Next Article in Journal
A Concurrent Multiscale Framework for Concrete Damage Analysis Using Overlapping Domain Decomposition
Next Article in Special Issue
Synergistic Optimization of Thermal and Mechanical Properties in SiO2-Aerogel- and Vitrified-Microsphere-Modified Cementitious Materials
Previous Article in Journal
Interpreting Life Cycle Assessment Across Architectural Decision Orders: Environmental Conflict, Circularity and Temporal Responsibility
Previous Article in Special Issue
Seismic-Resilience Evaluation Method for Urban–Rural Building Clusters: A Fuzzy Comprehensive Evaluation-Based Study of Weinan City
 
 
Font Type:
Arial Georgia Verdana
Font Size:
Aa Aa Aa
Line Spacing:
Column Width:
Background:
Article

Axial Compression Behavior of Concrete Columns Strengthened with UHPC-Filled Steel Tubes

College of Civil Engineering, Xi’an University of Architecture and Technology, Xi’an 710055, China
*
Author to whom correspondence should be addressed.
Buildings 2026, 16(4), 812; https://doi.org/10.3390/buildings16040812
Submission received: 19 January 2026 / Revised: 10 February 2026 / Accepted: 11 February 2026 / Published: 16 February 2026

Abstract

To enhance the load-bearing capacity of conventional reinforced concrete (RC) columns and address the issue of longitudinal reinforcement buckling, this study proposes a novel composite column strengthened with small-diameter ultra-high-performance concrete-filled steel tubes (UHPCFST), in which the UHPCFST members replace the traditional longitudinal reinforcement. First, the mechanical behavior of UHPCFST was experimentally investigated. Results show that its stress–strain curve exhibits steel-like elastoplastic or strain-hardening characteristics after yielding. Subsequently, the axial compressive performance of the proposed column was studied through numerical simulation, with emphasis on the failure process, load–displacement response, and contribution of each constituent material at different loading stages. By comparing the longitudinal stress in concrete and the strain development in longitudinal reinforcement, steel tubes, and stirrups between conventional RC columns and the composite column, and by systematically varying parameters such as the steel ratio and the number of steel tubes, the influence of these parameters on the axial performance of the composite column was revealed. The results indicate that replacing longitudinal reinforcement with UHPCFST significantly improves the column performance. Compared to a conventional RC column with an equivalent reinforcement ratio, the proposed composite column exhibits an approximately 10% higher peak load capacity, a 182% increase in peak displacement, and a distinct biphasic response characterized by a double-peak pattern in its load–displacement curve. The first peak is contributed jointly by the surrounding concrete and the UHPCFST, while the second peak is mainly provided by the UHPCFST skeleton. This study offers a new perspective for improving the seismic resistance and load-carrying capacity of RC columns.

1. Introduction

As building heights continue to increase, the demand for the load-bearing capacity of structural columns is also growing. Traditional reinforced concrete columns are prone to buckling instability of longitudinal reinforcement under extreme loads such as axial compression and seismic actions, particularly in frame structures where column failure may trigger progressive collapse [1,2,3]. Therefore, the development of new composite columns with high load-bearing capacity and ductility has become a crucial direction for enhancing the overall performance of structures.
Incorporating concrete-filled steel tubes (CFST) inside reinforced concrete columns is an effective approach to enhance column performance. Current research in this area primarily focuses on the following three typical configurations:
Core-Embedded Configuration (Figure 1a). This form typically uses materials such as ultra-high performance concrete or ultra-high performance fiber-reinforced concrete (UHPC/UHPFRC) to encase a CFST core. For example, Chen et al. [4] established a simplified bearing capacity formula for composite columns with this cross-section; Wu et al. [5] revealed the influence of slenderness ratio on the transition of failure modes for circular cross-section medium-length columns; Du et al. [6] achieved accurate prediction of the peak load for UHPFRC-encased columns by modifying ACI 318 parameters; Xie et al. [7] improved the collaborative performance between the inner and outer layers through UHPC columns with composite stirrups. Furthermore, multi-layer composite columns with an outer steel tube [8,9] or those with an inner FRP tube [10,11,12] can further enhance confinement efficiency and load-bearing capacity.
Multi-Tube Distributed Configuration (Figure 1b). This involves embedding multiple CFST components at the corners and webs of a box section, forming a concrete-encased CFST box column. Experimental and simulation work by Chen et al. [13], Liu Liying et al. [14], and An et al. [15,16] revealed its synergistic load-bearing mechanism, load distribution patterns, and advantages under eccentric compression, proposing corresponding calculation methods. Research shows that this cross-section form can effectively improve bearing capacity and ductility, allowing the strengths of the surrounding concrete and the internal CFST to be utilized synchronously. Additionally, some scholars have investigated the influence of factors such as steel tube diameter and cross-sectional size on the flexural performance of composite columns with this configuration, establishing corresponding simplified predictive models [17,18].
Steel-Tube-Replacing-Reinforcement Distributed Configuration (Figure 1c). This uses small-diameter steel tubes to replace longitudinal reinforcement. Research by Muhammad et al. [19] and Ahmed M et al. [20] indicates that this “steel tube reinforcement” method can achieve better bearing capacity and ductility than traditional RC under both axial and eccentric compression. They also established an analytical model considering the dual confinement effects of the steel tubes and stirrups.
Although the aforementioned configurations each possess distinct advantages, current research has predominantly focused on the use of UHPC as an external encasement material, whereas investigations into its application as an infill material for steel tubes remain comparatively limited. Furthermore, although some scholars have investigated the effects of steel tube wall thickness and diameter on enhancing the load-bearing capacity of components [21,22,23,24,25,26], the specific pathways and underlying mechanisms of these influences require further in-depth exploration.
Building on this, this paper proposes a novel composite column—concrete columns strengthened with ultra-high performance concrete-filled steel tubes (UHPCFST), as illustrated in Figure 2. The core innovation lies in replacing conventional longitudinal reinforcement with UHPCFST [27,28,29]. This approach offers the following salient advantages:
Firstly, it exhibits superior buckling resistance. Compared to steel tubes with an equivalent cross-sectional area, steel tubes possess a higher moment of inertia and radius of gyration, endowing them with significantly greater inherent resistance to compressive buckling. The internal UHPC fill further delays local buckling of the steel tube and transforms the buckling mode from “inward denting” to “outward bulging”, thereby substantially enhancing both axial load-bearing capacity and ductility.
Secondly, it demonstrates a well-defined two-stage mechanical behavior. Under loading, the surrounding concrete reaches its peak stress and may crack first, while the internal UHPCFST continues to carry the load. This establishes a two-stage mechanical mechanism where the inner and outer materials sequentially mobilize their strength. This characteristic contributes to a potential “double-peak” load-deformation response for the composite column, which helps delay overall failure and improves energy dissipation capacity.
Thirdly, it provides a complementary and substitutive effect on stirrup confinement. The circular steel tube provides uniform and efficient circumferential confinement to the internal UHPC. Simultaneously, it can also confine the surrounding concrete to a certain extent, thereby partially replacing or enhancing the role of stirrups, which improves the sectional integrity and seismic performance.
To systematically investigate the working mechanism of the novel composite column, this study adopts a progressive research approach from the “material—component—system” levels. Given that the creep behavior of UHPC exhibits significant stress-level dependence—being linear under low stress and nonlinear under high stress—if the long-term working stress of the composite column remains within the low-stress linear range, the time-dependent effects can be reasonably simplified, allowing the focus to remain on the primary mechanical responses [30].
The research first conducts axial compression tests to obtain the stress–strain characteristics, failure modes, and confinement effects of the UHPCFST components. Subsequently, based on the experimentally calibrated material constitutive laws and interface parameters, a refined finite element model is established. This model is used to systematically analyze the full-range mechanical behavior, failure patterns, and the influence of parameters such as steel tube diameter, wall thickness, and UHPC strength under axial compression, thereby elucidating the mechanisms and controlling factors behind characteristic responses such as the “double-peak” phenomenon.
This study aims to provide a theoretical and numerical foundation for the design and application of such composite columns, promoting the development and implementation of high-performance composite structures in high-rise and complex engineering projects.

2. Test Program of UHPCFST Specimens

2.1. Design and Fabrication of the Specimens

The test designed six UHPCFST specimens with dimensions as shown in Figure 3. Axial compression test parameters included: (1) Steel tube outer diameter D (73 mm, 83 mm, 89 mm, 108 mm); (2) Steel tube thickness t (4 mm, 5 mm, 6 mm); (3) Specimen height h (200 mm, 230 mm, 250 mm, 300 mm). Specific parameters are listed in Table 1.
Q345B seamless steel tubes (Baotou Steel, Baotou, China)were used for the steel components, and the design compressive strength of the UHPC was 120 MPa. To ensure the validity of the key assumption that the core region is void-free in UHPCFST specimens, this study adopted the quality control approach outlined in reference [31] to establish a refined fabrication system encompassing mix design, casting process, and full-process monitoring. During the mix design phase, the binder system and superplasticizer dosage were optimized based on rheological principles and particle packing theory, ensuring that the UHPC mixture exhibited high flowability and resistance to segregation, thereby preventing material stratification at the source. Prior to casting, the steel tube was temporarily bonded to the base plate using anchoring adhesive to ensure a flat casting surface and prevent grout leakage. The mixture was then poured continuously in one operation into the tube and compacted via high-frequency spiral vibration to achieve uniform internal distribution and effective air bubble removal. After casting, the surface was leveled and covered with plastic film for standard curing over 28 days, maintaining controlled temperature and humidity to prevent early-age cracking. To further enhance interfacial integrity and resistance to failure, FRP strips were applied at both ends of the specimen to mitigate stress concentration. Through these systematic measures integrating material, process, and monitoring, the mechanical performance of the specimens truly reflects the inherent behavior of the material and structural system, free from fabrication-induced defects.

2.2. Mechanical Properties of Materials

During the fabrication of the UHPCFST specimens, three 100 mm cubes were cast simultaneously and cured under standard conditions for 28 days. The axial compressive strength test was subsequently conducted in accordance with the “Standard for test methods of concrete physical and mechanical properties” (GB/T 50081-2019) [32]. The measured average cube compressive strength of the UHPC was 114.7 MPa.
Tensile tests on the steel were performed following the “Metallic materials—Tensile testing—Part 1: Method of test at room temperature” [33]. For each type of steel tube, one standard tensile coupon (Figure 4b) was extracted and tested. The setup of the tensile test is shown in Figure 4a, and the results are summarized in Table 2.

2.3. Test Setup and Procedure

The axial compression test setup is shown in Figure 5a. A 5000 kN hydraulic servo testing machine was used for loading. Four linear variable differential transformers (LVDTs) were placed on the diagonal corners of the upper platen to measure the axial shortening of the stub column. At the mid-height of the specimen, four longitudinal strain gauges and four circumferential strain gauges were symmetrically attached around the circumference. Additionally, two longitudinal strain gauges were mounted at the quarter-height points from each end of the specimen. The specific instrumentation layout is detailed in Figure 5b.
To ensure a flat contact surface and uniform load distribution, a thin layer of fine sand was spread at both ends of the specimen, followed by placement of 150 mm × 150 mm × 12 mm steel bearing plates. The test was conducted in compliance with the “Standard for test methods of concrete structures” (GB/T 50152-2012) [34]. Prior to formal loading, a preloading step was applied up to 10% of the estimated ultimate load and then removed. This procedure aimed to verify proper alignment of the specimen, the safety and reliability of the loading setup, and the normal function of all data acquisition channels. The estimated ultimate load was calculated using a simple superposition method without considering confinement effects.
During the initial stage of formal loading, a force-controlled loading scheme was adopted. The load was applied incrementally in steps, each equal to 1/20 of the estimated peak load. The load was held for 60 s at each step for data acquisition. After the load reached approximately 70% of the estimated ultimate load, the control mode was switched to displacement control at a rate of 0.1 mm/min, and data acquisition was changed to continuous recording. The test was terminated when the specimen experienced excessive deformation or the load dropped to about 80% of the peak load.

3. Experimental Results and Discussion

3.1. Experimental Observations and Failure Modes

The failure modes of all specimens are illustrated in Figure 6. During the initial loading stage, no obvious changes were observed on the surfaces of the outer steel tubes. When the load increased to approximately 0.7Nu, slight bulging began to appear at the ends of the outer steel tubes. As the loading continued, this bulging gradually expanded, inducing deformation on the adjacent surfaces. At around 0.9Nu, rust on the steel tube surfaces started to spall, and specimen deformation became significantly more pronounced. After reaching the peak load, the deformation at the specimen ends developed into localized small bulges. With further increases in displacement, these bulges expanded and progressively coalesced into large, circumferential drum-like deformations.
Under the combined action of axial compression and lateral confinement, the UHPC cylinder experiences a triaxial compressive state, and its damage evolution is primarily governed by shear stress. Since the UHPC matrix contains no coarse aggregates, minor shear cracks can easily propagate through the entire specimen, splitting it into multiple wedges and leading to the formation of shear fracture planes. When the lateral confinement stiffness is insufficient, these shear fracture planes tend to develop under shear stress, resulting in a typical shear failure mode for the specimen, as shown in Figure 6a, b and f, corresponding to the low- and medium-confinement groups.
With increased confinement stiffness, the steel tube provides sufficient lateral restraint to inhibit the sliding of the wedges. Under such triaxial compression, new shear fracture planes continue to form within the confined UHPC, eventually producing cross-shaped wedges with multi-directional sliding surfaces, as illustrated in Figure 6d,e, which represent the failure morphology of the high-confinement group.

3.2. Load–Displacement Curve

3.2.1. Effect of Steel Tube Wall Thickness

During testing, the longitudinal deformation measured by the four displacement δ transducers on opposite sides of the specimen was largely consistent, so the average value was used for analysis. The discrepancy in the initial slope of the specimens under low load levels (<200 kN) is attributed to the potential misalignment between the specimen axis and the loading axis of the testing machine, as well as the presence of slight physical gaps at the specimen-loading plate interfaces despite careful preparation.
Figure 7 presents the load–displacement (N-δ) curves for UHPC specimens with different steel tube wall thicknesses. The figure indicates that altering the steel tube wall thickness has little effect on the specimen’s load capacity but significantly influences its mechanical response during the plastic stage. Specimen D89-4 exhibited linear displacement-load behavior during initial loading, transitioning to nonlinear behavior beyond 0.7Nu. After peak load, its load-carrying capacity rapidly declined before entering an approximately stable strengthening phase. Specimens D89-5 and D89-6 also showed linear displacement-load behavior initially, with nonlinearity emerging only after reaching 0.9Nu. Specimen D89-5 did not exhibit a noticeable decline phase after peak load, directly transitioning into the strengthening phase and maintaining relatively stable residual bearing capacity. Specimen D89-6, however, experienced a slight decline after peak load, followed by a subsequent increase in bearing capacity, demonstrating a distinct secondary peak phenomenon.

3.2.2. Effect of Steel Tube Diameter

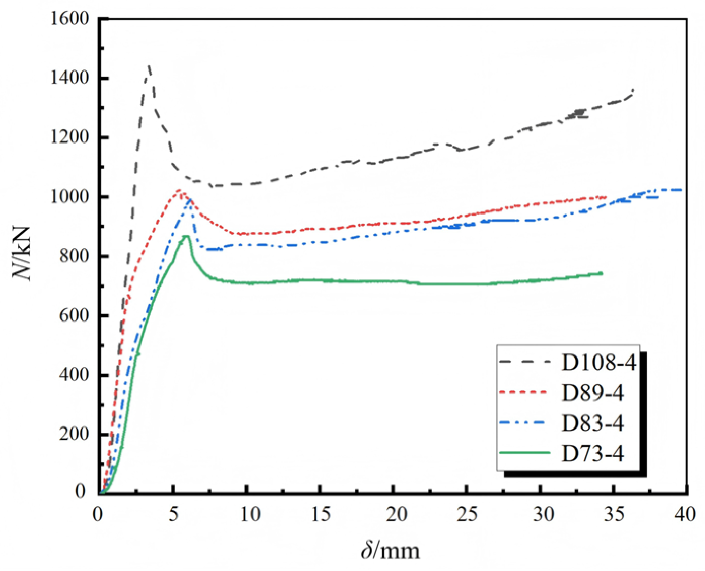
Figure 8 presents the load–displacement (N-δ) curves for UHPCFST specimens with varying diameters. The figure reveals significant differences in mechanical properties among specimens with varying steel tube diameters. As the steel tube diameter increased from 73 mm to 108 mm, the peak load-bearing capacity rose from 871.03 kN to 1452.63 kN, representing a 66.77% increase. Although increasing the steel tube diameter effectively enhances the specimen’s load-bearing capacity, the diameter increase correspondingly weakens the steel tube’s confinement effect on the core UHPC. Consequently, after reaching peak load capacity, the load–displacement curve exhibits a more pronounced decline phase.

3.3. Strain

3.3.1. Longitudinal Strain of Steel Tube at Typical Height Sections

Figure 9 presents the load versus longitudinal strain relationships for the UHPCFST specimens at the quarter-, mid-, and three-quarter-height sections.
During the initial loading stage, the longitudinal strains at the different height sections nearly coincided, with the mid-height section exhibiting slightly larger values. This indicates relatively uniform deformation distribution along the specimen height at this stage, with no apparent signs of external damage. As the load increased and the specimen entered the nonlinear hardening phase, significant differences emerged in the longitudinal strain development across the height sections. Taking specimen D89-5 as an example, the maximum strain difference between sections reached 0.003. After the peak load, the deformation discrepancies at the typical sections continued to increase. In most specimens during the later loading phase, the longitudinal strain at the mid-height section exceeded that at the end sections, conforming to the typical development pattern for axially compressed members in the plastic stage.
However, in some specimens, the strain at the end sections was greater than that at the mid-height section. Analysis suggests this phenomenon may be attributed to the strain gauges at the ends being located precisely within the region where the major shear crack formed later. The rapid propagation of this crack likely caused a sharp, localized increase in deformation. Furthermore, for all specimens, when the peak bearing capacity was reached, the longitudinal strain of the steel tube had reached or exceeded the yield strain of the steel material. This indicates that the steel had entered the yield stage at the ultimate state, allowing its load-bearing and deformation capacities to be fully utilized.

3.3.2. Load–Biaxial Strain Relationship

Figure 10 presents the load-strain (N-ε) curves for the UHPCFST specimens. The strains are averaged from the readings of four measurement points at the mid-height section, with the transverse strain taken as positive and the longitudinal strain as negative. The load-strain curves indicate that during the initial loading stage, all specimens were in the elastic stage, exhibiting a linear relationship between strain and load. The load increased rapidly, and the specimens demonstrated high stiffness. The development of longitudinal strain was faster than that of transverse strain, indicating that significant synergistic interaction between the UHPC core and the steel tube had not yet been established at this point.
As the load increased, the specimens transitioned from the elastic stage to the elastoplastic stage. The relationship between strain and load became nonlinear, with the slope of the curves gradually decreasing. The rate of load increase slowed down, while the rate of strain increase accelerated. The longitudinal strain of the steel tube reached the yield strain first, signifying that the steel tube began to exert a confining effect on the core UHPC. During this stage, the UHPC experienced lateral expansion due to compression, leading to a continuously rising growth rate in transverse strain.
After the peak load, the specimens entered the plastic stage. The interaction between the UHPC and the steel tube intensified, the rate of lateral deformation increased, and the specimen deformation developed significantly.

3.3.3. Poisson’s Ratio

Figure 11 presents the relationship curves between the Poisson’s ratio of the specimens and the load level during the loading process. The Poisson’s ratio is calculated using the following equation:
ν = ε x / ε y ,
ε x and ε y are the transverse and longitudinal strains of the steel tube, respectively.
A larger Poisson’s ratio indicates greater lateral expansion pressure generated by the core UHPC under compression, leading to a stronger confining effect provided by the steel tube on the core UHPC. During the elastic stage (when N < 0.75Nu), the Poisson’s ratio of all specimens remained relatively stable. After the peak load, the Poisson’s ratio of all specimens increased sharply, with values potentially exceeding 1.0. Particularly in the plastic stage of the load–displacement response, the confining effect of the steel tube on the core UHPC was fully mobilized. Among them, specimen D108-4 exhibited the smallest confining effect. In the initial loading stage, its Poisson’s ratio was approximately 0.3, similar to that of steel, indicating that the active confinement provided by the steel tube before yielding was limited. After reaching the peak bearing capacity, the Poisson’s ratio of this specimen increased rapidly, signifying a significant enhancement of the confining effect.

3.4. Influence of Various Parameters on the Axial Mechanical Performance of UHPCFST Specimens

Table 3 summarizes the key results from the axial compression tests on the UHPCFST specimens. To evaluate the degree of load enhancement and assess the level of residual load-bearing capacity, three ratio parameters are provided in the table: the ratio of peak load to yield load (Nmax/Ny), the ratio of residual load to peak load (Nr/Nmax), and the ratio of residual load to yield load (Nr/Ny).
As can be seen from Table 3, the peak strain of the specimens generally increases with the enhancement of the confinement effect. Among specimens with a lower confinement level (e.g., D73-4, D83-4, D89-4), the Nmax/Ny ratio is notably lower than that of other groups, indicating that the confinement effect may have a significant influence on the yield load of steel tube UHPC specimens. Furthermore, judging from the Nr/Nmax ratio, specimens with stronger confinement exhibit a ratio closer to 1.0, suggesting a smaller decline in their load-bearing capacity. This further confirms that effective confinement contributes to improving the ductility performance of the specimens.
The strength index SI is employed to evaluate the enhancement in load-bearing capacity and the intensity of interaction between the steel tube and the core concrete. It can be calculated using Equations (2) and (3):
S I = N E / N 0 ,
N 0 = A c , U f c , U + A s f s ,
SI is the strength index; N E is the axial compressive capacity of the UHPCFST specimen; N 0 is the nominal bearing capacity (calculated without considering the confinement effect of the steel tube on the concrete); A c , U and f c , U are the cross-sectional area and the axial compressive strength of the unconfined UHPC, respectively; A s and f s are the cross-sectional area and the yield strength of the steel tube, respectively.
Figure 12 presents a comparison of the SI values for all specimens. As shown in the figure, the strength index SI for the UHPCFST specimens is greater than 1 under all conditions. This indicates an effective synergistic interaction between the steel tube and the core UHPC, where the actual axial compressive capacity of the specimen exceeds the simple sum of the individual material strengths, demonstrating a composite enhancement effect where the whole is greater than the sum of its parts. Furthermore, the SI value decreases with increasing steel tube diameter and wall thickness, suggesting that tubes with smaller diameters and thinner walls provide stronger confinement to the UHPC core, resulting in a more pronounced composite effect. It should be noted that the pronounced autogenous shrinkage characteristic of UHPC may reduce the interfacial bond performance between the UHPC and the inner wall of the steel tube, which could, to some extent, diminish the composite effect of the section.

4. Finite Element Analysis of Axial Compression Performance for Concrete Columns Strengthened with UHPC-Filled Steel Tubes

4.1. Finite Element Modeling and Verification

4.1.1. Finite Element Modeling of Composite Columns

Numerical simulations of the axially compressed columns were performed using the ABAQUS 2025. Concrete, steel reinforcement, UHPC, and the steel tube were modeled using the 8-node linear brick element (C3D8R). Stirrups were simulated using the 2-node linear 3D truss element (T3D2). The constitutive relationship for concrete was defined based on the uniaxial tensile and compressive stress–strain curves specified in the “Code for design of concrete structures” (GB 50010-2010) [35]. The compressive constitutive model for UHPC was adopted from the uniaxial compressive stress–strain relationship provided in reference [36], while its tensile constitutive model was based on the uniaxial tensile stress–strain relationship given in reference [37]. The eccentricity, which defines the rate at which the flow potential approaches its asymptote, is set to its default value of 0.1. The viscosity parameter, which serves to regularize the viscoplastic formulation of the concrete constitutive model, is taken as 0.001. A Poisson’s ratio of 0.2 is adopted. The steel tube was modeled using a tri-linear ideal elastoplastic model considering both the yield and hardening stages [38]. Stirrups were represented by a bi-linear steel model that includes a hardening segment.
A separated modeling approach was employed, where individual components—namely, the external concrete, steel tube, stirrups, and core UHPC—were created independently. The interfacial interactions between these components were defined as follows: A surface-to-surface contact was assigned between the external concrete and the outer surface of the steel tube, with a “hard” contact in the normal direction and a friction coefficient of 0.4 in the tangential direction. Similarly, a surface-to-surface contact with “hard” normal behavior and a tangential friction coefficient of 0.6 was defined between the steel tube and the UHPC. The stirrups were embedded within the concrete. For boundary conditions, all translational and rotational degrees of freedom were constrained at both the top and bottom ends of the column, except for the vertical displacement (Uz) allowed at the top to apply compressive load. A mesh sensitivity study was conducted, resulting in a final element size of 25 mm for the concrete and 15 mm for the steel tube, UHPC, and stirrups.

4.1.2. Verification of the Composite Column Finite Element Model

Using the aforementioned modeling approach, finite element simulations were first conducted on six specimens to verify the validity and accuracy of the model. Table 4 presents a comparison between the computational results and experimental data, indicating that the established finite element model can reasonably predict the peak load of UHPCFST members.
To further validate the finite element model, the simulated load–displacement curves were compared with the experimental curves. As shown in Figure 13, good agreement is observed between the test results and numerical predictions. The ratios of experimental to simulated peak loads are all close to 1, confirming the appropriateness of the parameter settings in the finite element model. However, the initial stiffness obtained from the simulation is higher than the experimental values for all specimens. This discrepancy may be attributed to the non-uniform fiber distribution and micro-defects in UHPC during casting, which reduce the actual elastic modulus and strength below the ideal values, thereby lowering the initial stiffness of the tested members. Furthermore, unavoidable factors in testing—such as loading eccentricity, end friction, and size effects—introduce measurement errors, leading to further deviation of the measured stiffness from the true material response. In contrast, the finite element model assumes material homogeneity, perfect interfaces, and ideal loading conditions, which collectively overestimate the actual axial mechanical performance of the specimens.
To validate the reliability of the developed finite element (FE) model, a specimen with a similar configuration from reference [19] (as shown in Figure 1c) was modeled and analyzed. Its predicted peak load was compared against the experimental result. The specimen had an outer diameter of 240 mm and a concrete cover of 20 mm. Two types of steel tubes with diameters of 26.9 mm and 33.7 mm were used to replace the longitudinal reinforcement, having yield stresses of 355 MPa and 450 MPa, respectively. The stirrups were ordinary steel bars with a diameter of 10 mm and a yield strength of 400 MPa. The concrete had an average 28-day cylinder compressive strength of 57 MPa.
A comparison between the FE-predicted peak load (Pu,num) and the experimental peak load (Pu,exp) is presented in Table 5. The results indicate that the established FE model is capable of reasonably predicting the load-bearing capacity of the steel tube-reinforced self-compacting concrete column.
Figure 14 presents a comparison between the simulated and experimental load–displacement curves, further validating the soundness of the model parameter selection. The slight discrepancies observed between the two primarily stem from the inherent variability in concrete material properties (the finite element analysis employed the measured average values) and potential initial geometric imperfections in the test specimens. Additionally, the model did not account for interfacial slip, leading to a slight overestimation of the secondary peak load. The mechanism underlying the appearance of the secondary peak in the curve stems from the differences in ultimate strain among concrete in varying confinement zones within the composite column. This differential results in the less-confined concrete reaching its ultimate strength first, thereby forming the secondary peak on the curve.

4.2. Mechanism Analysis

Comparative models with two different cross-sectional configurations were established: one was an ordinary reinforced concrete (RC) column, and the other was a concrete column strengthened by UHPCFST, as illustrated in Figure 15. The models featured a square cross-section with a side length of 500 mm and a column height of 1500 mm (resulting in a height-to-width ratio of 3). The longitudinal reinforcement consisted of Grade 400 MPa deformed steel bars. The steel tube had a yield strength of 345 MPa, the UHPC inside the tube had a compressive strength of 120 MPa, the external concrete had a compressive strength of 35 MPa, and the stirrups had a strength of 360 MPa. Detailed parameters are provided in Table 6.

4.2.1. Analysis of the Failure Process

The simulated axial compression failure process of the composite column is illustrated in Figure 16. During the initial loading stage, both the external concrete and the UHPC inside the tube were in the elastic stage, and the overall deformation of the specimen was uniform (Figure 16a). As the load increased, the external concrete first reached its peak compressive strain. At this point, the distribution of plastic strain along the longitudinal direction became non-uniform. The maximum plastic strain of the UHPC inside the tube was significantly higher in the central region of the specimen compared to the edge regions. Similarly, the maximum plastic strain of the external concrete was also concentrated in the central part of the specimen (Figure 16b). Subsequently, as the external concrete in the central region reached its peak strain, the bearing capacity of the composite column began to decline, and the load was gradually transferred to the UHPCFST skeleton. Finite element results indicate that during this stage, the plastic strain of the external concrete started to decrease, while that of the UHPC inside the tube continued to grow. Bulging occurred in the external concrete at the mid-height of the specimen, and the UHPCFST component buckled along the diagonal direction of the cross-section center (Figure 16c). Ultimately, the specimen failed due to the loss of load-bearing capacity in the UHPCFST skeleton.

4.2.2. Full-Range Load–Displacement Curve

Figure 17 compares the axial load–displacement curves of the composite column and the RC column. Under the same steel ratio, the peak load of the composite column (Ac/As = 4.8) increased by approximately 10% compared to the RC column (reinforced with 12Φ30 longitudinal reinforcement), while the peak displacement increased by 182%. This indicates that replacing longitudinal reinforcement with UHPCFST can significantly enhance both the load-bearing capacity and deformation capability of the column.
The curve of the composite column exhibits a double-peak characteristic, following the sequence: “initial elastic stage–first peak–slight decline–secondary rise–second peak–descending stage,” reflecting favorable load-bearing capacity and ductility. Based on the curve shape, four characteristic points can be defined: A (first peak), B (minimum load capacity), C (second peak), and D (load dropping to 0.85Nmax). The load-sharing development process of the entire composite column and its components is analyzed according to these points: In the OA stage, the load is shared by the surrounding concrete and the UHPCFST component. At point A, their respective load-sharing ratios are approximately 55% and 45%, coinciding with the surrounding concrete reaching its peak capacity. In the AB stage, the capacity of the surrounding concrete declines, leading to an overall load reduction, while the capacity of the UHPCFST component continues to increase. By point B, their contributions become roughly equal. The BC stage is primarily dominated by the UHPCFST skeleton. At point C, both components reach their peak capacities simultaneously, after which the curve enters the descending stage until point D.
The full-range curve indicates that the first peak corresponds to the surrounding concrete reaching its peak compressive strain, influenced by both the external concrete and the UHPCFST skeleton. The second peak is mainly provided by the UHPCFST skeleton, highlighting its dominant role in the later stage of load-bearing.

4.2.3. Longitudinal Stress of Concrete

Figure 18 presents the longitudinal stress distribution in the concrete at the mid-height cross-section, extracted from the load–displacement curve at the characteristic points. The main findings are as follows:
(1)
At characteristic point A (first peak), the stress in the surrounding concrete approaches its axial compressive strength, with the maximum stress occurring at the edges of the section. The stress in the UHPC has not yet reached its axial compressive strength.
(2)
By characteristic point B (minimum load capacity), the longitudinal stress in the surrounding concrete has generally decreased across the entire section, with a particularly significant reduction at the corners. This indicates that the concrete in these regions may have crushed. Meanwhile, the stress in the UHPC continues to rise. From point B onward, the axial load is primarily carried by the UHPCFST component. Despite the overall load recovery, the stress in the surrounding concrete continues to decline.
(3)
At characteristic point C (second peak), the UHPCFST component reaches its peak load-bearing capacity. Under the confinement of the steel tube, the stress in the UHPC exceeds its axial compressive strength.
(4)
At characteristic point D (load capacity drops to 0.85Nmax), the stress in the surrounding concrete is already at a very low level, showing a tendency for separation from the steel tube. In contrast, the UHPC, under dual confinement, remains in a triaxial compressive state, experiencing only a slight decrease in stress.

4.2.4. Strain in the Steel Tube and Steel Reinforcement

Figure 19 compares the strain development of steel reinforcement in the RC column and the steel tube in the composite column under the same steel ratio.
In the RC column (Figure 19a), the strain at the middle and upper-middle measurement points (L1–L4) increased rapidly when the axial displacement reached approximately 5 mm, while the strain growth at the points near the ends (L5, L6) was relatively slow. As the displacement increased, the steel reinforcement at different locations successively entered a stage of rapid strain development. The strain development patterns at all points were similar, with the most significant strain differences observed at the mid-height cross-section. At the one-sixth height section, the strains of the corner and middle steel reinforcement nearly coincided. This indicates a clear non-uniformity in longitudinal strain development. Failure likely initiated in the mid-height region of the column before propagating towards the ends, with reinforcement bar buckling being a possible contributing factor to this non-uniformity.
In the composite column strengthened with the UHPCFST component (Figure 19b), the longitudinal strain distribution in the steel tube was relatively consistent across different locations (including the corner points D4 and D5). The strain increased gradually without concentration, caused by localized concrete crushing. This suggests a more uniform strain distribution across the section. The stable circumferential confinement provided by the steel tube is a key factor enabling the high load-bearing capacity of the composite column.
Overall, the longitudinal strain in the steel tube of the composite column was distributed more uniformly across the section. The strain curves for the corner points D4 and D5 essentially overlapped, indicating consistent circumferential strain development. The strain increase was generally gradual, with only minor variations across different sectional positions. This demonstrates that the composite column did not experience failure concentration due to localized concrete crushing. The more uniform sectional strain distribution is conducive to the stable mobilization of the overall load-bearing capacity.
The stable mobilization of the circumferential confinement effect provided by the steel tube is the key to achieving high load-bearing capacity in the composite column. As evidenced by the development of axial and circumferential strains in the steel tube at the mid-height section shown in Figure 20, the strain patterns are consistent across all locations. With increasing load, both axial and circumferential strains grow, but the development of axial strain is significantly faster than that of circumferential strain. The simulation results indicate that the circumferential strain had not reached the yield strain before the load first reached its peak. It was only after the load–displacement curve entered the secondary ascending stage (stage BC) that the circumferential strain reached the yield strain, demonstrating that the confinement provided by the steel tube was fully mobilized only in the later stage of the entire process.

4.2.5. Strain of Stirrups

Figure 21 presents the development curves of stirrup strain versus axial displacement. Here, J1/G1 and J3/G3 represent the strains at the midpoints of the stirrup sides at the mid-height and one-third-height sections, respectively, while J2/G2 and J4/G4 represent the strains at the corners of the stirrups in the corresponding sections.
In the RC column, the strain development patterns at the midpoints and corners of the stirrup sides were generally consistent, albeit with some differences in strain magnitude. Both locations were in a state of tension. During the initial loading stage, the strain increased slowly, indicating elastic behavior. As the displacement increased, the lateral expansion of the core concrete intensified, causing the stirrups to yield in tension, followed by a rapid increase in strain.
For the concrete column strengthened with UHPCFST, the characteristics of stirrup strain development were distinctly different from those of the RC column. The strain development trend at the midpoints of the stirrup sides was similar to that in the RC column, but the strain development throughout the entire process was non-uniform, and the overall strain level was lower. In contrast, the tensile strain at the corners of the stirrups remained very small throughout the loading process, did not reach yield, and stayed relatively stable. There was no sharp strain increase caused by concrete expansion.
This discrepancy can be attributed to three main factors (as illustrated in Figure 22): (1) The UHPCFST component, with its high load-bearing capacity and flexural rigidity, provides a certain degree of lateral confinement to the core concrete. This action shares the confining role at the corners of the stirrups, thereby suppressing their elongation and deformation. (2) The effective confinement provided by the steel tube to the UHPC suppresses its own lateral expansion. Consequently, this reduces the overall expansive effect of the core concrete within the section, thereby lowering the demand for confinement from the stirrups. (3) The high load-bearing capacity of the UHPCFST delays the post-peak lateral expansion of the core concrete. As a result, the stirrups primarily function in the later stages to provide overall wrapping, preventing large-scale spalling of the concrete.

4.3. Analysis of Influencing Factors

Parametric studies were conducted using the finite element model to investigate the axial performance of the concrete column strengthened with UHPCFST. The composite column shown in Figure 15a served as the reference specimen for parameter variation. Schematic cross-sections of selected models are presented in Figure 23, and the detailed dimensions of all models included in the parametric study are summarized in Table 7.
The displacement ductility coefficient and the bearing capacity are adopted as the indices to evaluate the axial compression performance of the composite columns. The ductility is calculated as:
μ D = D u / D s ,
where D u is the ultimate displacement of the structure, taken as the point corresponding to the load drop to 85% of the peak load, and D s is the displacement at the peak load. A larger displacement ductility coefficient indicates better ductility and greater deformation capacity of the structure or member.

4.3.1. Diameter of the Steel Tube

As shown in Figure 24, when the longitudinal steel ratio is kept constant, the first peak load-bearing capacity of composite columns with smaller-diameter steel tubes is slightly lower than that of traditional RC columns. The primary reason is that the first peak capacity is mainly contributed by the surrounding concrete. Replacing steel reinforcement with steel tubes results in a corresponding reduction in the area of the surrounding concrete. However, the first peak capacity is also influenced by the UHPCFST component. Consequently, when the UHPC area is increased, the first peak capacity may also rise. Furthermore, increasing the steel tube diameter leads to a limited improvement in the first peak capacity due to the influence of the UHPCFST component. In contrast, the second peak capacity shows a significant increase compared to traditional RC columns as the tube diameter increases, owing to the enlarged confinement area. This also delays the ultimate state of the concrete column, further validating the load-bearing mechanism of the composite column described in Section 4.2.2. Therefore, employing larger-diameter steel tubes within a certain range is beneficial for enhancing the load-bearing performance of the composite column.
The peak load of the composite column is taken as the greater of the two peak values. Under the same longitudinal steel ratio, when the steel tube diameter increased from 73 mm to 108 mm, the effectively confined UHPC area increased by 16.2%, resulting in a 48.8% increase in the peak load, although ductility decreased correspondingly. For the composite column with a 73 mm diameter steel tube, while its peak load was slightly lower than that of the traditional RC column, its ductility was significantly superior, and its post-peak load-bearing capacity consistently remained above 85% of the peak load.

4.3.2. Steel Ratio

Increasing the steel ratio by enlarging the steel tube diameter is significantly more effective in enhancing the peak load-bearing capacity than increasing the tube wall thickness. When the steel ratio was increased from 2.7% to 4.2% by enlarging the tube diameter, the peak load capacity of the composite column increased by 56.5%. In contrast, increasing the steel ratio from 3.4% to 5.0% by thickening the tube wall resulted in only a 5.1% improvement in peak capacity.
As shown in Figure 25a, a smaller-diameter tube corresponds to a larger area of surrounding concrete. During the transition from the first peak capacity to the stage dominated by the UHPCFST component, the larger the area of the relatively lower-stiffness external concrete, the faster the decline in load-bearing capacity after the first peak. The second peak capacity is primarily provided by the UHPCFST component. A smaller tube diameter leads to a more pronounced confinement effect, resulting in a gentler decline in both the magnitude and rate of the load-bearing capacity after the second peak.
Figure 25b indicates that varying the tube wall thickness mainly affects the magnitude of the load-bearing capacity, with minimal impact on the overall shape of the load–displacement curve. However, increasing the wall thickness delays the occurrence of the peak displacement.

4.3.3. Number of Steel Tubes

As shown in Figure 26, as the number of steel tubes increased from 4 to 8, the second peak capacity of the composite column increased by approximately 15%, indicating that a larger total area of UHPC confined by steel tubes leads to a higher peak load-bearing capacity of the column. When the number of tubes was small, the UHPC area was relatively small compared to the area of the external concrete. Consequently, after the first peak, the load increased gradually, and the curve exhibited a plateau, during which the deformation capacity of the member was significantly enhanced. As the number of tubes increased, the magnitude of the second peak capacity and the overall bearing capacity were both noticeably improved.
Furthermore, the first peak strain essentially corresponded to the crushing strain of concrete (approximately 0.002), whereas the second peak strain could be increased to around 0.0055 under the confinement provided by the stirrups and steel tubes. When the UHPCFST components were reasonably arranged, the load–displacement curve exhibited a dual-peak characteristic, with the peak displacement shifting backward and the corresponding strain increasing, thereby ensuring sufficient deformation capacity of the member. Therefore, appropriately increasing the number of steel tubes can effectively improve both the load-bearing and deformation performance of the composite column.

4.3.4. Stirrup Spacing

As shown in Figure 27, the composite column with a stirrup spacing of 75 mm exhibited a slightly higher peak load-bearing capacity compared to that with a 50 mm spacing. This indicates that within this range, reducing the stirrup spacing has a limited effect on enhancing the column’s load-bearing capacity and may lead to material waste. The initial stiffness of the composite column prior to reaching the first peak capacity was largely unaffected by variations in stirrup spacing. However, an excessively large stirrup spacing weakens the lateral confinement on the core concrete, resulting in a decline in peak capacity. Therefore, determining the stirrup spacing for composite columns requires a balance between achieving adequate confinement and maintaining economic efficiency; it should be neither too small nor too large.

4.3.5. Strength of the Surrounding Concrete

As shown in Figure 28, when the compressive strength of the surrounding concrete increased from 35 MPa to 80 MPa, the first peak load increased by 51.5%. However, the decline in post-peak bearing capacity rose from 8.5% to 44%, and the rate of decline also increased correspondingly, leading to an earlier attainment of the ultimate state. Since the load-bearing capacity in the later loading stage is primarily carried by the UHPCFST skeleton, the second peak load of the composite column showed no significant variation across different concrete strengths.
When the strength of the surrounding concrete exceeded 60 MPa, although two peaks still appeared in the curve, the second peak did not surpass 85% of the first peak. This indicates that the composite column had already failed at that point, and the UHPCFST component failed to fully realize its potential, resulting in a significant reduction in the ductility of the composite column. Therefore, for the construction of such composite columns, it is recommended to control the strength of the surrounding concrete below 60 MPa.

4.3.6. Strength of the Steel Tube

As shown in Figure 29, increasing the strength of the steel tube significantly enhances the peak load-bearing capacity of the composite column. When the yield strength was increased from 345 MPa to 500 MPa, both peak loads of the composite column showed corresponding increases. This indicates that the UHPCFST component has a noticeable influence on both peak loads. For composite columns using high-strength steel tubes with a yield strength of 500 MPa, no significant descending branch was observed after the first peak. Instead, the load–displacement curve exhibited a secondary linear hardening characteristic. Therefore, it is recommended to use high-strength steel tubes in the construction of composite columns to simultaneously improve both their load-bearing capacity and ductility.

5. Conclusions

This paper proposes a novel concrete column strengthened with UHPCFST, in which the longitudinal reinforcement in traditional reinforced concrete columns is replaced by UHPCFST components. Axial compression performance of the UHPCFST components and the composite column with the proposed cross-sectional configuration is investigated. The main conclusions are summarized as follows:
(1)
The UHPCFST component primarily undergoes shear failure. Depending on the level of confinement, one or multiple diagonal shear cracks may form. Its bearing capacity improvement coefficient is greater than 1, indicating that the steel tube and UHPC work in good synergy, achieving a “1 + 1 > 2” enhancement effect. The UHPCFST component exhibits an elastoplastic response similar to that of steel, making it suitable to replace longitudinal reinforcement in traditional RC columns.
(2)
Compared to a traditional RC column with the same steel ratio, the peak bearing capacity of the composite column is increased by 10%, and the peak displacement is increased by 182%. Due to differences in the confinement effect on the concrete within the composite column, its load–displacement curve exhibits a secondary peak characteristic. The initial peak is contributed by both the surrounding concrete and the UHPCFST component, while the secondary peak is primarily sustained by the UHPCFST skeleton.
(3)
In RC columns, the longitudinal reinforcement exhibits non-uniform strain development across the section. In contrast, the longitudinal strain development in the steel tube of the composite column is generally slower and more uniformly distributed. The UHPCFST component can mitigate the lateral expansion effect of the concrete across the entire section while also sharing part of the lateral confinement role of the stirrups. This leads to differences in stirrup strain development throughout the loading process compared to traditional RC columns.
(4)
With the same longitudinal steel ratio, the ductility and bearing capacity of the column can be improved by increasing the steel tube diameter or the number of steel tubes. Increasing the longitudinal steel ratio enhances the ultimate strength of the column. Compared to increasing the steel tube wall thickness, enlarging the steel tube diameter can more effectively improve the axial compression performance of the column. Using surrounding concrete with excessively high compressive strength is not advisable, as it may lead to failure of the composite column before the UHPCFST component becomes fully effective. Increasing stirrup spacing reduces the bearing capacity of the composite column, but excessively small stirrup spacing is not recommended as it results in material wastage.
In summary, UHPCFST serves as an efficient load-bearing and strengthening component. Through rational design, it can effectively replace longitudinal reinforcement and significantly improve the axial compression performance of concrete columns, demonstrating broad application prospects in structural engineering. This study primarily focuses on its short-term monotonic axial compression behavior and does not address long-term creep effects. For components subjected to high sustained stress levels, it is essential to further consider the time-dependent properties of UHPC in future research concerning long-term loading and durability.
To promote the engineering application of this technology, subsequent research should emphasize the following aspects: First, it is necessary to thoroughly investigate the performance of the core column under combined compression and bending, clarifying its actual working mechanism within the composite cross-section. Second, existing finite element models should be validated through axial compression and multi-condition testing, while systematically examining the mechanical response of components under complex loads such as eccentric compression and seismic conditions. Finally, a design methodology encompassing both normal concrete and confined UHPC limit states must be established, thereby providing a reliable theoretical basis and normative support for engineering practice.

Author Contributions

Conceptualization, J.D. and Q.S.; methodology, J.D. and X.L.; software, X.L.; validation, J.D., Q.S. and X.L.; writing—original draft preparation, J.D.; writing—review and editing, J.D. and Q.S.; project administration, X.L.; funding acquisition, Q.S. All authors have read and agreed to the published version of the manuscript.

Funding

This research was funded by the Natural Science Basic Research Program of Shaanxi Province, grant number 2025SYS-SYSZD-048.

Data Availability Statement

The data presented in this study are available upon request from the corresponding author.

Conflicts of Interest

The authors declare no conflicts of interest.

References

  1. Sun, J.M.; Yi, W.J.; Chen, H.; Peng, F.; Zhou, Y.; Zhang, W.X. Dynamic Responses of RC Columns under Axial Load and Lateral Impact. J. Struct. Eng. 2023, 149, 04022210. [Google Scholar] [CrossRef]
  2. Park, J.; Park, M.; Chae, Y.; Kim, C. Dynamic cyclic loading tests for investigating the influence of loading rate and axial force on the lateral response of RC columns. Earthq. Eng. Struct. Dyn. 2024, 53, 1537–1551. [Google Scholar] [CrossRef]
  3. Cheng, S.; Han, J.; He, H. Experimental, theoretical and numerical studies of damaged RC columns repaired with modified concrete and textile. Constr. Build. Mater. 2025, 466, 140328. [Google Scholar] [CrossRef]
  4. Chen, H.; Liao, F.; Yang, Y.; Ren, Y. Behavior of ultra-high-performance concrete (UHPC) encased concrete-filled steel tubular (CFST) stub columns under axial compression. J. Constr. Steel Res. 2023, 202, 107795. [Google Scholar] [CrossRef]
  5. Wu, Q.-X.; Xu, Z.-K.; Yuan, H.-H.; Qin, Z.-Q. Ultimate bearing capacity of UHPC-encased CFST medium-long columns under axial compression. Mag. Concr. Res. 2023, 75, 487–505. [Google Scholar] [CrossRef]
  6. Du, P.; Ma, Y.-X.; Tan, K.H. Experimental study of ultra-high-performance fibre-reinforced concrete (UHPFRC)-encased CFST short columns under axial and eccentric compression. Eng. Struct. 2024, 316, 118452. [Google Scholar] [CrossRef]
  7. Xie, K.; Huang, L.; Zhu, T.; Huang, K.; Liu, F.; Wang, Q. Mechanism and bearing load-capacity of compound stirrup UHPC-encased CFST columns under axial compression. Structures 2024, 67, 106957. [Google Scholar] [CrossRef]
  8. Wang, W.; Sheikh, M.N.; Hadi, M.N.; Gao, D.; Chen, G. Behaviour of concrete-encased concrete-filled FRP tube (CCFT) columns under axial compression. Eng. Struct. 2017, 147, 256–268. [Google Scholar] [CrossRef]
  9. Ma, K.; Cao, X.; Song, J.; Meng, X.; Qiao, L. Axial compressive behavior of concrete-filled steel tubes with GFRP-confined UHPC cores. J. Constr. Steel Res. 2023, 200, 107632. [Google Scholar] [CrossRef]
  10. Cheng, S.; Feng, P.; Bai, Y.; Ye, L.P. Load-Strain Model for Steel-Concrete-FRP-Concrete Columns in Axial Compression. J. Compos. Constr. 2016, 20, 4016017. [Google Scholar] [CrossRef]
  11. Feng, P.; Cheng, S. Mechanical Behavior of Concrete-Filled Square Steel Tube with FRP-Confined Concrete Core Subjected to Axial Compression. Compos. Struct. 2015, 123, 312–324. [Google Scholar] [CrossRef]
  12. Wang, J.; Feng, P.; Wu, Y. Pultruded Profile Reinforced CFFT Columns for Marine Constructions: Behavior under Eccentric Compression. In Proceedings of the 6th Asia-Pacific Conference on FRP in Structures, Singapore, 19–21 July 2017. [Google Scholar]
  13. Chen, J.-Y.; Li, W.; Han, L.-H.; Wang, F.-C.; Mu, T.-M. Structural behaviour of concrete-encased CFST box stub columns under axial compression. J. Constr. Steel Res. 2019, 158, 248–262. [Google Scholar] [CrossRef]
  14. Liu, L. Study on the Axial Compressive Behavior of a Novel Concrete-Filled Steel Tube (CFST) Composite Column. Ph.D. Dissertation, Fuzhou University, Fuzhou, China, 2013. [Google Scholar]
  15. An, Y.; Han, L.; Zhao, X. Experimental behaviour of box concrete-encased CFST eccentrically loaded column. Mag. Concr. Res. 2013, 65, 1219–1235. [Google Scholar] [CrossRef]
  16. An, Y.-F.; Han, L.-H.; Zhao, X.-L. Analytical behaviour of eccentrically loaded concrete-encased CFST box columns. Mag. Concr. Res. 2014, 66, 789–808. [Google Scholar] [CrossRef]
  17. Han, L.-H.; An, Y.-F.; Roeder, C.; Ren, Q.-X. Performance of concrete-encased CFST box members under bending. J. Constr. Steel Res. 2015, 106, 138–153. [Google Scholar] [CrossRef]
  18. Chen, J.-Y.; Wang, F.-C.; Han, L.-H.; Mu, T.-M. Flexural performance of concrete-encased CFST box members. Structures 2020, 27, 2034–2047. [Google Scholar] [CrossRef]
  19. Muhammad, N.S.; Hadi, F.A.; Alhussainy, F.; Sheikh, A.M.N. Behavior of Self-Compacting Concrete Columns Reinforced Longitudinally with Steel Tubes. Struct. Eng. 2017, 143, 04017024. [Google Scholar]
  20. Ahmed, M.; Sheikh, M.N.; Hadi, M.N.; Liang, Q.Q. Numerical modeling of self-compacting concrete columns longitudinally reinforced with steel tubes under axial loading. Eng. Struct. 2022, 270, 114913. [Google Scholar] [CrossRef]
  21. Li, J.; Deng, Z. Performance of square UHPC filled high-strength steel tubular columns under axial compression: Experiment and theory analysis. Structures 2022, 46, 1395–1406. [Google Scholar] [CrossRef]
  22. Zhao, Z.; Wei, Y.; Wang, G.; Zhang, Y.; Lin, Y. Axial compression performance of square UHPC-filled stainless-steel tubular columns. Constr. Build. Mater. 2023, 408, 133622. [Google Scholar] [CrossRef]
  23. Cai, H.; Zeng, Y.; Xu, L.; Liu, J. Axial behavior of ultra-high performance steel fiber reinforced concrete filled circular steel tubular columns. Structures 2024, 68, 107186. [Google Scholar] [CrossRef]
  24. Ren, Z.; Wang, D.; Kondo, G. Axial compressive capacity prediction and optimal design of circular UHPC-filled steel tube based on Hybrid Symbolic Regression—Neural Network model. Structures 2024, 68, 107084. [Google Scholar] [CrossRef]
  25. Zhao, Z.; Wei, Y.; Wang, G.; Zhang, Y.; Lin, Y. Axial compression performance of circular UHPC-filled stainless-steel tubular columns. Eng. Struct. 2024, 302, 117430. [Google Scholar] [CrossRef]
  26. Zahra, H.G.; Mahmoud, N.; Badr, A.; Salem, F.A.; Ghannam, M. Axial compression strength of circular and square UHPC-filled stiffened steel tubular columns. J. Constr. Steel Res. 2025, 227, 109362. [Google Scholar] [CrossRef]
  27. Wang, J.; Liu, J.; Wang, Z.; Liu, T.; Liu, J.; Zhang, J. Cost-Effective UHPC for Accelerated Bridge Construction: Material Properties, Structural Elements, and Structural Applications. J. Bridge Eng. 2021, 26, 04020117. [Google Scholar] [CrossRef]
  28. da Silva, M.; Prado, L.P.; Félix, E.F.; Sousa, A.M.D.D.; Aquino, D.P. The Influence of Materials on the Mechanical Properties of Ultra-High-Performance Concrete (UHPC): A Literature Review. Materials 2024, 17, 1801. [Google Scholar] [CrossRef]
  29. Luo, X.; Zhang, S.; Zhang, Y.; Jiang, Y. Mechanical properties and cracking behavior of rebar reinforced UHPC (R-UHPC) under uniaxial tension: Evaluation and design. Case Stud. Constr. Mater. 2025, 22, e04243. [Google Scholar] [CrossRef]
  30. Yang, G.; Cao, Q.; Zhao, H.; He, J.; Teng, L.; Hu, Z.; Li, W.; Wan-Wendner, R.; Liu, J. New insights into linear-nonlinear tensile creep mechanisms of UHPC: Stress level-dependent creep-active site transitions. Cem. Concr. Res. 2025, 198, 107988. [Google Scholar] [CrossRef]
  31. Yang, H.; Li, S.; Shu, J.; Yu, H.; Liu, H.; Xu, Y.; Wang, X. Data-driven high-resolution total focus imaging from array ultrasonic time-domain signals of reinforced concrete material. Constr. Build. Mater. 2025, 492, 143048. [Google Scholar] [CrossRef]
  32. GB/T 50081-2019; Standard for Test Methods of Concrete Physical and Mechanical Properties. Chinese Standard: Hong Kong, China, 2019.
  33. GB/T 228.1-2010; Metallic Materials—Tensile Testing—Part 1: Method of Test at Room Temperature. Chinese Standard: Hong Kong, China, 2010.
  34. GB/T 50152-2012; Standard for Test Method of Concrete Structures. Chinese Standard: Hong Kong, China, 2012.
  35. GB 50010-2010; Code for Design of Concrete Structures. Chinese Standard: Hong Kong, China, 2010.
  36. Zhu, J.; Guo, X.; Kang, J. Constitutive relationship of ultra-high performance concrete under uni-axial compression. J. Southeast Univ. (Nat. Sci. Ed.) 2017, 47, 322–329. [Google Scholar]
  37. Hu, A.; Liang, X.; Yu, J.; Shi, Q.; Li, L. Experimental study on mechanical properties of ultra-high performance concrete under axial tension. J. Hunan Univ. (Nat. Sci.) 2018, 45, 131–138. [Google Scholar]
  38. Tao, Z.; Wang, Z.-B.; Yu, Q. Finite element modelling of concrete-filled steel stub columns under axial compression. J. Constr. Steel Res. 2013, 89, 121–131. [Google Scholar] [CrossRef]
Figure 1. Cross-sectional schematic of the concrete-encased concrete-filled steel tube (CFST) column: (a) Core-Embedded Configuration; (b) Multi-Tube Distributed Configuration; (c) Steel-Tube-Replacing-Reinforcement Distributed Configuration.
Figure 1. Cross-sectional schematic of the concrete-encased concrete-filled steel tube (CFST) column: (a) Core-Embedded Configuration; (b) Multi-Tube Distributed Configuration; (c) Steel-Tube-Replacing-Reinforcement Distributed Configuration.
Buildings 16 00812 g001
Figure 2. Configuration of the composite column.
Figure 2. Configuration of the composite column.
Buildings 16 00812 g002
Figure 3. Dimensions of UHPCFST specimens.
Figure 3. Dimensions of UHPCFST specimens.
Buildings 16 00812 g003
Figure 4. Mechanical property testing of the steel tube material: (a) Tensile test; and (b) Tensile specimens.
Figure 4. Mechanical property testing of the steel tube material: (a) Tensile test; and (b) Tensile specimens.
Buildings 16 00812 g004
Figure 5. Test setup for compressive specimens: (a) photo and (b) schematic.
Figure 5. Test setup for compressive specimens: (a) photo and (b) schematic.
Buildings 16 00812 g005
Figure 6. Failure modes of the specimens: (a) D73-4; (b) D83-4; (c) D89-4; (d) D89-5; (e) D89-6; (f) D108-4.
Figure 6. Failure modes of the specimens: (a) D73-4; (b) D83-4; (c) D89-4; (d) D89-5; (e) D89-6; (f) D108-4.
Buildings 16 00812 g006
Figure 7. N-δ curves of specimens with different steel tube thicknesses.
Figure 7. N-δ curves of specimens with different steel tube thicknesses.
Buildings 16 00812 g007
Figure 8. N-δ curves for varying steel tube diameters.
Figure 8. N-δ curves for varying steel tube diameters.
Buildings 16 00812 g008
Figure 9. N-ԑ Curves of the steel tube: (a) D73-4; (b) D83-4; (c) D89-5; (d) D89-6; (e) D108-4.
Figure 9. N-ԑ Curves of the steel tube: (a) D73-4; (b) D83-4; (c) D89-5; (d) D89-6; (e) D108-4.
Buildings 16 00812 g009
Figure 10. N-ԑ curve of UHPCFST.
Figure 10. N-ԑ curve of UHPCFST.
Buildings 16 00812 g010
Figure 11. Axial load versus hoop strain curves.
Figure 11. Axial load versus hoop strain curves.
Buildings 16 00812 g011
Figure 12. Effect of steel tube thickness and diameter on SI.
Figure 12. Effect of steel tube thickness and diameter on SI.
Buildings 16 00812 g012
Figure 13. Comparison of Numerical and Experimental Load–Displacement Curves: (a) D73-4; (b) D83-4; (c) D89-4; (d) D89-5; (e) D89-6; (f) D108-4.
Figure 13. Comparison of Numerical and Experimental Load–Displacement Curves: (a) D73-4; (b) D83-4; (c) D89-4; (d) D89-5; (e) D89-6; (f) D108-4.
Buildings 16 00812 g013
Figure 14. Comparison of N-δ curves: (a) D = 33.7, s = 75; (b) D = 33.7, s = 50; (c) D = 26.9, s = 75; (d) D = 26.9, s = 50.
Figure 14. Comparison of N-δ curves: (a) D = 33.7, s = 75; (b) D = 33.7, s = 50; (c) D = 26.9, s = 75; (d) D = 26.9, s = 50.
Buildings 16 00812 g014
Figure 15. Analytical Models: (a) Concrete column strengthened by UHPCFST; (b) RC column.
Figure 15. Analytical Models: (a) Concrete column strengthened by UHPCFST; (b) RC column.
Buildings 16 00812 g015
Figure 16. Failure process of the composite column under compression: (a) Initial expansion stage; (b) External concrete reaching peak strain; (c) Composite column reaching peak stress.
Figure 16. Failure process of the composite column under compression: (a) Initial expansion stage; (b) External concrete reaching peak strain; (c) Composite column reaching peak stress.
Buildings 16 00812 g016
Figure 17. N–δ curves of the composite column: overall and individual components: (A) Characteristic point A; (B) Characteristic point B; (C) Characteristic point C; (D) Characteristic point D.
Figure 17. N–δ curves of the composite column: overall and individual components: (A) Characteristic point A; (B) Characteristic point B; (C) Characteristic point C; (D) Characteristic point D.
Buildings 16 00812 g017
Figure 18. Longitudinal Stress Distribution in Concrete: (a) Characteristic point A; (b) Characteristic point B; (c) Characteristic point C; (d) Characteristic point D.
Figure 18. Longitudinal Stress Distribution in Concrete: (a) Characteristic point A; (b) Characteristic point B; (c) Characteristic point C; (d) Characteristic point D.
Buildings 16 00812 g018
Figure 19. Longitudinal strain in tension members: (a) Steel bar strain; (b) Steel tube strain.
Figure 19. Longitudinal strain in tension members: (a) Steel bar strain; (b) Steel tube strain.
Buildings 16 00812 g019
Figure 20. N-ԑ curves of the steel tube.
Figure 20. N-ԑ curves of the steel tube.
Buildings 16 00812 g020
Figure 21. Stirrup strain: (a) Stirrup strain in RC column; (b) Stirrup strain in composite column.
Figure 21. Stirrup strain: (a) Stirrup strain in RC column; (b) Stirrup strain in composite column.
Buildings 16 00812 g021
Figure 22. Effect of UHPCFST on stirrup behavior.
Figure 22. Effect of UHPCFST on stirrup behavior.
Buildings 16 00812 g022
Figure 23. Cross-section schematic.
Figure 23. Cross-section schematic.
Buildings 16 00812 g023
Figure 24. N-δ curves for different steel tube diameters at constant steel ratio.
Figure 24. N-δ curves for different steel tube diameters at constant steel ratio.
Buildings 16 00812 g024
Figure 25. N-δ curves under different steel ratios: (a) Variation with steel tube diameter; (b) Variation with steel tube wall thickness.
Figure 25. N-δ curves under different steel ratios: (a) Variation with steel tube diameter; (b) Variation with steel tube wall thickness.
Buildings 16 00812 g025
Figure 26. N-δ curves with different numbers of steel tubes.
Figure 26. N-δ curves with different numbers of steel tubes.
Buildings 16 00812 g026
Figure 27. N-δ curves with different stirrup spacings.
Figure 27. N-δ curves with different stirrup spacings.
Buildings 16 00812 g027
Figure 28. N-δ curves under different concrete strengths.
Figure 28. N-δ curves under different concrete strengths.
Buildings 16 00812 g028
Figure 29. N-δ curves under different steel tube strengths.
Figure 29. N-δ curves under different steel tube strengths.
Buildings 16 00812 g029
Table 1. Key parameters of the specimens.
Table 1. Key parameters of the specimens.
SpecimenSteel Tubeh (mm) h / D ξ
D (mm)t (mm)
D89-48942502.810.596
D89-58952502.810.774
D89-68962502.810.966
D73-47342002.740.751
D83-48342302.770.646
D108-410843002.780.478
Note: D is the outer diameter of the steel tube, t is the wall thickness of the steel tube, h is the height of the specimen, h/D is the length-to-diameter ratio, and ξ is the confinement effect coefficient, ξ = ( A s f y ) / ( A c f ck ) .
Table 2. Tensile test results of the steel tube.
Table 2. Tensile test results of the steel tube.
Parameter (mm × mm) E / GPa f y / MPa f u / MPa
73 × 4232425550
83 × 4245403560
89 × 4204330465
89 × 5235335500
89 × 6234350515
108 × 4196347515
Note: E is the modulus of elasticity; f y is the yield strength; f u is the ultimate tensile strength.
Table 3. Test results of the UHPCFST specimens.
Table 3. Test results of the UHPCFST specimens.
SpecimenNmax (kN) ε u Ny (kN) ε y Nr (kN)Nmax/NyNr/NmaxNr/Ny
D89-41027.760.0219750.300.0096872.331.36900.84891.1640
D89-51067.600.02481023.130.21821028.451.04350.96321.0050
D89-61116.450.02441072.270.2192993.821.04130.89010.9268
D73-4871.030.0235505.440.0110720.351.72340.82361.4250
D83-4994.100.0244598.520.0124823.141.66090.82761.3750
D108-41452.630.01341317.350.01161033.521.10270.71140.7845
Note: N max denotes the peak load of the specimen, and ε u denotes the corresponding peak strain; N y denotes the yield load of the specimen, and ε y denotes the corresponding yield strain; N r denotes the minimum load value after the peak load, characterizing the residual load-bearing capacity.
Table 4. Key parameters and calculated results of the specimens.
Table 4. Key parameters and calculated results of the specimens.
SpecimenSteel Tube P u , num P u , exp P u , num / P u , exp
D (mm)t (mm)
D89-48941108.761027.761.079
D89-58951150.911067.601.078
D89-68961217.881116.451.091
D73-4734871.64871.031.001
D83-4834995.97994.101.002
D108-410841516.291452.631.044
Note: D is the outer diameter of the steel tube, t is the wall thickness of the steel tube, P u , num is the peak load obtained from finite element analysis, and P u , exp is the peak load measured in the experiment (unit: kN).
Table 5. Parameters and Calculated Results of Test Specimens.
Table 5. Parameters and Calculated Results of Test Specimens.
NumberSteel TubeStirrup P u , num P u , exp
Dt f y ds f y
133.72450105040027832729
233.72450107540026472633
326.92.6335105040025952598
426.92.6335107540025842443
Note: D is the outer diameter of the steel tube, t is the wall thickness of the steel tube, d is the diameter of the stirrups, and s is the spacing of the stirrups (unit: mm); f y is the yield strength of the steel tube, and f y is the yield strength of the stirrups (unit: MPa); P u , num is the peak load obtained from finite element analysis, and P u , exp is the peak load measured in the experiment (unit: kN).
Table 6. Model parameters.
Table 6. Model parameters.
NumberD (mm)t (mm)nd (mm)s (mm) ρ
USC894810503.4%
RC301210503.4%
Note: n is the number of steel tubes or reinforcing bars; ρ is the steel ratio.
Table 7. Main parameters of composite columns.
Table 7. Main parameters of composite columns.
ModelD (mm)t (mm) ρ ns (mm) f c (Mpa) f y (Mpa)P1 (kN)P2 (kN) μ D
RC-1303.4%1250354008927.11.26
USC-17353.4%850353458768.58641.4
USC-28943.4%850353458828.79818.01.24
USC-31083.23.4%850353459661.413,047.21.17
USC-47342.7%850353458432.97972.82.95
USC-510844.2%8503534510,116.013,199.81.10
USC-68954.2%850353459424.610,212.41.23
USC-78965%850353459835.210,728.81.51
USC-8898.43.4%450353458541.17076.11.42
USC-98943.4%875353459323.110,170.81.29
USC-108943.4%8100353458736.68990.11.17
USC-118943.4%8506034511,260.59940.41.14
USC-128943.4%8508034513,103.710,112.01.10
USC-138943.4%850354209174.610,375.21.23
USC-148943.4%850355009383.611,050.31.24
Note: μ D is the displacement ductility coefficient, calculated as μ D = D u / D s , where D u is the displacement when the load drops to 85% of the peak load, and D s is the displacement at the peak load.
Disclaimer/Publisher’s Note: The statements, opinions and data contained in all publications are solely those of the individual author(s) and contributor(s) and not of MDPI and/or the editor(s). MDPI and/or the editor(s) disclaim responsibility for any injury to people or property resulting from any ideas, methods, instructions or products referred to in the content.

Share and Cite

MDPI and ACS Style

Du, J.; Shi, Q.; Li, X. Axial Compression Behavior of Concrete Columns Strengthened with UHPC-Filled Steel Tubes. Buildings 2026, 16, 812. https://doi.org/10.3390/buildings16040812

AMA Style

Du J, Shi Q, Li X. Axial Compression Behavior of Concrete Columns Strengthened with UHPC-Filled Steel Tubes. Buildings. 2026; 16(4):812. https://doi.org/10.3390/buildings16040812

Chicago/Turabian Style

Du, Jing, Qingxuan Shi, and Xuemei Li. 2026. "Axial Compression Behavior of Concrete Columns Strengthened with UHPC-Filled Steel Tubes" Buildings 16, no. 4: 812. https://doi.org/10.3390/buildings16040812

APA Style

Du, J., Shi, Q., & Li, X. (2026). Axial Compression Behavior of Concrete Columns Strengthened with UHPC-Filled Steel Tubes. Buildings, 16(4), 812. https://doi.org/10.3390/buildings16040812

Note that from the first issue of 2016, this journal uses article numbers instead of page numbers. See further details here.

Article Metrics

Back to TopTop