Experimental and Numerical Analysis of a Bolted Angle Connector Beam-to-Column Joint with a Stiffener
Abstract
1. Introduction
- (1)
- (2)
- (3)
- (4)
- Self-centering technology [25]: This technique allows a structure to undergo recoverable deformation, thereby dissipating seismic energy and mitigating damage to the primary structural system.
- (5)
- New material technology [26]: Advanced alloys, FRP (fibre-reinforced polymer) composites, or additive-manufactured components. These can be employed to enhance the performance of beam-column joints.
2. Experiment Design
2.1. Specimens
2.2. Material Properties
2.3. Loading Schemes
2.4. Data Collection
3. Results and Analysis
3.1. Failure Modes
3.2. Hysteresis Curve
- (1)
- The vertical displacement, Δ1, at beam end, resulting from the overall rotation of the beam-column joint, was calculated using Equation (1), where HD1 and HD2 were measured by DG1 and DG2 (Figure 4). As the vertical distance between DG1 and DG2 was 150 mm, the overall rotation angle of the beam–column joint was equal to the ratio of the difference between the measured values of DG1 and DG2 to 150 mm.
- (2)
- The vertical displacement, Δ2, at the beam end, due to bending deformation under the action of a vertical load P, was given by Equation (2), where E denotes the elastic modulus of the steel beam and Ib represents its moment of inertia about the horizontal centroidal axis. L is the distance from the point of application of P to the column, namely 523 mm.
- (3)
- Vertical displacement Δ3 at the beam end induced by the relative rotation between the beam and column under load P (Equation (3)):
3.3. Skeleton Curves and Feature Points
- (1)
- The skeleton curves of J-1, J-2, and J-3 exhibited an “S” shape, which could be categorized into the elastic, elastoplastic, and failure stages. J-1 demonstrated the highest initial stiffness, and its peak moment occurred the earliest. However, the peak moment was followed by rapid failure. Although the welded connection offered favorable load-carrying capacity and stiffness, its characteristic brittle failure indicated that it was not an ideal connection type. J-2 exhibited a relatively low load-carrying capacity and stiffness, rendering it unsuitable for moment-resisting frames. In comparison, J-3 demonstrated a more balanced performance in terms of the load-carrying capacity, stiffness, and failure mode.
- (2)
- As shown in Figure 8b, the skeleton curves of J-4, J-5, and J-6 were generally similar. Their peak moments occurred later, and they maintained substantial load-carrying capacity even at large rotation angles. The SQC for J-5 was 1.15 times that of J-4, while the peak moment and the ultimate moment for J-5 increased by 27.9% and 37.7%, respectively. This demonstrated that the incorporation of stiffeners could significantly enhance both the strength and the deformation capacity of this connection type. Although the SQC of J-5 was only 88% of that exhibited by J-6, its peak and ultimate moments were 17.1% and 27.7% higher, respectively. Therefore, when considering both economic and mechanical performance, J-5 represents a more favorable option.
- (3)
- The mean ductility factors (μ) of all specimens under both positive and negative loading directions exceeded 3. Among them, J-5 and J-6 exhibited the smallest difference between the positive and negative directions, demonstrating good and stable plastic deformation capacity.
3.4. Stiffness Degradation
3.5. Energy Dissipation
4. FE Simulation
4.1. FE Model
4.1.1. Mesh Properties and Size
4.1.2. Stress–Strain Relationships
4.1.3. Interaction
4.2. FE Model Verification
4.3. Parametric Analysis
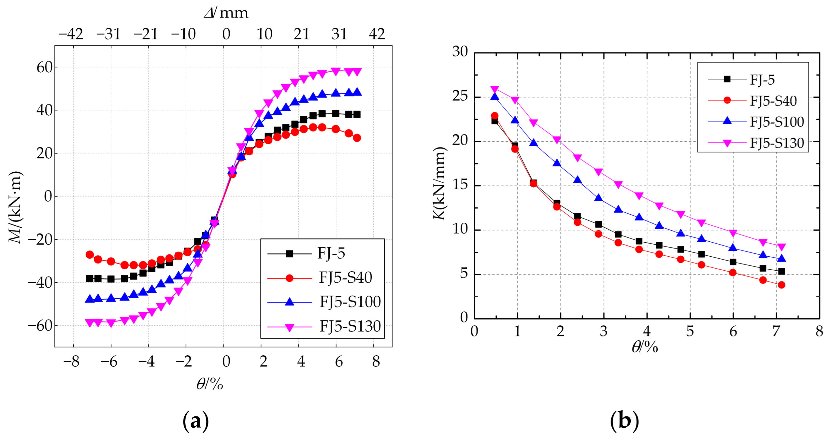
4.3.1. Effect of the Stiffener Height
4.3.2. Effect of the Stiffener Thickness
4.3.3. Effect of Steel Strength
5. Conclusions and Recommendations
- (1)
- The welded connection exhibited favorable bending capacity and energy dissipation capacity, yet it was prone to brittle failure. The web-connected connection demonstrated relatively weak bending capacity and stiffness, rendering it unsuitable for moment-resisting frames. The end-plate connection with comparable specifications demonstrated moderate performance in both load-bearing capacity and energy dissipation, but it could experience a ductile failure mode. Therefore, practical engineering applications should ensure that a connection is designed following the principle of preventing failure in the end-plate itself.
- (2)
- The BAC joint exhibited a bending capacity comparable to that of a welded connection with the same specifications, but with a lower he. After the addition of stiffeners to the angle steel connector, the SQC increased by 15%, while the bending capacity and he of the connection improved by 22.1% and 49%, respectively. The BACS joint demonstrated slightly a higher bending capacity and he compared to the stub girder connection, while its SQC was only 88% of that of the stub girder connection, thus exhibiting a clear technical advantage.
- (3)
- Finite element analysis indicated that an increase in the stiffener height not only enhanced the bending capacity, stiffness, and energy dissipation of the connection but also improved its failure mode. In comparison, increasing the stiffener thickness also improves the failure mode and enhances the load-carrying capacity of the joint; however, its influence on the capacity is less pronounced than that of the stiffener height. Similarly, increasing the steel strength can improve both the load-carrying capacity and stiffness of the joint, but with diminishing effectiveness at higher strength levels.
- (4)
- The BACS joint investigated in this study is suitable for residential steel-frame buildings of up to three storeys in seismically active regions where seismic design is required. It is important to note that the scope of this work was limited to connections where the H-shaped steel column is joined to the beam about its strong axis. Furthermore, due to constraints in the testing setup, the experimental programme was conducted solely on specimens at a 1:2 scale. Future work will therefore focus on enhancing the understanding of connections about the weak axis of H-shaped columns and on conducting tests using full-scale specimens.
Author Contributions
Funding
Data Availability Statement
Conflicts of Interest
Abbreviations
| BAC joint | Bolted angle connector joint |
| BACS joint | Bolted angle connector joint with stiffener |
| SQC | Steel Quantity for Connection |
| DT | Displacement transducers |
| DG | Dial gauges |
| FE | Finite Element |
References
- Sharafi, P.; Mortazavi, M.; Usefi, N.; Kildashti, K.; Ronagh, H.; Samali, B. Lateral force resisting systems in lightweight steel frames: Recent research advances. Thin-Walled Struct. 2018, 130, 231–253. [Google Scholar] [CrossRef]
- Landolfo, R. Lightweight steel framed systems in seismic areas: Current achievements and future challenge. Thin-Walled Struct. 2019, 140, 114–131. [Google Scholar] [CrossRef]
- Liu, X.; Meng, K.; Chen, X.; Li, Y.; Cui, Y. Seismic performance of bolted connection between T-shaped section column and I-section beam with L-stubs. Eng. Struct. 2023, 285, 116022. [Google Scholar] [CrossRef]
- Shaheen, M.; Tsavdaridis, K.; Yamada, S. Comprehensive FE study of the hysteretic behavior of steel-concrete composite and noncomposite RWS beam-to-column connections. J. Struct. Eng. 2018, 144, 312–335. [Google Scholar] [CrossRef]
- Tsavdaridis, K.D.; Lau, C.K.; Alonso-Rodríguez, A. Experimental behaviour of non-seismical RWS connections with perforated beams under cyclic actions. J. Constr. Steel Res. 2021, 183, 106756. [Google Scholar] [CrossRef]
- Wang, K.; Li, Z.; Rong, B.; Zhang, R.; Sun, Y.; Zhang, W. Shear behavior of the panel zones in end-plate connection. J. Constr. Steel Res. 2025, 229, 109495. [Google Scholar] [CrossRef]
- Solhmirzaei, A.; Tahamouli Roudsari, M.; Hosseini Hashemi, B. A new detail for the panel zone of beam-to-wide flange column connections with endplate. Structures 2021, 34, 1108–1123. [Google Scholar] [CrossRef]
- Wang, K.; Li, Z.; Rong, B.; Zhang, R.; Sun, Y.; Zhang, W. Experimental and numerical research on hysteretic behavior of bolted end-plate connections. Structures 2025, 73, 108397. [Google Scholar] [CrossRef]
- Tartaglia, R.; Monte, F.; Maddaloni, G. Seismic performance of stiffened end-plate steel joints with non-symmetric octagonal bolts arrangement. J. Constr. Steel Res. 2025, 234, 109770. [Google Scholar] [CrossRef]
- Zhang, Y.; Gao, S.; Guo, L.; Fu, F.; Wang, S. Ultimate tensile behavior of bolted stiffened T-stub connections in progressive col-lapse resistance. J. Constr. Steel Res. 2022, 189, 107111. [Google Scholar] [CrossRef]
- Wang, M.; Dong, K.; Liu, M. Damage control mechanism and seismic performance of a steel moment connection with replaceable low-yield-point steel double T-stub fuses. Thin-Walled Struct. 2020, 157, 107143. [Google Scholar] [CrossRef]
- Park, H.-Y.; Oh, S.-H. Design range of the damper of a T-stub damage-controlled system. J. Constr. Steel Res. 2019, 162, 105719. [Google Scholar] [CrossRef]
- Irvani, M.; Ezati, H.; Khafajeh, R.; Jaari, V.R.K. Numerically study on the seismic response of partially restrained moment connection with structural fuse T-stub for European sections. Structures 2022, 35, 82–105. [Google Scholar] [CrossRef]
- Bayat, K.; Shekastehband, B. Seismic performance of beam to column connections with T-shaped slit dampers. Thin-Walled Struct. 2019, 141, 28–46. [Google Scholar] [CrossRef]
- Chen, P.; Pan, J.; Hu, F.; Wang, Z. Experimental investigation on earthquake-resilient steel beam-to-column joints with replacea-ble buckling-restrained fuses. J. Constr. Steel Res. 2022, 196, 107413. [Google Scholar] [CrossRef]
- Wang, M.; Ke, X. Seismic design of widening flange connection with fuses based on energy dissipation. J. Constr. Steel Res. 2020, 170, 106076. [Google Scholar] [CrossRef]
- Piluso, V.; Montuori, R.; Nastri, E.; Paciello, A. Seismic response of MRF-CBF dual systems equipped with low damage friction connections. J. Constr. Steel Res. 2019, 154, 263–277. [Google Scholar] [CrossRef]
- Yang, L.; Wang, M.; Sun, Y.; Li, Z.; Li, Y. Experimental and numerical study of LY315 steel moment connection with bolted cover plates. Thin-Walled Struct. 2021, 159, 107277. [Google Scholar] [CrossRef]
- Wang, M.; Zhang, C.; Sun, Y.; Dong, K. Seismic performance of steel frame with replaceable low yield point steel connection components and the effect of structural fuses. J. Build. Eng. 2022, 47, 103862. [Google Scholar] [CrossRef]
- Huang, X.; Zhou, Z.; Li, R.; Wang, Z.; Zhao, J.; Shen, Y. Fracture prediction and structural enhancement of LY225-steel T-stub joints using a continuous-damage-model. J. Constr. Steel Res. 2025, 231, 109599. [Google Scholar] [CrossRef]
- Saravanan, M.; Goswami, R.; Palani, G.S. Design of a fuse link beam-to-column connection for earthquake resistant moment frames. J. Constr. Steel Res. 2022, 192, 107253. [Google Scholar] [CrossRef]
- Yang, Q.; Ban, H. Balanced design philosophy of superior high-performance steel cover-plated beam-to-column joints. Thin-Walled Struct. 2023, 184, 110470. [Google Scholar] [CrossRef]
- Nie, S.; Li, J.; Wang, H.; Deng, Y.; Chen, Z.; Elchalakani, M.; Liu, M. Seismic behavior of welded high-performance steel beam-to-column joints with different reinforced configurations. J. Constr. Steel Res. 2023, 210, 108113. [Google Scholar] [CrossRef]
- Hu, F.; Shi, G. Experimental study on seismic behavior of high strength steel frames: Local response. Eng. Struct. 2021, 229, 111620. [Google Scholar] [CrossRef]
- Ru, Y.; He, L.; Jiang, H. Investigation on a self-centering beam-column joint with tapered steel plate dampers. J. Constr. Steel Res. 2022, 197, 107479. [Google Scholar] [CrossRef]
- Gil, B.; Goñi, R.; Fábregas, M.; Bayo, E. Design and testing of steel additive-manufactured moment-resistant beam-to-column connection. J. Constr. Steel Res. 2024, 219, 108747. [Google Scholar] [CrossRef]
- Papavasileiou, G.S.; Charmpis, D.C. Earthquake-resistant buildings with steel or composite columns: Comparative assessment using structural optimization. J. Build. Eng. 2020, 27, 100988. [Google Scholar] [CrossRef]
- Yümlü, D. Developing a Framework for Minimization of Structural Steel Use and Eci Costs. Master’s Thesis, Delft University of Technology, Delft, The Netherlands, 2024. [Google Scholar]
- Barg, S.; Flager, F.; Fischer, M. An analytical method to estimate the total installed cost of structural steel building frames during early design. J. Build. Eng. 2018, 15, 41–50. [Google Scholar] [CrossRef]
- GB/T 228.1-2021; Metallic Materials—Tensile Testing—Part 1: Method of Test at Room Temperature. China Planning Press: Bei-jing, China, 2021.
- JGJ 82-2011; Technical Specification for High Strength Bolt Connections of Steel Structures. China Planning Press: Beijing, China, 2011.
- Cao, W.; Yang, Z.; Wang, X.; Dong, H. Seismic behavior of prefabricated beam-column joint with π-shaped connector. Structures 2023, 58, 105553. [Google Scholar] [CrossRef]
- JGJ/T 101-2015; Specification for Seismic Test of Buildings. China Architecture & Building Press: Beijing, China, 2015.
- Yang, Z.; Cao, W.; Qiao, Q.; Zhang, J. Experimental and numerical study on the prefabricated double L-shaped beam-column joint with triangular stiffener. J. Build. Eng. 2023, 69, 106315. [Google Scholar] [CrossRef]
- Rong, B.; Feng, C.; Zhang, R.; Liu, S.; You, G. Studies on performance and failure mode of T-shaped diaphragm-through connec-tion under monotonic and cyclic loading. J. Mech. Mater. Struct. 2018, 13, 1–15. [Google Scholar] [CrossRef]
- Han, L. Concrete-Filled Steel Tubular Structures: Theory and Practice, 3rd ed.; Science Press: Beijing, China; China Science Publishing & Media Ltd.: Beijing, China, 2016. (In Chinese) [Google Scholar]
























| Specimen | Type of Joint | Connection Method of the Column Flange | Connection Method of the Beam | SQC (kg) | |
|---|---|---|---|---|---|
| Beam Web Plate | Flange of the Beam | ||||
| J-1 | Welded joint | Welding with beams | Welding with a column flange | Welding with a column flange | 0 |
| J-2 | Web-connected joint | Welding with connecting plate P1 | Bolted to the connecting plate P1 | No connection | 0.33 |
| J-3 | End-plate joint | Bolted to the end plate | Welding with the end plate | Welding with the end plate | 2.03 |
| J-4 | BAC joint | Welding with the vertical section of the angle steel connector | No connection | Bolted to the horizontal section of the angle steel connector | 2.55 |
| J-5 | BACS joint | Welding with the vertical section of the angle steel connector | No connection | Bolted to the horizontal section of the angle steel connector | 2.94 |
| J-6 | Stub girder joint | Welding with short beams | Bolted to the stub girder web through a cover plate | Bolted to the stub girder flange through a cover plate | 3.34 |
| Material | Thickness t/mm | Yield Strength /MPa | Ultimate Strength /MPa | Elongation δ/% | Elastic Modulus E/MPa |
|---|---|---|---|---|---|
| Beam Web, Beam Flange, and Column Web | 4 | 373 | 444 | 21.5 | 214,000 |
| Column Flange | 6 | 346 | 429 | 19.2 | 202,000 |
| End Plate, Gusset Plate, and Stiffener | 6 | 355 | 424 | 19.7 | 202,000 |
| Test Specimen | Loading Direction | Peak Moment | Peak Rotation | Yield Moment | Yield Rotation | Ultimate Moment | Ultimate Rotation | μ |
|---|---|---|---|---|---|---|---|---|
| J-1 | Positive | 29.31 | 2.77 | 25.57 | 1.24 | 24.91 | 6.31 | 5.09 |
| Negative | 30.32 | 2.76 | 25.28 | 1.42 | 27.54 | 3.84 | 2.70 | |
| J-2 | Positive | 10.09 | 4.34 | 7.11 | 1.23 | 8.58 | 5.88 | 4.78 |
| Negative | 8.83 | 3.59 | 7.48 | 1.54 | 7.51 | 4.29 | 2.79 | |
| J-3 | Positive | 21.84 | 4.68 | 17.02 | 2.81 | 21.35 | 6.65 | 2.37 |
| Negative | 17.88 | 4.16 | 13.76 | 1.48 | 15.49 | 6.54 | 4.42 | |
| J-4 | Positive | 31.18 | 5.68 | 26.84 | 2.37 | 30.85 | 6.08 | 2.57 |
| Negative | 28.47 | 7.54 | 23.57 | 2.13 | 24.20 | 7.91 | 3.71 | |
| J-5 | Positive | 38.58 | 4.22 | 33.38 | 1.72 | 38.06 | 5.70 | 3.31 |
| Negative | 37.78 | 7.25 | 32.28 | 2.40 | 37.78 | 7.25 | 3.02 | |
| J-6 | Positive | 34.65 | 5.74 | 28.46 | 1.63 | 29.91 | 6.40 | 3.93 |
| Negative | 31.61 | 5.39 | 24.44 | 1.54 | 29.47 | 6.98 | 4.53 |
| Model ID | Stiffener Height (mm) | Stiffener Thickness (mm) | Steel Grade |
|---|---|---|---|
| FJ5-S40 | 40 | 6 | Q235B |
| FJ-5 | 70 | 6 | Q235B |
| FJ5-S100 | 100 | 6 | Q235B |
| FJ5-S130 | 130 | 6 | Q235B |
| FJ5-T4 | 70 | 4 | Q235B |
| FJ5-T8 | 70 | 8 | Q235B |
| FJ5-345 | 70 | 6 | Q345B |
| FJ5-420 | 70 | 6 | Q420B |
Disclaimer/Publisher’s Note: The statements, opinions and data contained in all publications are solely those of the individual author(s) and contributor(s) and not of MDPI and/or the editor(s). MDPI and/or the editor(s) disclaim responsibility for any injury to people or property resulting from any ideas, methods, instructions or products referred to in the content. |
© 2025 by the authors. Licensee MDPI, Basel, Switzerland. This article is an open access article distributed under the terms and conditions of the Creative Commons Attribution (CC BY) license.
Share and Cite
Zhang, Z.; Chen, L.; Yuan, P. Experimental and Numerical Analysis of a Bolted Angle Connector Beam-to-Column Joint with a Stiffener. Buildings 2026, 16, 180. https://doi.org/10.3390/buildings16010180
Zhang Z, Chen L, Yuan P. Experimental and Numerical Analysis of a Bolted Angle Connector Beam-to-Column Joint with a Stiffener. Buildings. 2026; 16(1):180. https://doi.org/10.3390/buildings16010180
Chicago/Turabian StyleZhang, Zongmin, Lanhua Chen, and Peng Yuan. 2026. "Experimental and Numerical Analysis of a Bolted Angle Connector Beam-to-Column Joint with a Stiffener" Buildings 16, no. 1: 180. https://doi.org/10.3390/buildings16010180
APA StyleZhang, Z., Chen, L., & Yuan, P. (2026). Experimental and Numerical Analysis of a Bolted Angle Connector Beam-to-Column Joint with a Stiffener. Buildings, 16(1), 180. https://doi.org/10.3390/buildings16010180
