Next Article in Journal
Research on Performance Optimization and Vulnerability Assessment of Tension Isolation Bearings for Bridges in Near-Fault Zones: A State-of-the-Art Review
Previous Article in Journal
Prediction of Chloride Diffusion Coefficient in Concrete by Micro-Structural Parameters Based on the MLP Method by Considering Data Missing and Small Sample in Database
 
 
Font Type:
Arial Georgia Verdana
Font Size:
Aa Aa Aa
Line Spacing:
Column Width:
Background:
Article

Analysis of the Temperature Field in High-Rise Concrete Tower Structure

1
China Railway 21st Bureau Group First Engineering Co., Ltd., Urumqi 830011, China
2
College of Civil Engineering and Architecture, Xinjiang University, Urumqi 830046, China
*
Authors to whom correspondence should be addressed.
Buildings 2026, 16(3), 514; https://doi.org/10.3390/buildings16030514
Submission received: 30 October 2025 / Revised: 6 January 2026 / Accepted: 24 January 2026 / Published: 27 January 2026
(This article belongs to the Section Building Structures)

Abstract

High-rise concrete tower structures located in arid-cold regions with large diurnal temperature variations are subjected to significant solar-induced thermal loads, which can induce considerable thermal stresses and affect long-term durability. However, a comprehensive understanding of the spatiotemporal distribution of the temperature field and its correlation with atmospheric conditions remains insufficient, particularly based on field monitoring studies. This study aims to elucidate these relationships through continuous temperature monitoring of a high-rise concrete tower in Shanshan, Xinjiang, during a period of intense solar radiation. Surface and internal temperatures at different heights were measured alongside atmospheric temperature. The results show that the outer surface temperature closely follows the trend of the atmospheric temperature while generally being higher, indicating a strong correlation. In contrast, the inner surface temperature is lower and exhibits a weaker correlation with the atmosphere. A significant time lag of up to 3 h was observed between the peak temperatures of the outer and inner surfaces, attributable to the thermal inertia of concrete. The study identified notable vertical and through-thickness temperature gradients, with the maximum temperature difference reaching 12 °C. These findings provide crucial empirical data and mechanistic insights into the thermal behavior of high-rise concrete structures under extreme climates, establishing a solid foundation for subsequent thermal stress analysis and durability assessment. This research emphasizes the necessity of considering diurnal thermal cycles in the design and maintenance of such structures.

1. Introduction

High-rise concrete tower structures are extensively used in critical sectors such as communications, power, and broadcasting [1,2,3]. When these structures are exposed to the natural environment over extended periods, their surface temperatures are significantly influenced by atmospheric conditions and various complex factors, posing considerable challenges to their seismic performance, durability, and safety [4,5]. In structural engineering, temperature effects have consistently been recognized as key factors affecting structural performance and durability [6,7]. As modern bridges, roads, and building structures become increasingly intricate, the impact of temperature fields and their associated stress distributions grows in significance. In some inland mid-latitude regions, such as the Xinjiang Tianshan Mountains region and northern Inner Mongolia in China, the northern Great Plains of the United States (e.g., Montana, North Dakota), and the provinces of Alberta and Saskatchewan in Canada, the climatic conditions are characterized by extremely hot summers, harsh winters, and substantial diurnal temperature variations [8,9,10,11]. Significant temperature differences cause varying degrees of degradation in the material properties and overall stability of engineering structures [12,13]. During the construction phase, the temperature effects experienced by concrete components are characterized by large amplitude fluctuations, frequent changes, and complex patterns. The thermal expansion and contraction effects caused by temperature differences can lead to significant stress variations within the concrete. If the accumulated stress exceeds the material’s limits, it may result in structural cracks and other damage risks, severely affecting the normal functionality of concrete structures [14,15].
Research on temperature effects in building structures indicates that concrete structures experience temperature increases due to hydration heat and changes in external environmental temperature, with more pronounced temperature variations occurring during the early casting stage. Such variations in temperature stress can lead to localized cracking within the concrete structure, affecting its durability [16,17]. Furthermore, during its service life, a concrete structure is subject to environmental temperature influences such as diurnal temperature differences, seasonal changes, and solar radiation. These repeated heating and cooling cycles cause the concrete to undergo continuous thermal expansion and contraction, thereby generating fatigue stress [18,19,20]. Long-term temperature cycling can cause the expansion and interconnection of micro-cracks within the concrete, leading to a decline in its macroscopic mechanical properties [21]. Regarding such phenomena, Song et al. [22], through field measurements and finite element simulations of a prestressed concrete box-girder bridge segment, found that the vertical temperature distribution approximates an exponential function, rather than the simplified linear model traditionally adopted in design codes. Do et al. [23] proposed a model based on the three-dimensional finite difference method to accurately predict the temperature evolution inside concrete structures during the hardening stage. This model was validated using measured temperature data from two concrete members and demonstrated good predictive accuracy. Wang et al. [24] utilized low-temperature-rise (LTR) polymers to regulate the hydration process of cement-based materials, thereby preparing low-temperature-rise mass concrete to mitigate temperature-induced cracking. Gao et al. [25] proposed the use of a phase-change cementitious material to repair pores and cracks generated in concrete under high-temperature conditions, thereby improving its high-temperature resistance. Furthermore, Tangirala et al. [26] found that using materials such as high-volume fly ash and fine steel slag aggregates can effectively enhance the resistance of cement-based composites to environmental thermal fatigue.
For slender structures like towers and bridges, their self-weight, boundary conditions, and connections to other components impose restraints on thermal deformation. When temperature changes cause concrete to expand or contract, these restraints generate additional stresses [27,28]. For example, expansion joints in bridges are designed to accommodate length changes induced by temperature [29,30]. Excessive restraint can lead to temperature stresses that may cause structural cracking or excessive deformation [31]. Addressing such phenomena, Zhou et al. [32] established a thermal performance model for tall towers based on convective heat transfer theory. They proposed a method for constructing equivalent temperature differences based on an equivalent temperature difference coefficient and derived its empirical expression, which effectively reflects the influence of operational conditions on the convective heat transfer equivalent temperature difference. Zeng et al. [33] introduced an improved method for predicting temperature distribution in engineering structures. By incorporating a 3D transient mechanism coupled with multi-source environmental variables analysis, the method significantly enhances the prediction accuracy of temperature field distribution in concrete structures under complex working conditions. Wang et al. [34], based on structural health monitoring technology, systematically studied the mechanism of temperature distribution on steel box girders using one year of field monitoring data from a long-span suspension bridge. Considering that satellites cannot always accurately assess displacements in structural monitoring, Ponzo et al. [35] developed a 3D digital twin model calibrated using ambient vibration data to analyze thermal deformation in civil structures caused by air temperature variations. Fraga et al. [36] employed the Finite Element Method (FEM) to simulate the construction of a large concrete structure with a post-cooling system. In mass concrete members like bridge foundations, an embedded Cooling Pipe System (CPS) circulates water to remove hydration heat, thereby controlling temperature rise, reducing thermal stress, and preventing crack formation. When applied to a real project, the simulation results closely matched the field temperature measurements. The robust SHM methodology validated by Argentino et al. [37] for bridge monitoring provides a conceptual framework for a future integrated monitoring system for tall towers. This provides a pathway towards predictive maintenance models for high-rise concrete towers, making the early warning of thermal fatigue damage operationally feasible.
In summary, investigating the relationship between the surface temperature of high-rise concrete structures and the atmospheric temperature is of significant practical importance, as temperature effects in civil engineering structures cannot be overlooked. Researchers have revealed the distribution patterns of temperature fields and their mechanisms of influence on stress under different structural forms and material conditions through numerical simulations, experimental monitoring, and theoretical analysis [38,39,40]. However, studies specifically focusing on high-rise structures, particularly detailed comparative analyses of the internal and external surface temperatures of concrete in relation to atmospheric temperature, are relatively scarce. Therefore, this study employed a practical engineering case as the research background and systematically investigates the relationship between the surface temperature of high-rise concrete structures (including both external and internal surfaces) and the atmospheric temperature, as well as their effects on stress distribution, through field monitoring and comparative analyses of temperature fields over different time periods. It aimed to uncover the correlation between the temperature field and the high-rise tower structure. The findings provide reliable theoretical foundations and data support for the rational design, maintenance management, and durability assessment of high-rise structures, thereby enhancing their safety and longevity.

Research Framework

The study commenced with defining the research objective: to characterize the spatiotemporal temperature field of a high-rise concrete tower and its correlation with atmospheric conditions. This was addressed through a sequential approach: (1) field monitoring design and implementation to collect temperature data at multiple heights and surfaces; (2) multi-dimensional analysis of the collected data to extract temporal trends, spatial gradients, and correlation patterns; (3) discussion of the findings in the context of heat transfer mechanisms and structural implications. The research framework flowchart is shown in Figure 1.

2. Field Monitoring

A Cos-03 USB temperature and humidity data logger (manufactured by Shandong Renke Measurement and Control Technology Co., Ltd., Jinan City, China), which boasts an accuracy of 0.25 °C and a measurement range of −20 °C to 120 °C, is utilized for temperature monitoring. Additionally, a second-generation USB version, the T20BL-EX external thermometer (manufactured by Shenzhen Huahanwei Technology Co., Ltd., Shenzhen City, China), which also has a measurement range of −20 °C to 120 °C, and a portable K-type contact temperature-measuring thermocouple, were employed, as depicted in Figure 2.
The Cos-03 and T20BL-EX data loggers were set to a sampling interval of 5 min, and the integration time of the temperature sensors is 25 s.

Monitoring Scheme and Monitoring Point Layout

Based on the structural design drawings and field observations, four measurement points were evenly arranged both inside and outside each standard layer in the upper, middle, and lower sections of the high-rise structure for temperature monitoring. Continuous temperature monitoring of the inner and outer surface temperatures of the high-rise structure, as well as the atmospheric temperature, was conducted from July to August 2023. Specifically, these monitoring points were positioned at the bottom on the first-level platform, the middle of the 13th-level platform (86.4 m), and the top of the 21st-level platform (118.8 m) on both the inner and outer wall surfaces of the cantilever circular platform. The monitoring directions were aligned with the south, north, east, and west. The monitoring points at each layer were positioned 1 m above the ground. The specific arrangement of temperature monitoring points in the upper, middle, and lower sections of the high-rise structure is depicted in Figure 3.

3. Surface Temperature and Atmospheric Temperature of High-Rise Concrete Tower

3.1. Comparative Analysis of Surface Temperature of Concrete Tower and Atmospheric Temperature

Figure 4 presents the relationship between the concrete outer surface temperature and the atmospheric temperature.
Figure 4 shows that the variation amplitudes of the concrete outer surface temperature and the atmospheric temperature are generally consistent, exhibiting identical peak values. Overall, the concrete outer surface temperature was slightly higher than the atmospheric temperature, with a relatively small difference between the two.
Figure 5 illustrates a comparative analysis of the average concrete outer surface temperature and the average atmospheric temperature in August. Figure 5a reveals that the average concrete outer surface temperature is generally higher than the atmospheric temperature. The variation in concrete outer surface temperature closely aligned with that of atmospheric temperature, with a discrepancy of 3.5%. Figure 5b indicates a strong correlation between the concrete outer surface temperature and the atmospheric temperature. The fitting equation representing this relationship is determined to be:
y = 0.999x + 0.001, R2 = 0.999
Further analysis was conducted using the highest temperatures recorded on 3 August and 5 August, as well as the lowest temperatures from 15 August and 16 August. The resulting temperature variation curves are illustrated in Figure 5.
Figure 6 demonstrates that the curves of the concrete outer surface temperature and the atmospheric temperature generally exhibit similar trends, and the outer surface temperature varies in accordance with the atmospheric temperature. Overall, the concrete outer surface temperature was higher than the atmospheric temperature. However, between 10:00 and 20:00, the concrete outer surface temperature was lower than the atmospheric temperature. Conversely, during the periods from 00:00 to 10:00 and from 20:00 to 24:00, the concrete outer surface temperature was higher than the atmospheric temperature.

3.2. Comparative Analysis of Concrete Inner Surface Temperature and Atmospheric Temperature

Figure 7 presents a comparative analysis of the concrete inner surface temperature and the atmospheric temperature. The difference in the variation amplitude between the concrete inner surface temperature and the atmospheric temperature was significant, with the atmospheric temperature generally being slightly higher than the concrete inner surface temperature.
A comparative analysis of the average concrete inner surface temperature and the average atmospheric temperature in August is presented in Figure 8. Monitoring data revealed a relative correlation between the two temperatures. As shown in Figure 8a, the atmospheric temperature was generally higher than the inner surface temperature. While the variation in the concrete inner surface temperature closely resembled that in the atmospheric temperature, a significant numerical difference existed between the two. Figure 8b indicates a substantial dispersion between the atmospheric temperature and the inner surface temperature. The fitting equation representing this relationship is determined to be:
y = 0.959x + 3.857, R2 = 0.95
The comparison analysis of the average concrete inner surface temperature and the average atmospheric temperature was conducted. For this analysis, data from days with the highest temperatures—3 August and 5 August—as well as days with the lowest temperatures—15 August and 16 August—were selected. The resulting temperature variation curves are depicted in Figure 8.
Figure 9 demonstrates that the trends of the inner surface temperature on 3 August and 5 August are generally similar to those of the atmospheric temperature. Likewise, the trends of the inner surface temperature on 15 August and 16 August were also largely consistent with those of the atmospheric temperature. Overall, the variation trend of the atmospheric temperature was considerably larger, while the variation trend of the inner surface temperature was relatively smaller. Figure 9 reveals that as the atmospheric temperature increased, the difference between the concrete inner surface temperature and the atmospheric temperature became more pronounced. Generally, the concrete inner surface temperature was lower than that the atmospheric temperature.

4. Analysis of Temperature Field in High-Rise Tower

4.1. Temperature in the Upper Section of the Tower

The daily temperature variations for monitoring points 1, 2, 3, and 4 in the upper section of the high-rise structure are depicted in Figure 10, where monitoring point 1 represents the outer surface temperature, while monitoring point 4 denotes the inner surface temperature. The temperature variation at the outer surface of the high-rise structure (monitoring point 1) exhibited the largest amplitude, with its maximum value also representing the highest temperature. The temperature near the outer surface (monitoring point 2) peaked at 18:00, showing a delay of approximately 1 h. The temperature near the inner surface (monitoring point 3) reached its peak at 19:00, showing a delay of about 2 h. The temperature change at the inner surface (monitoring point 4) had the smallest amplitude, gradually increasing from 8:00 and peaking at 20:00, which reflected a delay of about 3 h compared to the outer surface temperature. This delay in peak occurrence was attributed to the relatively poor thermal conductivity of concrete. Additionally, the temperature variation curves for monitoring points 1 to 4 followed a similar pattern, with the peak temperatures exhibiting a lag. A comparison of vertical temperature differences at the same time points indicated that the largest temperature difference in the upper section of the high-rise structure occurred between 17:00 and 19:00, while the temperature differences at other times were relatively small.
Figure 10 reveals that the daily temperature variation is most pronounced at the outer surface (point 1) of the top section, while the inner surface (point 4) exhibits the smallest variation. The peak temperature at the outer surface occurs approximately 3 h earlier than that at the inner surface, reflecting the heat transfer lag caused by the thermal inertia of concrete. Figure 11 further indicates that the maximum temperature difference across the top section is concentrated between 17:00 and 19:00, during which the temperature disparity between the outer and inner surfaces is most significant and the thermal gradient is steepest.
The vertical temperature distribution curves in the upper section of the high-rise structure presented in Figure 11 demonstrate consistent patterns of change at 10:00, 12:00, and 14:00. As solar radiation intensity increased, the outer surface temperature of the high-rise structure gradually rose. The high solar radiation intensity in the Shanshan region resulted in a similar temperature variation pattern for both the outer surface and the adjacent side of the high-rise structure.

4.2. Temperature in the Middle Section of the Tower

The diurnal variation in temperature at monitoring points 5, 6, 7, and 8 in the middle section of the high-rise tower is illustrated in Figure 12. Compared to the temperature in the upper section of the high-rise tower, the middle section received slightly lower solar radiation in terms of both duration and intensity. The temperature changes at the concrete outer surface in the middle section (monitoring point 5) were the most pronounced and peaked at 14:00. In contrast, the temperature variations at the cross-sectional monitoring points (monitoring points 6, 7, and 8) were relatively small, and the concrete outer surface temperature (monitoring point 8) exhibited a more gradual change. This point reached its peak temperature at 17:00, which was approximately three hours later than the peak time observed in the upper section. This delay is primarily due to the thermal lag of the concrete.
As shown in Figure 12, the outer surface (point 5) reaches its temperature peak around 14:00, while the inner surface (point 8) attains its peak around 17:00. Figure 13 indicates that at 14:00, the temperature difference between the inner and outer surfaces is the largest, approximately 10 °C, suggesting the most significant thermal non-uniformity across the middle section during this period.
The vertical temperature distribution in the middle section of the high-rise tower is shown in Figure 13. A significant temperature difference was observed between the outer surface (monitoring point 5) and the inner surface (monitoring point 8). The maximum temperature difference between the inner and outer surfaces occurred around 14:00, at which time the outer surface temperature was 35 °C, while the inner surface temperature was 25 °C, resulting in a temperature difference of 10 °C.

4.3. Temperature in the Lower Section of the Tower

The diurnal temperature variation at monitoring points 9, 10, 11, and 12 in the lower section of the high-rise tower is illustrated in Figure 14. Compared to the upper and middle sections, the lower section received slightly lower direct solar radiation intensity. The surface temperature fluctuations in the lower section (monitoring point 9) were significant, peaking at 15:00. This peak temperature at the outer surface occurred one hour later than the peak values recorded in upper and middle sections, which was attributed to the delayed direct solar radiation and other factors such as ground radiation. The temperature fluctuations at the inner surface (monitoring point 12) and in the middle section (monitoring points 10 and 11) were relatively mild and ultimately stabilized.
Figure 14 shows that the outer surface (point 9) reaches its temperature peak at 15:00, while the temperature of the inner surface (point 12) remains relatively stable. Figure 15 indicates that the maximum temperature difference between the inner and outer surfaces occurs at 14:00, reaching 12 °C, with the temperature variation at the outer surface being significantly more pronounced than that within the interior.
The vertical temperature distribution curve in the lower section of the structure is shown in Figure 15, which indicated a nonlinear variation trend. The outer surface temperature increased as it approached the tower’s bottom, accompanied by a noticeable temperature variation. At 10:00, the inner surface temperatures in the lower and middle sections were similar, while the outer surface temperature was significantly higher than the internal temperature. By 12:00, there were no notable changes in the temperature distribution pattern; however, the temperatures in the lower section increased to some extent. Finally, at 14:00, the temperature of the inner surface (point 12) showed no significant change, while the temperature of the outer surface (monitoring point 9) experienced a marked increase, resulting in a temperature difference of 12 °C in the lower section of the tower. By 18:00, the temperatures of both the inner surface and the middle section continued to rise slowly, whereas the temperature of the outer surface displayed a declining trend.

4.4. Analysis of Thermal Gradient at Different Heights

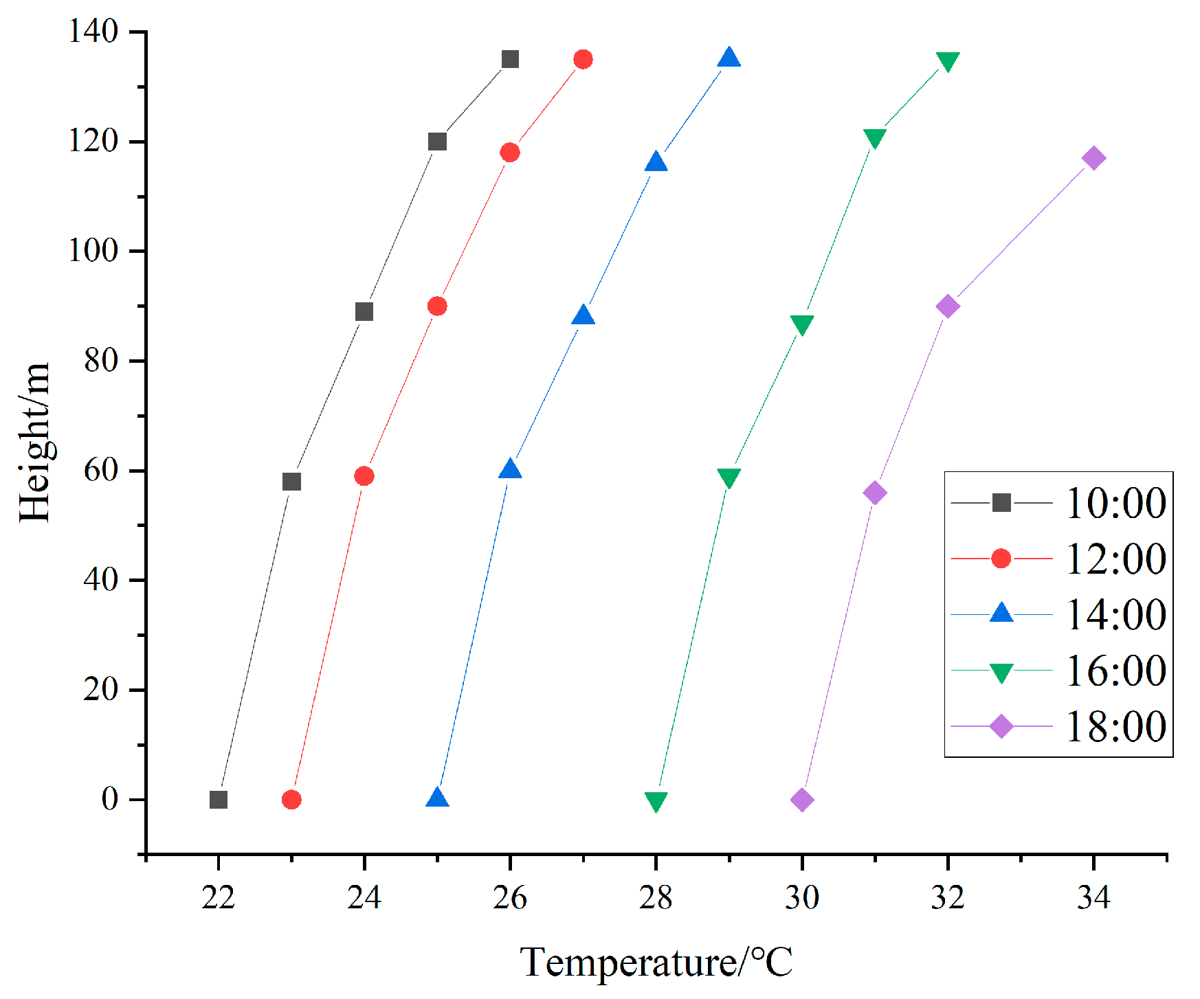
The maximum external surface temperatures of the tall tower at different heights were compared and analyzed, as shown in Figure 16.
As shown in Figure 16, the external surface temperature of the tall tower exhibits a gradual upward trend with increasing height at the same time of day, with the highest temperature observed at the top. The temperature variation is not substantial, showing a difference of approximately 3 °C from the base to the top. Throughout the day, at 10:00, the temperature is lowest at the base (22 °C) and rises to 22.7 °C at 60 m, 23.5 °C at 90 m, and 24.4 °C at 120 m, resulting in an overall increase of 2.4 °C. A similar pattern is observed at 12:00, with the base temperature at 23 °C increasing to 24 °C at 60 m, 25.2 °C at 90 m, and 25.8 °C at 120 m, corresponding to a total rise of 2.8 °C. At 14:00, the temperature starts at 25 °C at the base and reaches 26.1 °C, 26.8 °C, and 27.6 °C at heights of 60 m, 90 m, and 120 m, respectively, reflecting an overall increase of 2.46 °C. By 16:00, the base temperature is 28 °C, climbing to 28.7 °C at 60 m, 29.6 °C at 90 m, and 30.4 °C at 120 m, with a total increase of 2.4 °C. Finally, at 18:00, the temperature increases from 30 °C at the base to 30.7 °C at 60 m, 31.7 °C at 90 m, and 32.8 °C at 120 m, marking an overall rise of 2.8 °C. Therefore, the pattern across different heights at the same time of day consistently indicates that the external surface temperature of the tall tower gradually increases with height. This vertical gradient is primarily attributed to variations in wind speed and differences in solar radiation reception at different heights.

4.5. Comparative Analysis of Temperature Distributions Across Different Sections

A comprehensive comparison of the thermal behavior in the upper, middle, and lower sections of the high-rise concrete tower is presented in Table 1, synthesizing the key findings from Section 4.1, Section 4.2, Section 4.3 and Section 4.4.
The observed spatial differences in temperature distribution are primarily driven by a series of interconnected physical factors. The upper section, receiving the most direct and prolonged solar radiation, exhibits the highest outer surface temperature and the greatest daily fluctuation amplitude. The middle section experiences slightly weaker radiation, while the lower section, due to earlier shading and a lower solar incidence angle, shows a lower outer surface peak temperature that occurs later in the day. This non-uniform external heating is further mediated by the material property of concrete—its low thermal diffusivity—which slows heat transfer through the thick walls, resulting in a significant time lag of up to three hours between the peak temperatures of the outer and inner surfaces in the upper and middle sections. This pronounced thermal inertia, combined with varying external thermal excitation across different zones, leads to distinct through-thickness temperature gradients. Notably, the lower section develops the largest temperature difference between the inner and outer surfaces (up to 12 °C), attributable to solar heating on the exterior coupled with the relatively stable and cooler conditions inside the tower base, potentially augmented by ground-reflected heat. Simultaneously, a clear vertical temperature gradient is observed across the entire structure, with the outer surface temperature increasing with height (a rise of approximately 2.4–2.8 °C from the base to the top). This is mainly due to the diminishing influence of ground-level heat, potentially enhanced convective cooling from higher wind speeds at lower levels, and unobstructed solar exposure at the top. The unique thermal response of the lower section, particularly its relatively stable inner surface temperature, is further modulated by ground-level microclimatic effects, including the combined influence of heat release from the ground (re-radiation), partial wind shielding, and shading from the structure itself. In summary, the thermal response of the tall tower is non-uniform and exhibits height-dependent stratification: the upper section is dominated by direct solar cycles, the middle section acts as a transitional zone, and the lower section is significantly regulated by ground-level microclimatic effects. This systematic understanding is crucial for establishing accurate thermal models and developing zonal mitigation strategies.

4.6. Statistical Summary of Maximum Daily Temperature Gradients

A statistical analysis was conducted on the maximum daily through-thickness temperature gradient ( Δ T m a x ) over the entire monitoring period (approximately 60 days from July to August 2023). For each day and each tower section (upper, middle, lower), the Δ T m a x between the outer and inner surfaces was identified. The statistical results are summarized in Table 2.
The statistical summary reveals that the absolute maximum gradient of 12.5 °C reported for the lower section, while an extreme value, aligns with its 95th percentile of 11.9 °C, confirming it as characteristic of the most severe thermal loading days and thus critical for design. This analysis further highlights that the lower section exhibits not only the highest mean ΔTmax (9.1 °C) but also the greatest variability (Std. Dev. = 2.0 °C), reinforcing the significant and fluctuating influence of ground-level microclimates. The data for each section approximates a normal distribution, enabling a simple probabilistic model; for instance, approximately 68% of daily maxima in the lower section fall between 7.1 °C and 11.1 °C (mean ± 1 SD). These statistical parameters provide a superior basis for design compared to single-day maxima. The 95th percentile value offers a rational design threshold exceeded only 5% of the time, balancing safety and economy, while the mean value represents the long-term average amplitude of thermal stress cycles, crucial for fatigue assessment. In conclusion, this analysis transforms discrete daily observations into a generalized gradient distribution model. It confirms previously identified spatial trends while quantifying their long-term frequency and magnitude, thereby yielding more robust and actionable conclusions for structural design and durability assessment.

5. Discussion

5.1. Dimensionless Analysis of Transient Heat Conduction

To quantitatively characterize the observed transient heat transfer regime and validate the assumption of predominant one-dimensional heat flow through the wall thickness, a dimensionless analysis was conducted using the Biot number (Bi) and the Fourier number (Fo).
The Biot number is defined as
B i = h l k
where h is the convective heat transfer coefficient at the outer surface (taken as 15 W/(m2·K) for moderate wind conditions), l is the characteristic length (taken as the wall thickness, l = 0.5 m), and k is the thermal conductivity of concrete (taken as 2.5   W / ( m K ) . This yields B i = 3.0 . B i > 0.1 indicates that the internal conductive thermal resistance is significant compared to the external convective resistance, confirming that a substantial temperature gradient exists across the wall thickness, as observed in our measurements (e.g., inner–outer surface ΔT up to 12 °C). This justifies the consideration of through-thickness thermal gradients and validates that the heat transfer is not surface-resistance dominated.
The Fourier number, defined as
F o = α t l 2
where
α = k ρ c
α = k / ρ c is the thermal diffusivity of concrete (with density ρ = 2400   k g / m 3 and specific heat capacity 900   J / ( k g K ) , yielding α = 1.16 × 10 6   m 2 / s , and t is the characteristic time. For the observed time lag of approximately 3 h ( t = 10,800   s ) between the outer and inner surface peak temperatures, the corresponding Fourier number is F o = 0.05 . This relatively low Fo value indicates that the thermal diffusion process over the wall thickness is relatively slow compared to the diurnal cycle, which quantitatively explains the significant phase lag observed and is consistent with the “thermal inertia” effect described qualitatively.
This dimensionless analysis confirms that the heat transfer through the concrete wall is governed by a transient conduction regime with significant internal resistance ( B i 0.1 ) and a thermal response time that is a notable fraction of the diurnal period ( F o 0.05 ). This supports the physical interpretation of the measured spatiotemporal temperature patterns.

5.2. Back-Calculation of Effective Thermal Diffusivity

To move beyond qualitative interpretation and rigorously quantify the material property responsible for the observed thermal lag, the effective thermal diffusivity (α) of the concrete was back-calculated from the field monitoring data. The method utilizes the amplitude attenuation and phase lag of the temperature wave as it propagates through the wall thickness.
For one-dimensional, periodic heat flow in a slab, the relationship between the temperature amplitude at the outer surface ( A O ), the inner surface ( A i ), the phase lag ( φ , in radians), the wall thickness (L), and the thermal diffusivity (α) at the dominant diurnal frequency ( ω = 2 π / 86,400 S 1 ) is given by:
A i A o = e x p ( L ω 2 α )
φ = L ω 2 α
Using the temperature time-series data from a representative clear day (e.g., 3 August, from Figure 10), the amplitude ratio Ai/Ao was determined to be approximately 0.65, and the phase lag Δφ corresponding to the 3 h delay was 0.785 radians. Solving the equations with L = 0.5 m yields a consistent value for the effective thermal diffusivity: α = 1.1 × 10 6   m 2 / s .
This value is in good agreement with the typical range for concrete ( α 0.5 1.5 × 10 6   m 2 / s ) and aligns closely with the value derived from the assumed material properties used in our Fourier number calculation ( α = 1.1 × 10 6   m 2 / s ). This independent, data-driven validation strengthens the conclusion that the observed spatiotemporal temperature patterns are fundamentally governed by the transient heat conduction process characterized by this effective thermal diffusivity.

5.3. Estimation of Thermal Stress and Cracking Potential

To assess the structural implications of the observed temperature differences, a first-order estimation of the induced thermal stress was conducted. For a fully restrained condition, the maximum elastic thermal stress (σ) due to a uniform temperature change ΔT is given by:
σ = E α T 1 υ
where E is the elastic modulus of concrete (taken as 30 GPa based on the project material data), α is the coefficient of thermal expansion ( 10 × 10 6 / ° C ) , ΔT is the measured temperature difference between the inner and outer surfaces (taken as the maximum observed value of 12 °C from the lower section, Figure 15), and υ is Poisson’s ratio (0.2).
Substituting these values yields: σ = 4.5   M P a . This estimated tensile stress (4.5 MPa) is of the same order of magnitude as the typical tensile strength of concrete ( f t = 2–4 MPa for C35–C40 concrete). This simple calculation indicates that the thermally induced stress under full restraint could indeed approach or exceed the cracking threshold of concrete. However, in actual structures, stress relaxation due to creep and partial restraint conditions will reduce the actual stress. Nonetheless, this estimate highlights the significant potential for thermal cracking under the observed daily thermal cycles and underscores the importance of considering thermal effects in design and maintenance.

5.4. Implications for Life-Cycle Thermal Management and Design

The spatiotemporal temperature patterns elucidated in this study provide a critical empirical basis for implementing a life-cycle thermal management strategy for high-rise concrete towers in arid-cold regions. This perspective extends from initial design through long-term operation and maintenance. In the design phase, the quantified through-thickness (10–12 °C) and vertical (up to 2.8 °C) gradients must be explicitly considered as primary environmental loads. Mitigation strategies could include the use of concrete mixes with a lower coefficient of thermal expansion, the application of external insulation or reflective coatings on sun-exposed surfaces—particularly in the lower and middle sections where the inner–outer surface ΔT is highest—and structural detailing that accommodates thermal movement. During construction, the understanding of thermal lag and gradient development is crucial for controlling temperature differentials in mass concrete placements to prevent early-age thermal cracking. For existing structures, the findings directly inform optimized structural health monitoring (SHM) and proactive maintenance. The identified critical periods (14:00–17:00) and locations (e.g., the lower section’s outer surface) for maximum thermal gradient are optimal targets for sensor placement and focused inspection. Furthermore, the established strong correlation between atmospheric and outer surface temperatures offers a pathway for developing simplified predictive models; forecasted weather data can be used to estimate impending thermal loads, enabling a shift from reactive to predictive maintenance. Ultimately, by linking daily thermal cycling to long-term durability concerns, this life-cycle approach ensures that thermal effects are systematically managed to safeguard the service life, safety, and economic value of high-rise concrete infrastructure in extreme climates.

5.5. The Potential and Limitations of the Research

This study, through field monitoring and multidimensional analysis, reveals the spatiotemporal distribution patterns of the temperature field in high-rise concrete tower structures and their correlation with atmospheric temperature. These findings not only deepen the understanding of the thermophysical behavior of structures but also hold direct engineering significance. First, this study provides a direct approach for translating measured temperature gradients into thermal stress and durability assessments. Based on the maximum internal–external temperature differences obtained from monitoring, classical thermoelastic theory can be applied to estimate the maximum theoretical thermal stress on cross-sections, thereby enabling a quantitative evaluation of cracking risks under daily cyclic thermal loads. Additionally, the spatiotemporal characteristics of temperature (e.g., lag effects) can be linked to long-term fatigue damage. Second, the analytical method employed in this study offers clear contributions to future predictive and monitoring applications. The established “atmosphere-structure surface-internal” temperature response relationship can serve as a foundation for developing simplified early-warning models, allowing preliminary predictions of a structure’s thermal state based on meteorological data. Moreover, the identified critical risk periods and spatial locations (e.g., the maximum temperature difference occurring in the lower section during the afternoon) provide empirical evidence for optimizing sensor placement and data acquisition strategies in structural health monitoring systems, facilitating a shift from passive monitoring to proactive predictive maintenance.
However, the conclusions of this study are subject to specific boundaries and limitations. The monitoring data are concentrated in the high-temperature summer period and do not encompass thermal behavior across all seasons, particularly during extreme winter conditions, combined with year-round monitoring data, this represents an important direction for future research, aiming to achieve a comprehensive, seasonal understanding of the thermal behavior of high-rise concrete structures. The study focused solely on a single building structure, and its conclusions require further analysis and validation against structures with different geometric configurations and material properties.
Additionally, although the daily mean outer surface temperature of the concrete structure exhibits an extremely strong linear correlation with the daily mean atmospheric temperature R 2 = 0.999 , this simplified model has clear limitations. It fails to capture the complex time-lagged heat transfer dynamics at shorter timescales. As shown in the transient analysis (Figure 10, Figure 12 and Figure 14), significant time lags exist in temperature variations between the outer surface, inner surface, and interior points due to the thermal inertia of concrete. For instance, the peak temperature at the inner surface lags behind that at the outer surface by up to 3 h. Moreover, during peak hours (14:00–17:00), the temperature difference between the inner and outer surfaces can reach 10–12 °C, indicating that a simple linear model linking surface temperature to air temperature cannot account for such pronounced thermal gradients. Therefore, this high correlation should be interpreted as evidence that climatic factors strongly influence the overall thermal state of the structure, rather than serving as a precise deterministic relationship for thermal stress calculations.

6. Conclusions

  • The outer surface temperature exhibits a strong linear correlation with the atmospheric temperature, while simultaneously demonstrating distinct diurnal phase shift and amplitude modulation. Notably, the outer surface temperature exceeds the atmospheric temperature during nighttime and early morning but falls below it during peak solar radiation hours, highlighting the influence of solar absorption and re-radiation.
  • Due to the low thermal diffusivity of concrete (α = 1.1 × 10−6 m2/s), a significant time lag of up to 3 h is observed between the outer and inner surface temperature peaks. This lag, quantified via dimensionless analysis (Biot number Bi = 3.0, Fourier number Fo = 0.05), confirms that heat transfer is governed by transient conduction with substantial internal thermal resistance.
  • Vertical and through-thickness temperature gradients are structurally significant. The maximum through-thickness difference reaches 12 °C in the lower section, while the vertical gradient shows an increase of 2.4–2.8 °C from base to top. These gradients are driven by differential solar exposure, ground effects, and height-dependent microclimatic conditions, culminating in the highest thermal stress potential during 14:00–17:00.
  • First-order estimation indicates that the observed temperature differentials can induce tensile stresses on the order of 4.5 MPa, approaching the tensile strength of conventional concrete. This underscores the necessity of considering daily thermal cycles in design to mitigate thermal cracking and fatigue damage, particularly in restraint-sensitive regions.
  • The established relationships between atmospheric and structural temperatures provide a basis for developing simplified predictive models for thermal load estimation. The identified critical zones and times offer guidance for optimized sensor placement in structural health monitoring systems, facilitating a shift toward predictive maintenance and lifecycle thermal management.

Author Contributions

Conceptualization, Q.L. and A.J.; Methodology, S.W.; Validation, A.J. and G.C.; Formal analysis, S.W.; Investigation, L.X.; Resources, Q.L.; Data curation, L.Q.; Writing—original draft, S.W.; Writing—review and editing, A.J.; Visualization, L.Q.; Supervision, Q.L.; Project administration, Q.L. and A.J.; Funding acquisition, Q.L. All authors have read and agreed to the published version of the manuscript.

Funding

This work was supported by the “Deterioration Mechanism and Construction Techniques of High-Rise Concrete Structures in Arid-Cold Climates with Large Temperature Differences and Sandy Conditions” (grant No. 202209140002). The above-mentioned funders and their support are gratefully acknowledged.

Data Availability Statement

The original contributions presented in the study are included in the article, further inquiries can be directed to the corresponding author.

Conflicts of Interest

Authors Shouxi Wang, Liang Qiao and Lei Xu were employed by the company China Railway 21st Bureau Group First Engineering Co., Ltd. The remaining authors declare that the research was conducted in the absence of any commercial or financial relationships that could be construed as a potential conflict of interest.

References

  1. Chen, K.; Wang, Z.; Li, Z.; Shao, J.; Zhan, Y.; Li, Y. Analysis of solar-induced temperature effects on concrete bridge towers during construction. Structures 2025, 80, 109986. [Google Scholar] [CrossRef]
  2. Hariri-Ardebili, M.A.; Rahmani-Samani, H.; Mirtaheri, M. Seismic Stability Assessment of a High-Rise Concrete Tower Utilizing Endurance Time Analysis. Int. J. Struct. Stab. Dyn. 2014, 14, 1. [Google Scholar] [CrossRef]
  3. Yue, Y.; Li, C.; Jia, K.; Zhang, Y.; Tian, J. Optimization of the Seismic Performance of a Steel-Concrete Wind Turbine Tower with the Tuned Mass Damper. Buildings 2022, 12, 1474. [Google Scholar] [CrossRef]
  4. Zhai, M.; Yang, H.; Li, B.; Hao, J.; Zhou, W.; Cao, H.; Liu, Z. Temperature Field and Temperature Effects for Concrete Box Girder Bridges Based on Monitoring Data and Numerical Simulation. Sensors 2025, 25, 5036. [Google Scholar] [CrossRef]
  5. Zhang, H.-S.; Zhao, Y.; Ruan, J.; Nie, X.; Fan, J.-S.; Liu, Y.-F. Experiment study on temperature field and effect on steel-concrete composite bridge towers. Structures 2023, 50, 937–953. [Google Scholar] [CrossRef]
  6. Shafigh, P.; Hafez, M.A.; Muda, Z.C.; Beddu, S.; Zakaria, A.; Almkahal, Z. Influence of Different Ambient Temperatures on the Thermal Properties of Fiber-Reinforced Structural Lightweight Aggregate Concrete. Buildings 2022, 12, 771. [Google Scholar] [CrossRef]
  7. Yang, K.-H.; Lee, H.-W.; Alkaabi, A.K.; Kwon, S.-J. Temperature Effect on Service Life of Reinforced Concrete (RC) Structure Under Chemical Erosion: Deterministic and Probabilistic Approach. Appl. Sci. 2025, 15, 4816. [Google Scholar] [CrossRef]
  8. Cui, L.; Shi, J. Evaluation and comparison of growing season metrics in arid and semi-arid areas of northern China under climate change. Ecol. Indic. 2021, 121, 107055. [Google Scholar] [CrossRef]
  9. Wang, H.; Chen, J.; Qiu, M.; Shi, Z.; Zhang, S.; Dong, G.; Ma, S.; Ai, T.; Ren, G.; Chen, F. Climate change drove the route shift of the ancient Silk Road in two distinct ways. Sci. Bull. 2024, 69, 1153–1160. [Google Scholar] [CrossRef] [PubMed]
  10. Bolinger, R.A.; Brown, V.M.; Fuhrmann, C.M.; Gleason, K.L.; Joyner, T.A.; Keim, B.D.; Lewis, A.; Nielsen-Gammon, J.W.; Stiles, C.J.; Tollefson, W.; et al. An assessment of the extremes and impacts of the February 2021 South-Central U.S. Arctic outbreak, and how climate services can help. Weather Clim. Extrem. 2022, 36, 100461. [Google Scholar] [CrossRef]
  11. He, Z.; Pomeroy, J.W. Assessing hydrological sensitivity to future climate change over the Canadian southern boreal forest. J. Hydrol. 2023, 624, 129897. [Google Scholar] [CrossRef]
  12. Grelska, J.; Grzybowska, K.; Błażytko, A.; Jurkiewicz, K.; Pawlus, S. Temperature dependence of structural evolution and fragility of glass-forming monohydroxy alcohols. J. Mol. Liq. 2024, 414, 126206. [Google Scholar] [CrossRef]
  13. Pan, J.; Zhang, B.; Yu, J.; Cui, H. Analysis of temperature response in concrete box-girder bridges based on steel reinforcement thermal conductivity model. Adv. Struct. Eng. 2025, 28, 2855–2870. [Google Scholar] [CrossRef]
  14. El-Mir, A.; Assaad, J.J.; Nehme, S.G.; El-Hassan, H. Correlating strength and durability to time-temperature profiles of high-performance mass concrete. Case Stud. Constr. Mater. 2022, 16, e01055. [Google Scholar] [CrossRef]
  15. Zunino, F.; Castro, J.; Lopez, M. Thermo-mechanical assessment of concrete microcracking damage due to early-age temperature rise. Constr. Build. Mater. 2015, 81, 140–153. [Google Scholar] [CrossRef]
  16. Salazar, F.; Vicente, D.J.; Irazábal, J.; De-Pouplana, I.; Mauro, J.S. A Review on Thermo-mechanical Modelling of Arch Dams During Construction and Operation: Effect of the Reference Temperature on the Stress Field. Arch. Comput. Method Eng. 2020, 27, 1681–1707. [Google Scholar] [CrossRef]
  17. Shane Newell, J.G. Investigation of Thermal Behaviour of a Hybrid Precasted Concrete Floor Using Embedded Sensors. Int. J. Concr. Struct. Mater. 2018, 12, 66. [Google Scholar] [CrossRef]
  18. Li, Z.; Shang, H.; Xiao, S.; Yang, L.; Li, Z. Effect of thermal fatigue on mechanical properties and microstructure of concrete in constant ambient humidity. Constr. Build. Mater. 2023, 368, 130367. [Google Scholar] [CrossRef]
  19. Tao, C.; Dong, L.; Yu, T.; Chen, Q. Reliability Analysis of Compressive Fatigue Life of Cement Concrete under Temperature Differential Cycling. Adv. Civ. Eng. 2024, 2024, 8852631. [Google Scholar] [CrossRef]
  20. Tao, C.; Dong, L.; Fan, W.; Yu, T. Experimental Study on the Compressive Strength and Fatigue Life of Cement Concrete under Temperature Differential Cycling. Materials 2023, 16, 7487. [Google Scholar] [CrossRef]
  21. Peng, H.; Xie, Q.; Wang, C.; Zhou, S.; Ju, J.W. Experimental investigations and micromechanical thermal fatigue models of concrete. Int. J. Damage Mech. 2025, 34, 140–156. [Google Scholar] [CrossRef]
  22. Song, H.; Cai, H.; Cheng, H.; Yao, Z. Physical model testing and numerical simulation for temperature distribution of mass concrete freezing shaft lining in deep alluvium. AIP Adv. 2018, 8, 075328. [Google Scholar] [CrossRef]
  23. Do, T.A.; Hoang, T.T. Temperature evolution and activation energy sensitivity analysis for early-age concrete elements using a 3-D finite difference model. Case Stud. Therm. Eng. 2024, 53, 103930. [Google Scholar] [CrossRef]
  24. Wang, L.; Wang, Y.; Miao, Y.; Ju, S.; Sui, S.; Wang, F.; Liu, Z.; Jiang, J. Temperature damage assessment of mass concrete based on the coupling mechanism of hydration-temperature-humidity-constraint factors. J. Build. Eng. 2024, 90, 109211. [Google Scholar] [CrossRef]
  25. Gao, F.; Ji, Y.; Zhang, L.; Zhang, Z.; Xue, Q. High temperature resistance of a phase change cementitious material at elevated temperatures. Constr. Build. Mater. 2021, 292, 123456. [Google Scholar] [CrossRef]
  26. Tangirala, A.; Rawat, S.; Lahoti, M. Enhancing the resistance of cementitious composites to environmental thermal fatigue using high-volume fly ash and steel slag. J. Build. Eng. 2024, 94, 109905. [Google Scholar] [CrossRef]
  27. Chen, S.; Yun, J.; Dong, C.; Wu, W.; Nie, L. Non-uniform temperature effect on concrete rectangular hollow bridge pier: Insights from long-term monitoring data. Case Stud. Constr. Mater. 2024, 20, e02801. [Google Scholar] [CrossRef]
  28. Gottsäter, E.; Larsson Ivanov, O. Spatial Temperature Differences in Portal Frame Bridges. Struct. Eng. Int. 2020, 30, 254–261. [Google Scholar] [CrossRef]
  29. Huang, H.-B.; Yi, T.-H.; Li, H.-N.; Liu, H. New Representative Temperature for Performance Alarming of Bridge Expansion Joints through Temperature-Displacement Relationship. J. Bridge Eng. 2018, 23, 04018043. [Google Scholar] [CrossRef]
  30. Ni, Y.Q.; Wang, Y.W.; Zhang, C. A Bayesian approach for condition assessment and damage alarm of bridge expansion joints using long-term structural health monitoring data. Eng. Struct. 2020, 212, 110520. [Google Scholar] [CrossRef]
  31. Menga, A.; Torrenti, J.; Kanstad, T.; Klausen, A.B.E. Early-age cracking due to restraint: Laboratory and field investigations on the predictive capacity of the simplified method in Annex D of the future EC2. Struct. Concr. 2024, 25, 1. [Google Scholar] [CrossRef]
  32. Zhou, Y.; Li, Q.; Wang, Z.; Li, S.; Wei, F.; Liu, J.; Yu, D. Thermal performance model of cooling towers for operational optimization: An equivalent temperature difference coefficient-based approach. Appl. Therm. Eng. 2024, 252, 123595. [Google Scholar] [CrossRef]
  33. Zeng, H.; Lu, C.; Zhang, L.; Yang, T.; Jin, M.; Ma, Y.; Liu, J. Prediction of Temperature Distribution in Concrete under Variable Environmental Factors through a Three-Dimensional Heat Transfer Model. Materials 2022, 15, 1510. [Google Scholar] [CrossRef]
  34. Wang, Y.; Zhang, G.; Wang, H.; Liu, L.; Wang, X.; Zheng, S.; Huang, J.; Fu, B.; Zhou, L. Investigation of temperature effects on wide steel box girder of suspension bridge based on long-term monitoring data. Sci. Rep. 2024, 14, 9691. [Google Scholar] [CrossRef] [PubMed]
  35. Ponzo, F.C.; Auletta, G.; Ielpo, P.; Ditommaso, R. DInSAR-SBAS satellite monitoring of infrastructures: How temperature affects the “Ponte della Musica” case study. J. Civ. Struct. Health Monit. 2024, 14, 745–761. [Google Scholar] [CrossRef]
  36. Fraga, I.A.; Silva, A.B.C.G.; Fairbairn, E.M.R. A Mesoscopic Approach for the Numerical Simulation of a Mass Concrete Structure Construction Using Post-Cooling Systems. Buildings 2024, 14, 3232. [Google Scholar] [CrossRef]
  37. Argentino, A.; Radicioni, L.; Bono, F.M.; Bernardini, L.; Benedetti, L.; Cazzulani, G.; Somaschini, C.; Belloli, M. Data normalization for the continuous monitoring of a steel truss bridge: A case study from the Italian railway line. J. Infrastruct. Intell. Resil. 2025, 4, 100171. [Google Scholar] [CrossRef]
  38. Zhang, J.; Yu, M.; Chu, X. Coupled hygro-thermo-mechanical peridynamic model for concrete fracture analysis at high temperature. Comput. Part. Mech. 2024, 11, 1661–1680. [Google Scholar] [CrossRef]
  39. Pei, B.; Chong, A.; Xia, H.; Kang, X. Design and key construction technology of steel-concrete-steel sandwich composite pylon for a large span cable-stayed bridge. Sci. Rep. 2023, 13, 6626. [Google Scholar] [CrossRef] [PubMed]
  40. Zhu, J.; Wang, Y.; Xiao, R.; Yang, J. Multiscale Theoretical Model of Thermal Conductivity of Concrete and the Mesoscale Simulation of Its Temperature Field. J. Mater. Civ. Eng. 2023, 35, 04022359. [Google Scholar] [CrossRef]
Figure 1. Research framework of the study.
Figure 1. Research framework of the study.
Buildings 16 00514 g001
Figure 2. Temperature-monitoring instrument. (a) Temperature and humidity recorder. (b) T20BL-EX External thermometer.
Figure 2. Temperature-monitoring instrument. (a) Temperature and humidity recorder. (b) T20BL-EX External thermometer.
Buildings 16 00514 g002
Figure 3. Layout of temperature monitoring points for high-rise tower. (a) Monitoring point in the lower section of the high-rise tower. (b) Monitoring point in the middle section of the high-rise tower. (c) Monitoring point in the upper section of the high-rise tower.
Figure 3. Layout of temperature monitoring points for high-rise tower. (a) Monitoring point in the lower section of the high-rise tower. (b) Monitoring point in the middle section of the high-rise tower. (c) Monitoring point in the upper section of the high-rise tower.
Buildings 16 00514 g003
Figure 4. Relationship between atmospheric temperature and concrete outer surface temperature.
Figure 4. Relationship between atmospheric temperature and concrete outer surface temperature.
Buildings 16 00514 g004
Figure 5. Comparison of average concrete surface temperature and average atmosphere temperature. (a) Comparative analysis of structure surface temperature and atmospheric temperature. (b) Relationship between structure surface temperature and atmospheric temperature.
Figure 5. Comparison of average concrete surface temperature and average atmosphere temperature. (a) Comparative analysis of structure surface temperature and atmospheric temperature. (b) Relationship between structure surface temperature and atmospheric temperature.
Buildings 16 00514 g005
Figure 6. Comparison of concrete outer surface temperature and outer surface atmospheric temperature. (a) Temperature variation over time on 3 August. (b) Temperature variation over time on 5 August. (c) Temperature variation over time on 15 August. (d) Temperature variation over time on 16 August.
Figure 6. Comparison of concrete outer surface temperature and outer surface atmospheric temperature. (a) Temperature variation over time on 3 August. (b) Temperature variation over time on 5 August. (c) Temperature variation over time on 15 August. (d) Temperature variation over time on 16 August.
Buildings 16 00514 g006
Figure 7. Comparison of atmospheric temperature and concrete inner surface temperature.
Figure 7. Comparison of atmospheric temperature and concrete inner surface temperature.
Buildings 16 00514 g007
Figure 8. Comparison of the average concrete inner surface temperature and the average atmosphere temperature. (a) Comparison diagram. (b) Fitting diagram.
Figure 8. Comparison of the average concrete inner surface temperature and the average atmosphere temperature. (a) Comparison diagram. (b) Fitting diagram.
Buildings 16 00514 g008
Figure 9. Comparison of the inner surface temperature and the atmospheric temperature. (a) Temperature variation over time on 3 August. (b) Temperature variation over time on 5 August. (c) Temperature variation over time on 15 August. (d) Temperature variation over time on 16 August.
Figure 9. Comparison of the inner surface temperature and the atmospheric temperature. (a) Temperature variation over time on 3 August. (b) Temperature variation over time on 5 August. (c) Temperature variation over time on 15 August. (d) Temperature variation over time on 16 August.
Buildings 16 00514 g009
Figure 10. Temperature distribution in the upper section of the tower.
Figure 10. Temperature distribution in the upper section of the tower.
Buildings 16 00514 g010
Figure 11. Vertical temperature distribution in the upper section of the tower.
Figure 11. Vertical temperature distribution in the upper section of the tower.
Buildings 16 00514 g011
Figure 12. Temperature distribution over time in the middle section.
Figure 12. Temperature distribution over time in the middle section.
Buildings 16 00514 g012
Figure 13. Central transverse temperature distribution curve.
Figure 13. Central transverse temperature distribution curve.
Buildings 16 00514 g013
Figure 14. Temperature distribution in the lower section over time.
Figure 14. Temperature distribution in the lower section over time.
Buildings 16 00514 g014
Figure 15. Transverse temperature distribution curve in the lower section.
Figure 15. Transverse temperature distribution curve in the lower section.
Buildings 16 00514 g015
Figure 16. Distribution of maximum external surface temperatures of the tall tower at different heights.
Figure 16. Distribution of maximum external surface temperatures of the tall tower at different heights.
Buildings 16 00514 g016
Table 1. Comparative summary of thermal characteristics in different tower sections.
Table 1. Comparative summary of thermal characteristics in different tower sections.
ParameterUpper SectionMiddle SectionLower SectionPrimary Cause for Variation
Peak Outer Surface Temp34–35 °C at 16:0035 °C at 14:0028 °C at 15:00Solar radiation intensity & timing
Peak Inner Surface Temp20 °C at 20:0025 °C at 17:0019 °C (Relatively stable)Thermal lag through wall thickness
Max. Through-Thickness ΔT10 °C10 °C12 °CCombined solar heating & ground effects.
Time Lag (Outer to Inner)3 h3 h1–3 h (variable)Thermal inertia of concrete
Daily Fluctuation AmplitudeLargestModerateModerate, with delayed peakDirect vs. indirect solar exposure
Key Influencing FactorMaximum direct solar exposure, longest durationModerate solar exposure, influenced by adjacent structuresModerate solar exposure, influenced by adjacent structuresMicroclimate at height.
Table 2. Statistical summary of maximum daily through-thickness temperature gradients (ΔTmax) by tower section.
Table 2. Statistical summary of maximum daily through-thickness temperature gradients (ΔTmax) by tower section.
Tower SectionMean (ΔTmax) (°C)Standard Deviation (°C)Observed Range (°C)95th Percentile (°C)
Upper8.21.55.5–10.510.1
Middle8.51.75.0–11.010.8
Lower9.12.05.5–12.511.9
Note: ΔTmax (°C) is defined as the maximum absolute difference between the outer and inner surface temperatures recorded within a 24 h period.
Disclaimer/Publisher’s Note: The statements, opinions and data contained in all publications are solely those of the individual author(s) and contributor(s) and not of MDPI and/or the editor(s). MDPI and/or the editor(s) disclaim responsibility for any injury to people or property resulting from any ideas, methods, instructions or products referred to in the content.

Share and Cite

MDPI and ACS Style

Wang, S.; Liu, Q.; Jierula, A.; Qiao, L.; Xu, L.; Cheng, G. Analysis of the Temperature Field in High-Rise Concrete Tower Structure. Buildings 2026, 16, 514. https://doi.org/10.3390/buildings16030514

AMA Style

Wang S, Liu Q, Jierula A, Qiao L, Xu L, Cheng G. Analysis of the Temperature Field in High-Rise Concrete Tower Structure. Buildings. 2026; 16(3):514. https://doi.org/10.3390/buildings16030514

Chicago/Turabian Style

Wang, Shouxi, Qing Liu, Alipujiang Jierula, Liang Qiao, Lei Xu, and Geng Cheng. 2026. "Analysis of the Temperature Field in High-Rise Concrete Tower Structure" Buildings 16, no. 3: 514. https://doi.org/10.3390/buildings16030514

APA Style

Wang, S., Liu, Q., Jierula, A., Qiao, L., Xu, L., & Cheng, G. (2026). Analysis of the Temperature Field in High-Rise Concrete Tower Structure. Buildings, 16(3), 514. https://doi.org/10.3390/buildings16030514

Note that from the first issue of 2016, this journal uses article numbers instead of page numbers. See further details here.

Article Metrics

Back to TopTop