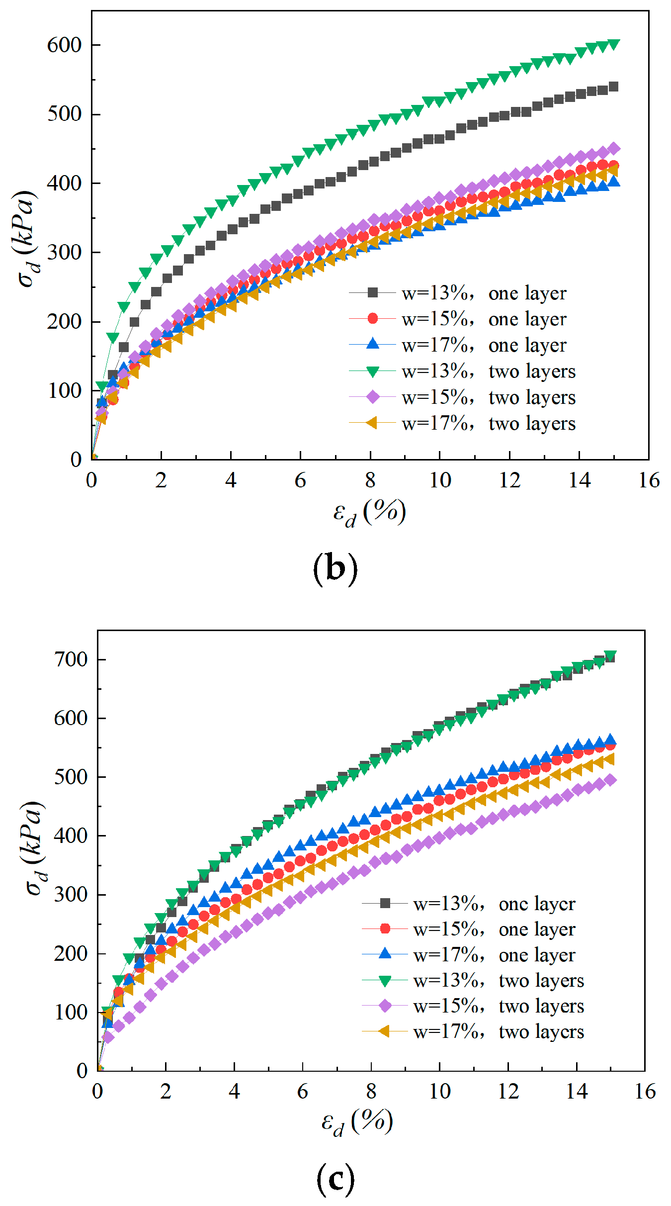
Figure 5 presents the stress–strain responses of glass fiber geogrid (GFG) reinforced loess obtained from consolidated undrained (CU) triaxial tests conducted at different moisture contents (w = 13%, 15%, and 17%). The results compare specimens reinforced with one and two geogrid layers, illustrating the effect of reinforcement configuration on the deformation response during shearing.
Figure 6 presents the stress–strain responses of loess reinforced with basalt fiber geogrids (BFGs) obtained from consolidated undrained (CU) triaxial tests conducted at different moisture contents (w = 13%, 15%, and 17%). Specimens reinforced with one and two geogrid layers are compared to examine the effect of reinforcement configuration on the stress–strain response during shearing.
Each test condition was repeated at least twice. The reported stress–strain curves represent representative responses, while the peak deviatoric stresses were averaged from repeated tests. The corresponding standard deviations were generally within 5–8%, indicating good repeatability of the experimental results.

3.2. Influence of Reinforcement Layers

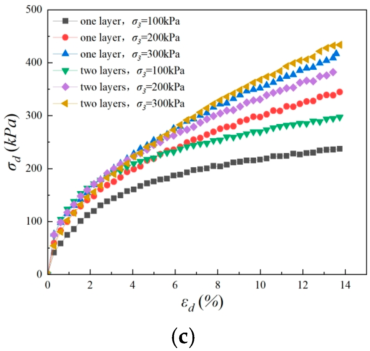
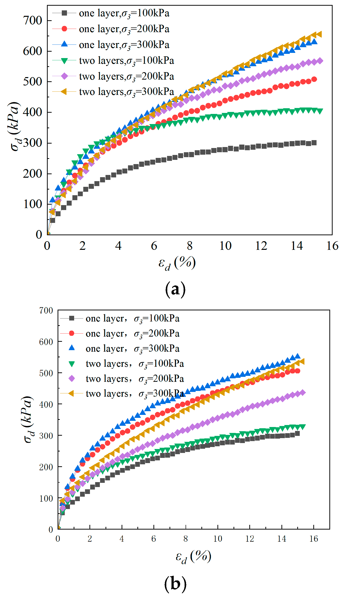
Figure 7 presents the stress–strain responses of loess reinforced with glass fiber geogrids (GFGs) obtained from consolidated undrained (CU) triaxial tests conducted under different confining pressures (σ3 = 100, 200, and 300 kPa). Specimens reinforced with one and two geogrid layers are compared to examine the effect of confining pressure on the stress–strain response during shearing.
All specimens exhibited a distinct strain-hardening response, characterized by a rapid increase in deviatoric stress at small axial strains followed by a gradual transition toward a stable residual stage. The peak deviatoric stress increased consistently with increasing confining pressure, reflecting the pressure-dependent shear strength typical of frictional geomaterials. Higher confining pressures restrained volumetric dilation tendencies and resulted in smoother stress–strain curves with improved post-peak stability.
For both single-layer and double-layer reinforced specimens, the influence of GFG reinforcement was more pronounced under lower confining pressures (σ3 = 100–200 kPa), where the soil skeleton provided relatively limited confinement. Under these conditions, the presence of the geogrid contributed more noticeably to strength development and deformation resistance. At higher confining pressure (σ3 = 300 kPa), although the absolute shear strength continued to increase, the relative incremental benefit provided by reinforcement became less pronounced, as the confining stress itself dominated the overall shear resistance.
The number of reinforcement layers also affected the observed mechanical response. Specimens reinforced with two geogrid layers consistently exhibited higher peak strength and more ductile post-peak behavior compared with the single-layer case. This behavior is consistent with an increased contribution of reinforcement distributed over the specimen height, which may facilitate more uniform deformation during shearing.
Overall, the results indicate that the combined influence of confinement level and reinforcement configuration governs the shear performance of reinforced loess. While increasing confining pressure enhances overall strength and stability, it also reduces the relative contribution of reinforcement to the observed shear resistance. These findings suggest that geogrid reinforcement is particularly effective in improving the mechanical response of loess under low-to-moderate confinement conditions, such as those commonly encountered in shallow subgrades and near-surface slope zones.
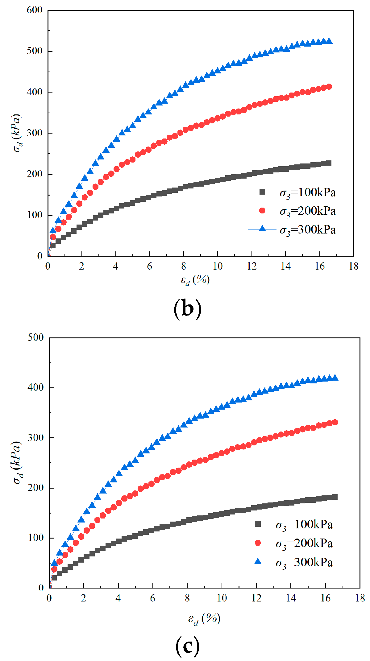
Figure 8 presents the stress–strain behavior of loess reinforced with basalt fiber geogrids (BFGs) obtained from consolidated undrained (CU) triaxial tests conducted under different confining pressures (σ3 = 100, 200, and 300 kPa). Specimens reinforced with one and two geogrid layers are compared to examine the effect of confining pressure on the stress–strain response during shearing.
All specimens exhibited typical strain-hardening stress–strain responses, characterized by a rapid increase in deviatoric stress at small axial strains followed by a gradual transition toward a stable plateau at larger strains. As the confining pressure increased, both the overall shear strength and deformation capacity of the loess increased noticeably. Higher confining pressures resulted in smoother stress–strain curves and improved post-peak ductility, indicating enhanced stability of the mechanical response under increased confinement.
Compared with unreinforced specimens, loess reinforced with basalt fiber geogrids (BFGs) exhibited higher shear strength and improved ductility across all confining pressure levels. The reinforcement effect was more pronounced at lower confining pressure (σ3 = 100 kPa), where reinforced specimens showed a clearer enhancement in peak strength and deformation resistance relative to the unreinforced loess. As the confining pressure increased, the incremental strength gain associated with reinforcement gradually decreased, as the confining stress itself became the dominant contributor to shear resistance. Nevertheless, even at σ3 = 300 kPa, BFG-reinforced specimens consistently exhibited higher residual strength than the unreinforced specimens, indicating that the presence of the geogrid continued to influence the post-peak mechanical response.
Notably, BFG-reinforced specimens consistently exhibited higher residual strength and greater ductility than those reinforced with GFG under comparable test conditions. This performance difference may be associated with the comparatively higher surface roughness and improved chemical stability of basalt fibers, as reported in previous studies [18,20]. A rougher reinforcement surface can promote enhanced soil–geogrid interfacial friction and facilitate more progressive stress transfer during shear deformation, thereby contributing to sustained post-peak resistance. However, it should be emphasized that the present interpretation is based solely on macroscopic mechanical responses observed in the triaxial tests. No direct surface characterization, interface testing, or durability assessment of the geogrids was conducted in this study. Therefore, the observed superiority of BFG reinforcement should be interpreted as a phenomenological outcome under the tested conditions, rather than definitive evidence of underlying micro-mechanical mechanisms. The results nonetheless indicate that BFG reinforcement provides improved deformation compatibility and residual strength retention compared with GFG within the investigated moisture and confinement ranges. These differences were reflected in the post-peak stress–strain response, where BFG-reinforced loess maintained a more gradual strength reduction at large axial strains. The observed behavior indicates that the type of geogrid reinforcement influences the post-peak mechanical response of reinforced loess, particularly under higher confinement and large deformation conditions.
Overall, the results indicate that basalt fiber geogrid (BFG) reinforcement enhances both the shear strength and deformation capacity of loess, particularly by maintaining higher resistance in the post-peak deformation stage. The observed pressure-dependent trends reflect the combined influence of confining stress level and reinforcement configuration on the mechanical response of reinforced loess. These findings provide useful experimental evidence for understanding the role of geogrid reinforcement in improving the performance of loess under varying confinement conditions, with potential implications for near-surface geotechnical applications.

3.2.1. Differential Reinforcement Efficiency and Stress Mobilization

A clear difference was observed between loess reinforced with glass fiber geogrids (GFGs) and basalt fiber geogrids (BFGs) in terms of their stress–strain evolution during shearing. Under low confining pressure (σ3 = 100 kPa), GFG-reinforced specimens exhibited a relatively rapid increase in deviatoric stress at small axial strains, followed by an early tendency toward stabilization. In contrast, BFG-reinforced specimens showed a more gradual but sustained increase in deviatoric stress with increasing axial strain, resulting in higher resistance being maintained at larger deformation levels.
This contrast suggests that GFG- and BFG-reinforced loess exhibit different stress–strain evolution characteristics during shearing. GFG-reinforced specimens tend to display a higher initial stiffness and a more rapid strength increase at small axial strains, followed by an earlier transition toward a stabilized stress level at larger deformations. In comparison, BFG-reinforced specimens show a more gradual but sustained increase in deviatoric stress with increasing strain, which is reflected in higher residual strength being maintained at large deformation stages.
These observed behavioral differences suggest potential implications for the application of different geogrid types in reinforced loess. BFG-reinforced specimens exhibited more sustained resistance and greater ductility at large deformation levels, which may be advantageous in applications where post-peak deformation capacity is a key consideration. In contrast, GFG-reinforced specimens demonstrated higher initial stiffness and more rapid strength development at small strains, indicating their potential suitability for applications where deformation control at early loading stages is of primary importance. It should be noted that these implications are inferred from laboratory-scale triaxial test results and should be further evaluated in conjunction with project-specific conditions.

3.2.2. Confinement-Dependent Reinforcement Transition

With increasing confining pressure, the stress–strain response of geogrid-reinforced loess exhibits a noticeable change in the relative contribution of reinforcement to the overall mechanical behavior. Under lower confinement, reinforcement effects are more clearly reflected in the early-stage stress–strain response, whereas under higher confinement, the influence of reinforcement becomes more evident in the post-peak and large-strain behavior. This trend suggests that confinement level plays a key role in governing how reinforcement contributes to the observed shear response of reinforced loess.
The mechanical response of geogrid-reinforced loess exhibited clear differences under varying confining pressures. At low confinement (σ3 = 100 kPa), reinforcement effects were primarily reflected in the early-stage stress–strain response, where reinforced specimens showed enhanced initial stiffness and peak strength compared with unreinforced loess.
At moderate confinement (σ3 = 200 kPa), reinforced specimens displayed a more pronounced improvement in deformation capacity, with a smoother transition from peak to post-peak behavior. This indicates that the contribution of reinforcement extended beyond the initial loading stage and became more evident over a wider strain range.
At high confinement (σ3 = 300 kPa), the stress–strain responses of reinforced loess were characterized by stable post-peak behavior and reduced sensitivity to further increases in confinement, suggesting that the overall mechanical response was increasingly governed by the combined effect of confining stress and reinforcement configuration.
Differences between BFG- and GFG-reinforced specimens were also observed across the examined confinement levels. BFG-reinforced loess generally exhibited a more gradual and continuous stress–strain evolution, whereas GFG-reinforced specimens showed a more abrupt transition between deformation stages. These observations suggest that the type of geogrid reinforcement influences the manner in which shear resistance develops with increasing deformation under different confinement conditions.

3.2.3. Implications for Design and Constitutive Modeling

The experimental results indicate that the shear strength behavior of geogrid-reinforced loess cannot be adequately described by a single linear Mohr–Coulomb failure envelope. Instead, the strength response exhibits a clear nonlinear dependence on confining pressure and reinforcement configuration. This nonlinear strength characteristic reflects the evolving stress–strain response of the reinforced loess during shearing, suggesting that simplified linear strength assumptions may be insufficient for representing the mechanical behavior of geogrid-reinforced loess over a wide range of stress states.
From a constitutive modeling perspective, the observed shear behavior of geogrid-reinforced loess can be described within the framework of the Unified Twin-Shear Strength Theory (UTSST), which accounts for the influence of the intermediate principal stress. By introducing a strain-dependent reinforcement contribution coefficient, R(εd), and incorporating confinement-related parameters to reflect the experimentally observed stress–strain trends, the original yield function proposed by Yu, M.H. [9] is extended to better represent the nonlinear strength response of reinforced loess. The modified yield criterion is expressed as
f(σ1,σ2,σ3) = (σ1σ3) + α(σ2σ3) − [c0 + R(εd)cr] − (σ3 tan φ)
where σ1, σ2 and σ3 are the major, intermediate, and minor principal stresses, respectively; α is the intermediate principal stress coefficient defined in the original UTSST framework; c0 and φ represent the apparent cohesion and internal friction angle of the unreinforced loess; cr is an equivalent reinforcement-related strength parameter calibrated from the experimental data; and R(εd) is a strain-dependent mobilization function (0 ≤ R ≤ 1) introduced to describe the progressive activation of reinforcement effects during shearing. It should be emphasized that the reinforcement contribution is introduced in an equivalent and phenomenological manner, without explicitly modeling tensile stress transfer or interface mechanics.
This constitutive approach provides a confinement-sensitive description of the stress–strain response of geogrid-reinforced loess based on the experimental observations. By linking laboratory results with a constitutive representation, the model offers a quantitative means of capturing the influence of confinement and reinforcement configuration on shear behavior. The proposed formulation may be useful as a reference framework for further analytical or numerical studies of reinforced loess, with its applicability to design requiring additional verification.

3.3. Comparative Shear Behavior of GFG- Reinforced and BFG-Reinforced Loess with Single and Double Reinforcement Layers

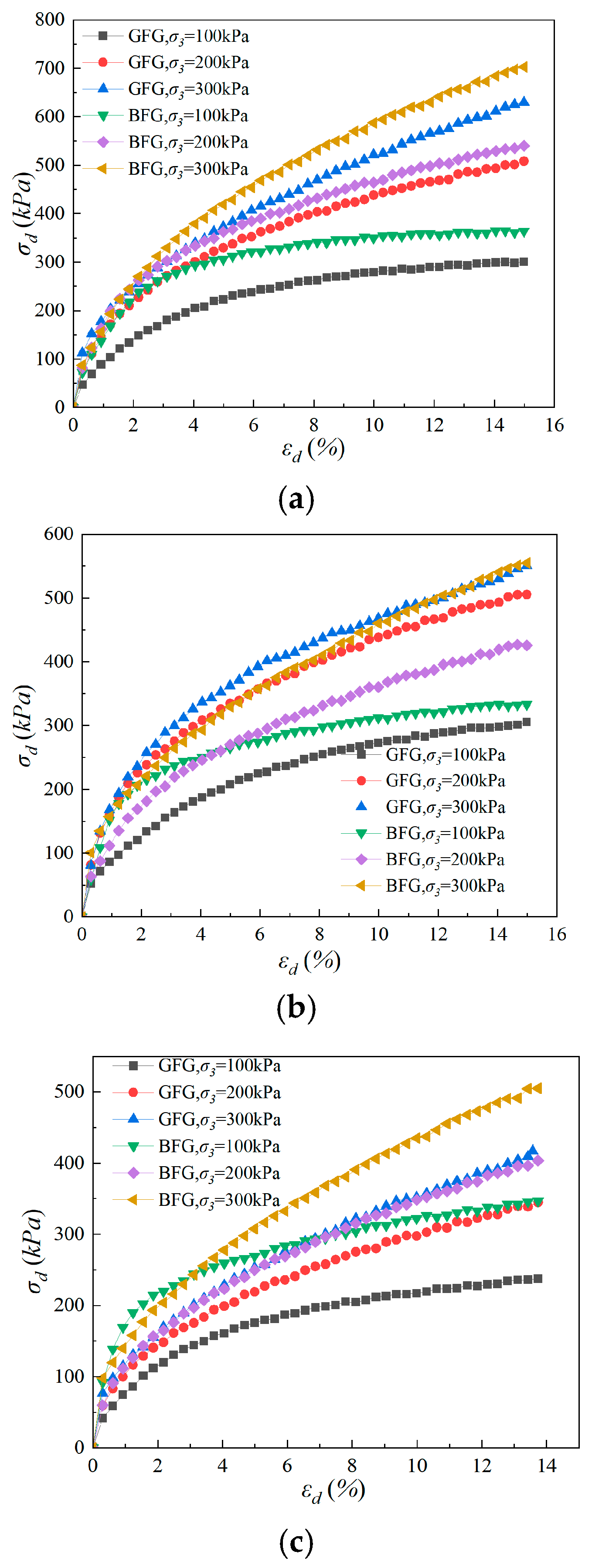
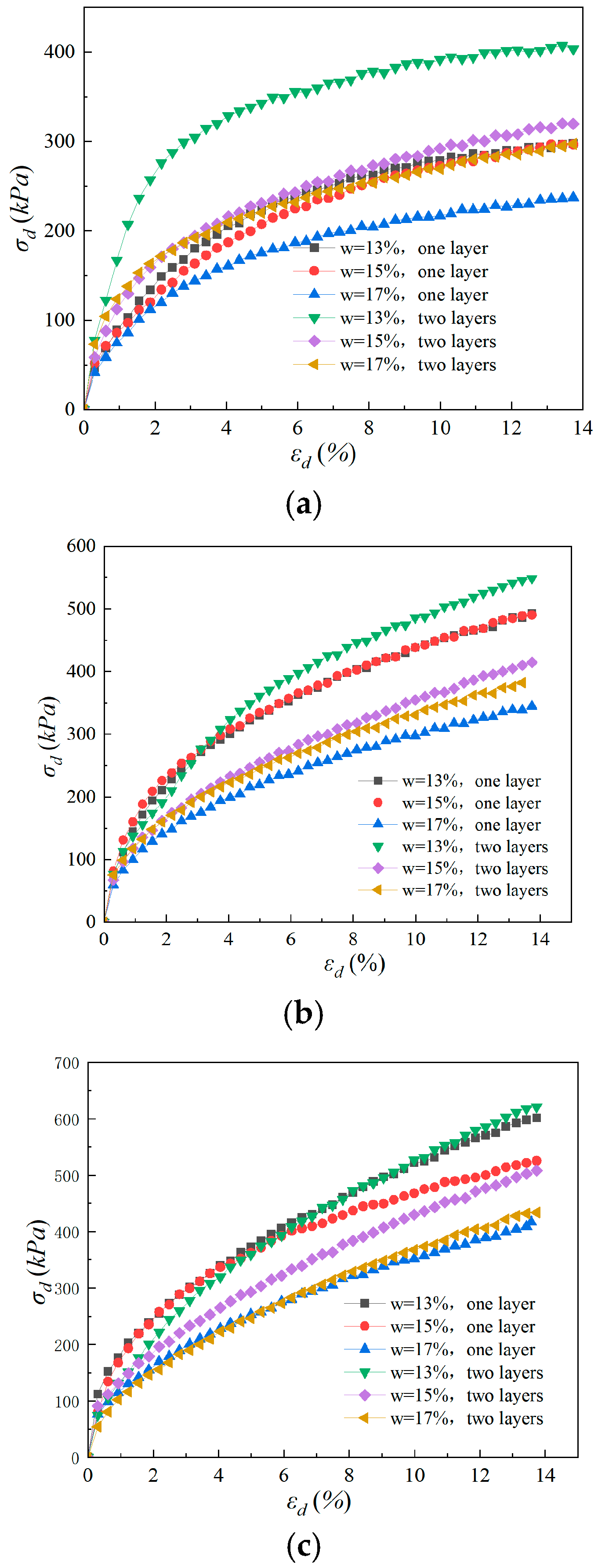
Figure 9 presents the stress–strain relationships of loess reinforced with two different geogrid types, namely glass fiber geogrid (GFG) and basalt fiber geogrid (BFG), obtained from consolidated undrained (CU) triaxial tests. The results correspond to specimens reinforced with a single geogrid layer, enabling a comparative assessment of the macroscopic shear response and deformation behavior of reinforced loess under identical test conditions.
Figure 10 presents the stress–strain relationships of loess reinforced with different geogrid types, namely glass fiber geogrid (GFG) and basalt fiber geogrid (BFG), obtained from consolidated undrained (CU) triaxial tests. In this series, all specimens were reinforced with two geogrid layers. The results are presented to facilitate comparison with the corresponding single-layer reinforced specimens shown in Figure 10, highlighting the effect of reinforcement layering on the observed shear response and deformation behavior under identical test conditions.

3.3.1. Differences in Stress–Strain Evolution and Post-Yield Response

While the previous sections established the overall strengthening effect of confinement, the present results reveal clear differences in post-yield stress–strain behavior between GFG- and BFG-reinforced loess. Under single-layer reinforcement conditions (Figure 10), GFG-reinforced specimens exhibit an early increase in deviatoric stress followed by a relatively stable plateau at moderate axial strains. In contrast, BFG-reinforced specimens continue to exhibit gradual stress development at larger axial strains (approximately 8–10%), resulting in higher residual strength levels.
These differences indicate that GFG reinforcement is associated with a rapid enhancement of stiffness and strength during the early stages of loading, whereas BFG reinforcement is characterized by a more progressive stress–strain response and improved post-yield ductility. As a result, BFG-reinforced loess demonstrates greater deformation tolerance and sustained load-bearing capacity at large strains.
From an engineering perspective, the observed differences suggest that BFG reinforcement may be more suitable for applications where large deformation capacity and post-peak stability are critical, while GFG reinforcement may be advantageous in situations requiring enhanced initial stiffness and early-stage deformation control. These interpretations are based on observed macroscopic stress–strain responses under controlled laboratory conditions.

3.3.2. Effect of Reinforcement Layer Number on Strength Development

The transition from single-layer to double-layer reinforcement leads to a pronounced increase in shear strength, particularly under low confinement (σ3 = 100 kPa). For BFG-reinforced loess, the peak deviatoric stress increases by approximately 22–28% when the number of reinforcement layers is doubled, whereas the corresponding increase for GFG-reinforced specimens is limited to about 10–15%. This result indicates that the strength enhancement obtained by adding a second reinforcement layer is material-dependent.
The greater strength increment observed in BFG-reinforced specimens suggests that multiple reinforcement layers contribute more effectively to the overall load-bearing capacity of the soil mass. In contrast, the additional strength gain provided by a second GFG layer is comparatively modest, indicating a reduced sensitivity to reinforcement layering.
These results demonstrate that reinforcement layering plays an important role in improving the mechanical performance of reinforced loess, especially under low confinement conditions where the soil skeleton provides limited lateral restraint. The observed differences between GFG and BFG reinforcement highlight the importance of reinforcement material selection when multilayer configurations are adopted in engineering applications.

3.3.3. Effect of Moisture Content on Stress–Strain Behavior of Reinforced Loess

The stress–strain response of reinforced loess exhibits clear sensitivity to moisture content. As the moisture content increases from 13% to 17%, both GFG- and BFG-reinforced specimens show a gradual reduction in peak deviatoric stress accompanied by enhanced ductility. This trend is observed consistently across different confining pressures and reinforcement configurations.
At lower moisture contents, reinforced loess exhibits higher initial stiffness and peak strength, whereas specimens prepared at higher moisture contents demonstrate smoother stress–strain curves and improved post-peak deformation capacity. These observations indicate that moisture content plays an important role in governing the macroscopic shear response of reinforced loess.
Although reinforcement remains effective across the investigated moisture range, the magnitude of strength enhancement provided by geogrid reinforcement decreases with increasing moisture content. This behavior suggests that moisture conditions influence the relative effectiveness of reinforcement in improving shear resistance, particularly under low to moderate confinement.

3.3.4. Large-Strain Behavior of Reinforced Loess

Under high confining pressure (σ3 = 300 kPa) and elevated moisture content (w = 17%), noticeable differences are observed in the large-strain stress–strain response of loess reinforced with different geogrid types. BFG-reinforced specimens exhibit a more gradual post-peak response, characterized by sustained deviatoric stress at large axial strains, whereas GFG-reinforced specimens tend to show a more pronounced stress plateau following peak strength.
The smoother post-peak behavior observed in BFG-reinforced loess indicates enhanced deformation tolerance and improved residual strength under combined high confinement and moisture conditions. In contrast, GFG-reinforced specimens display a relatively sharper transition toward a stable stress level after yielding, suggesting a more limited capacity to sustain additional deformation.
These differences in large-strain response highlight the influence of reinforcement type on the post-peak behavior of reinforced loess under unfavorable moisture and stress conditions. Although reinforcement remains effective for both materials, BFG reinforcement demonstrates superior capacity to maintain load-bearing performance at large strains, which may be beneficial for applications where deformation control and post-peak stability are of concern. The interpretations presented here are based on macroscopic stress–strain observations obtained from laboratory tests.

3.3.5. Implications for Reinforced Loess Design Considerations

The experimental results provide useful insights into the selection of geogrid reinforcement for loess under varying moisture and confinement conditions. The effectiveness of reinforcement layering is shown to depend on the reinforcement material, particularly under moderate moisture content (w ≈ 15%), where differences in stress–strain response between GFG- and BFG-reinforced loess are most evident.
In general, BFG reinforcement demonstrates a greater capacity to sustain load-bearing performance at large strains, while GFG reinforcement is associated with enhanced initial stiffness and early-stage deformation control. These contrasting characteristics suggest that reinforcement material selection should consider both the required stiffness and the deformation tolerance of the reinforced soil system.
The findings of this study highlight that reinforcement configuration and material type play important roles in influencing the mechanical response of reinforced loess. While the present results are based on laboratory-scale tests with uniform reinforcement layouts, they may provide qualitative guidance for the preliminary design and comparative evaluation of reinforced loess structures. Further experimental and numerical studies are required to investigate alternative reinforcement arrangements and to establish optimized design strategies under field conditions.

4. Model Interpretation Based on Regression Analysis

4.1. Regression Calibration of the Modified Twin-Shear Strength Expression

To provide a quantitative interpretation of the experimentally observed strength enhancement in reinforced loess, regression analysis was conducted based on the results of consolidated undrained (CU) triaxial tests performed under confining pressures of 100, 200, and 300 kPa. Rather than attempting to establish a fully predictive constitutive model, the present analysis aims to examine whether a regression-based twin-shear strength formulation can reasonably reproduce the observed strength trends of reinforced loess within the tested parameter range.
The formulation incorporates an equivalent reinforcement contribution through empirically calibrated parameters, allowing the experimentally observed nonlinear variation in shear strength with confinement and deformation to be approximated in a simplified manner. It should be emphasized that the proposed expression is intended as a phenomenological description of the test results and does not explicitly model geogrid tensile forces or soil–reinforcement interface mechanics.
The empirical strength expression adopted in this study is written as
τ = c0 + R(εd )cr + σ3 tan φ
where τ is the shear strength, c0 is the intrinsic soil cohesion, cᵣ represents the reinforcement-induced equivalent cohesion, φ is the internal friction angle, R(εd) is a strain-dependent reinforcement mobilization coefficient, and σ3 is the confining pressure. The parameters cᵣ, R(εd), and φ were calibrated using least-squares fitting against the experimental stress–strain data for both GFG- and BFG-reinforced specimens.

4.2. Regression Performance and Goodness-of-Fit Evaluation

A comparison between the measured peak shear strengths (τexp) and the corresponding values obtained from the regression expression (τpred) is presented in Figure 11. The fitted regression line closely follows the 1:1 reference line, indicating a strong goodness-of-fit between the empirical formulation and the experimental data across all confining pressures and reinforcement configurations.
The determination coefficient R2, used to quantify the proportion of variance in the experimental data explained by the regression model, is defined as
R 2 = 1 i = 1 n τ exp , i τ pred , i 2 i = 1 n τ exp , i τ ¯ exp 2
where τexp,i and τpred,i are the measured and fitted shear strengths at data point i, τ ¯ exp is the mean experimental value, and n is the number of observations.
Using all CU triaxial test data, the regression yielded determination coefficients of R2 = 0.962 for GFG-reinforced loess and R2 = 0.972 for BFG-reinforced loess. These values indicate that more than 96% of the observed strength variation can be described by the regression expression, demonstrating its statistical adequacy in representing the experimental strength trends within the investigated range of confinement and reinforcement conditions.
Figure 11 comparison between measured and fitted peak shear strengths of reinforced loess under CU triaxial conditions.

4.3. Residual Distribution and Parameter Interpretation

To further evaluate the robustness of the regression fitting, the residuals defined as (Δτ = τexpτpred) were analyzed, as shown in Figure 12. The residuals are randomly distributed around zero without evident systematic bias, suggesting that the regression expression neither consistently overestimates nor underestimates the measured shear strength. This behavior confirms the internal consistency of the regression analysis and the absence of directional fitting errors.
For interpretative purposes, the mobilized equivalent strength parameters may be expressed in the following empirical form:
ceq = c0 + βR(εd)
φeq = φ0 + γR(εd)
where ceq and φeq denote the mobilized equivalent cohesion and friction angle, respectively, and β and γ are regression coefficients determined from the experimental data. These expressions are not intended as constitutive laws, but rather as convenient empirical descriptors that reflect the observed evolution of strength parameters associated with reinforcement mobilization.
These equations provide a reliable framework for predicting the mobilized equivalent cohesion and friction angle of reinforced loess under varying moisture and confinement conditions.
Overall, the regression-based interpretation demonstrates that the modified twin-shear expression provides a statistically consistent and physically reasonable description of the experimental strength data for geogrid-reinforced loess. The formulation serves as a practical tool for summarizing the combined influence of confinement and reinforcement mobilization observed in the laboratory tests, while avoiding over-interpretation beyond the experimental evidence.

4.4. Sensitivity Analysis and Robustness of the Empirical Model

To further assess the robustness of the proposed empirical model, a sensitivity analysis was conducted focusing on the mathematical formulation of the strain-dependent reinforcement mobilization coefficient, R(εd). The primary analysis presented in Section 4.1, Section 4.2 and Section 4.3 utilized a specific functional form for R(εd) to achieve the high coefficients of determination (R2 > 0.96). To evaluate whether the model’s performance is overly dependent on this particular choice, two alternative and commonly used functional forms for the mobilization coefficient were tested against a representative subset of the experimental data (e.g., BFG-reinforced specimens at w = 15% and σ3 = 200 kPa). The results indicated that all tested formulations for R(εd) were capable of capturing the general stress–strain trend with good qualitative agreement (R2 > 0.92 in all cases). However, the original formulation employed in this study yielded the most consistent quantitative fit across the broadest range of moisture contents, confining pressures, and reinforcement configurations, as evidenced by the lowest root-mean-square error (RMSE). This sensitivity analysis confirms that the core phenomenological concept—a gradually mobilizing reinforcement contribution—is essential and robust for replicating the observed nonlinear strength evolution. While the precise optimal equation for R(εd) may be subject to refinement, the analysis underscores that the proposed modeling framework is a stable and practical empirical tool within the investigated parameter space.

5. Discussion

5.1. Influence of Moisture Condition on Shear Response of Reinforced Loess

The experimental results indicate that moisture variation plays a critical role in governing the shear response of both unreinforced and geogrid-reinforced loess. With increasing moisture content, a systematic reduction in peak shear strength and initial stiffness was observed, accompanied by a more gradual post-peak response. This trend is consistent with previous triaxial studies on loess and other collapsible soils, where increased water content weakens interparticle bonding and promotes ductile deformation behavior [2,13,14].
For reinforced specimens, the strength-enhancing effect of geogrids persisted across the investigated moisture range; however, the magnitude of reinforcement benefit exhibited a clear dependence on moisture condition. At lower moisture contents, reinforcement primarily contributed to enhanced peak strength and stiffness, whereas at higher moisture contents, its contribution was more pronounced in sustaining post-peak resistance and deformation capacity. This observation suggests that moisture variation may influence not only the intrinsic strength of the loess matrix but also the manner in which reinforcement effects are mobilized during shear deformation.
It should be emphasized that the present interpretation is based on moisture-controlled tests without direct measurement or control of matric suction. Therefore, the observed moisture-dependent trends are interpreted in terms of macroscopic mechanical response rather than suction-driven mechanisms. Within this framework, the results highlight the importance of considering moisture conditions when evaluating the performance of reinforced loess under field-relevant conditions.

5.2. Comparative Behavior of GFG- and BFG-Reinforced Loess

Distinct differences were observed between specimens reinforced with glass fiber geogrids (GFGs) and basalt fiber geogrids (BFGs), particularly in terms of post-peak behavior and residual strength. Under comparable moisture contents and confining pressures, BFG-reinforced specimens generally exhibited higher residual strength and greater deformation capacity than those reinforced with GFG. These differences became more evident at higher moisture contents and confining pressures.
Such behavior may be associated with differences in material stiffness, surface characteristics, and interaction efficiency between the geogrid and the surrounding soil. Previous studies have reported that basalt fiber-based reinforcements tend to exhibit favorable interfacial friction characteristics and chemical stability under humid conditions [18,20]. In the present study, however, no direct surface characterization or durability testing was conducted. Accordingly, the proposed explanation is based on observed macroscopic mechanical responses rather than direct measurements of interface properties.
The results therefore suggest that BFG reinforcement may provide improved deformation compatibility and sustained load-carrying capacity under the tested conditions, while GFG reinforcement appears more effective in enhancing initial stiffness and peak strength. These tendencies should be interpreted as comparative trends within the experimental framework rather than definitive material superiority.

5.3. Positioning of Novelty and Comparative Analysis with Existing Literature

The experimental findings of this study extend the current understanding of reinforced soil mechanics by addressing specific gaps, as summarized in Table 5. While prior research has established foundational knowledge in separate domains, this work integrates these aspects to provide new insights.

5.4. Effect of Reinforcement Layering and Stress Redistribution

Increasing the number of reinforcement layers resulted in a noticeable improvement in shear resistance and post-peak stability, particularly under low to moderate confining pressures. Compared with single-layer configurations, two-layer reinforced specimens showed delayed strength degradation and a more stable stress–strain response.
This behavior may reflect a redistribution of shear stresses within the reinforced soil mass, where multiple reinforcement layers contribute to a broader zone of load transfer and deformation accommodation. The effect was more pronounced for BFG-reinforced specimens, suggesting that material properties of the reinforcement may influence the efficiency of layer interaction. Nevertheless, given the limited specimen size and the number of reinforcement apertures across the specimen diameter, the observed enhancement should be interpreted with caution.
The present results primarily highlight the relative influence of reinforcement layering under controlled laboratory conditions, and they are not intended to provide scale-independent reinforcement efficiency values. Further investigation using larger specimens or alternative testing configurations would be beneficial for evaluating scale effects.

5.5. Implications for Constitutive Interpretation

The modified twin-shear strength framework employed in this study provides a convenient phenomenological representation of the observed strength evolution in reinforced loess. By introducing a strain-dependent reinforcement contribution, the model is able to capture the gradual mobilization of reinforcement effects and the associated nonlinearity in shear response.
It should be noted that the adopted formulation is empirical in nature and does not explicitly model soil–reinforcement interface mechanics or reinforcement tensile behavior. Instead, it offers a macroscopic interpretation consistent with the experimental observations. As such, the proposed approach is intended to support comparative analysis and trend interpretation rather than serve as a fully predictive constitutive model.
Future developments could focus on incorporating explicit interface mechanics or extending the framework to more advanced numerical formulations. However, such extensions are beyond the scope of the present study.

5.6. Engineering Relevance and Limitations

Despite the aforementioned limitations, the experimental findings provide useful insights into the behavior of geogrid-reinforced loess under varying moisture conditions. The results emphasize the importance of considering moisture variation, reinforcement material, and layer configuration in the design of reinforced loess structures.
It is acknowledged that the laboratory-scale nature of the tests, the limited number of reinforcement apertures, and the absence of direct interface or microstructural characterization restrict the generalization of the conclusions. Accordingly, the findings should be viewed as indicative of comparative mechanical trends rather than definitive performance metrics.

6. Conclusions

This study systematically investigated the shear behavior of geogrid-reinforced loess through an integrated experimental and empirical modeling approach, specifically targeting the under-researched interplay between moisture content, geogrid type, and reinforcement configuration. The main conclusions, which advance the understanding beyond the current state-of-the-art, are as follows:
(1)
Moisture content and confining pressure remain dominant factors controlling the mechanical response of both unreinforced and reinforced loess. However, reinforcement significantly mitigates the strength loss induced by increasing moisture, particularly by preserving residual strength and ductility.
(2)
A key novel finding is the distinct performance difference between GFG and BFG. BFG reinforcement consistently provided superior post-peak ductility and higher residual strength, which is hypothesized to stem from better interfacial interaction, a critical insight for material selection in design.
(3)
The efficiency of multi-layer reinforcement is non-linear and material-dependent. Adding a second BFG layer yielded a significantly greater strength increment (22–28%) compared to GFG (10–15%), highlighting a previously unreported synergy between reinforcement material and layering strategy in loess.
(4)
From a constitutive modeling perspective, the major contribution is the successful integration of a strain-dependent reinforcement mobilization coefficient into the UTSST framework. The modified model (R2 > 0.96) effectively captures the nonlinear strength evolution, offering a practical empirical tool for approximating reinforced loess behavior under the studied conditions.
These conclusions provide a quantitative basis for optimizing geogrid selection and layout in loess engineering. Future work incorporating direct interface characterization and field-scale validation is recommended to translate these laboratory-scale insights into generalized design protocols.

Author Contributions

Conceptualization, T.X.; Methodology, T.X.; Validation, T.X.; Formal analysis, T.X.; Data curation, T.X.; Writing—original draft, T.X.; Writing—review & editing, T.X.; Writing—review & editing, N.I.; Supervision, N.I. All authors have read and agreed to the published version of the manuscript.

Funding

This work was supported by the Xi’an Siyuan University President’s Fund Research Project (Project No. XASYB24ZHD05). Investor: Xi’an Siyuan University, Investment Amount: 60,000 RMB.

Data Availability Statement

The original contributions presented in this study are included in the article material. Further inquiries can be directed to the corresponding author.

Acknowledgments

The authors gratefully acknowledge the support of Civil & Architecture Engineering, Xi’an Technological University.

Conflicts of Interest

The authors declare no conflicts of interest.

References

  1. Dijkstra, T.A.; Rogers, C.D.F.; Smalley, I.J.; Derbyshire, E.; Li, Y.J.; Meng, X.M. The loess of north-central China: Geotechnical properties and their relation to slope stability. Eng. Geol. 1994, 36, 153–171. [Google Scholar] [CrossRef]
  2. Chen, L.; Peng, J.; Xie, F.; Leng, Y.; Ma, P.; Nan, J.; Yan, R. Effect of moisture content on the time-dependent mechanical characteristics of loess. Environ. Earth Sci. 2022, 81, 217. [Google Scholar] [CrossRef]
  3. Li, H.; Chen, Z.; Zhu, L.; Tang, L.; Liu, G.; Qu, L.; Liao, X.; Wang, Z.; Zeng, Z.; Zhou, Z. Dynamic properties of Malan loess based on triaxial shear tests. Geol. J. 2024, 59, 2487–2495. [Google Scholar] [CrossRef]
  4. Liu, C.N.; Yang, K.H.; Nguyen, M.D. Behavior of geogrid-reinforced sand and effect of reinforcement anchorage in large-scale plane strain compression. Geotext. Geomembr. 2014, 42, 479–493. [Google Scholar] [CrossRef]
  5. Wang, K.; Qiu, Z.; Hu, H.; Sun, M.; Wang, J. Macro–meso mechanical behavior and degradation mechanisms of silty clay subgrade subjected to coupled traffic loading and dry–wet cycles. Transp. Geotech. 2025, 55, 101725. [Google Scholar] [CrossRef]
  6. Yang, Y.; Li, X.A.; Wang, L.; Qin, B.; Hao, Z.; Li, L.; Zhou, B. Discrete element simulation of loess disintegration with moisture-dependent bond weakening. Geotech. Geol. Eng. 2025, 43, 344. [Google Scholar] [CrossRef]
  7. Prakash, K.K.; Rathod, D.; Muthu Kumaran, K. Role of geogrid reinforcement and its diverse applications in geotechnical engineering and allied fields: A state-of-the-art review. Aust. J. Civ. Eng. 2025, 23, 32–50. [Google Scholar] [CrossRef]
  8. Derksen, J.; Fuentes, R.; Ziegler, M. Geogrid–soil interaction: Experimental analysis of factors influencing load transfer. Geosynthetic. Int. 2023, 30, 315–336. [Google Scholar] [CrossRef]
  9. Yu, M.H. Twin-shear strength theory and its generalization. Sci. Sin. (Ser. A) 1985, 28, 1174–1183. [Google Scholar]
  10. Ding, X.M.; Luo, Z.G.; Ou, Q. Mechanical property and deformation behavior of geogrid-reinforced calcareous sand. Geotext. Geomembr. 2022, 50, 618–631. [Google Scholar] [CrossRef]
  11. Chen, X.; Zhang, J.; Li, Z. Shear behavior of a geogrid-reinforced coarse-grained soil based on large-scale triaxial tests. Geotext. Geomembr. 2014, 42, 312–328. [Google Scholar] [CrossRef]
  12. Han, B.; Ling, J.; Shu, X.; Gong, H.; Huang, B. Laboratory investigation of particle size effects on the shear behavior of aggregate–geogrid interfaces. Constr. Build. Mater. 2018, 158, 1015–1025. [Google Scholar] [CrossRef]
  13. Stacho, J.; Sulovska, M.; Slavik, I. Determining the shear strength properties of a soil–geogrid interface using a large-scale direct shear test apparatus. Period. Polytech. Civ. Eng. 2020, 64, 989–998. [Google Scholar] [CrossRef]
  14. Zhang, J.; Ji, M.; Jia, Y.; Miao, C.; Wang, C.; Zhao, Z.; Zheng, Y. Anisotropic shear strength behavior of soil–geogrid interfaces. Appl. Sci. 2021, 11, 11387. [Google Scholar] [CrossRef]
  15. Akosah, S.; Zhou, L.; Chen, J.F.; Korli Lawer, A. Experimental investigation on cyclic behavior of geogrid-reinforced coral sand from the South China Sea. Mar. Georesources Geotechnol. 2024, 42, 707–720. [Google Scholar] [CrossRef]
  16. Luo, Z.; Ding, X.; Ou, Q.; Zhang, L.; Zhang, T. Investigation of shear mechanical behaviors of geogrid–coral sand interfaces. Geosynth. Int. 2025, 32, 625–641. [Google Scholar] [CrossRef]
  17. Tao, H.; Wang, Y.; Zhang, J.; Liu, S. Experimental study on the moisture-dependent shear behavior of loess under triaxial compression. Bull. Eng. Geol. Environ. 2022, 81, 256. [Google Scholar]
  18. Mehrjardi, G.T.; Fuentes, R.; Detert, O. Mechanical characteristics of geogrids produced from recycled polyester. Geosynth. Int. 2025, 32, 194–204. [Google Scholar] [CrossRef]
  19. Zhang, G.; Zhang, H.; Sun, W. Effect of coating optimization on performances of glass fiber geogrid for semi-rigid base asphalt pavement. Geotext. Geomembr. 2022, 50, 337–346. [Google Scholar] [CrossRef]
  20. GB/T 50123—2019; Standard for Geotechnical Testing Method. The National Standard Compilation Groups of the People’s Republic of China, China Planning Press: Beijing, China, 2019.
  21. GB/T 17689—2008; Geosynthetics—Plastic Geogrids. General Administration of Quality Supervision, Inspection and Quarantine of the People’s Republic of China, Standardization Administration of China, Standards Press of China: Beijing, China, 2008.
  22. ASTM D6637–15; Standard Test Method for Determining Tensile Properties of Geogrids by the Single or Multi-Rib Tensile Method. ASTM International: West Conshohocken, PA, USA, 2015.
  23. ASTM D4767–11; Standard Test Method for Consolidated Undrained Triaxial Compression Test for Cohesive Soils. ASTM International: West Conshohocken, PA, USA, 2020.
Figure 1. This figure shows the appearance and structure of the two reinforcement types: (a) glass Fiber Geogrid, (b) basalt-fiber geogrid.
Figure 1. This figure shows the appearance and structure of the two reinforcement types: (a) glass Fiber Geogrid, (b) basalt-fiber geogrid.
Buildings 16 00897 g001
Figure 2. GDS Unsaturated Soil Triaxial Testing System.
Figure 2. GDS Unsaturated Soil Triaxial Testing System.
Buildings 16 00897 g002
Figure 3. Preparation of the example samples used in the triaxial cell: (a) Diagram of unreinforced and reinforced locations. (b) Soil Reinforcement Samples.
Figure 3. Preparation of the example samples used in the triaxial cell: (a) Diagram of unreinforced and reinforced locations. (b) Soil Reinforcement Samples.
Buildings 16 00897 g003
Figure 4. Unreinforced soil: (a) w = 13%, unreinforced soil; (b) w = 15%, unreinforced soil; (c) w = 17%, unreinforced soil.
Figure 4. Unreinforced soil: (a) w = 13%, unreinforced soil; (b) w = 15%, unreinforced soil; (c) w = 17%, unreinforced soil.
Buildings 16 00897 g004aBuildings 16 00897 g004b
Figure 5. Reinforced glass fiber geogrid with different layers: (a) w = 13%, reinforced glass fiber geogrid with different layers; (b) w = 15%, reinforced glass fiber geogrid with different layers; (c) w = 17%, reinforced glass fiber geogrid with different layers.
Figure 5. Reinforced glass fiber geogrid with different layers: (a) w = 13%, reinforced glass fiber geogrid with different layers; (b) w = 15%, reinforced glass fiber geogrid with different layers; (c) w = 17%, reinforced glass fiber geogrid with different layers.
Buildings 16 00897 g005aBuildings 16 00897 g005b
Figure 6. Reinforced Basalt fiber geogrid with different layers: (a) w = 13%, reinforced basalt fiber geogrid with different layers; (b) w = 15%, reinforced basalt fiber geogrid with different layers; (c) w = 17%, reinforced basalt fiber geogrid with different layers.
Figure 6. Reinforced Basalt fiber geogrid with different layers: (a) w = 13%, reinforced basalt fiber geogrid with different layers; (b) w = 15%, reinforced basalt fiber geogrid with different layers; (c) w = 17%, reinforced basalt fiber geogrid with different layers.
Buildings 16 00897 g006
Figure 7. Reinforced glass fiber geogrid with different layers: (a) σ3 = 100 kPa, reinforced glass fiber geogrid with different layers; (b) σ3 = 200 kPa, reinforced glass fiber geogrid with different layers; (c) σ3 = 300 kPa, reinforced glass fiber geogrid with different layers.
Figure 7. Reinforced glass fiber geogrid with different layers: (a) σ3 = 100 kPa, reinforced glass fiber geogrid with different layers; (b) σ3 = 200 kPa, reinforced glass fiber geogrid with different layers; (c) σ3 = 300 kPa, reinforced glass fiber geogrid with different layers.
Buildings 16 00897 g007
Figure 8. Reinforced basalt fiber geogrid with different layers: (a) σ3 = 100 kPa, reinforced basalt fiber geogrid with different layers; (b) σ3 = 200 kPa, reinforced basalt fiber geogrid with different layers; (c) σ3 = 300 kPa, reinforced basalt fiber geogrid with different layers.
Figure 8. Reinforced basalt fiber geogrid with different layers: (a) σ3 = 100 kPa, reinforced basalt fiber geogrid with different layers; (b) σ3 = 200 kPa, reinforced basalt fiber geogrid with different layers; (c) σ3 = 300 kPa, reinforced basalt fiber geogrid with different layers.
Buildings 16 00897 g008aBuildings 16 00897 g008b
Figure 9. Stress–strain behavior of loess reinforced with a single layer of glass fiber geogrid (GFG) and basalt fiber geogrid (BFG): (a) single layer, w = 13%; (b) single layer, w = 15%; (c) single layer, w = 17%.
Figure 9. Stress–strain behavior of loess reinforced with a single layer of glass fiber geogrid (GFG) and basalt fiber geogrid (BFG): (a) single layer, w = 13%; (b) single layer, w = 15%; (c) single layer, w = 17%.
Buildings 16 00897 g009
Figure 10. Stress–strain behavior of loess reinforced with two layers of glass fiber geogrid (GFG) and basalt fiber geogrid (BFG): (a) double-layer, w = 13%; (b) double-layer, w = 15%; (c) double-layer, w = 17%.
Figure 10. Stress–strain behavior of loess reinforced with two layers of glass fiber geogrid (GFG) and basalt fiber geogrid (BFG): (a) double-layer, w = 13%; (b) double-layer, w = 15%; (c) double-layer, w = 17%.
Buildings 16 00897 g010
Figure 11. Comparison between predicted and measured peak shear stresses of reinforced loess under CU triaxial conditions. The fitting line (solid) closely follows the 1:1 reference line (dashed), yielding R2 = 0.962 for GFG and R2 = 0.972 for BFG reinforced loess.
Figure 11. Comparison between predicted and measured peak shear stresses of reinforced loess under CU triaxial conditions. The fitting line (solid) closely follows the 1:1 reference line (dashed), yielding R2 = 0.962 for GFG and R2 = 0.972 for BFG reinforced loess.
Buildings 16 00897 g011
Figure 12. Residual distribution between fitted and measured shear strengths, showing random scatter around zero.
Figure 12. Residual distribution between fitted and measured shear strengths, showing random scatter around zero.
Buildings 16 00897 g012
Table 1. Basic physical properties of the loess sample.
Table 1. Basic physical properties of the loess sample.
SoilNatural Moisture Content (%)Dry Density (g/cm3)ProportionLiquid Limit (%)Plastic Limit (%)Plasticity IndexPorosity
silty clay15.801.462.7032.8021.6011.200.85
Table 2. Mechanical properties of the geogrid materials.
Table 2. Mechanical properties of the geogrid materials.
GeogridElongation at Break (%)Sizing Grid (mm)Fracture Strength (KN/m)
Warp DirectionBroadwise
Glass-fiber geogrid≤412.7 × 12.76060
Basalt-fiber geogrid≤312.7 × 12.76060
Table 3. Summary of triaxial test program.
Table 3. Summary of triaxial test program.
Reinforcement TypeLayers (N)Moisture (%)Confining Pressure (kPa)Number of Tests
None (Control)013, 15, 17100, 200, 3009
GFG1, 213, 15, 17100, 200, 30018
BFG1, 213, 15, 17100, 200, 30018
Table 4. Consolidated undrained triaxial testing scheme for loess specimens prepared at different moisture contents.
Table 4. Consolidated undrained triaxial testing scheme for loess specimens prepared at different moisture contents.
Reinforcement LayersCell Pressure (kPa) Under Different Geogrids
Glass Fiber GeogridBasalt-Fiber Geogrid
N = 0100100
200200
300300
N = 1100100
200200
300300
N = 2100100
200200
300300
Table 5. Positioning of this study’s contributions relative to key literature.
Table 5. Positioning of this study’s contributions relative to key literature.
Aspect of InvestigationKey Findings from Prior LiteratureNovel Contribution/Extension from This Study
Moisture effect on loessIncreased water content reduces strength and induces brittle-ductile transition [2,13,14].Quantifies this effect within a reinforced system and shows that moisture content differently modulates peak strength enhancement versus residual strength sustainment provided by geogrids.
Geogrid reinforcement benefitsGeogrids improve strength/stiffness, especially under low confinement [5,15,19].Provides a direct, systematic comparison of two fiber-based geogrids (GFG vs. BFG), identifying BFG’s superior efficacy in enhancing post-peak ductility and residual strength, and links this to material characteristics.
Multi-layer reinforcementAdditional layers generally improve performance [5,17].Quantifies the layer efficiency gain under varying moisture, revealing that the incremental benefit of a second layer is more pronounced for BFG than for GFG, indicating material-dependent synergy.
Strength modelingUTSST provides a framework for soil strength [19].Proposes a novel, strain-dependent reinforcement mobilization coefficient within the UTSST framework, successfully capturing the non-linear strength evolution of reinforced loess across varied moisture and confinement states.
Disclaimer/Publisher’s Note: The statements, opinions and data contained in all publications are solely those of the individual author(s) and contributor(s) and not of MDPI and/or the editor(s). MDPI and/or the editor(s) disclaim responsibility for any injury to people or property resulting from any ideas, methods, instructions or products referred to in the content.

Share and Cite

MDPI and ACS Style

Xiong, T.; Ibrahim, N. Shear Mechanisms and Strength Evolution in Geogrid-Reinforced Loess: Experimental and Empirical Modeling. Buildings 2026, 16, 897. https://doi.org/10.3390/buildings16050897

AMA Style

Xiong T, Ibrahim N. Shear Mechanisms and Strength Evolution in Geogrid-Reinforced Loess: Experimental and Empirical Modeling. Buildings. 2026; 16(5):897. https://doi.org/10.3390/buildings16050897

Chicago/Turabian Style

Xiong, Tiantian, and Nurazim Ibrahim. 2026. "Shear Mechanisms and Strength Evolution in Geogrid-Reinforced Loess: Experimental and Empirical Modeling" Buildings 16, no. 5: 897. https://doi.org/10.3390/buildings16050897

APA Style

Xiong, T., & Ibrahim, N. (2026). Shear Mechanisms and Strength Evolution in Geogrid-Reinforced Loess: Experimental and Empirical Modeling. Buildings, 16(5), 897. https://doi.org/10.3390/buildings16050897

Note that from the first issue of 2016, this journal uses article numbers instead of page numbers. See further details here.

Article Metrics

Back to TopTop