Study on the Influence Factors of Surrounding Tunnel Longitudinal Deformation Caused by Pit Excavation Based on Nonlinear Pasternak Modeling
Abstract
1. Introduction
2. The Traditional Pasternak Foundation Model
3. Theory of Longitudinal Tunnel Deformation
3.1. Tunnel Additional Stresses
3.2. Tunnel Deformation Differential Equations
4. Solving Differential Equations for Tunnel Longitudinal Deformation
4.1. Finite Difference Format for Differential Equations
4.2. Iterative Solution of Nonlinear Equations
- (1)
- Tunnel additional stress vector P is obtained from the Mindlin solution;
- (2)
- K(u) and K’(u) are obtained according to Equations (21) and (22);
- (3)
- Determine the initial value u(0) according to the actual situation and use Formula (24) to compute △u(k);
- (4)
- According to △u(k) and Equation (25), it can compute u(k+1);
- (5)
- According to u(k+1) and Equation (24) obtained △u(k+1); if △u(k+1) < ε (ε is the calculation accuracy, generally assumed to be ε = 10−6), then u(k+1) is the final approximation result;
- (6)
- If △u(k+1) > ε, Steps (4) and (5) are repeated until accuracy of solution is satisfied.
5. Engineering Case Study and Validation
6. Parameter Impact Analysis
6.1. Influence of Soil Elastic Modulus
6.2. Effects of Differential Calculation Length
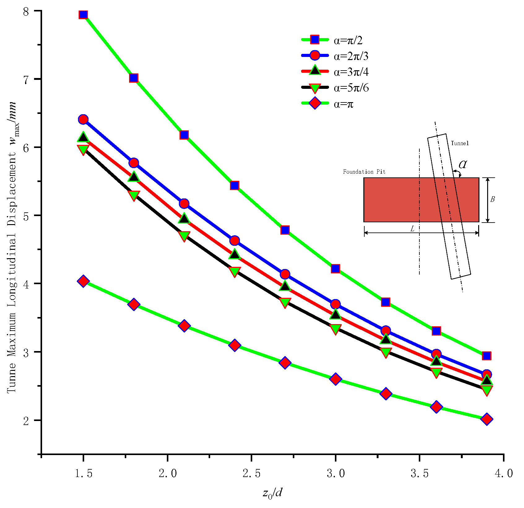
6.3. Influence of the Angle Between the Foundation Pit and the Tunnel
6.4. Impact of Excavation Depth on the Foundation Pit
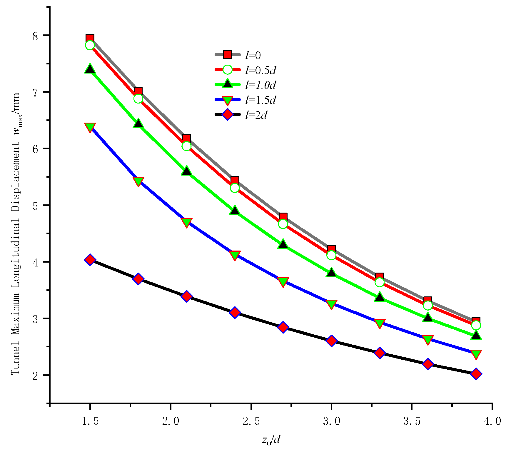
6.5. Influence of Tunnel and Pit Horizontal Distance
6.6. Impact of Tunnel Burial Depth
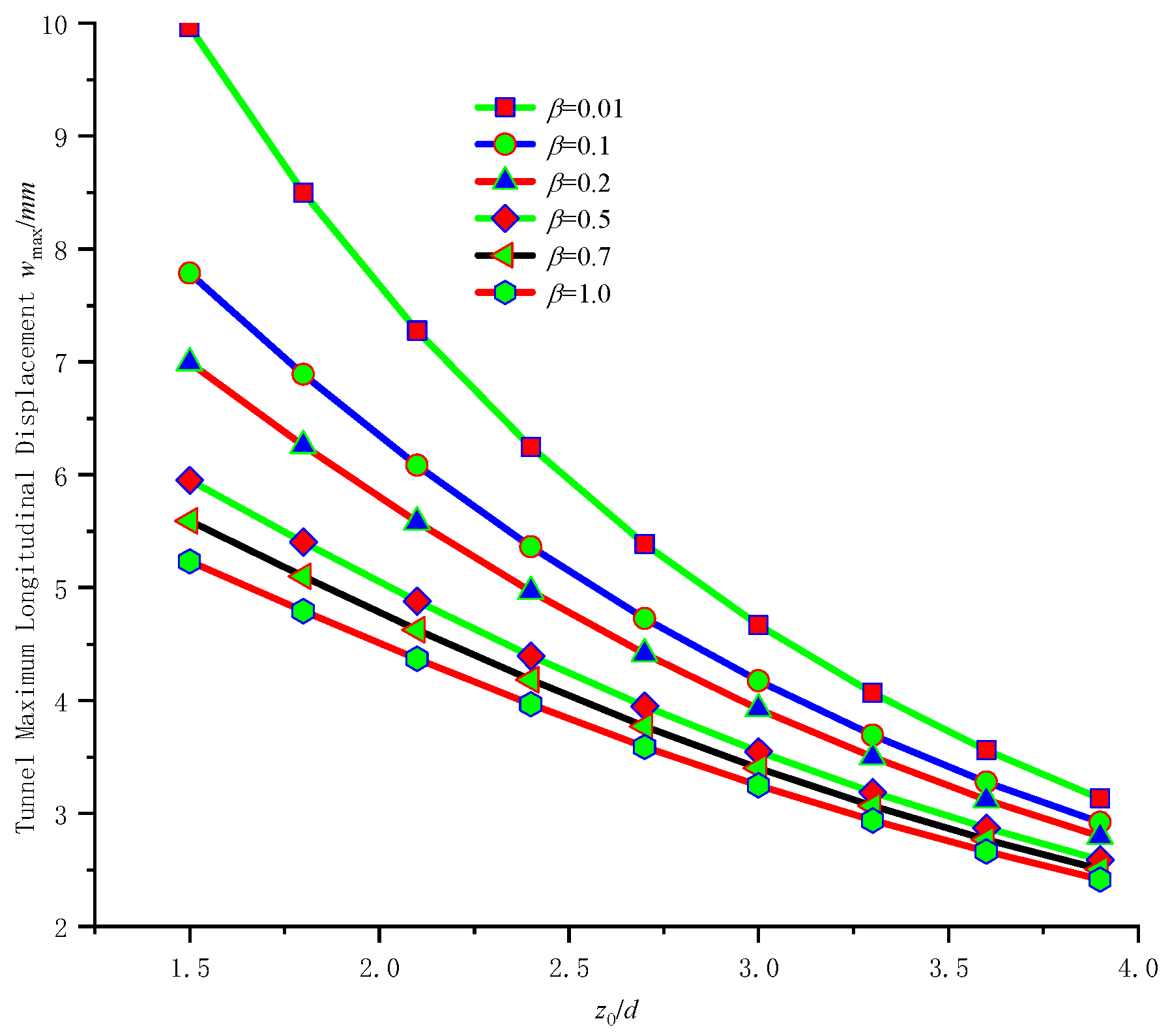
6.7. Influence of the Equivalent Bending Stiffness of Tunnel
7. Conclusions
- (1)
- A nonlinear Pasternak soil model were used. Additional load obtained from Mindlin’s solution was adopted. Deformation differential equation was solved using Hermite interpolation and Newton method.
- (2)
- Based on actual pit engineering case, tunnel deformation was analyzed using Pasternak soil model considering soil non-linear. Calculation results were compared and analyzed with actual measurement data to expound rationality considering soil nonlinear.
- (3)
- The influence of relevant factors was explored using nonlinear Pasternak soil model. According to calculation results, longitudinal tunnel deformation decreases with increase of soil modulus, tunnel axis and pit long side angle, tunnel stiffness reduction coefficient, pit center and tunnel axis horizontal distance; When discrete length is less than 5 m, the calculated deformation varies less with discrete length; The maximum longitudinal tunnel deformation increases with pit depth increasing, and decreases with tunnel buried depth increasing.
Author Contributions
Funding
Data Availability Statement
Conflicts of Interest
References
- Chang, C.-T.; Wang, M.J.; Chang, C.T.; Sun, C.W. Repair of displaced shield tunnel of the Taipei rapid transit system. Tunn. Undergr. Space Technol. 2001, 16, 163–173. [Google Scholar] [CrossRef]
- O’Rouke, T.D.; Ahmed, I. Effect of shallow trench construction on cast iron pipelines. In Advances in Underground Pipeline Engineering, Proceedings of the International Conference Sponsored by the Pipeline Division of the American Society of Civil Engineers; ASCE Press: New York, NY, USA, 1985. [Google Scholar]
- Lee, K.M. The effect of excavation for building on exiting underground tunnels. In Proceedings of the International Conference on Soft Soil Engineering—Recent Advances in Soft Soil Engineering, Guangzhou, China, 8–11 November 1993; Science Press: Beijing, China, 1993. [Google Scholar]
- Tang, M.X.; Zhao, X.H. Ground settlement and deformation calculation and application in deep excavation. J. Tongji Univ. Nat. Sci. 1996, 24, 238–244. [Google Scholar]
- Dolezalova, M. Tunnel complex unloaded by a deep excavation. Comput. Geotech. 2001, 28, 469–493. [Google Scholar] [CrossRef]
- Hu, Z.F.; Yue, Z.Q.; Zhou, J.; Tham, L.G. Design and construction of a deep excavation in soft soils adjacent to the Shanghai Metro tunnels. Can. Geotech. J. 2003, 40, 933–948. [Google Scholar] [CrossRef]
- Wang, W.D.; Wu, J.B.; Weng, Q.P. Numerical modeling of affection of foundation pit excavation on metro tunnel. Rock Soil Mech. 2004, 25 (Suppl. S2), 251–255. [Google Scholar]
- Li, J.P.; Ding, S.J. Influence of additional load caused by adjacent buildings on underground pipeline. J. Tongji Univ. Nat. Sci. 2004, 32, 1553–1557. [Google Scholar]
- Qi, K.J.; Wang, X.D.; Jiang, G.; Chang, Y.S.; Chen, Y.D. Analysis of deep pit excavation adjacent to tunnel. Chin. J. Rock Mech. Eng. 2005, 24, 5485–5489. [Google Scholar]
- Yuan, B.X.; Liang, J.K.; Zhang, B.F.; Chen, W.; Huang, X.; Huang, Q.; Li, Y.; Yuan, P. Optimized reinforcement of granite residual soil using a cement and alkaline solution: A coupling effect. J. Rock Mech. Geotech. Eng. 2025, 17, 509–523. [Google Scholar] [CrossRef]
- Yuan, B.X.; Liang, J.K.; Huang, X.L.; Huang, Q.; Zhang, B.; Yang, G.; Wang, Y.; Yuan, J.; Wang, H.; Yuan, P. Eco-efficient recycling of engineering muck for manufacturing low-carbon geopolymers assessed through LCA: Exploring the impact of synthesis conditions on performance. Acta Geotech. 2024. [Google Scholar] [CrossRef]
- Yuan, B.X.; Chen, W.J.; Li, Z.H.; Zhao, J.; Luo, Q.; Chen, W.; Chen, T. Sustainability of the polymer SH reinforced recycled Granite Residual Soil: Properties, physicochemical mechanism and applications. J. Soils Sediments 2023, 23, 246–262. [Google Scholar] [CrossRef]
- Zhang, Z.G.; Zhang, M.X.; Wang, W.D. Two-stage method for analyzing effects on adjacent metro tunnels due to foundation pit excavation. Rock Soil Mech. 2011, 32, 2085–2092. [Google Scholar]
- Zhang, Z.G.; Zhang, M.X.; Zhao, Q.H. A Simplified Analysis for Deformation Behavior of Buried Pipelines Considering Disturbance Effects of Underground Excavation in Soft Clays. Arab. J. Geosci. 2015, 8, 7771–7785. [Google Scholar] [CrossRef]
- Zhang, Z.G.; Huang, M.S.; Wang, W.D. Evaluation of Deformation Response for Adjacent Tunnels due to Soil Unloading in Excavation Engineering. Tunn. Undergr. Space Technol. 2013, 38, 244–253. [Google Scholar] [CrossRef]
- Zhang, Z.G.; Xu, C.; Gong, J.F. Influence of tunneling on deflection of adjacent piles considering shearing deformation of foundation and 3D effects of lateral soils beside piles. Chin. J. Geotech. Eng. 2016, 38, 846–856. [Google Scholar]
- Zhang, Z.G.; Wo, W.; Zhu, Z.G.; Han, K.H.; Sun, M.M. Fourier energy variational solution of effects on existing tunnels induced by shield tunneling considering coordinated deformation of lining cross-section. Rock Soil Mech. 2024, 45, 1397–1411+1422. [Google Scholar]
- Zhang, Z.G.; Cheng, Z.X.; Zhang, M.X.; Ma, S.K.; Lu, X.L. Dislocation Deformation of Existing Longitudinal Tunnel Structure Induced by Shield Tunneling by Under-crossing Considering Influence of Lining Permeability. China J. Highw. Transp. 2022, 35, 180–194. [Google Scholar]
- Zhang, Z.G.; Chen, Y.J.; Wei, G.; Ni, Y.; Li, J.J.; Shi, M.Z.; Mu, L.L. Time-Dependent Analysis of Deformation Induced by Soft Soil Pit Excavation Adjacent to Small Curvature Radius Tunnels. Available online: https://link.cnki.net/urlid/32.1124.TU.20241219.1554.002 (accessed on 20 December 2024).
- Zhang, Z.G.; Wei, J.; Mu, L.D.; Lü, X.; Ma, S.; Chen, Y.; Ni, Y.; Li, J. Time-dependent deformation analyses of existing tunnels due to curved foundation pit excavation applying fractional derivative Merchant model and irregular Timoshenko beam. Appl. Math. Model. 2025, 141, 115920. [Google Scholar] [CrossRef]
- Attewell, P.B.; Woodman, J.P. Predicting the Dynamics of Ground Settlement and its Derivatives Caused by Tunneling in Soil. Ground Eng. 1982, 15, 13–22, 36. [Google Scholar]
- Zhou, J.; Zhou, W.; Chen, B.Q. Calculation of Additional Stress of Metro Tunnel Caused by Adjacent Irregular Foundation Pit Excavation. J. Chongqing Jiaotong Univ. Nat. Sci. 2017, 36, 17–27. [Google Scholar]
- Sun, H.S.; Chen, Y.D.; Zhang, J.H.; Kuang, T. Analytical Investigation of Tunnel Deformation Caused by Circular Foundation Pit Excavation. Comput. Geotech. 2019, 106, 193–198. [Google Scholar] [CrossRef]
- Xu, R.Q.; Cheng, K.; Ying, H.W.; Lin, C.G.; Liang, R.Z.; Feng, S.Y. Deformation response of a tunnel under foundation pit unloading considering buried depth and shearing effect. Rock Soil Mech. 2020, 41 (Suppl. S1), 1–14. [Google Scholar]
- Cheng, K.; Xu, R.Q.; Ying, H.W.; Liang, R.Z.; Lin, C.G.; Gan, X.L. Simplified method for evaluating deformation responses of existing tunnel to overlying basement excavation. Chin. J. Rock Mech. 2020, 39, 637–648. [Google Scholar]
- Wei, G.; Zhang, X.H. Calculation of rotation and shearing dislocation deformation of underlying shield tunnels due to foundation pit excavation. J. Cent. South Univ. Sci. Technol. 2019, 50, 2273–2284. [Google Scholar]
- Wei, G.; Hong, W.Q.; Wei, X.J.; Zhang, X.; Luo, J.-W. Calculation of rigid body rotation and shearing dislocation deformation of adjacent shield tunnels due to excavation of foundation pits. Chin. J. Geotech. Eng. 2019, 41, 1251–1259. [Google Scholar]
- Zheng, G.; Yang, X.Y.; Zhou, H.Z.; Du, Y.; Sun, J.; Yu, X. A Simplified Prediction Method for Evaluating Tunnel Displacement Induced by Laterally Adjacent Excavations. Comput. Geotech. 2018, 95, 119–128. [Google Scholar] [CrossRef]
- Zhang, Y.W.; Xie, Y.L.; Weng, M.S. Centrifugal test on influence of asymmetric foundation excavation to an underlying subway tunnel. Rock Soil Mech. 2018, 39, 2555–2562. [Google Scholar]
- Zheng, G.; Du, Y.M.; Diao, Y.; Deng, X.; Zhang, L.M. Influenced zones for deformation of existing tunnels adjacent to excavations. Chin. J. Geotech. Eng. 2016, 38, 599–612. [Google Scholar]
- Ding, Z.; Zhang, X.; Jin, J.K.; Wang, L.Z. Measurement analysis on whole excavation of foundation pit and deformation of adjacent metro tunne. Rock Soil Mech. 2019, 40 (Suppl. S1), 415–423. [Google Scholar]
- Huang, X.; Huang, H.W.; Zhang, D.M. Centrifuge Modeling of Deep Excavation over Existing Tunnels. Proc. ICE-Geotech. Eng. 2014, 167, 3–18. [Google Scholar] [CrossRef]
- Jiang, Z.H.; Zhang, Y.X. Calculation of Influence on Longitudinal Deformation of Adjacent Tunnels Due to Excavation. J. Civ. Archit. Environ. Eng. 2013, 35, 7–11. [Google Scholar]
- Wei, G.; Zhao, C.L. Calculation method of additional load of adjacent metro tunnels due to foundation pit excavation. Ch:n. J. Rock Mech. Eng. 2016, S1, 3408–3417. [Google Scholar]
- Zhang, X.M.; Ou, X.F.; Yang, J.S.; Fu, J. Deformation Response of an Existing Tunnel to Upper Excavation of Foundation Pit and Associated Dewatering. Int. J. Geomech. 2017, 17, 04016112. [Google Scholar] [CrossRef]
- Liu, B.; Zhang, D.W.; Yang, C.; Zhang, Q.B. Long-term Performance of Metro Tunnels Induced by Adjacent Large Deep Excavation and Protective Measures in Nanjing Silty Clay. Tunn. Undergr. Space Technol. 2020, 95, 103147. [Google Scholar] [CrossRef]
- Aettwell, P.B.; Yeates, J.; Selby, A.R. Soil Movements Induced by Tunnelling and Their Effects on Pipelines and Structures; Blackie and Son Ltd.: London, UK, 1986; pp. 128–132. [Google Scholar]
- Tanahashi, H. Formulas for an infinitely long Bernoulli-Euler beam on the Pasternak model. Soils Found. 2004, 44, 109–118. [Google Scholar] [CrossRef]
- Liang, R.Z. Simplified analytical method for evaluating the effects of overcrossing tunnelling on existing shield tunnels using the nonlinear Pasternak foundation model. Soils Found. 2019, 59, 1711–1727. [Google Scholar] [CrossRef]
- ALA. Guidelines for the Design of Buried Steel Pipe; American Lifelines Alliance: Washington, DC, USA, 2005. [Google Scholar]
- Mindlin, R.D. Force at a point in the interior of a semi-infinite solid. J. Appl. Phys. 1936, 7, 195–202. [Google Scholar] [CrossRef]
- Meng, F.; Qiao, S.F. Study on the deformation of existing tunnel under the combined effect of pit excavation and dewatering based on the Kerr foundation model. Tunn. Undergr. Space Technol. 2025, 158, 106382. [Google Scholar] [CrossRef]
- Shen, G.Z.; Zhao, H.H.; Zhao, K.; Li, Y. Hermite Difference Method for Tunnel Longitudinal Displacement Caused by Deep Foundation Pit Excavation. Chin. J. Undergr. Space Eng. 2020, 16, 841–848. [Google Scholar]
- Kang, C.; Ye, C.; Liang, R.Z.; Sun, L.W.; Fang, Y.X.; Wu, W.B. Nonlinear longitudinal deformation of underlying shield tunnels induced by foundation excavation. Chin. J. Rock Mech. Eng. 2020, 39, 2341–2350. [Google Scholar]
- Cao, S.; Qian, D.L.; Wei, X.Y.; Cheng, H.; Ma, X.F. Influence of deep foundation pit excavation underlying metro tunnel and control measure. J. Hefei Univ. Technol. Sci. Technol. 2014, 37, 1479–1482+1536. [Google Scholar]
- Shiba, Y.; Kawashima, K.; Obinata, N.; Kano, T. Evaluation procedure for seismic stress developed in shield tunnels based on seismic deformation method. J. Jpn. Soc. Civ. Eng. 1989, 1989, 385–394. (In Japanese) [Google Scholar] [CrossRef] [PubMed]
- Zhao, H.H.; Song, Y.T. Study on longitudinal nonlinear deformation of adjacent existing tunnels induced by deep foundation excavation. Sci. Rep. 2025, 15, 9879. [Google Scholar] [CrossRef] [PubMed]





















| Tunnel Outer Diameter D/m | Tunnel Internal Diameter/m | Tube Thickness t/m | Ring Width ls/m | Tube Sheet Elasticity Modulus Ec/MPa | Number of Bolts n | Linear Stiffness of Bolted Joints kb/(MN/m) | Inertia Moment of the Tunnel Section Ic/m4 |
|---|---|---|---|---|---|---|---|
| 6.2 | 5.5 | 0.35 | 1.5 | 3.25 × 104 | 480 | 148 | 27.62 |
| Layer Number | Soil Layer Name | Thicknesses/m | Soil Bulk Weight γ/(kN·m−3) | Soil Elasticity Modulus Es/MPa | Poisson’s Ratio μ | Angle of Internal Friction φ/(°) | Cohesion c/kPa |
|---|---|---|---|---|---|---|---|
| 1 | Miscellaneous Fillings | 3.2 | 18.6 | 24.0 | 0.39 | ||
| 2 | Plain Fill | 3.1 | 19.5 | 26.6 | 0.36 | 14.1 | 23.7 |
| 3 | Soft Plastic Powdery Clay | 2.9 | 19.5 | 31.4 | 0.36 | 16.1 | 22.1 |
| 4 | Powdery Clay | 11.6 | 18.6 | 20.2 | 0.33 | 15.2 | 13.7 |
| 5 | Residual Soil | 5.7 | 20.5 | 35.6 | 0.30 | 18.1 | 36.1 |
| 6 | Moderately Weathered Mudstone Sandstone | 26.5 | 23.5 | 5000 | 0.20 | 30.0 | 180.0 |
Disclaimer/Publisher’s Note: The statements, opinions and data contained in all publications are solely those of the individual author(s) and contributor(s) and not of MDPI and/or the editor(s). MDPI and/or the editor(s) disclaim responsibility for any injury to people or property resulting from any ideas, methods, instructions or products referred to in the content. |
© 2025 by the authors. Licensee MDPI, Basel, Switzerland. This article is an open access article distributed under the terms and conditions of the Creative Commons Attribution (CC BY) license (https://creativecommons.org/licenses/by/4.0/).
Share and Cite
Zhao, H.; Song, Y. Study on the Influence Factors of Surrounding Tunnel Longitudinal Deformation Caused by Pit Excavation Based on Nonlinear Pasternak Modeling. Buildings 2025, 15, 1504. https://doi.org/10.3390/buildings15091504
Zhao H, Song Y. Study on the Influence Factors of Surrounding Tunnel Longitudinal Deformation Caused by Pit Excavation Based on Nonlinear Pasternak Modeling. Buildings. 2025; 15(9):1504. https://doi.org/10.3390/buildings15091504
Chicago/Turabian StyleZhao, Honghua, and Yutao Song. 2025. "Study on the Influence Factors of Surrounding Tunnel Longitudinal Deformation Caused by Pit Excavation Based on Nonlinear Pasternak Modeling" Buildings 15, no. 9: 1504. https://doi.org/10.3390/buildings15091504
APA StyleZhao, H., & Song, Y. (2025). Study on the Influence Factors of Surrounding Tunnel Longitudinal Deformation Caused by Pit Excavation Based on Nonlinear Pasternak Modeling. Buildings, 15(9), 1504. https://doi.org/10.3390/buildings15091504

