3.1. Field and Laboratory Investigations
Subsurface investigations for the unimproved soil were conducted by Koşum and Hasoğlu (2020) [
19]. A total of 29 boreholes were drilled, with depths ranging from 30.5 m to 41.0 m, resulting in a total drilling length of 1030 m. Field Standard Penetration Test (SPT) N-values obtained from the boreholes in the unimproved soil are presented in
Table 1 and the borehole layout is shown in
Figure 3. Evaluation of the borehole data indicates that the soil profile mainly consists of silty sand (SM) and low-plasticity silt (ML) layers.
Subsurface investigations for the improved soil were conducted by Şekerler (2021) [
20]. A total of six boreholes were drilled, each with a depth of 40 m. The total drilling length was 240 m. The locations of the boreholes in the improved soil were selected considering the positions of the boreholes drilled in the unimproved soil. Field SPT blow counts (SPT-N) are presented in
Table 2. The borehole layout is shown in
Figure 4.
Based on the soil classifications identified during the site investigations, raw SPT-N values obtained from field tests were corrected by the authors in accordance with Section 16B.2.1.1 of the reference [
4] and the corresponding N
60 and N
1.60 values were calculated. Energy correction was applied using Equation (1). SPT correction factors were incorporated into the calculations based on Table 16B.1 of the reference [
4]. Since an automatic trip hammer was used during the tests, the energy correction factor (C
E) was taken as 0.90.
In silty sand layers subjected to dynamic loading, excess pore water pressure may develop due to low permeability conditions, which can affect the reliability of measured SPT-N values. Therefore, silty sand corrections were applied to layers located below the groundwater table with SPT-N values greater than 15. These corrections were performed in accordance with [
4] using Equation (2).
The variation of N
60 values with depth for the unimproved and improved soils is shown in
Figure 5. For the unimproved soil, the N
60 values obtained from different boreholes are found to fall within similar ranges at approximately the same depths and the average N
60 values vary between 10 and 30 with increasing depth.
In the improved soil profile, the N
60 values obtained up to a depth of 6 m remained close to those of the unimproved ground, likely due to incomplete binder hydration and curing during ongoing construction activities. This observation is consistent with findings in the literature, where the unconfined compressive strength of DSM columns has been shown to increase with time. Ikegami et al. (2005) found that the ratio of field to design strength increased from 2.8 after 3 months to 5.8 after 20 years [
21], while Topolnicki (2016) reported that, based on approximately 4000 wet-mixed specimens, the 28-day strength was 2.45 times higher than the 7-day strength and the 56-day strength was 1.25 times higher than the 28 day strength [
22]. These findings suggest that early-stage field tests may underestimate the degree of improvement, particularly in the upper 6 m, where curing is still incomplete, while the deeper zones exhibit more advanced binder reactions and greater mixing efficiency. Although the investigated time periods differ among the studies, the reported results consistently indicate a time-dependent increase in the strength of DSM columns and the findings are therefore in agreement in terms of the observed trend.
In addition to the SPTs, shear wave velocity (V
s) measurements were conducted to evaluate the dynamic behavior of the soil. In the unimproved soil, 16 seismic refraction tests, 16 multichannel analysis of surface waves (MASW) measurements, 13 microtremor measurements and 13 downhole seismic (DES) tests were performed by Koşum and Hasoğlu (2020) to obtain shear wave velocity data [
19]. The variation of shear wave velocity (V
s) with depth is shown in
Figure 6.
In the unimproved soil, shear wave velocity (V
s) values ranged from 100–179 m/s up to the foundation level and 147–186 m/s below it. However, despite the increase observed in SPT-N values below the foundation level, the shear wave velocities did not show a significant increase and remained nearly constant at relatively low levels. Therefore, the shear wave velocity of the soil at each depth was calculated using the assumptions proposed by Wair et al. (2012), as expressed in Equations (3) and (4) and then compared with the measured values [
23]. In these equations, σ′
v denotes the effective vertical overburden stress.
As shown in
Figure 7 shows the shear wave velocity (V
s) values calculated based on the assumptions proposed by Wair et al. (2012) [
23], together with the average shear wave velocity (V
s) values obtained from the MASW measurements. As shown in the figure, the calculated values increase below the foundation level and range approximately between 180 and 314 m/s.
Given these discrepancies between the measured and calculated values, the limited increase in shear-wave velocities observed in the MASW measurements of the unimproved soil profile below the foundation level is attributed to soil conditions and methodological constraints rather than measurement errors. Due to the fine-grained nature of the SM–ML soil and the low shear-wave velocity contrast between adjacent layers, the phase velocities of surface waves at different frequencies do not exhibit sufficient differentiation to clearly capture stiffness variations across the stratigraphy. In surface-wave methods, the dispersion curve represents the frequency-dependent variation of phase velocity. This condition prevents the development of a well-defined dispersion curve representing the frequency-dependent variation of phase velocity and leads to a marked reduction in inversion resolution with increasing depth. As noted by Foti et al. (2018), surface-wave methods provide limited resolving capability in fine-grained and heterogeneous soils characterized by low velocity contrast and low-frequency dispersion data introduce substantial uncertainty in the estimation of deeper layer properties [
24]. Therefore, the limited increase observed in the measured MASW profiles of the unimproved soil reflects the inherent limitations of the method and the natural characteristics of the soil. Accordingly, the shear-wave velocity (V
s) values obtained from empirical correlations were adopted in the soil profile analyses.
In the improved ground, shear wave velocity (V
s) data were obtained by Ateş (2021) through multichannel analysis of surface waves (MASW) measurements conducted along three profiles [
25]. The variation of shear wave velocity (V
s) with depth is shown in
Figure 8. For the improved soil, the V
s values ranged between 305 and 530 m/s below the foundation level, showing a distinct increase with depth.
Within the scope of this study, a nonlinear site-specific ground response analysis was performed considering the soil data obtained from field and laboratory investigations. For such analyses to be conducted reliably, it is necessary to define not only the idealized not only the idealized soil profile but also the depth and dynamic properties of the engineering bedrock. However, the engineering bedrock was not encountered during the site investigation boreholes. Therefore, regional deep borehole data provided by the General Directorate of Mineral Research and Exploration (MTA), located approximately 4.5 km from the study area, were evaluated to characterize the deeper subsurface conditions.
According to the MTA borehole logs, soil layers extend to a depth of approximately 60 m, weathered rock units are present between depths of 60 and 120 m and more competent rock units are encountered below approximately 120 m. Based on the stratigraphic sequence, lithological descriptions and regional geological setting, the more competent rock units below a depth of 120 m were accepted as the engineering bedrock in the ground response analyses.
The relationship between shear wave velocity and soil–rock classification has been widely discussed in the literature. Nath (2007) and Morikawa et al. (2008) classified materials with shear wave velocities greater than 3000 m/s as seismic bedrock [
26,
27]. Additionally, Nath (2007) defined layers with shear wave velocities ranging from 400 to 760 m/s as engineering bedrock [
26]. Similarly, Akgün et al. (2013) classified materials with shear wave velocities between 760 and 3000 m/s as engineering rock and those exceeding 3000 m/s as seismic bedrock [
28].
Based on the Turkish Building Earthquake Code, the engineering bedrock in this study was classified as local site class ZB. Considering the classifications proposed in the literature and the shear wave velocity ranges defined for local site class ZB in [
4], a shear wave velocity of 1500 m/s was adopted for the engineering bedrock.
In this context, Pandey and Jakka (2022) [
29] demonstrated that, for sites characterized by soft soil conditions (NEHRP site class D), soil layers below a certain depth do not significantly influence the transfer function and this critical depth often corresponds to the engineering bedrock. In such sites, the seismic site response is primarily governed by the dynamic properties of the shallow soil layers.
For the unimproved soil profile within the depth range of 40–60 m and for the improved soil profile within the depth range of 50–60 m, no direct geophysical measurements were available. Therefore, the shear wave velocity within these depth intervals was assumed to increase gradually and linearly from the shear wave velocity of the deepest measured layer up to 760 m/s, based on the soil–rock boundary criterion proposed by Ambraseys et al. (1996) [
30]. To implement this approach, the relevant depth intervals were discretized into 10 m thick layers and the shear wave velocity values were assigned assuming a linear variation with depth. This approach was adopted to avoid abrupt impedance changes at the soil–rock transition and to ensure more realistic wave propagation conditions in the ground response analyses. The idealized shear wave velocity (V
s) profiles defined based on this approach are presented in
Figure 9.
Based on the borehole data and the results of field and laboratory tests, the soil profiles were evaluated and idealized soil profiles were developed for both cases. The idealized soil profiles for the unimproved and improved soils are given in
Table 3 and
Table 4, respectively. In
Table 3 and
Table 4, PI (%) denotes the plasticity index, ϕ′ represents the effective internal friction angle, and K
0 is the coefficient of earth pressure at rest.
During the development of the idealized soil profiles, the overconsolidation ratio (OCR) was evaluated to represent the consolidation state of the soil layers based on one-dimensional consolidation test results. Although no consolidation tests were performed below the foundation level, the available data indicate a decreasing trend of OCR with depth, approaching unity. Accordingly, the soil layers below the foundation level were assumed to be normally consolidated and the variation of OCR with depth is presented in
Figure 10. The resulting OCR values were incorporated into the idealized soil profiles.
Table 5 summarizes the empirical approaches adopted to estimate the effective internal friction angle (ϕ′) and the coefficient of earth pressure at rest (K
0) for SM and ML soil layers. For silty sand (SM) layers, ϕ′ values were estimated using empirical correlations derived from standardized SPT data. For low-plasticity silt (ML) layers, ϕ′ was estimated using empirical correlations developed for sands and normally consolidated clays, considering the transitional mechanical behavior of silt soils. The representative ϕ′ values obtained from these approaches were subsequently used to estimate K
0.
3.2. Selection of Earthquake Records
The province of Aydın, located in western Turkey, lies within a region characterized by numerous normal faults that form the Aegean Extension System, which was developed as a result of the northward movement of the African Plate and the westward displacement of Anatolia caused by the collision of the Arabian Plate pushing the Anatolian Plate westward [
36,
37]. Aydın is situated to the north of the Büyük Menderes Graben, known as a subsidence plain, where numerous active faults with varying dip angles exist between the rocks and alluvial deposits. The map prepared by the General Directorate of Mineral Research and Exploration (MTA) is given in
Figure 11.
Aydın and its surroundings have suffered significant damage from numerous destructive earthquakes that occurred both in the historical period (pre-1900) and in the instrumental period (post-1900). Studies conducted in the region indicate that the earthquakes in the Aydın area were generated by normal and strike-slip faults. Examination of historical earthquake records shows that earthquake magnitudes in the region ranged between 5.0 and 6.8 [
36], while the magnitudes calculated by Altunel et al. (based on fault lengths) were found to range between 5.0 and 7.0 [
37].
During the selection of earthquake records, fault distances, the significant duration (D5–95), defined as the time interval between 5% and 95% of the total ground-motion energy, between 5% and 95% of the total ground-motion energy, the average shear-wave velocity (V
s30) and the compatibility among the selected records were considered in accordance with Article 2.5.1.1 of [
4]. Since site response analyses are performed by propagating the input motion from the engineering bedrock toward the ground surface, the earthquake records were selected and scaled to match the spectral acceleration values corresponding to the ZB bedrock site class. Therefore, the shear-wave velocity (V
s30) of the bedrock was taken within the range of 760–1500 m/s, as specified in Table 16.1 of the reference [
4]. A total of eleven earthquake ground-motion records were selected from the Pacific Earthquake Engineering Research Center (PEER) Database, considering the regional seismic characteristics and the selected accelerograms are presented in
Table 6 [
38].
For the ZB bedrock site class, the mapped spectral acceleration coefficients, peak ground acceleration (PGA), peak ground velocity (PGV) and the design spectral acceleration coefficients corresponding to the DD-1 and DD-2 earthquake levels obtained from the Turkey Earthquake Hazard Map are given in
Table 7. The target spectrum was generated based on these coefficients [
4,
39].
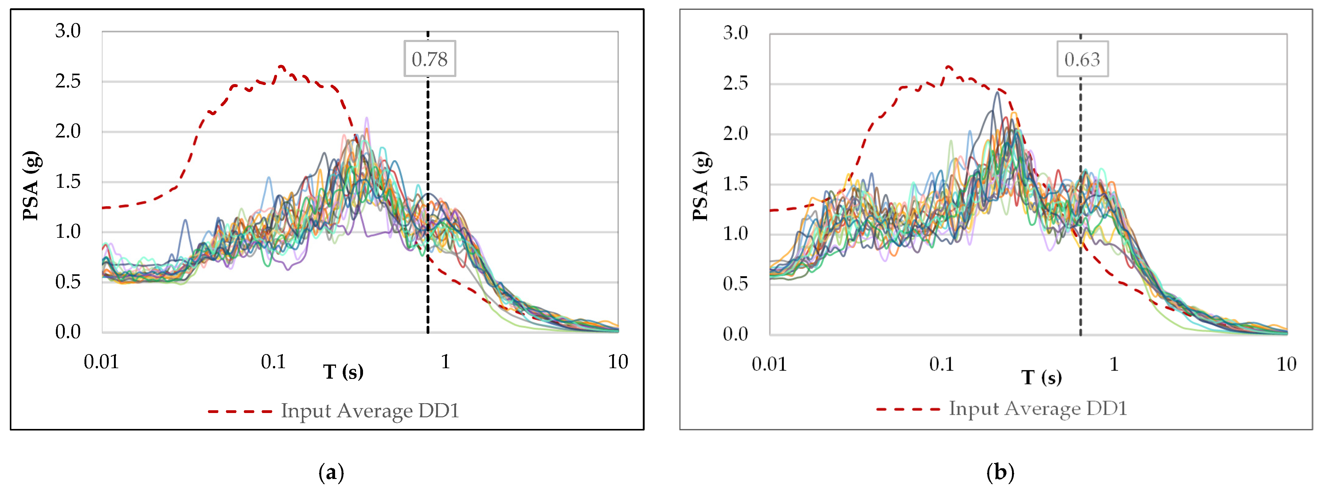
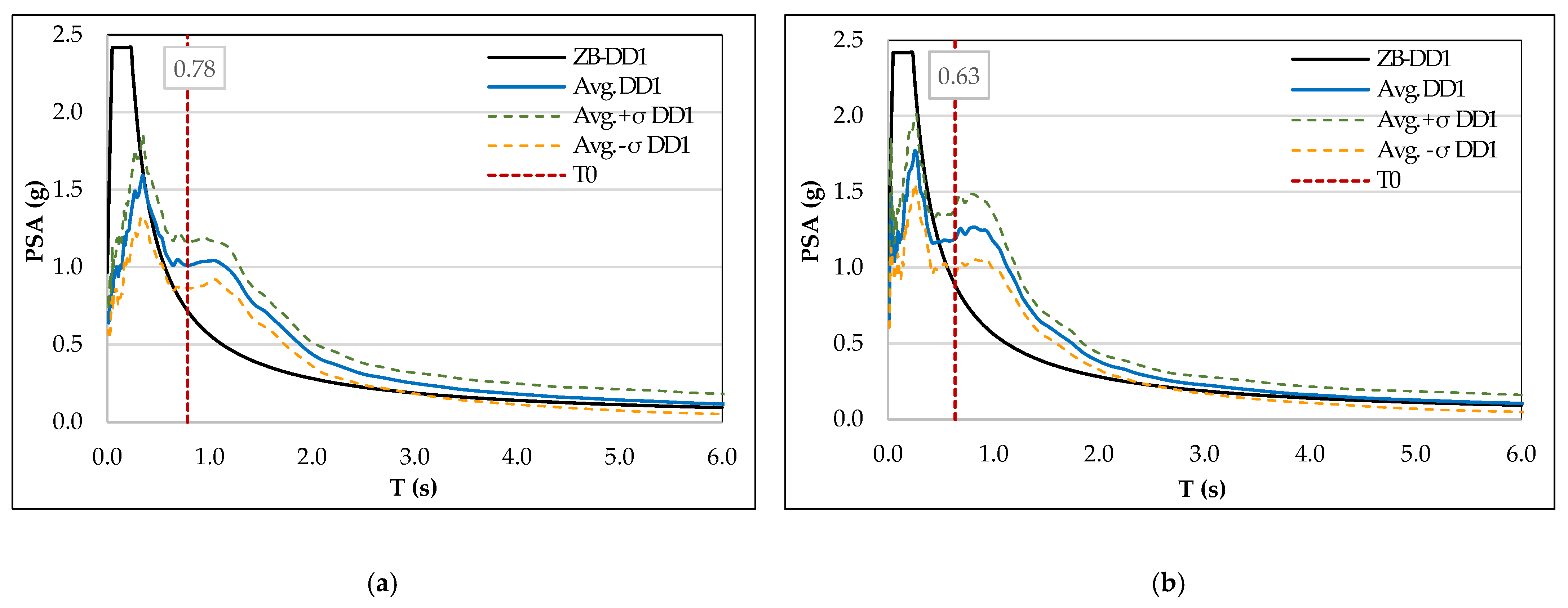
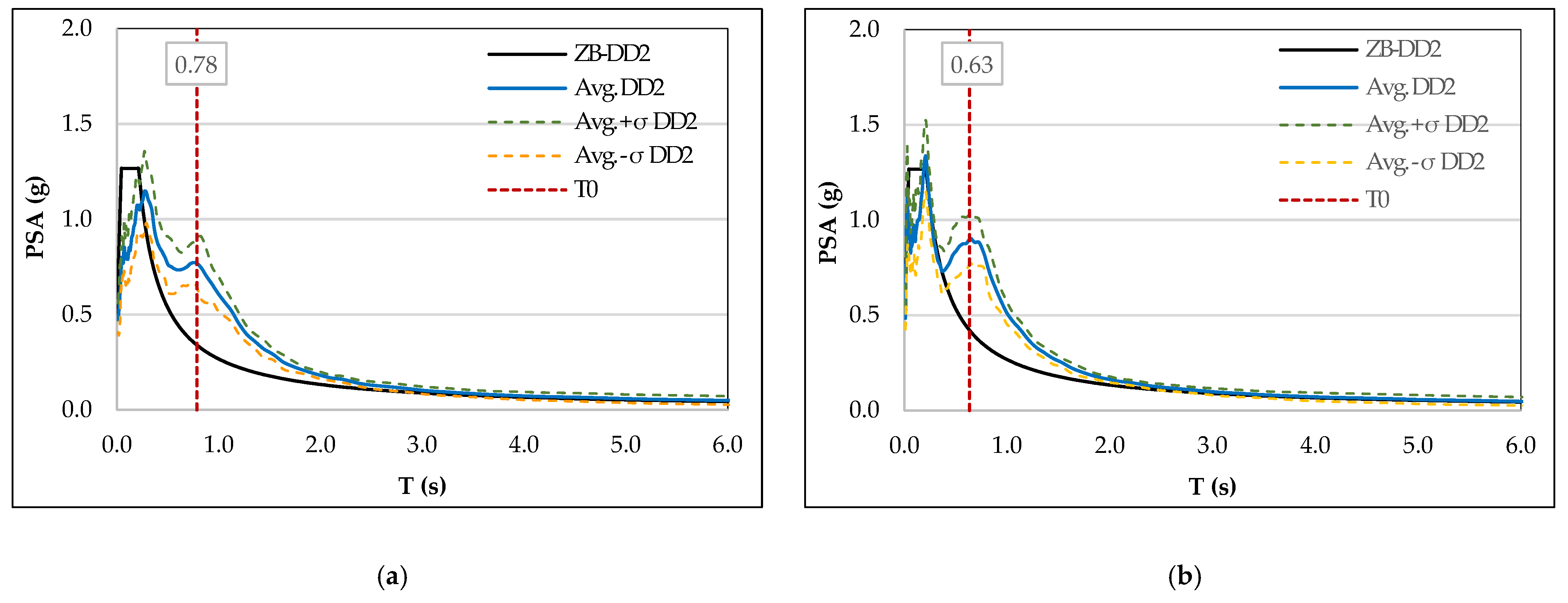
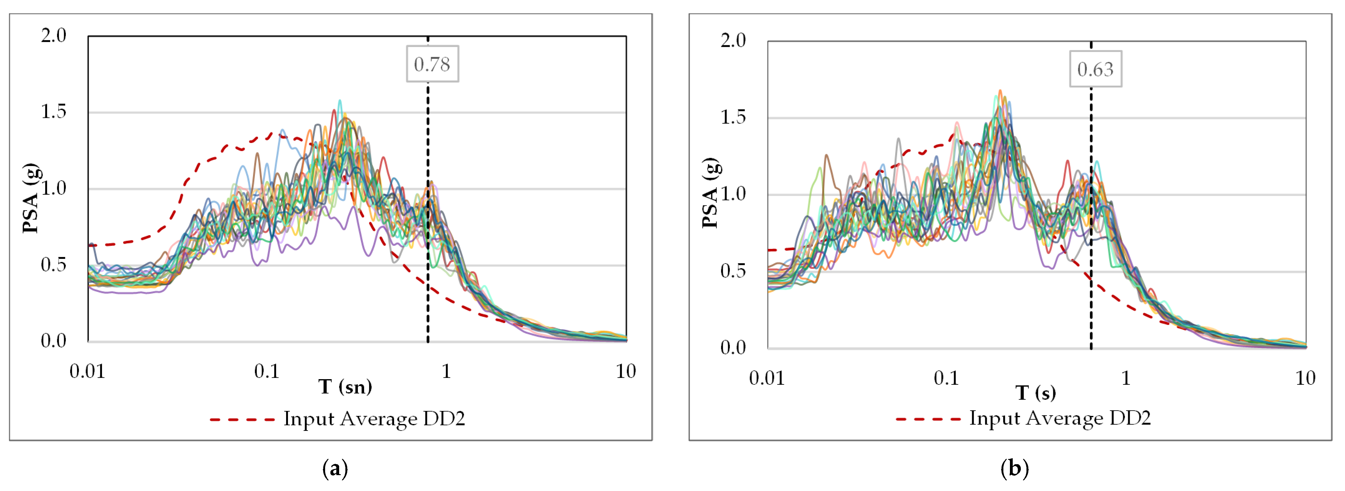
The selected earthquake records were spectrally matched to the target spectrum using the SeismoMatch software v2023 [
40]. During the matching process, it was ensured that, for both DD-1 and DD-2 seismic hazard levels, the response spectrum ordinates of each individual record were not lower than 90% of the target design spectrum ordinates over the considered period range, in accordance with [
4]. The response spectra of the raw (unscaled) ground-motion records are presented in
Figure 12, while the response spectra of each individually spectrally matched ground-motion record are shown in
Figure 13. The comparison between the mean response spectrum obtained from the spectrally matched records and the target design spectrum is presented in
Figure 14.