Optimization of Earth Dam Cross-Sections Using the Max–Min Ant System and Artificial Neural Networks with Real Case Studies
Abstract
1. Introduction
1.1. Literature Review
1.2. Gap and Motivation
2. Characteristics of the Optimum Cross-Section Determination Model
2.1. General Model
- Evaluation of the safety factor for a given slip surface.
- Identification of the critical slip surface within a specified dam cross-section under a defined loading condition.
- Optimization of the dam cross-section considering all relevant loading cases.
- Prediction of the seismic response for the optimized dam cross-section.
2.2. Review of Improved ACO Algorithms
2.3. Cross Section Subdivision Optimizer
2.4. Seismic Response Predictor Subdivision
3. Application of ACO for Optimizing Embankment and Earth Dam Cross-Sections
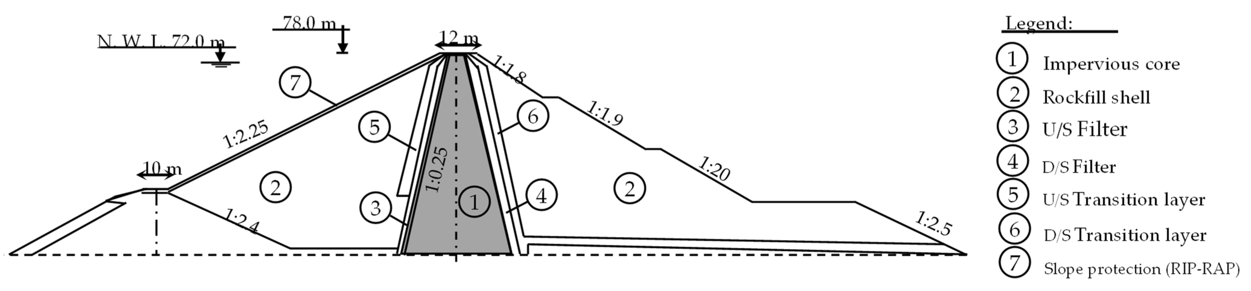
3.1. Example 1
3.2. Example 2
3.3. Example 3
4. Conclusions
Author Contributions
Funding
Data Availability Statement
Conflicts of Interest
References
- Dorigo, M.; Birattari, M.; Stutzle, T. Ant colony optimization. IEEE Comput. Intell. Mag. 2006, 1, 28–39. [Google Scholar] [CrossRef]
- Baker, R.; Garber, M. Theoretical analysis of the stability of slopes. Géotechnique 1978, 28, 395–411. [Google Scholar] [CrossRef]
- Chen, Z.-Y.; Shao, C.-M. Evaluation of minimum factor of safety in slope stability analysis. Can. Geotech. J. 1988, 25, 735–748. [Google Scholar] [CrossRef]
- DeNatale, J.S. Rapid identification of critical slip surfaces: Structure. J. Geotech. Eng. 1991, 117, 1568–1589. [Google Scholar] [CrossRef]
- Cheng, Y.M.; Li, L.; Chi, S.C. Performance studies on six heuristic global optimization methods in the location of critical slip surface. Comput. Geotech. 2007, 34, 462–484. [Google Scholar] [CrossRef]
- Malkawi, A.I.H.; Hassan, W.F.; Sarma, S.K. Global Search Method for Locating General Slip Surface Using Monte Carlo Techniques. J. Geotech. Geoenviron. Eng. 2001, 127, 688–698. [Google Scholar] [CrossRef]
- Vageesha, S.; Mathada, G.V.; Srividya, A. Slope Stability Assessment—A Comparison of Probabilistic, Possibilistic and Hybrid Approaches. Int. J. Perform. Eng. 2007, 3, 231–242. [Google Scholar]
- Rubio, E.; Hall, J.W.; Anderson, M.G. Uncertainty analysis in a slope hydrology and stability model using probabilistic and imprecise information. Comput. Geotech. 2004, 31, 529–536. [Google Scholar] [CrossRef]
- Asadoullahtabar, S.R.; Asgari, A.; Mohammad Rezapour Tabari, M. Assessment, identifying, and presenting a plan for the stabilization of loessic soils exposed to scouring in the path of gas pipelines, case study: Maraveh-Tappeh city. Eng. Geol. 2024, 342, 107747. [Google Scholar] [CrossRef]
- Sengupta, A.; Upadhyay, A. Locating the critical failure surface in a slope stability analysis by genetic algorithm. Appl. Soft Comput. 2009, 9, 387–392. [Google Scholar] [CrossRef]
- Cheng, Y.M.; Liang, L.; Chi, S.C.; Wei, W.B. Determination of the Critical Slip Surface Using Artificial Fish Swarms Algorithm. J. Geotech. Geoenviron. Eng. 2008, 134, 244–251. [Google Scholar] [CrossRef]
- Lee, K.S.; Geem, Z.W. A new meta-heuristic algorithm for continuous engineering optimization: Harmony search theory and practice. Comput. Methods Appl. Mech. Eng. 2005, 194, 3902–3933. [Google Scholar] [CrossRef]
- Kashani, A.R.; Gandomi, A.H.; Mousavi, M. Imperialistic Competitive Algorithm: A metaheuristic algorithm for locating the critical slip surface in 2-Dimensional soil slopes. Geosci. Front. 2016, 7, 83–89. [Google Scholar] [CrossRef]
- Kang, F.; Li, J.; Ma, Z. An artificial bee colony algorithm for locating the critical slip surface in slope stability analysis. Eng. Optim. 2013, 45, 207–223. [Google Scholar] [CrossRef]
- Rezaeean, A.; Noorzad, R.; Khozein, A.; Dankoub, M. Ant colony optimization for locating the critical failure surface in slope stability analysis. World Appl. Sci. J. 2011, 13, 1702–1711. [Google Scholar]
- Mostafaei, Y.; Soleimani Kutanaei, S. Modeling and prediction of embankment dam displacement under earthquake loading using artificial neural networks and swarm optimization algorithm. Int. J. Geo-Eng. 2025, 16, 8. [Google Scholar] [CrossRef]
- Fahimi, R.; Seyedkazemi, A.; Kutanaei, S.S. Prediction and sensitivity analysis of embankment dam settlement under earthquake loading using gene expression programming. Geomech. Geoengin. 2025, 20, 115–137. [Google Scholar] [CrossRef]
- Kaveh, A. Shape Optimization of Arch Dams with Frequency Constraints by Enhanced Charged System Search Algorithm and Neural Network. In Applications of Artificial Neural Networks and Machine Learning in Civil Engineering; Kaveh, A., Ed.; Springer Nature: Cham, Swizerland, 2024; pp. 199–215. [Google Scholar] [CrossRef]
- Ponterosso, P.; Fox, D.S.J. Optimization of reinforced soil embankments by genetic algorithm. Int. J. Numer. Anal. Methods Geomech. 2000, 24, 425–433. [Google Scholar] [CrossRef]
- Rezaeeian, A.; Davoodi, M.; Jafari, M.K. Determination of optimum cross-section of earth dams using ant colony optimization algorithm. Sci. Iran. 2019, 26, 1104–1121. [Google Scholar] [CrossRef]
- Li, Y.; Wang, J.; Xu, Z. Design Optimization of a Concrete Face Rock-Fill Dam by Using Genetic Algorithm. Math. Probl. Eng. 2016, 2016, 4971048. [Google Scholar] [CrossRef]
- Bagherzadeh Khalkhali, A.; Izadi, P. Safety and stability control of Mashkid Olia earth dam based on response surface optimization methodology (case study). Arab. J. Geosci. 2024, 18, 1. [Google Scholar] [CrossRef]
- Baziar, M.H.; Nilipour, N. Evaluation of liquefaction potential using neural-networks and CPT results. Soil Dyn. Earthq. Eng. 2003, 23, 631–636. [Google Scholar] [CrossRef]
- Kerh, T.; Ting, S.B. Neural network estimation of ground peak acceleration at stations along Taiwan high-speed rail system. Eng. Appl. Artif. Intell. 2005, 18, 857–866. [Google Scholar] [CrossRef]
- Rajasekaran, S.; David, V.K. MicroARTMAP for pattern recognition problems. Adv. Eng. Softw. 2007, 38, 698–709. [Google Scholar] [CrossRef]
- Liu, G.; Li, D. Probabilistic stability assessment of slope considering soft soil and silty clay foundations. Sci. Rep. 2025, 15, 3336. [Google Scholar] [CrossRef] [PubMed]
- Li, Q.; Ru, Y.; Tao, Z.; Wu, Y. Uncertainty quantification of ensemble inverse analysis for rainfall-induced slope failure using mixture probabilistic programming. Eng. Geol. 2025, 357, 108341. [Google Scholar] [CrossRef]
- Kar, S.S.; Athawale, A.A.; Portelinha, F.H.M.; Burman, A.; Roy, L.B. Probabilistic Analysis of Finite Slope Stability Using MS-Excel. Geotech. Geol. Eng. 2024, 43, 36. [Google Scholar] [CrossRef]
- Tsompanakis, Y.; Lagaros, N.D.; Psarropoulos, P.N.; Georgopoulos, E.C. Simulating the seismic response of embankments via artificial neural networks. Adv. Eng. Softw. 2009, 40, 640–651. [Google Scholar] [CrossRef]
- Barkhordari, K.; Entezari Zarch, H. Prediction of Permanent Earthquake-Induced Deformation in Earth Dams and Embankments Using Artificial Neural Networks. Civ. Eng. Infrastruct. J. 2015, 48, 271–283. [Google Scholar] [CrossRef]
- Beiranvand, B.; Rajaee, T.; Komasi, M. Optimizing pore pressure prediction in earth dams through the integration of panel data and intelligent models. Discov. Appl. Sci. 2025, 7, 842. [Google Scholar] [CrossRef]
- Baziar, M.H.; Alavi, S.M. Seismic Assessment of Clayey-Core Earth Fill Dams Using Performance-Based Fragility Curves and Finite Difference Analyses. Geotech. Geol. Eng. 2024, 42, 4581–4608. [Google Scholar] [CrossRef]
- Tung, S.; Mukherjee, S.; Garg, A.; Tomar, R. Steady-state seepage through and below earthen dam under seismic condition: Insights into hydrological mechanism. Acta Geophys. 2025, 73, 799–812. [Google Scholar] [CrossRef]
- Akbarzadeh, M.R.; Naeim, B.; Asgari, A.; Estekanchi, H.E. Framework for multi-hazard parameterized fragility based uncertainty quantification and sensitivity analysis of offshore wind turbines. Soil Dyn. Earthq. Eng. 2026, 201, 109963. [Google Scholar] [CrossRef]
- Akbarzadeh, M.R.; Jahangiri, V.; Naeim, B.; Asgari, A. Advanced computational framework for fragility analysis of elevated steel tanks using hybrid and ensemble machine learning techniques. Structures 2025, 81, 110205. [Google Scholar] [CrossRef]
- Dorigo, M. Optimization, Learning and Natural Algorithms. Ph.D. Thesis, Politecnico di Milano, Milano, Italy, 1992. [Google Scholar]
- Stützle, T.; Hoos, H.H. MAX–MIN Ant System. Future Gener. Comput. Syst. 2000, 16, 889–914. [Google Scholar] [CrossRef]
- Rezaeean, A.; Mirzaei, A.; Khozein, A. Optimization of embankment by ant colony optimization algorithm. Indian J. Sci. Technol. 2012, 5, 1863–1869. [Google Scholar] [CrossRef]
- Haykin, S. Neural Networks; Prentice Hall: Hoboken, NJ, USA, 1999. [Google Scholar]
- Asgari, A.; Ranjbar, F.; Bagheri, M. Seismic resilience of pile groups to lateral spreading in liquefiable soils: 3D parallel finite element modeling. Structures 2025, 74, 108578. [Google Scholar] [CrossRef]
- Bagheri, M.; Ranjbar Malidarreh, N.; Ghaseminejad, V.; Asgari, A. Seismic resilience assessment of RC superstructures on long–short combined piled raft foundations: 3D SSI modeling with pounding effects. Structures 2025, 81, 110176. [Google Scholar] [CrossRef]
- Jafarian, Y.; Bagheri, M.; Khalili, M. Earthquake-Induced Deformation of Breakwater on Liquefiable Soil with and Without Remediation: Case Study of Iran LNG Port. In New Developments in Materials for Infrastructure Sustainability and the Contemporary Issues in Geo-environmental Engineering; Shu, S., He, L., Kai, Y., Eds.; Springer International Publishing: Cham, Swizerland, 2019; pp. 23–37. [Google Scholar]
- David, J.M. A practical Bayesian framework for backprop networks. Neural Comput. 1992, 4, 448–472. [Google Scholar]
- Dynamic Modelling with QUAKE/W 2007, User Manual Fourth Edition; Version–An Engineering Methodology; Geo-Slope International Ltd.: Calgary, AB, Canada, 2007.
- Ishibashi, I.; Zhang, X. Unified dynamic shear moduli and damping ratios of sand and clay. Soils Found. 1993, 33, 182–191. [Google Scholar] [CrossRef]
- Rezaeian, A.; Davoodi, M.; Jafari, M.K. Predicting the Seismic Response of Embankments and Earth Dams with Artificial Neural Network. Bull. Earthq. Sci. Eng. 2020, 7, 33–50. Available online: https://www.bese.ir/article_243552.html?lang=en (accessed on 7 January 2026).
- Kerh, T.; Chu, D. Neural networks approach and microtremor measurements in estimating peak ground acceleration due to strong motion. Adv. Eng. Softw. 2002, 33, 733–742. [Google Scholar] [CrossRef]














| Earthquake’s Name (Region) | Magnitude | Number of Records |
|---|---|---|
| Chi-Chi, Taiwan | 7.62 | 5 |
| Loma Prieta, USA | 6.93 | 4 |
| Niigata, Japan | 6.63 | 4 |
| Tottori, Japan | 6.61 | 4 |
| Iwate, Japan | 6.9 | 3 |
| Chuetsu, Japan | 6.8 | 2 |
| Components | c (kPa) | |||
|---|---|---|---|---|
| Shell 1 | 208–246 m | 21 | 0 | 42 |
| 95–208 m | 21 | 0 | 40 | |
| 65–95 m | 21 | 0 | 38 | |
| Shell 2 | 20 | 0 | 35 | |
| Filter | 20 | 0 | 30 | |
| Drain | 20 | 0 | 35 | |
| Core | 20.5 | 60 | 20 | |
| Case of the Cross Section | Cross Section Area (m2) | Percent of Change in Cross Section | Decrease or Increase |
|---|---|---|---|
| Present | 80,087 | - | - |
| Optimal configuration without berm | 70,350 | 12 | ↓ |
| Optimal configuration with a single berm | 69,305 | 13.4 | ↓ |
| Optimal configuration with two berms | 71,819 | 10.3 | ↓ |
| Components | c (kPa) | Poisson Ratio (ν) | ||
|---|---|---|---|---|
| Shell | 20 | 0 | 40 | 0.334 |
| Filter | 20 | 0 | 40 | 0.334 |
| Core | 16 | 10 | 20 | 0.334 |
| H (m) | Architecture |
|---|---|
| 50 | [10-10-1] |
| 100 | [10-10-1] |
| 150 | [10-50-1] |
| 200 | [10-50-1] |
| Height of Earth Dam | Method | Chuetsu | Iwate | ||||||
|---|---|---|---|---|---|---|---|---|---|
| 0.01 g | 0.1 g | 0.3 g | 0.5 g | 0.01 g | 0.1 g | 0.3 g | 0.5 g | ||
| 50 | ANN | 0.109 | 0.558 | 1.59 | 1.982 | 0.002 | 0.197 | 0.637 | 0.997 |
| QUAKE/W | 0.088 | 0.76 | 1.6 | 2.04 | 0.021 | 0.19 | 0.53 | 0.89 | |
| 100 | ANN | 0.08 | 0.587 | 2.09 | 3.68 | 0.067 | 0.252 | 0.667 | 1.221 |
| QUAKE/W | 0.071 | 0.56 | 2.61 | 4.31 | 0.018 | 0.2 | 0.7 | 1.06 | |
| 150 | ANN | 0.071 | 0.855 | 2.781 | 3.957 | 0.025 | 0.223 | 0.669 | 1.411 |
| QUAKE/W | 0.07 | 0.68 | 1.67 | 4 | 0.022 | 0.25 | 0.88 | 1.43 | |
| 200 | ANN | 0.069 | 0.789 | 2.308 | 4.251 | 0.022 | 0.178 | 0.451 | 0.978 |
| QUAKE/W | 0.096 | 0.85 | 2.56 | 4.37 | 0.018 | 0.19 | 0.61 | 1.04 | |
| Components | c (kPa) | |||
|---|---|---|---|---|
| Shell | σ3 = 3 kg/cm2 | 20.5 | 0 | 40 |
| σ3 = 5 kg/cm2 | 20.5 | 0 | 39 | |
| σ3 = 7 kg/cm2 | 20.5 | 0 | 37 | |
| Filter | 19.5 | 0 | 35 | |
| Core | 18.5 | 20 | 18 | |
| Case of the Cross Section | Cross Section Area (m2) | Percent of Change in Cross Section | Decrease or Increase |
|---|---|---|---|
| Present | 15,274 | - | - |
| Optimal configuration without berm | 14,625 | 4.2 | ↓ |
| Optimal configuration with a single berm | 14,630 | 4.2 | ↓ |
| Optimal configuration with two berms | 15,160 | 0.1 | ↓ |
| Cases | Upstream Slopes | Downstream Slopes | Berms Width in Upstream (m) | Berms Width in Downstream (m) | Berms Level in Upstream (m) | Berms Level in Downstream (m) | |
|---|---|---|---|---|---|---|---|
| Height (m) | Number of Berms | ||||||
| 30 | 0 | 1:2.2 | 1:2.2 | - | - | - | - |
| 1 | 1:2.3 1:2.3 | 1:2.1 1:2.1 | 4.7 | 4 | 17 | 16 | |
| 2 | 1:2.4 1:2.1 1:2.0 | 1:2.2 1:2.1 1:2.2 | 4.3 4 | 4 5.7 | 13 21 | 12 28 | |
| 50 | 0 | 1:2.3 | 1:2.2 | - | - | - | - |
| 1 | 1:2.3 1:2.2 | 1:2.1 1:2.1 | 9 | 10 | 27 | 13 | |
| 2 | 1:2.4 1:2.3 1:2.0 | 1:2.7 1:2.0 1:2.3 | 9 4 | 5 4 | 11 27 | 11 38 | |
| 100 | 0 | 1:2.3 | 1:2.3 | - | - | - | - |
| 1 | 1:2.9 1:2.1 | 1:2.2 1:2.1 | 12 | 9 | 39 | 65 | |
| 2 | 1:2.7 1:2.4 1:2.1 | 1:2.5 1:2.4 1:2.2 | 7 4 | 4 4 | 18 42 | 16 43 | |
| 150 | 0 | 1:2.3 | 1:2.3 | - | - | - | - |
| 1 | 1:2.3 1:2.2 | 1:2.2 1:2.1 | 4 | 13 | 97 | 56 | |
| 2 | 1:2.5 1:2.2 1:2.2 | 1:2.2 1:2.2 1:2.2 | 26 8 | 21 4 | 34 72 | 24 81 | |
| 200 | 0 | 1:2.3 | 1:2.3 | - | - | - | - |
| 1 | 1:2.1 1:2.3 | 1:2.1 1:2.2 | 4 | 10 | 26 | 113 | |
| 2 | 1:2.4 1:2.2 1:2.2 | 1:2.3 1:2.4 1:2.2 | 22 10 | 10 16 | 30 92 | 38 121 | |
Disclaimer/Publisher’s Note: The statements, opinions and data contained in all publications are solely those of the individual author(s) and contributor(s) and not of MDPI and/or the editor(s). MDPI and/or the editor(s) disclaim responsibility for any injury to people or property resulting from any ideas, methods, instructions or products referred to in the content. |
© 2026 by the authors. Licensee MDPI, Basel, Switzerland. This article is an open access article distributed under the terms and conditions of the Creative Commons Attribution (CC BY) license.
Share and Cite
Rezaeian, A.; Davoodi, M.; Jafari, M.K.; Bagheri, M.; Asgari, A.; Jafarian Kafshgarkolaei, H. Optimization of Earth Dam Cross-Sections Using the Max–Min Ant System and Artificial Neural Networks with Real Case Studies. Buildings 2026, 16, 501. https://doi.org/10.3390/buildings16030501
Rezaeian A, Davoodi M, Jafari MK, Bagheri M, Asgari A, Jafarian Kafshgarkolaei H. Optimization of Earth Dam Cross-Sections Using the Max–Min Ant System and Artificial Neural Networks with Real Case Studies. Buildings. 2026; 16(3):501. https://doi.org/10.3390/buildings16030501
Chicago/Turabian StyleRezaeian, Amin, Mohammad Davoodi, Mohammad Kazem Jafari, Mohsen Bagheri, Ali Asgari, and Hassan Jafarian Kafshgarkolaei. 2026. "Optimization of Earth Dam Cross-Sections Using the Max–Min Ant System and Artificial Neural Networks with Real Case Studies" Buildings 16, no. 3: 501. https://doi.org/10.3390/buildings16030501
APA StyleRezaeian, A., Davoodi, M., Jafari, M. K., Bagheri, M., Asgari, A., & Jafarian Kafshgarkolaei, H. (2026). Optimization of Earth Dam Cross-Sections Using the Max–Min Ant System and Artificial Neural Networks with Real Case Studies. Buildings, 16(3), 501. https://doi.org/10.3390/buildings16030501

