Next Article in Journal
Evaluating Pavement Deterioration Rates Due to Flooding Events Using Explainable AI
Previous Article in Journal
Comparative Analysis of TAG (Three-Dimensional Architectural Greening) Scenic Beauty Quantitative Techniques Based on Visual Perception
 
 
Font Type:
Arial Georgia Verdana
Font Size:
Aa Aa Aa
Line Spacing:
Column Width:
Background:
Article

Evaluation of the Influence of Outdoor Enclosed Space Facade Layout on Wind Comfort at the World Heritage Site

by
Tingfeng Liu
1,
Tiantian Huang
1,
Haosen Yang
1,
Yaolong Wang
1,
Zefa Wang
1,2,*,
Haoran Chi
1,
Xiaofang Yu
1,
Jiarui Xu
3 and
Jing Chen
4
1
School of Architecture, Tianjin University, Tianjin 300072, China
2
School of Resources and Environmental Sciences, Quanzhou Normal University, Quanzhou 362000, China
3
School of Humanities and Arts, Hainan College of Economics and Business, Haikou 571127, China
4
School of Geographical Sciences, Fujian Normal University, Fuzhou 350007, China
*
Author to whom correspondence should be addressed.
Buildings 2025, 15(9), 1451; https://doi.org/10.3390/buildings15091451
Submission received: 22 March 2025 / Revised: 21 April 2025 / Accepted: 22 April 2025 / Published: 25 April 2025

Abstract

Enhancing the wind comfort of outdoor enclosed spaces is crucial for improving visitor satisfaction at the Maritime Silk Road World Heritage site, with the arrangement of its facade being the primary factor influencing outdoor wind comfort. This study examines 50 outdoor enclosed spaces at Kaiyuan Temple in Quanzhou, a Maritime Silk Road World Heritage site, as the research object. Through on-site measurements and CFD simulations, the influence of different outdoor enclosed space facade layouts on winter wind comfort is compared and analyzed. Here are the findings of the research: (1) The height-to-cross-section ratios of 0.37, 0.47, and 0.27 correspond to the best wind speed comfort, wind speed stability, and wind regulation amplitude. (2) Enclosure rates of 0.06, 0.42, and 0.42 are linked to the ideal wind speed comfort, wind speed stability, and wind regulation amplitude. (3) Optimal wind speed comfort, wind speed stability, and wind regulation amplitude are related to a permeability of 0.03, 0.59, and 0.03, respectively. The conclusions above can serve as scientific references for enhancing the wind comfort of outdoor enclosed spaces in the Maritime Silk Road World Heritage sites.

1. Introduction

With the acceleration of globalization and modernization, the focus of attention from all walks of life is now on promoting the integration and high-quality development of cultural tourism. The rich world cultural heritage is an irreplaceable advantage and core competition for China’s development of the cultural industry [1], and a key breakthrough for promoting the integration and high-quality development of cultural tourism. Cultural tourism and a comfortable environment are interdependent, with a comfortable environment promoting the development of cultural tourism and cultural tourism enhancing environmental quality. The outdoor enclosed space of World Heritage sites is the most popular place for tourists to visit and stay. The satisfaction of tourists who visit World Heritage sites is greatly influenced by this factor. Quanzhou Kaiyuan Temple is one of the components of the World Cultural Heritage “Quanzhou: The World Marine Trade Center of Song and Yuan China”, and is the most popular tourist attraction in Quanzhou’s World Heritage tourism. Kaiyuan Temple is affected by the subtropical maritime monsoon climate, resulting in significant wind environment problems such as strong winter monsoons and weak summer monsoons with internal heat. These unfavorable wind comfort factors directly affect the frequency of outdoor enclosed space tourist activities. The outdoor enclosed spaces of Kaiyuan Temple in Quanzhou are diverse and abundant, with a focus on architecture and plants. Given the climate characteristics of high annual temperature and strong radiation in Quanzhou, compared with traditional building enclosed spaces, outdoor enclosed spaces dominated by plants not only effectively regulate the comfort of the environment, but also achieve shading effects and demonstrate extremely high economic efficiency. Hence, the Kaiyuan Temple in Quanzhou has emerged as the prime location for researching the wind environment of World Heritage sites in subtropical maritime monsoon climate regions.
There is not much research available on scientifically proving the wind environment in outdoor enclosed spaces of World Heritage sites. However, studies on the wind environment in outdoor enclosed areas tend to concentrate on different factors such as villages, courtyards, buildings, squares, and plants. For example, Zefa Wang and Tingfeng Liu evaluated the wind comfort of eight typical Maritime Silk Road cultural heritage sites in Quanzhou City based on the comfort evaluation standards of ancient and modern wind environments through on-site measurements and CFD simulations, and proposed improvement measures [2]. Fusuo Xu et al. verified, through CFD simulation, that optimizing the morphology of a village can improve its ventilation [3]. Xiong Shen et al. employed CFD simulation to assess the climate adaptability advantages of the traditional “maze-like” layout of villages [4]. Using Mingyuewan Village in Suzhou as a case study, Huiyi Zang et al. integrated spatial syntax with CFD simulation to examine the relationship between spatial accessibility and climate adaptability [5]. Yansong Wang et al. studied the effects of unfolded and semi-enclosed village entrance layouts on the summer and winter monsoon environment using CFD simulation [6]. Zhiqing Zhao, Siyi Zhang, and others used CFD simulation to examine the ventilation of two courtyard layouts at the Bailudong Academy complex. They confirmed that a Feng Shui layout can enhance the wind environment within the courtyards [7]. The wind environment in the summer courtyard was positively affected by the feng shui layout, as found by Peiyan Guo et al. [8]. The influence of the aspect ratio of courtyards and the direction of the injected wind on the wind environment in parallel courtyards on campus was demonstrated by Yang Li et al. [9]. In a study conducted by Xiaoyu Ying, Xinyu Han, and other researchers, a CFD simulation was used to analyze the impacts of courtyard space layout on wind conditions in five standard exhibition structures [10]. Tian Li and Peng Cao conducted research on the outdoor wind conditions in residential areas of Lanzhou, analyzing the differences in various seasons and wind speeds using CFD simulation. They put forward optimization strategies [11]. Yang Wang and Yuhan Wang used CFD simulation to explore the impact of the layout of teaching clusters in Lingnan universities on the wind environment [12]. Zefa Wang et al. explored the impact of factors in the layout of square spaces on winter wind environments [13]. Wenting Huang used CFD simulation to analyze the connection between various square spatial forms and their wind environment [14]. Jing Chen et al. explored the impact of plant configuration on outdoor wind comfort in subtropical coastal campuses [15]. Peng Lei and Yin Hao simulated the impact of the morphological characteristics (community height, community width) and structural characteristics (group leaf area index, community canopy height) of plant communities on the area of healthy wind speed zones in residential areas. They confirmed that the presence of plant communities in residential areas can enhance health by improving the outdoor wind environment [16]. Yuehua Han et al. discovered that plants have a beneficial effect on enhancing the outdoor wind environment [17].
Previous research has investigated the use of outdoor enclosed space wind environments in villages and buildings, as well as the effects of outdoor enclosed space form on the site’s physical environment. Nonetheless, there is a scarcity of in-depth studies on the influence of the layout of outdoor enclosed spaces on wind comfort in World Heritage sites. This study fills the gap in research on the impact of outdoor enclosed space facade layout factors (three indices) on the wind comfort of World Heritage sites. With the rapid growth of the global tourism sector and the enhancement of individuals’ living standards, World Heritage sites have emerged as popular tourist destinations, with a shift in tourism demand from mere sightseeing to a greater emphasis on cultural experiences and meaningful interactions. Consequently, research in this area is essential. This study mainly focuses on the outdoor enclosed space of Kaiyuan Temple in Quanzhou and investigates the influencing factors of various outdoor enclosed space layouts on the wind environment. Preliminary experiments have indicated that the wind comfort level of the enclosed outdoor spaces during winter is crucial for outdoor activities at Kaiyuan Temple in Quanzhou.
CFD simulation is commonly used to analyze the physical environment of various indoor and outdoor spaces, including villages, neighborhoods, buildings, gardens, courtyards, and squares. Zhiyi Zhou et al. used CFD simulation to demonstrate how mountains can improve the wind and heat environment in traditional villages in Jinxi County, Jiangxi Province [18]. Jiamin Zhang, Shanshan Yao, and other researchers examined how the wind environment of traditional village street spaces is influenced by the characteristics and scale of street spaces through CFD simulations [19]. Xiaodan Li and their team utilized CFD simulation to evaluate the outdoor wind environment at a university in Beijing. They proposed improvement strategies for the outdoor wind environment, including campus planning, building form, and greenery configuration [20]. Jianxin Yang et al. conducted software simulations to study the effects of tree parameters such as tree height (TH), crown width (CW), understory height (UBH), and leaf area index (LAI) on the wind environment. They explored the wind environment characteristics under different planting forms. The results showed that LAI was the main driving factor for changes in wind speed [21]. According to Zhang Li and his team, the effect of vegetation on the thermal environment and airflow varies based on factors such as tree distribution, leaf area index (LAI), canopy width, and height [22]. Shangjie He and Dongheng Yin used CFD simulation to discuss the correlation between the indoor wind environment and factors such as floor height, window-to-wall ratio, wind direction angle, depth, and width [23]. By utilizing CFD, Junhao Zhu et al. conducted simulations on the influence of various tree species and array layouts in Hangzhou’s urban area on the wind environment, with the aim of enhancing wind comfort within tree landscapes [24]. Yifei Zhao and their team investigated how trees can enhance the microclimate in enclosed courtyards in North China [25]. Wang Zefa et al. investigated how courtyard spatial layout factors affect the wind environment using CFD simulation [26]. Yao Xiong and colleagues researched the correlation between the square space in Shecun Village and its microclimate environment [27]. Fusuo Xu et al. analyzed the impact of the form of public buildings facing the street on the ventilation capacity of squares [28]. Therefore, this study highlights the impact of integrating architecture and plant configuration on facade layout on winter wind comfort, providing a scientific reference for improving the wind comfort of outdoor enclosed spaces in the Maritime Silk Road World Heritage Area. Here are the specific research objectives:
The wind comfort of the outdoor enclosed space at Kaiyuan Temple in Quanzhou was analyzed in relation to the facade layout, with a focus on three indices. Secondly, the impact of the facade layout of 50 outdoor enclosed spaces in Kaiyuan Temple, Quanzhou on the winter wind environment was compared and analyzed using on-site measurements and CFD simulations. Finally, it is important to note that a higher height-to-cross-section ratio and enclosure rate, along with a lower permeability, can enhance the wind comfort of the outdoor enclosed space at Kaiyuan Temple in Quanzhou. This aims to provide theoretical data support for architects and planners. Therefore, this study mainly uses 50 outdoor enclosed space status models and 15 index models from Kaiyuan Temple in Quanzhou to evaluate the impact of the facade layout on wind comfort in outdoor enclosed spaces.

2. Research Objects and Methods

2.1. Research Object: Outdoor Enclosed Space Layout of Kaiyuan Temple in Quanzhou

2.1.1. Overview of Outdoor Enclosed Space in Kaiyuan Temple, Quanzhou

Quanzhou Kaiyuan Temple can be found in Licheng District, Quanzhou City, Fujian Province, China. It has a longitude between 117°25′ and 119°04′ east and a latitude between 24°30′ and 25°56′ north (Figure 1). It falls under the Cfa type in the Köppen–Geiger climate classification system. It belongs to the subtropical maritime monsoon climate and is one of the 22 heritage sites of the World Cultural Heritage “Quanzhou: the World Marine Trade Center of Song and Yuan China”. It is also an important World Heritage site on the Maritime Silk Road. As an important cultural relic and historical site along the southeast coast of China, the Kaiyuan Temple in Quanzhou is not only an ancient temple with a long history and profound cultural heritage, but also an important historical witness and World Heritage site of the Maritime Silk Road. The World Heritage designation of Kaiyuan Temple not only increases its recognition and impact on a worldwide scale, but also stimulates the advancement of Quanzhou’s tourism economy and cultural connections. The Kaiyuan Temple in Quanzhou was first built during the Chuigong period of the Tang Dynasty. It underwent comprehensive expansion from the end of the Tang Dynasty to the Five Dynasties, continued expansion from the Song, Yuan, Ming, and Qing Dynasties to reach its peak, and underwent partial expansion and adjustment from the Republic of China to the modern era. It now has a relatively complete outdoor enclosed space.
Based on the AUTOCAD v.2021 (Autodesk, Lincoln, San Rafael, CA, USA) topographic map of Kaiyuan Temple in Quanzhou in 2021, it was found that after extracting the buildings and plants separately, there are mainly three categories: building enclosures, building and plant enclosures, and plant enclosures. There are 50 relatively independent outdoor enclosure spaces in Kaiyuan Temple in Quanzhou (50 outdoor enclosed spaces are typical representatives of outdoor enclosed spaces in world cultural heritage sites) (Figure 2). In addition to differences in facade layout, there are also differences in floor plan layout among the 50 outdoor enclosed spaces of Kaiyuan Temple in Quanzhou. Preliminary experiments have shown that floor plan layout has a relatively small impact on the winter wind comfort of the outdoor enclosed spaces of Kaiyuan Temple in Quanzhou. Therefore, this study focuses on the influence of facade layout on the wind comfort of the 50 outdoor enclosed spaces of Kaiyuan Temple in Quanzhou. Using the M350RTK (DJI, Shenzhen, China) unmanned aerial vehicle and X7 3D scanner (Scantech, Hangzhou, China), 50 3D measurement data were obtained from the outdoor enclosed space of Kaiyuan Temple in Quanzhou. The M350PTK drone, equipped with PTK positioning technology, the global satellite navigation system (GNSS), GPS, the Beidou navigation system, and other high-precision positioning and navigation technologies, is specially designed to tackle complex aerial operations. It is positioned above Kaiyuan Temple in Quanzhou to ensure precise planning for 50 outdoor enclosed spaces. This drone finds applications in various fields such as surveying, construction, and environmental protection. The X7 3D scanner (it is placed in the central area of each outdoor enclosed space) utilizes advanced laser technology and image processing algorithms to achieve precise 3D scanning of object surfaces, enabling rapid modeling and size measurement.

2.1.2. Facade Layout Index of the Outdoor Enclosed Space in Kaiyuan Temple, Quanzhou

After a detailed examination of relevant literature [29] and on-site visits, it was determined that there are three key factors in the outdoor layout of Kaiyuan Temple in Quanzhou. The quantitative formulas for the index of the outdoor enclosed space layout are as follows:
(1)
Height-to-Cross-Section Ratio Index
Haverage is the average height of the enclosed space’s interior facade, and Haverage = (h1 + h2 + h3 + … + hn)/n. Caverage is the average cross-sectional edge length of the enclosed space’s interior facade, and Caverage = (c1 + c2 + c3 + … + cn)/n (Equation (1), Figure 3a).
S = H a v e r a g e C a v e r a g e
(2)
Enclosure Rate Index
In Equation (2), Aaverage represents the average area of the overlapping part between the missing block in the enclosed space and the interior and exterior facades of the building. Aaverage = [(c1 + c2 + c3 + … + cn) + (d1 + d2 + d3 + … + dn)]/2, Atotal = Haverage × L1 + Haverage × L2 + Haverage   × L3 + … + Haverage × Ln, Haverage = (h1 + h2 + h3 + … + hn)/n (Equation (2), Figure 3b).
S = A a v e r a g e A t o t a l
(3)
Permeability Index
The permeability index is defined as the ratio of the average area of corresponding openings on the inner and outer facades of the enclosed space to the total interface area of the enclosed space (Equation (3), Figure 3c). The permeability of the enclosed space is represented by S, and the average opening area corresponding to the inner and outer facades of the enclosed space is represented by Baverage, Baverage = (a1 + a2 + a3 + … + an)/2. B is the total interface area of the enclosed space, Btotal = r1 × r2.
S = B a v e r a g e B t o t a l
Secondly, in AutoCAD v.2021 software, 50 outdoor enclosed spaces of Kaiyuan Temple in Quanzhou were separately extracted (Figure 4), and statistical analysis was conducted on the average height of the interior facade, average cross-sectional edge length, average cross-sectional area of missing blocks, total area of the interior facade, average area of openings corresponding to the interior and exterior facades, and total interface area of each outdoor enclosed space (This study created three-dimensional models of plants by simulating plants of various sizes using the rectangular simplification method. Rectangular models were adjusted for different plants based on their actual measured sizes, ensuring no repetition of similar-sized plants. Trees are mainly divided into two parts: crown height, width, and trunk height. The average area of openings corresponding to the inner and outer facades is mainly the average transparent area of trunks between trees). A statistical table was created by substituting the equations for the three indices, showing the values for 50 outdoor enclosed spaces in Kaiyuan Temple, Quanzhou (Table 1).

2.2. Contrastive Research Method

Examining the winter wind environment, this study aims to understand how three indices influence the winter wind comfort of outdoor enclosed spaces. In addition, a representative original model of the outdoor enclosed space of Kaiyuan Temple in Quanzhou was abstracted, and based on this, three index comparison models were constructed, with five each, for a total of 15. The study compared the winter wind environment in 15 different index models, aiming to showcase how the three indices affect, as well as their respective benefits and drawbacks, with regard to winter wind comfort in enclosed outdoor spaces.
For the purpose of comparing different indices of outdoor enclosed space layout, SketchUp v.2020 software (a powerful, intuitive, and easy-to-use 3D modeling tool widely used in architectural design, interior design, and landscape design) was used to model 50 real models and 15 index models of the outdoor enclosed space of Kaiyuan Temple in Quanzhou. The models excluded architectural specifics, focusing instead on how the layout index of enclosed outdoor spaces relates to winter wind comfort. Subsequently, import these models into the Phoenics v.2016 software for CFD simulation analysis. PHOENICS v.2016 is a commercial software used for computational fluid and heat transfer. It is commonly used for analyzing indoor and outdoor wind and heat environments, heat island effects, predicting pollutant concentration diffusion, and more. The software has a strong presence in the construction industry.

2.3. Research Framework

This study uses a combination of mathematical analysis, on-site testing, and simulation, as well as comparative research to evaluate the impact of the outdoor enclosed space facade layout on wind comfort in the Maritime Silk Road World Heritage site. The research approach is as follows:
  • Detection of Problems: This article, based on current research, examines how the three indices of the outdoor enclosed space at Kaiyuan Temple in Quanzhou impact wind comfort.
  • Relevant Data Collection and Model Construction: A total of 50 outdoor enclosed spaces of Kaiyuan Temple in Quanzhou were selected as research objects, and 15 models including 50 real models, typical original models, and exponential models were constructed, and their real and exponential models were modeled.
  • Correlation Analysis: The reliability of the CFD simulation was verified by examining the relationship between the actual measured wind speed values and those obtained from the simulation.
  • Simulation and Analysis: CFD simulations were conducted on 50 real models and 15 index models to compare wind comfort on three indices.
  • Conclusion and Application: Choosing the appropriate index can optimize the wind comfort of the outdoor enclosed space of Kaiyuan Temple in Quanzhou. This can provide theoretical data support for the design practice of improving the wind comfort of the outdoor enclosed space of the Maritime Silk Road World Heritage site.
The main concept of this study is to integrate conventional architectural and garden theory expertise with CFD computational fluid software in order to offer valuable insights for enhancing the wind comfort optimization of the outdoor enclosed space of Kaiyuan Temple in Quanzhou. The detailed research framework can be observed in Figure 5.

2.4. Evaluation Methods and CFD Simulation

2.4.1. Wind Environment Evaluation Methods in Winter

This study focuses on examining how the facade layout factors of Kaiyuan Temple in Quanzhou impact wind comfort. It takes into account the Chinese green building evaluation system [30] and previous research [13] standards to establish winter wind environmental evaluation criteria. In line with the “Green Building Evaluation Standards” (GB/T 50378-2019) [30], it is recommended to maintain a wind pressure difference of 0.5 Pa to 5 Pa at ground level between the windward and leeward sides of the building to prevent cold air infiltration. This is based on the average winter wind speeds and directions. Chen, L., Du, Y., and Ghasemi, Z. have divided wind speeds into three groups: a low wind speed zone (below 0.5 m/s), a comfortable wind speed zone (between 0.5 m/s and 2.0 m/s), and a high or strong wind speed zone (over 2.0 m/s) [31,32,33]. Meanwhile, Murakami, S. and Morikawa, Y. in Japan considered the differences in wind sensation among people at different temperatures and proposed a range of comfortable wind speeds at different temperatures. The optimal range for human comfort is when the wind speed is less than 1.5 m/s. Therefore, the optimal comfortable wind speed range is between 0.5 m/s and 1.5 m/s, and the suboptimal comfortable wind speed range is from 1.5 m/s to 2.0 m/s [34]. Additionally, following the guidelines of the “Green Building Evaluation Standards” (GB/T 50378-2019) and previous studies, the wind speed data at a height of 1.5 m above the ground were used as the standard for assessing the wind environment.

2.4.2. Details of Wind Environment Experiment and Simulations

(1)
Measured Points Selection
CFD was used to simulate the wind environment in the outdoor enclosure space for wind measurement Case No. 3 (the outdoor enclosure space of Kaiyuan Temple). The representative wind speed points ABCDEFGHI are selected according to the different areas formed when the natural wind meets the outdoor enclosed space of Kaiyuan Temple No. 3 in Quanzhou during winter (Figure 6a).
(2)
Field Experiment Method
To confirm the correlation between the recorded wind speeds and the wind speeds generated by simulations, the wind conditions in the outdoor enclosed space of Kaiyuan Temple in Quanzhou were measured on a winter day with clear and cloudy skies. On 10 January 2024, the NK5500LINK anemometer was used for fixed-point measurements at nine measuring points (ABCDEFGHI) in the outdoor enclosed space of the Shakya Mani Hall of Kaiyuan Temple in Quanzhou from 9:00 a.m. to 5:00 p.m. The method employed was simultaneous fixed-point observation by multiple individuals, setting the standard for all wind environment simulation scenarios since then. The anemometer was fixed at nine measuring points for testing using a tripod, with the inlet of the anemometer positioned 1.5 m above the ground. Wind speed data are gathered hourly, and the average wind speed within one minute of each measurement point is computed for every data point. A set of minimum, average, and maximum wind speed values is recorded every 10 s within 1 min. Between 9:00 and 17:00, 9 sets and 486 valid wind speed data points were collected, with average wind speed data calculated for each time period based on the measured data (The final recorded measured data are the average wind speed of each group). A comparison and analysis were performed on the wind environment in enclosed outdoor spaces at various measurement points, utilizing the NK500LNK anemometer, which provides wind speed measurements with an accuracy of ±3%.
On 10 December 2024, measurements of Leaf Area Index (LAI) were taken for 23 plant species at Kaiyuan Temple in Quanzhou (Figure 7). Measurements were taken using the LAI-2200C Plant Canopy Analyzer from LI-COR Biosciences in Lincoln, NE, USA. The analyzer was placed at four different points (north, south, east, and west) beneath the canopy of each plant to determine the leaf area index. After completing the actual measurement, connect the plant canopy analyzer to the computer to read the measured data of 23 plants. Then, install FV2200 V 2.1.1 software on the computer to analyze the measured data of the plants and obtain the LAI values of the 23 plants.
(3)
Three-Dimensional Model Construction
Firstly, a plant configuration model was established for Kaiyuan Temple in Quanzhou. Upon conducting an on-site investigation, it was observed that the plants can be categorized into herbs, shrubs, and trees. Among them, herbs include carpet grass, shrubs include areca palm, and trees include the Banyan, Sabina chinensis, Podocarpus macrophyllus, Bodhi tree, Longan tree, Byakuran, Bambusa ventricosa, Camphor tree, Mango tree, Cherry blossom, Mulberry, Magnolia, Banana shrub, Cycad, Osmanthus flower, Averrhoa carambola L, Camellia flower, Poinciana, Syzygium jambos, Jackfruit, Hoop pine, and Southern Magnolia. Additionally, field studies were conducted to measure the canopy height, width, and trunk height of various plants. The leaf area index of different plants was also measured using the LAI-2200C plant canopy analyzer (Table 2). Liang Li’s study indicates that rectangular models have advantages, including uncomplicated modeling, rapid computation, and excellent convergence [35]. Hence, the plant model adopts the technique of rectangular simplification and utilizes SketchUp v.2020 software to establish a three-dimensional model.
Secondly, 50 real models were constructed for the outdoor enclosed space of Kaiyuan Temple in Quanzhou. Based on the CAD topographic maps of 50 outdoor enclosed spaces in Kaiyuan Temple, Quanzhou, SKETCHUP software was used to establish 3D models for outdoor wind field calculation of 50 outdoor enclosed space scenes (Table 3, Figure 6b).
Thirdly, 15 index models will be constructed for the outdoor enclosed space of Kaiyuan Temple in Quanzhou. Based on Table 1, the highest frequency index values of the three key factors for the outdoor enclosed space layout of Kaiyuan Temple in Quanzhou were statistically obtained. From this, a typical original model for simulating the wind comfort level of the key factors for the outdoor enclosed space layout of Kaiyuan Temple in Quanzhou was summarized. This model has a certain universal applicability. The outdoor enclosed space of Kaiyuan Temple in Quanzhou has the highest proportion of 42.00% in terms of height-to-cross-section ratio, falling within the range of 0.12 to 0.22. In terms of enclosure rate, the outdoor enclosure space of Kaiyuan Temple in Quanzhou has the highest proportion of 28.00% in the range of 0.12 to 0.24. In terms of permeability, the outdoor enclosed space of Kaiyuan Temple in Quanzhou has the highest proportion of 34.00% within the range of less than 0.10. A typical original model of the outdoor enclosed space of Kaiyuan Temple in Quanzhou was established based on a height-to-cross-section ratio of 0.17, an enclosure rate of 0.18, and a permeability value of 0.03 (Figure 8). Further classify and analyze the three indices of 50 outdoor enclosed spaces in Kaiyuan Temple, Quanzhou. There are five types of height-to-cross-section ratio indices: 0.07, 0.17, 0.27, 0.37, and 0.47. There are five types of enclosure rate indexes, with values of 0.06, 0.18, 0.30, 0.42, and 0.54, respectively. There are five types in the permeability index classification, with permeability indices of 0.03, 0.17, 0.31, 0.45, and 0.59. Fifteen index models were established by referring to typical original models, as indicated in Table 4 and Figure 8, corresponding to the height-to-cross-section ratio indices of 0.07, 0.17, 0.27, 0.37, and 0.47 (Figure 9a–e), enclosure rate indices of 0.06, 0.18, 0.30, 0.42, and 0.54 (Figure 9f–j), and permeability indices of 0.03, 0.17, 0.31, 0.45, and 0.59 (Figure 9k–o). Thirdly, convert 50 real models and 15 exponential models into STL format and import them into PHOENICS software. Adjust the length, width, and height of the calculation domain, set the center and edge area grids, determine the input wind speed, wind direction, and profile type (power law), and include open sky (its setting parameters do not change with height). Then, simulate the wind environment and obtain the wind environment simulation results at a height of 1.5 m (Z = 1.5 m) from the ground for pedestrians.
(4)
CFD Simulation Settings
PHOENICS was used for CFD simulation, revealing that varying height distribution patterns affect wind speed and pressure alterations [36]. Altering the design of structures can effectively reduce overall energy usage and carbon emissions within a community [37]. The placement of plants in the courtyard can significantly impact the outdoor microclimate and the thermal comfort of residents [38]. The layout of architectural spaces and changes in aspect ratios can create effective ecological buffer spaces [39]. Based on the above and existing research [15]. The PHOENICS software is a perfect choice for simulating the wind environment in enclosed outdoor spaces for this research. Below are the details for the CFD simulation setup and model creation:
Model Selection: Perform a simulation using the RNG k-ε turbulence model in PHOENICS software (the RNG k-ε model has been widely studied and has accuracy in fields such as architecture and landscaping. The y+ value is approximately between 30 and 300, and the Reynolds number is greater than 106) [15,26]. The RNG k-ε model has good predictive ability, and its equation form is relatively simple compared to more complex models such as the SST k-ω model. It also has lower computational resource consumption, making it suitable for large-scale grids or steady-state simulations. Following Equations (4) and (5). The simulation for velocity–pressure coupling was executed by utilizing the PRESTO discrete equation and configuring the PARSOL function settings. The automatic convergence detection feature in PHOENICS guarantees effective convergence of simulation results with an accuracy level of 10−5 [40].
( ρ k ) t + ( ρ k u i ) x i = x j α k η e f f k x j + G k + ρ ε
( ρ ε ) t + ( ρ ε v i ) x i = x j α ε η f ε x j + C 1 s * ε k G k C 2 s ρ ε 2 k  
The software PHOENICS v.2016 is used to solve equations that use the symbols k for turbulent kinetic energy and ε for the rate of turbulent dissipation.
Grid Setting: The computing domain of the scene has dimensions that are five times larger in length and width compared to those of the corresponding scene model, and three times greater in height. Previous research has shown that simulation results are not affected by the height of the computational domain [15]. The calculation domain size is 5W × 5L × 3H (Figure 6b). To determine the mesh of the simulation area, divide the computational domain into two sections: the central area and the edge area. The grid densities for coarse meshes, fine meshes, and finest meshes are as follows: Xmin = Ymin = Zmin = 0.27 H, Xmin = Ymin = Zmin = 0.13 H, and Xmin = Ymin = Zmin = 0.06 H, respectively (the comparison in Table 5 reveals that simulated data in diverse computational domains exhibit improved accuracy with finer grid densities). With a ground roughness parameter α of 0.2, the inflow boundary condition was set to a fixed pressure and zero gradient (the previous setting of boundary conditions has proven the reliability of CFD simulation) (Table 6) [15].
The inflow profile had a constant horizontal velocity and turbulent kinetic energy at the top boundary, while the slip walls on both the left and right were symmetrical and without gradients.
Using Equation (6), we can determine the gradient of the oncoming wind at the inlet:
u ( z ) = u 0 ( z / z 0 ) α
where u(z) is the horizontal velocity at height z, and u0 is the horizontal velocity at height z0. In this model, u0 = 2.0 m/s (winter), z0 = 65.1 m, and α = 0.25 [41].
The turbulent kinetic energy, k (m2/s2), and its dissipation rate, ε (m2/s3), are set as follows:
k = u * 2 C μ 1 z δ
ε = u * 3 k z 1 z δ  
where u* is the friction velocity, δ is the depth of the boundary layer, and K is the von Karman’s constant. In this model, u* = 0.1 m/s (winter), K = 0.4, and Cµ = 0.09 [15].
Trees in the model were parameterized as a one-dimensional column, where the tree height was used to scale the normalized LAI. The vertical distribution of LAI is not consistent, creating difficulties in distinguishing between different vegetation types. The crown shape, height, and canopy edges influence the fluctuation of LAI with height. Each tree branch is likened to the crown in turbulence models, where tree crowns are seen as porous media [15]. The tree canopy causes a reduction in the kinematic energy of airflow due to drag and pressure, leading to the need for resistance to be included in the momentum equation to address the impact of vegetation on turbulent flow patterns. A sink term is added to the momentum equation to accommodate turbulence resistance from the canopy layer:
S d , i = C d × L A D × U × U i
where Cd is the drag coefficient, U is the vector speed on foliage surface (m/s), and U i is the Cartesian velocity in i direction (m/s).
Additional source terms in the momentum equation can show the correlation between airflow and tree canopy turbulence in the following way:
S k = C d × L A D × β P U 3 β d U k
S k = C d × L A D × C 4 ε β P U 3 ε k C 5 ε β d U ε  
In this investigation, βp, βd, C4ε, and C5ε are empirical constants with values of 1.0, 3.0, 1.5, and 1.5, respectively. βp denotes the average fluid kinetic energy of the wake flow, k, produced by the drag force of the canopy, whereas βd indicates the kinetic energy, k, dissipated by the short circuits of Kolmogorov energy gradients [15].
Sensitivity analysis: It can be calculated using Equation (12):
C p i = P i P 1 2 ρ U 2
where Cpi is the mean wind pressure coefficient of a specific point i, Pi represents the wind pressure at the point i, P is the static pressure at reference height, ρ is air density, set as 1.225 kg/m3, U is the wind speed at the reference height, and the wind speed is 6.13 m/s at the top of the outdoor enclosed space (No. 3) at Kaiyuan Temple in Quanzhou, 21.7 m [42].
For the sensitivity analysis, experimental results of the TJ case were used for comparative analysis, utilizing Equations (13) and (14), which were the earliest wind tunnel test results on CAARC in China [42].
Deviation   ( % ) = 1 n i n C p i C F D C p i t u n n e l C p i t u n n e l × 100 %
A b s o l u t e d e v i a t i o n   ( % ) = 1 20 1 20 C p i C F D C p i t u n n e l C p i t u n n e l × 100 %    
where n is the number of measuring points included in the comparison, set as 5 on each surface, CpiCFD is the mean wind pressure coefficient of point i in CFD simulation and Cpitunnel represents the mean wind pressure coefficient of point i in wind tunnel test [42]. Generate a surrogate model using Kriging substitution model and Monte Carlo sampling (MCS) to calculate the uncertainty level of material properties (UTS COV of approximately 25%) [43,44].
According to Lader and Fredheim (2006) [45], the material of nets follows the non-linear constitutive law:
T i j = C 1 ε + C 2 ε 2 = C 1   l i j l 0 , i j 1 + C 2   l i j l 0 , i j 1 2    
With l 0 , i j the unstretched bar length and (C1,C2) = (1160 N, 37,300 N) for squared meshes [43].
X j n + 1 X i n + 1 2 = l 0 2 4 C 2 2 × C 1   + 2 C 2 + C 1 2 + 4 C 2 T i j n + 1 2  
Iterative solution of Equation (16) through nonlinear equations: addressing numerical instability and time step limitations caused by nonlinear deformation [46].
Failure mechanisms: By combining finite element analysis (FEA) and computational fluid dynamics (CFD), parameters such as the local pressure peak, temperature gradient, cavitation number (σ), and vorticity intensity are determined to identify critical points beyond material limits. Sensitivity analysis can be used to quantify input parameters such as inlet turbulence intensity and material property deviations to predict failure modes [47].
The standard wall functions are employed together with roughness modification on the ground surface. The values of the roughness parameters, i.e., the sand-grain roughness height ks (m) and the roughness constant Cs, are determined using their consistency relationship with the aerodynamic roughness length z0, Equation (17):
K S = 9.793 z 0 C S  
In this study, ks = 0.0007 m and Cs = 0.13 for the ground surface. The building walls have roughness ks = 0 and Cs = 0.5. Zero static gauge pressure is applied at the outlet plane. Symmetry conditions, i.e., zero normal velocity and zero normal gradients of all variables, are imposed on the top and lateral sides of the domain [48].
Wind Condition Setting: As per the “Design Code for Heating, Ventilation and Air Conditioning of Civil Buildings” (GB5073602012, China) [49], “China Weather Network”, “China Meteorological Network”, and “China Meteorological Data Network”, in the Quanzhou area during winter, the average wind speed is 6.13 m/s. The dominant wind direction for the season is the northeast direction (selecting the northeast direction with the highest frequency of occurrence in winter as the simulated wind direction). Kaiyuan Temple in Quanzhou has a relatively low latitude, flat terrain, and a coastal area. Spring is usually warm and humid, summer is high in humidity and heat, autumn is sunny and cloudy with little rain, and winter is mild but often has strong winds.

3. Results

3.1. Comparative Analysis of Measured and Simulated Values

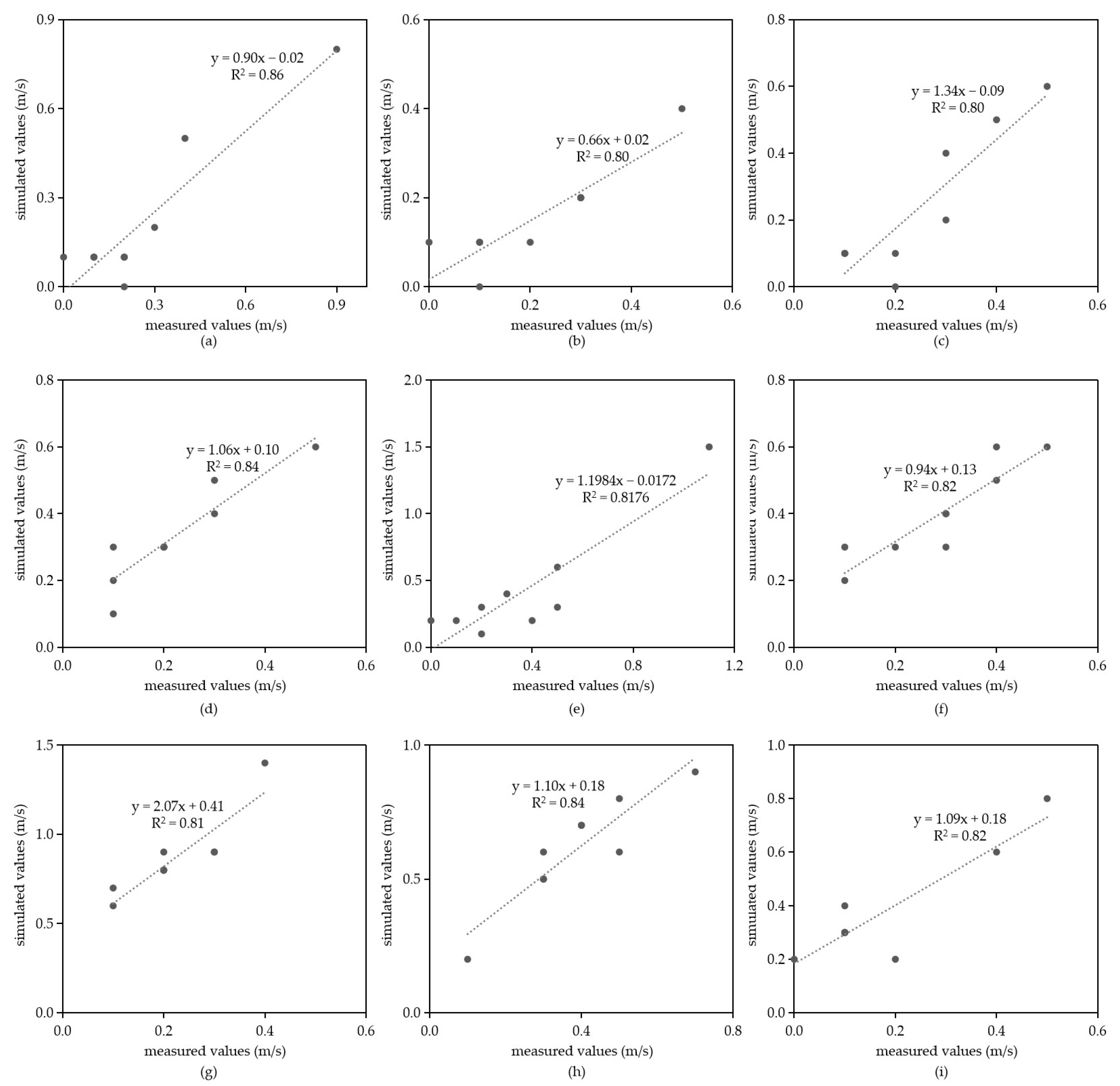
From 9:00 a.m. on 10 January 2024 to 5:00 p.m. on 10 January 2024, an anemometer was used to conduct on-site measurements of the outdoor enclosed space (No. 3) at Kaiyuan Temple in Quanzhou. The PHOENICS software was used for simulation, and the inflow wind speed values were obtained from the average hourly wind speed values measured from 9:00 a.m. to 5:00 p.m. (0.3 m/s, 0.2 m/s, 0.2 m/s, 0.2 m/s, 0.4 m/s, 0.3 m/s, 2.0 m/s, 0.4 m/s, 0.2 m/s). Following the completion of nine simulation experiments, the detection points (ABCDEFGHI) were situated in a simulated wind field to determine the average wind speed at each detection point. Subsequently, the simulated data for the outdoor enclosed space (No. 3) of Kaiyuan Temple in Quanzhou were compared to the corresponding measured data for nine time periods. With R2 values surpassing 0.80 for each time period in Figure 10, it is evident that over 80% of the observed wind speed changes can be attributed to the simulated wind speed. The following are the linear regression equations that were derived: y = 0.90x − 0.02, y = 0.66x + 0.02, y = 1.34x − 0.09, y = 1.06x + 0.10, y = 1.1984x − 0.0172, y = 0.94x + 0.13, y = 2.07x + 0.41, y = 1.10x + 0.18, and y = 1.09x + 0.18. All p-values listed in Table 7 for each time period were less than 0.05, indicating significant characteristics of linear regression. The CFD simulation values produced by the PHOENICS software exhibit low prediction errors, demonstrating its suitability for modeling outdoor wind environments and validating the usefulness of CFD data in evaluating the enclosed outdoor spaces of Kaiyuan Temple in Quanzhou.

3.2. Comparative Analysis of the Real Model and the Ideal Model Wind Data

Based on the simulation results of the real model and the ideal model mentioned above, the correlation analysis of winter wind speed between the real model (No. 13) with similar three indices and the original model can be selected. According to Figure 11a, the R2 value is 0.82, indicating that the similarity between the simulated results of the real model and the ideal model is 82.0%. This validates the effectiveness of PHOENICS software in simulating the wind speed values of the real model and the ideal model. The linear regression equation is Y = 0.91X + 0.57. According to Table 8, a p-value less than 0.5 indicates that the linear regression between the real model and the ideal model has significant characteristics. In addition, the residuals follow a normal distribution (Figure 11b), indicating that it is a well-constructed model. Finally, the accuracy of the proposed ideal model was clarified.

3.3. Analysis of Wind Environment in the Realistic Model Scene of the Outdoor Enclosed Space of Kaiyuan Temple in Quanzhou

The PHOENICS software was used to simulate the wind environment for 50 real models of outdoor enclosed spaces. The wind speed statistics table (Table 9) was obtained for each pedestrian at a height of 1.5 m above the ground (Z = 1.5 m). The following results were obtained through data analysis.
(1)
Using the height-to-cross-section ratio index depicted in Figure 12a, a statistical analysis was performed to determine how many of the 50 outdoor enclosed spaces listed in Table 7 contain detection points with uncomfortable wind speeds. The higher the index, the tighter the airtightness of the space becomes. This leads to a trough-like change in wind comfort and an overall decrease in discomfort.
(2)
Using the enclosure rate index illustrated in Figure 12b, a statistical analysis was performed to determine the number of outdoor enclosed spaces, out of 50, that have detection points with uncomfortable wind speeds. With the index increasing, the sense of enclosure will decrease while the wind comfort will exhibit a wave-like change, ultimately leading to decreased discomfort.
(3)
Using the permeability index illustrated in Figure 12c, a statistical analysis was performed to determine the number of outdoor enclosed spaces, out of 50, that have detection points with uncomfortable wind speeds. With the increase in the index, the space will become more transparent; however, the wind comfort will display a trough-like change, ultimately causing increased discomfort.

3.4. The Effect of Outdoor Enclosed Space Facade Layout Index on Wind Environment

CFD simulations were conducted on 15 models of outdoor enclosed spaces at Kaiyuan Temple in Quanzhou using PHOENICS software to further clarify the specific relationship between wind comfort and the three indices. Recorded at a height of 1.5 m from the ground, the wind speed and pressure data for each model were used to derive the subsequent results through data analysis.

3.4.1. The Effect of Height-to-Cross-Section Ratio Index on Wind Environment

In Figure 13, the average winter wind speeds for the five outdoor enclosed spaces are 4.1 m/s, 2.1 m/s, 1.0 m/s, 1.2 m/s, and 1.4 m/s. The original model showed the largest change in wind speed in the outdoor enclosed space, followed by the a5 model and a3 model. The a1 model and a4 model have the smallest change in wind speed in the outdoor enclosed space (a1 model outdoor enclosed space: minimum 3.9 m/s, maximum 4.7 m/s, wind difference 0.8 m/s); the a4 model outdoor enclosed space: minimum 0.6 m/s, maximum 1.4 m/s, wind difference 0.8 m/s). In the outdoor enclosed space of the five models, the proportion of uncomfortable wind speeds is 100%, 77.78%, 11.11%, 0%, and 0%, respectively. The average wind speed at the windward angle of five outdoor enclosed spaces is between 0.4–4.7 m/s, and as the index increases, the average wind speed gradually decreases. It shows that in winter, wind speed comfort in outdoor enclosed spaces increases linearly. The a1 model corresponds to a height-to-cross-section ratio of 0.07, while the original model corresponds to a ratio of 0.17. The a3 model corresponds to a ratio of 0.27, the a4 model to 0.37, and the a5 model to 0.47. The optimal wind speed comfort is seen at a height-to-cross-section ratio of 0.37 to 0.47. If the ratio falls below 0.37, the wind-blocking effect of the outdoor enclosed space weakens, leading to slightly higher spatial wind speeds. Wind speed stability decreases in outdoor enclosed spaces as the index increases, with the most stable conditions observed at ratios of 0.07 and 0.37.
The wind regulation amplitude in winter for outdoor enclosed spaces changes to 33.12%, 65.74%, 83.69%, 80.42%, and 77.16% with height-to-cross-section ratios of 0.07, 0.17, 0.27, 0.37, and 0.47, according to Table 10. The index of 0.27 exhibits the highest wind regulation amplitude, surpassing that of the outdoor enclosed space with an index of 0.07 by 2.53 times.
The simulation results indicate a wind pressure difference of over 5 Pa in winter for the five outdoor enclosed spaces (Figure 14), suggesting that they will encounter strong wind effects. As the index increases, the overall winter wind pressure difference of outdoor enclosed spaces demonstrates a linear upward trend. From Figure 15, it can be seen that the winter cross-sectional wind pressure difference of the five outdoor enclosed spaces, classified by the height-to-section ratio index, is also greater than 5 Pa. As the index increases, the cross-sectional wind pressure difference becomes larger and larger.

3.4.2. The Effect of Enclosure Rate Index on Wind Environment

Figure 16 displays the average winter wind speeds for the five outdoor enclosed spaces, which are 2.1 m/s, 2.1 m/s, 2.7 m/s, 1.9 m/s, and 2.3 m/s. Wind speeds in the outdoor enclosed spaces varied the most for the b3 model, ranging from 0.7 m/s to 3.8 m/s, causing a 3.1 m/s wind variation. Subsequently, the original model, b1 model, b5 model, and b4 model also displayed changes in wind speed. The b4 model had the least fluctuation in wind speed in the outdoor enclosed space. The uncomfortable wind speeds in the outdoor enclosed spaces of the five models at each of the 9 wind speed detection points are as follows: 33.33%, 77.78%, 77.78%, 88.89%, and 66.67%. The average wind speed at the windward angle of five outdoor enclosed spaces is between 0.4–2.8 m/s, and as the index increases, the average wind speed gradually increases. With the rise in the outdoor enclosure rate during winter, a trough-like trend is observed in wind speed comfort, suggesting that the conditions remain the same with only the enclosure rate being altered. When the outdoor enclosure space enclosure rate is at 0.06, the wind speed comfort is satisfactory; however, as the index increases, the stability of the five types of outdoor enclosed spaces decreases until it reaches 0.42, which is the point of maximum stability for wind speed.
The wind regulation amplitude in winter is 65.74%, 65.74%, 55.95%, 69.00%, and 62.48% for outdoor enclosed spaces with enclosure rates of 0.06, 0.18, 0.30, 0.42, and 0.54, respectively, as indicated in Table 11 when the enclosure rate is the only variable being altered. The ideal wind regulation amplitude for outdoor enclosed spaces with an enclosure rate of 0.42 is 1.05 times greater than that of outdoor enclosed spaces with an enclosure rate of 0.06. Outdoor enclosed spaces with an enclosure rate of 0.30 have an inadequate wind regulation amplitude.
The data in Figure 17 indicate that in winter, the wind pressure difference for five outdoor enclosed spaces, grouped by the enclosure rate index, exceeds 5 Pa, which is not favorable for human comfort. With an increase in the index, the outdoor enclosed spaces experience a trough-like change in winter wind pressure difference. As shown in Figure 18, the winter cross-sectional wind pressure difference of the five outdoor enclosed spaces classified by the enclosure rate index is also greater than 5 Pa. As the index increases, the cross-sectional wind pressure difference becomes smaller and smaller.

3.4.3. The Effect of Permeability Index on Wind Environment

The average winter wind speeds for the five outdoor enclosed spaces are 2.1 m/s, 2.1 m/s, 2.5 m/s, 2.6 m/s, and 3.0 m/s, as depicted in the simulation findings (Figure 19). The outdoor enclosed space experienced the largest change in wind speed with the c3 model (3.1 m/s difference), followed by the original, c4, c2, and c5 models. The c5 model had the smallest change in wind speed (1.1 m/s difference). The uncomfortable wind speed proportion in the outdoor enclosed space was 77.78% in the original model, while it was 100% in the c2, c3, and c4 models, and 88.89% in the c5 model. The average wind speed at the windward angle of five outdoor enclosed spaces is between 0.2–2.0 m/s, and as the index increases, the average wind speed gradually increases. It shows that with the same permeability changes, during winter, increasing the permeability of the outdoor enclosed space (from the original model to the c5 model) results in a trough-like trend in wind comfort. The wind comfort is relatively good when the outdoor enclosed space permeability is 0.03. A trough-like change in wind speed stability is observed within the five types of outdoor enclosed spaces as permeability increases. The most stable wind speed is recorded at a permeability of 0.59.
According to Table 12, when only changing permeability, outdoor enclosed spaces with permeability of 0.03, 0.17, 0.31, 0.45, and 0.59 have wind regulation amplitudes of 65.74%, 65.74%, 59.22%, 57.59%, and 51.06%, respectively. Outdoor enclosed spaces with a permeability of 0.03 and 0.17 have the best wind regulation amplitude, while those with a permeability of 0.59 have the worst (0.78 times that of spaces with a permeability of 0.03).
The wind pressure difference in winter for the five outdoor enclosed spaces classified by the permeability index is typically over 5 Pa, which is not favorable for human comfort, as indicated by the simulation results (Figure 20). As outdoor enclosed spaces become more permeable, resulting in smaller wind pressure differences and reducing the likelihood of encountering strong winds. From Figure 21, it can be seen that the winter cross-sectional wind pressure difference of the five outdoor enclosed spaces classified by the permeability index is also greater than 5 Pa. As the permeability index increases, the cross-sectional wind pressure difference becomes smaller and smaller.

4. Discussion

4.1. The Influence of Outdoor Enclosed Space Facade Layout on Wind Comfort

With respect to the height-to-cross-section ratio index, it was observed that a higher ratio leads to a gradual improvement in wind speed comfort (Table 13). There was a trough-shaped shift in wind speed stability, along with a corresponding shift in the amplitude of wind regulation. The index is 0.37, which corresponds to the best wind speed comfort, while a ratio of 0.47 is ideal for wind speed stability. Additionally, a ratio of 0.27 is recommended for wind regulation amplitude. With the increase in the enclosure rate index, there was an observable decrease in wind speed comfort. A trough-like correction in wind speed stability is observed, along with a trough-like fluctuation in wind regulation amplitude. An enclosure rate of 0.06 corresponds to optimal wind speed comfort, whereas an enclosure rate of 0.42 corresponds to wind speed stability and wind regulation amplitude. With the increase in the permeability index, a trough-like trend was seen in wind comfort. There was a trough-like change in wind speed stability, followed by a gradual decrease in wind regulation amplitude. A permeability of 0.03 corresponds to the best wind speed comfort, while a permeability of 0.59 is linked to wind speed stability, and a permeability of 0.03 is associated with wind regulation amplitude. The research results are consistent with the initial hypothesis that selecting an appropriate height-to-cross-sectional ratio, enclosure rate, and permeability index can improve the winter comfort of the outdoor enclosed space of Kaiyuan Temple in Quanzhou.

4.2. The Uniqueness of This Study

There is limited scientific evidence on the wind environment of outdoor enclosed spaces in World Heritage sites in this study. However, similar to the research findings on the wind environment of squares in Quanzhou, it has been demonstrated that a higher enclosure rate index results in a more comfortable spatial wind. The study found that as the height-to-cross-section ratio index increases, wind comfort decreases, which contradicts the results presented here. While the research areas may be similar, variations in location, terrain, and type of research site could account for differences in research results. Prior studies have primarily examined the wind environment in spaces such as villages, squares, and courtyards. In contrast, this study takes a novel approach by investigating the impact of outdoor enclosed spaces in World Heritage sites on wind comfort, representing a key innovation in this field.

4.3. Optimization Strategy for Wind Comfort in an Outdoor Enclosed Space

Based on the quantitative analysis of the impact of the facade layout of the outdoor enclosed space of Kaiyuan Temple in Quanzhou on its wind comfort, this paper summarizes the optimization strategy for the winter wind comfort of the outdoor enclosed space of the Quanzhou World Heritage site.
(1)
In cases where the enclosure rate and permeability index cannot be changed, it can be deduced that increasing the height of the interior facade of the enclosed space is the best approach to enhancing the winter wind comfort of outdoor enclosed spaces. This will ensure that the height-to-cross-section ratio index is within the comfort range of greater than 0.37, achieving the goal of improving the wind comfort of enclosed spaces.
(2)
When the other two indices remain unchanged, reduce the enclosure rate index to strengthen the windproof effect of buildings. This will result in an enclosure rate index of less than 0.06 within the comfortable range. When considering the enclosure rate, attention should be paid to the orientation of the enclosure, and it is important to ensure that it does not affect the functionality of the enclosed space.
(3)
When the other two indices cannot be changed, it may be possible to consider adding landscape walls, plants, etc. to improve the permeability. However, it is important to ensure the integrity of the layout of the outdoor enclosed space as much as possible, especially in cases where the permeability is already high and the wind speed in winter is too high.
In addition, planners or architects, while respecting the heritage style, balance wind resistance and comfort through micro interventions. For example, when renovating traditional building complexes or constructing enclosed spaces, they ensure that the height-to-cross-section ratio is greater than or equal to 0.37 (such as by increasing the facade height or narrowing the space width) to enhance winter wind resistance while avoiding excessive enclosure and inadequate ventilation. If it is necessary to reduce the enclosure rate (such as to less than 0.06), it is recommended to add windproof components (such as hollow landscape walls or corridors) or adjust the opening orientation (to avoid the dominant winter wind direction). However, functional requirements (such as corridor permeability and pedestrian flow paths) should be taken into account. For spaces with high permeability, windproof vegetation (such as evergreen trees) or movable screens can be selectively implanted to reduce wind speed while preserving spatial integrity. Avoid complete enclosure to maintain natural lighting and summer ventilation potential. By combining CFD simulation with winter field wind environment monitoring, the design can be optimized for specific nodes (such as courtyards and entrances) to ensure the feasibility and adaptability of the strategy.

5. Conclusions

Establishing 50 real models of outdoor enclosed spaces, this study centers on the outdoor enclosed space of Kaiyuan Temple in Quanzhou. Construct formulas for the three indices of outdoor enclosed spaces, and clarify the impact of their three indices on the wind environment of outdoor enclosed spaces. Fifty outdoor enclosed spaces in Kaiyuan Temple, Quanzhou were analyzed for their corresponding index values. Wind comfort simulation experiments on the key factors in the layout of these spaces were conducted using a summary of fifteen typical models. The analysis of winter wind speed and pressure values in this study was conducted using CFD simulation. The trends in wind environment change of these three indices are being compared and contrasted. The research conclusion is as follows: Selecting the appropriate index can improve the wind comfort of outdoor enclosed spaces. When the height-to-cross-section ratio of the outdoor enclosed space is 0.37 or 0.47, the enclosure rate is 0.06, and the permeability is 0.03, it can provide the best wind comfort for the space. The findings validate the advantage of the outdoor enclosed space facade layout index in optimizing spatial wind comfort, underscoring the ecological design present in the outdoor enclosed space of the Maritime Silk Road World Heritage site. This serves as a scientific reference for enhancing the wind comfort of outdoor enclosed spaces in other Maritime Silk Road World Heritage sites.
Although the above research has gained some insights, it still faces several limitations. Firstly, the limited sample size of the survey on the outdoor enclosed space of Kaiyuan Temple in Quanzhou makes it difficult to fully reflect its overall characteristics, which may lead to certain deviations in the index statistical values. Thus, the conclusion may only be applicable to specific areas and difficult to generalize to other similar traditional building outdoor enclosed spaces. By increasing the sample size, the spatial coverage, and the temporal continuity of the data, the credibility of the conclusions can be improved. Secondly, the simplification of the index model may introduce differences in CFD simulation data, resulting in deviations between simulation results and actual microclimates. Adopting more refined models will help improve the accuracy of research conclusions. Lastly, this study solely carried out simulation experiments on a limited number of index models. To ensure their widespread applicability, it is crucial to conduct retesting in outdoor enclosed spaces of other Maritime Silk Road World Heritage sites to confirm their suitability.
For this study, we only examined how three key factors impact the wind comfort of the outdoor enclosed space facade layout at Kaiyuan Temple in Quanzhou. Looking ahead to the future, we plan to further expand our research scope by comparing and analyzing the impact of three key factors in facade layout on summer wind comfort (according to preliminary research, winter wind conditions are more prominent compared to summer, so the layout design of outdoor enclosed space facades is more important. The impact of facade layout on the summer monsoon comfort of its outdoor enclosed space is currently being studied), as well as more dimensional factors in outdoor enclosed space layout, including but not limited to aspect ratio, area, and enclosure degree, in order to more comprehensively evaluate the impact of these factors on internal wind comfort. Furthermore, our commitment extends to furthering our research endeavors in order to overcome the aforementioned research constraints. Concurrently, through the utilization of these advanced technologies, we will scientifically authenticate the ecological wisdom inherent in the various planning practices developed during the prolonged evolution of the Maritime Silk Road World Heritage site.

Author Contributions

Conceptualization, T.L. and T.H.; methodology, Z.W., H.Y., Y.W. and T.L.; software, T.H., X.Y., J.C. and Z.W.; validation, T.H., J.X., T.L. and H.C.; formal analysis, Z.W., T.H., H.Y. and T.L.; investigation, T.L., H.C., J.X. and J.C.; resources, Z.W.; data curation, T.H., Z.W., T.L. and H.Y.; writing—original draft preparation, T.H., Z.W., Y.W. and T.L.; writing—review and editing, T.L., X.Y. and T.H.; visualization, T.H., J.X. and J.C.; supervision, Z.W., T.H. and T.L.; project administration, Z.W.; funding acquisition, Z.W. All authors have read and agreed to the published version of the manuscript.

Funding

This study received funding from the National Natural Science Foundation of China Youth Science Fund Project [42401236], the General Project for Fujian Province Natural Science Foundation in China [2023J01894], the Ministry of Education through the Humanities and Social Science Research Youth Fund projects [21YJCZH006], and the Fujian Young and Middle-Aged Teacher Education Research projects [JAT210303].

Data Availability Statement

Data are contained within the article.

Conflicts of Interest

No conflicts of interest are declared by the authors.

References

  1. Zhang, T. World Heritage Protection and Tourism Development from the Perspective of Cultural Industry. J. Tour. 2012, 27, 5–6. [Google Scholar]
  2. Wang, Z.; Liu, T. Evaluation of Comfort of Wind Environment in Quanzhou Maritime Silk Road Cultural and Historical Sites. Chin. Gard. 2020, 36, 89–94. [Google Scholar]
  3. Xu, F.; Gao, Z.; Xing, Y.; Wu, Z.; Zhang, J.; Liao, Y.; Hu, Y. The Effect of Village Morphological Variation Caused by Economic Development on Residents’ Health and Rural Ventilation in Tianjin. Buildings 2022, 12, 1393. [Google Scholar] [CrossRef]
  4. Shen, X.; Wang, Y.; Xu, J.; Huang, T. A Study on Whether a ‘Maze’-like Layout Contributes to the Improvement of Wind Environments in Traditional Coastal Villages—A Validation Study Based on Numerical Simulation. Buildings 2024, 14, 2805. [Google Scholar] [CrossRef]
  5. Zang, H.; Hsieh, C.M.; Cang, Y.; Gu, M. Microclimate adaptability analysis of waterfront traditional villages: A case study of Mingyuewan Village in Suzhou. J. Water Clim. Change 2023, 14, 3329–3344. [Google Scholar] [CrossRef]
  6. Wang, Y.; Lu, T.; Jiang, S.; Zhu, H. Measurement and simulation analysis of spatial wind environment at the entrance of traditional villages in eastern Jiangxi Province: A case study of Jinxi County. J. Guilin Univ. Technol. 2021, 41, 111–122. [Google Scholar]
  7. Zhao, Z.; Zhang, S.; Peng, Y. Ecological Wisdom in Architectural Heritage: Taking the Wind Environment of the Bailudong Academy Complex as an Example. South. Archit. 2023, 12, 49–57. [Google Scholar]
  8. Guo, P.; Ding, C.; Guo, Z.; Liu, T.; Lyu, T. Coupling CFD Simulation and Field Experiments in Summer to Prove Feng Shui Optimizes Courtyard Wind Environments: A Case Study of Prince Kung’s Mansion in Beijing. Buildings 2022, 12, 629. [Google Scholar] [CrossRef]
  9. Yang, L.; Liu, X.; Qian, F.; Niu, S. Research on the wind environment and air quality of parallel courtyards in a university campus. Sustain. Cities Soc. 2020, 56, 102019. [Google Scholar] [CrossRef]
  10. Ying, X.; Han, X.; Huangfu, F.; Liang, X.; Qin, X.; Gao, J. Exhibition building layout under dual objectives of courtyard size and wind environment. J. Harbin Inst. Technol. 2022, 54, 1–10. [Google Scholar]
  11. Li, T.; Cao, P. Countermeasures for improving outdoor wind environment in residential areas in Lanzhou based on CFD simulation. Sci. Ind. 2024, 24, 264–269. [Google Scholar]
  12. Wang, Y.; Wang, Y. Research on the Layout Design of Teaching Clusters in Lingnan Universities Based on Wind Environment Optimization. Build. Energy Effic. 2024, 52, 151–160. [Google Scholar]
  13. Wang, Z.; Wang, M.; Huang, T.; Wang, Y.; Zeng, Y.; Vishnupriya, V.; Chen, J.; Shen, X. Evaluation of the influence of traditional village square layout factors on wind comfort. Build. Environ. 2025, 267, 112160. [Google Scholar] [CrossRef]
  14. Huang, W. Optimization of Shenyang Citizen Square Form Based on Wind Environment Comfort. Master’s Thesis, Shenyang Jianzhu University, Shenyang, China, 2016. [Google Scholar]
  15. Chen, J.; Zeng, J.; Huang, T.; Wang, Y.; Yang, H.; Yu, X.; Wang, Z. Impacts of Plant Configuration on the Outdoor Wind Comfort of Subtropical Coastal Campuses: Evidence from a Study of Quanzhou. Forests 2025, 16, 461. [Google Scholar] [CrossRef]
  16. Peng, L.; Yin, H. Study on the Impact of Plant Community Characteristics on the Health of Wind Environment in Residential Areas: A Case Study of Multi story Residential Areas in Beijing. Chin. Landsc. Archit. 2024, 40, 119–125. [Google Scholar]
  17. Han, Y.; Chen, Z.; Zhang, G. The Impact of Plant Planting Patterns on the Outdoor Wind Environment of University Sports Centers. Mod. Hortic. 2024, 47, 49–51. [Google Scholar]
  18. Zhou, Z.; Deng, J.; Wang, P.; Zhou, C.; Xu, Y.; Jiang, W.; Ma, K. Physical Environment Study of Traditional Village Patterns in Jinxi County, Jiangxi Province Based on CFD Simulation. Processes 2022, 10, 2453. [Google Scholar] [CrossRef]
  19. Zhang, J.; Yao, S.; Lv, H. Research on the Characteristics of Wind Environment in Traditional Streets and Alleys of Daokou Town. J. Xi’an Univ. Archit. Technol. (Nat. Sci. Ed.) 2023, 55, 432–441. [Google Scholar]
  20. Li, X.; Wang, J.; Eftekhari, M.; Qi, Q.; Jiang, D.; Song, Y.; Tian, P. Improvement Strategies Study for Outdoor Wind Environment in a University in Beijing Based on CFD Simulation. Adv. Civ. Eng. 2020, 14, 8850254. [Google Scholar] [CrossRef]
  21. Yang, J.; Li, R.; Ma, C.; Guo, S.; Gong, Y. Study on the Impact of Tree Parameters and Planting Forms on Wind Environment in Kunming City. J. Southwest For. Univ. (Nat. Sci.) 2025, 1–12. Available online: https://bfffgc1d129f57bb244a4hoqnoqbw6u9cp65fkfgfy.eds.tju.edu.cn/kcms/detail/53.1218.S.20241021.1616.002.html (accessed on 21 March 2025).
  22. Zhang, L.; Zhan, Q.; Lan, Y. Effects of the tree distribution and species on outdoor environment conditions in a hot summer and cold winter zone: A case study in Wuhan residential quarters. Build. Environ. 2018, 130, 27–39. [Google Scholar] [CrossRef]
  23. He, S.; Yin, D. Research on the Indoor Wind Environment of University Buildings in Hengyang during Summer. Urban Archit. 2024, 21, 155–157+178. [Google Scholar]
  24. Zhu, J.; Luo, X.; Zhai, Y.; Zhang, G.; Zhou, C.; Chen, Z. Study on the Impact of Tree Species on the Wind Environment in Tree Arrays Based on Fluid–Structure Interaction: A Case Study of Hangzhou Urban Area. Buildings 2024, 14, 1409. [Google Scholar] [CrossRef]
  25. Zhao, Y.; Chen, Y.; Li, K. A simulation study on the effects of tree height variations on the façade temperature of enclosed courtyard in North China. Build. Environ. 2022, 207, 108566. [Google Scholar] [CrossRef]
  26. Wang, Z.; Huang, T.; Wang, Y.; Dai, S.; Zeng, Y.; Chen, J.; Tang, F. Evaluation of the Impact of Courtyard Layout on Wind Effects on Coastal Traditional Settlements. Land 2024, 13, 1813. [Google Scholar] [CrossRef]
  27. Xiong, Y.; Zhang, J.; Yan, Y.; Sun, S.; Xu, X.; Higueras, E. Effect of the spatial form of Jiangnan traditional villages on microclimate and human comfort. Sustain. Cities Soc. 2022, 87, 104136. [Google Scholar] [CrossRef]
  28. Xu, F.; Gao, Z.; Zhang, J.; Hu, Y.; Ding, W. Influence of typical street-side public building morphologies on the ventilation performance of streets and squares. Build. Environ. 2022, 221, 109331. [Google Scholar] [CrossRef]
  29. Du, Y. Research on Wind Environment of Courtyards under Different Enclosures. Master’s Thesis, Guangzhou University, Guangzhou, China, 2019. [Google Scholar]
  30. GB/T 50378-2019; Green Building Evaluation Standard. China Construction Industry Press: Beijing, China, 2019; pp. 126–127.
  31. Chen, L. Integrated Impacts of Building Height and Upstream Building on Pedestrian Comfort around Ideal Lift-up Buildings in a week Wind Environment. Build. Environ. 2021, 200, 107963. [Google Scholar] [CrossRef]
  32. Du, Y.; Mak, C.M.; Liu, J.; Xia, Q.; Niu, J.; Kwok, K. Effects of Lift-up Design on Pedestrian Level Wind Comfort in Different Building Configurations under Three Wind Direc-tions. Build. Environ. 2017, 117, 84–99. [Google Scholar] [CrossRef]
  33. Ghasemi, Z.; Esfahani, M.A.; Bisadi, M. Promotion of Urban Environment by Consideration of Human Thermal & Wind Comfort: A Literature Review. Procedia-Soc. Behav. Sci. 2015, 201, 397–408. [Google Scholar] [CrossRef]
  34. Murakami, S.; Morikawa, Y. Criteria for assessing wind-induced discomfort considering temperature effect. J. Arch. Plan. Environ. Eng. 1985, 358, 9–17. [Google Scholar] [CrossRef]
  35. Li, L.; Li, X.; Lin, B.; Zhu, Y. Simulating tree crown flow using a two equation turbulence model with source term k − ε. J. Tsinghua Univ. (Nat. Sci. Ed.) 2006, 6, 753–756. [Google Scholar]
  36. Lu, M.; Song, D.; Shi, D.; Liu, J.; Wang, L. Effect of High-Rise Residential Building Layout on the Spatial Vertical Wind Environment in Harbin, China. Buildings 2022, 12, 705. [Google Scholar] [CrossRef]
  37. Xuan, W. Research on Reducing Carbon Consumption in Residential Community Spaces as Influenced by Microclimate Environments. J. Urban Plan. Dev. 2021, 9, 147. [Google Scholar]
  38. Li, J.; Liu, J.; Srebric, J.; Hu, Y.; Liu, M.; Su, L.; Wang, S. The Effect of Tree-Planting Patterns on the Microclimate within a Courtyard. Sustainability 2019, 11, 1665. [Google Scholar] [CrossRef]
  39. Xu, X.; Luo, F.; Wang, W.; Hong, T.; Fu, X. Performance-Based Evaluation of Courtyard Design in China’s Cold-Winter Hot-Summer Climate Regions. Sustainability 2018, 10, 3950. [Google Scholar] [CrossRef]
  40. Chu, C.-R.; Su, Z.-Y. Natural Ventilation Design for Underground Parking Garages. Build. Environ. 2023, 227, 109784. [Google Scholar] [CrossRef]
  41. Xue, F.; Li, X. The impact of roadside trees on traffic released PM 10 in urban street canyon: Aerodynamic and deposition effects. Sustain. Cities Soc. 2017, 30, 195–204. [Google Scholar] [CrossRef]
  42. Meng, F.; He, B.; Zhu, J.; Zhao, D.; Amos, D.; Zhao, Z. Sensitivity analysis of wind pressure coefficients on CAARC standard tall buildings in CFD simulations. J. Build. Eng. 2018, 16, 146–158. [Google Scholar] [CrossRef]
  43. Knoerzer, K.; Chapman, B. Effect of material properties and processing conditions on the prediction accuracy of a CFD model for simulating high pressure thermal (HPT) processing. J. Food Eng. 2011, 104, 404–413. [Google Scholar] [CrossRef]
  44. Hu, Z.; Mahadevan, S. Uncertainty quantification in prediction of material properties during additive manufacturing. Scr. Mater. 2017, 135, 135–140. [Google Scholar] [CrossRef]
  45. Lader, P.; Fredheim, A. Dynamic properties of a flexible net sheet in waves and current—A numerical approach. Aquac. Eng. 2006, 35, 228–238. [Google Scholar] [CrossRef]
  46. Martin, T.; Tsarau, A.; Bihs, H. A numerical framework for modelling the dynamics of open ocean aquaculture structures in viscous fluids. Appl. Ocean Res. 2021, 106, 102410. [Google Scholar] [CrossRef]
  47. Gaikwad, A. Reliability estimation and lifecycle assessment of electronics in extreme conditions. Int. Res. J. Mod. Eng. Technol. Sci. 2024, 6, 5074918. [Google Scholar] [CrossRef]
  48. Juan, Y.-H.; Rezaeiha, A.; Montazeri, H.; Blocken, B.; Wen, C.-Y.; Yang, A.-S. CFD assessment of wind energy potential for generic high-rise buildings in close proximity: Impact of building arrangement and height. Appl. Energy 2022, 321, 119328. [Google Scholar] [CrossRef]
  49. GB50736-2012; Code for Design of Heating, Ventilation and Air Conditioning in Civil Buildings. China Construction Industry Press: Beijing, China, 2012; pp. 47–50.
Figure 1. (a) location of the study site; (b) M350RTK drone aerial survey map of Kaiyuan Temple in Quanzhou.
Figure 1. (a) location of the study site; (b) M350RTK drone aerial survey map of Kaiyuan Temple in Quanzhou.
Buildings 15 01451 g001
Figure 2. Distribution map of 50 outdoor enclosed spaces in Kaiyuan Temple, Quanzhou.
Figure 2. Distribution map of 50 outdoor enclosed spaces in Kaiyuan Temple, Quanzhou.
Buildings 15 01451 g002
Figure 3. Indices of outdoor enclosed space facade layout: (a) height-to-cross-section ratio index; (b) enclosure rate index; (c) permeability index.
Figure 3. Indices of outdoor enclosed space facade layout: (a) height-to-cross-section ratio index; (b) enclosure rate index; (c) permeability index.
Buildings 15 01451 g003
Figure 4. Plan map of 50 outdoor enclosed spaces in Kaiyuan Temple, Quanzhou.
Figure 4. Plan map of 50 outdoor enclosed spaces in Kaiyuan Temple, Quanzhou.
Buildings 15 01451 g004
Figure 5. Research ideas.
Figure 5. Research ideas.
Buildings 15 01451 g005
Figure 6. (a) Distribution map of wind speed measurement points (A–I are wind environment detection points); (b) 50 outdoor enclosed space models of Kaiyuan Temple in Quanzhou; (c) PHOENICS mesh settings.
Figure 6. (a) Distribution map of wind speed measurement points (A–I are wind environment detection points); (b) 50 outdoor enclosed space models of Kaiyuan Temple in Quanzhou; (c) PHOENICS mesh settings.
Buildings 15 01451 g006
Figure 7. (a) LAI-2200C Plant Canopy Analyzer; (b) on-site measurement; (c) FV2200 V 2.1.1 software data analysis.
Figure 7. (a) LAI-2200C Plant Canopy Analyzer; (b) on-site measurement; (c) FV2200 V 2.1.1 software data analysis.
Buildings 15 01451 g007
Figure 8. (a) Original model plan; (b) Three-dimensional model.
Figure 8. (a) Original model plan; (b) Three-dimensional model.
Buildings 15 01451 g008
Figure 9. Index model map.
Figure 9. Index model map.
Buildings 15 01451 g009
Figure 10. Linear regression plot of measured and CFD-simulated values (ai).
Figure 10. Linear regression plot of measured and CFD-simulated values (ai).
Buildings 15 01451 g010
Figure 11. (a) Linear regression plot of real model and ideal model wind values. (b) Histogram of regression normalized residuals.
Figure 11. (a) Linear regression plot of real model and ideal model wind values. (b) Histogram of regression normalized residuals.
Buildings 15 01451 g011
Figure 12. Contrast the number of spaces with uncomfortable wind speed detection points across 50 outdoor enclosed spaces using the three indices: (a) height-to-cross-section ratio; (b) enclosure rate; and (c) permeability.
Figure 12. Contrast the number of spaces with uncomfortable wind speed detection points across 50 outdoor enclosed spaces using the three indices: (a) height-to-cross-section ratio; (b) enclosure rate; and (c) permeability.
Buildings 15 01451 g012
Figure 13. Winter wind speed (ae) map and wind speed comparison (f) map of height-to-cross-section ratio index. Note: Maximum wind speed, average wind speed, and wind difference among the five outdoor enclosed spaces are highlighted in the red box. The green box indicates the minimum values for these metrics. Wind speeds of less than 0.5 m/s are indicated by the blue box at detection points.
Figure 13. Winter wind speed (ae) map and wind speed comparison (f) map of height-to-cross-section ratio index. Note: Maximum wind speed, average wind speed, and wind difference among the five outdoor enclosed spaces are highlighted in the red box. The green box indicates the minimum values for these metrics. Wind speeds of less than 0.5 m/s are indicated by the blue box at detection points.
Buildings 15 01451 g013
Figure 14. Winter wind pressure (ae) map of height-to-cross-section ratio index (overall wind pressure map of outdoor enclosed space for five ideal models).
Figure 14. Winter wind pressure (ae) map of height-to-cross-section ratio index (overall wind pressure map of outdoor enclosed space for five ideal models).
Buildings 15 01451 g014
Figure 15. Cross-section winter wind pressure (ae) map of height-to-cross-section ratio index (cross-section wind pressure map of outdoor enclosed space for five ideal models).
Figure 15. Cross-section winter wind pressure (ae) map of height-to-cross-section ratio index (cross-section wind pressure map of outdoor enclosed space for five ideal models).
Buildings 15 01451 g015
Figure 16. Winter wind speed (ae) map and wind speed comparison (f) map of enclosure rate Index. Note: Maximum wind speed, average wind speed, and wind difference among the five outdoor enclosed spaces are highlighted in the red box. The green box indicates the minimum values for these metrics. Wind speeds of less than 0.5 m/s are indicated by the blue box at detection points.
Figure 16. Winter wind speed (ae) map and wind speed comparison (f) map of enclosure rate Index. Note: Maximum wind speed, average wind speed, and wind difference among the five outdoor enclosed spaces are highlighted in the red box. The green box indicates the minimum values for these metrics. Wind speeds of less than 0.5 m/s are indicated by the blue box at detection points.
Buildings 15 01451 g016
Figure 17. Winter wind pressure (ae) map of enclosure rate index (overall wind pressure map of outdoor enclosed space for five ideal models).
Figure 17. Winter wind pressure (ae) map of enclosure rate index (overall wind pressure map of outdoor enclosed space for five ideal models).
Buildings 15 01451 g017
Figure 18. Cross-section winter wind pressure (ae) map of enclosure rate index (cross-section wind pressure map of an outdoor enclosed space for five ideal models).
Figure 18. Cross-section winter wind pressure (ae) map of enclosure rate index (cross-section wind pressure map of an outdoor enclosed space for five ideal models).
Buildings 15 01451 g018
Figure 19. Winter wind speed (ae) map and wind speed comparison (f) map of permeability index. Note: Maximum wind speed, average wind speed, and wind difference among the five outdoor enclosed spaces are highlighted in the red box. The green box indicates the minimum values for these metrics. The blue box indicates detection points with wind speeds less than 0.5 m/s based on the outdoor enclosed spaces.
Figure 19. Winter wind speed (ae) map and wind speed comparison (f) map of permeability index. Note: Maximum wind speed, average wind speed, and wind difference among the five outdoor enclosed spaces are highlighted in the red box. The green box indicates the minimum values for these metrics. The blue box indicates detection points with wind speeds less than 0.5 m/s based on the outdoor enclosed spaces.
Buildings 15 01451 g019
Figure 20. Winter wind pressure (ae) map of permeability index (overall wind pressure map of outdoor enclosed space for five ideal models).
Figure 20. Winter wind pressure (ae) map of permeability index (overall wind pressure map of outdoor enclosed space for five ideal models).
Buildings 15 01451 g020
Figure 21. Cross-section winter wind pressure (ae) map of the permeability index (cross-section wind pressure map of an outdoor enclosed space for five ideal models).
Figure 21. Cross-section winter wind pressure (ae) map of the permeability index (cross-section wind pressure map of an outdoor enclosed space for five ideal models).
Buildings 15 01451 g021
Table 1. Statistical table of the three indices for 50 outdoor enclosed space layouts at Kaiyuan Temple in Quanzhou.
Table 1. Statistical table of the three indices for 50 outdoor enclosed space layouts at Kaiyuan Temple in Quanzhou.
Layout No.Height-to-Cross-Section Ratio Enclosure RatePermeabilityLayout No.Height-to-Cross-Section Ratio Enclosure RatePermeability
10.467 0.229 0.317 260.178 0.281 0.137
20.432 0.339 0.495 270.183 0.517 0.161
30.075 0.129 0.172 280.305 0.749 0.391
40.173 0.201 0.939 290.660 0.000 0.135
50.164 0.218 0.553 300.205 0.664 0.019
60.063 0.498 0.006 310.392 0.650 0.053
70.087 0.191 0.380 320.236 0.332 0.103
80.279 0.093 0.696 330.469 0.000 0.079
90.274 0.090 0.528 340.090 0.228 0.009
100.217 0.104 0.651 350.268 0.369 0.027
110.188 0.226 0.045 360.145 0.400 0.037
120.246 0.469 0.109 370.131 0.157 0.202
130.171 0.138 0.045 380.118 0.252 0.013
140.543 0.350 0.778 390.192 0.409 0.099
150.543 0.350 0.778 400.380 0.449 0.103
160.200 0.200 0.102 410.331 0.371 0.517
170.260 0.208 0.102 420.135 0.000 0.086
180.321 0.107 0.440 430.153 0.261 0.028
190.321 0.107 0.702 440.297 0.288 0.084
200.297 0.263 0.377 450.044 0.051 0.007
210.990 0.359 0.351 460.126 0.113 0.580
220.472 0.364 0.118 470.276 0.152 0.728
230.126 0.113 0.089 480.180 0.117 0.955
240.122 0.353 0.021 490.174 0.132 0.534
250.171 0.071 0.331 500.131 0.137 0.982
Table 2. Typical plant parameters of Kaiyuan Temple in Quanzhou.
Table 2. Typical plant parameters of Kaiyuan Temple in Quanzhou.
Typical PlantsCrown Heigh t (m)Crown Diameter (m)Tree Trunk Height (m)LAI
Carpet grass0.21.00-
Areca palm1.01.001.28
Banyan14.819.46.24.85
Sabina chinensis9.26.62.23.35
Podocarpus macrophyllus6.54.83.51.45
Bodhi tree9.08.33.82.56
Longan tree10.010.05.03.14
Byakuran9.58.14.04.50
Bambusa ventricosa5.25.07.01.28
Camphor tree11.07.95.81.56
Mango tree11.09.65.44.85
Cherry blossom6.25.33.03.35
Mulberry9.28.43.51.45
Magnolia5.05.02.52.56
Banana shrub11.010.04.03.14
Cycad11.010.04.64.50
Osmanthus flower15.016.04.61.28
Averrhoa carambola L9.59.12.01.56
Camellia flower5.24.74.04.85
Poinciana9.59.12.03.35
Syzygium jambos8.57.53.11.45
Jackfruit19.014.85.02.56
Hoop pine14.011.05.73.14
Southern Magnolia6.04.34.64.50
Table 3. Simplified rounding value table for 50 real model scenarios of the outdoor enclosed space of Kaiyuan Temple in Quanzhou.
Table 3. Simplified rounding value table for 50 real model scenarios of the outdoor enclosed space of Kaiyuan Temple in Quanzhou.
Figure No.Dimension (m)Figure No.Dimension (m)Figure No.Dimension (m)
177.0 × 115.9 × 15.61832.5 × 56.9 × 14.33554.0 × 70.6 × 13.7
252.2 × 150.3 × 15.61929.4 × 58.8 × 14.33669.2 × 96.5 × 16.4
388.5 × 149.8 × 21.72039.2 × 71.8 × 18.03735.4 × 35.9 × 16.1
448.6 × 131.0 × 7.72151.7 × 14.9 × 16.53864.7 × 64.7 × 14.0
513.6 × 24.4 × 7.42265.4 × 20.0 × 16.53939.9 × 35.7 × 17.5
638.9 × 37.6 × 50.42351.8 × 70.1 × 17.74039.8 × 37.0 × 11.5
7111.0 × 123.0 × 18.62456.4 × 136.6 × 17.34167.2 × 45.6 × 14.2
844.7 × 122.0 × 9.82585.2 × 127.0 × 21.54221.7 × 26.3 × 13.1
921.6 × 45.6 × 9.82646.2 × 91.1 × 16.74322.6 × 17.3 × 6.1
1028.0 × 49.5 × 9.42772.8 × 66.4 × 15.94426.1 × 19.4 × 8.3
1124.7 × 37.0 × 22.22853.1 × 91.7 × 19.14537.9 × 40.0 × 45.4
1248.3 × 29.5 × 22.22912.5 × 23.1 × 9.846101.0 × 105.0 × 10.4
1374.5 × 81.4 × 15.13055.8 × 83.1 × 14.94723.3 × 47.5 × 8.6
1430.7 × 63.6 × 8.33153.8 × 54.5 × 17.64847.9 × 104.0 × 7.9
1533.9 × 61.6 × 8.33265.1 × 54.2 × 17.64920.4 × 39.1 × 11.0
1644.6 × 65.1 × 9.53311.0 × 48.1 × 10.25048.0 × 108.0 × 11.0
1744.6 × 65.1 × 14.33467.7 × 91.3 × 18.7--
Note: The length, width, and height values for the three-dimensional model of the outdoor enclosed space are provided for the outdoor wind field calculation.
Table 4. Simplified rounding value table for 15 index model scenarios of the outdoor enclosed space of Kaiyuan Temple in Quanzhou.
Table 4. Simplified rounding value table for 15 index model scenarios of the outdoor enclosed space of Kaiyuan Temple in Quanzhou.
Figure No.Dimension (m)Figure No.Dimension (m)Figure No.Dimension (m)
a13.3 × 13.3 × 1.75f13.3 × 13.3 × 2.75k13.3 × 13.3 × 2.75
b13.3 × 13.3 × 2.75g13.3 × 13.3 × 2.75l13.3 × 13.3 × 2.75
c13.3 × 13.3 × 4.00h13.3 × 13.3 × 2.75m13.3 × 13.3 × 2.75
d13.3 × 13.3 × 5.00i13.3 × 13.3 × 2.75n13.3 × 13.3 × 2.75
e13.3 × 13.3 × 6.00j13.3 × 13.3 × 2.75o13.3 × 13.3 × 2.75
Note: The length, width, and height values for the three-dimensional model of the outdoor enclosed space are provided for the outdoor wind field calculation.
Table 5. Comparison of simulation results for different grids.
Table 5. Comparison of simulation results for different grids.
Detection PointsCoarse Meshes (Simulation Results m/s)Fine Meshes (Simulation Results m/s)Finest Meshes (Simulation Results m/s)
A4.24.13.9
B2.72.72.7
C2.11.91.7
D2.42.22.2
E0.80.80.9
F2.92.92.7
G1.91.91.9
H3.73.43.2
I1.91.81.6
Table 6. Table of boundary condition (BC) settings.
Table 6. Table of boundary condition (BC) settings.
Calculation Domain SizeComputational DomainEnter Wind SpeedEnter Wind DirectionInflow Boundary ConditionGround Roughness Parameter α
5W × 5L × 3Hthe central area and the edge area6.13 m/snortheast direction2000 (iteration number)0.2
Table 7. Statistical analysis of winter measured and simulated average wind speed in the outdoor enclosed space of Kaiyuan Temple No. 3 in Quanzhou a.
Table 7. Statistical analysis of winter measured and simulated average wind speed in the outdoor enclosed space of Kaiyuan Temple No. 3 in Quanzhou a.
ModelSum of SquaresdfMean Squared ErrorFractional BiasFSig.
09:00Regression0.4610.460.18 41.60 0.00 b
10:000.8210.820.30 28.36 0.01 b
11:000.3010.300.05 28.69 0.01 b
12:000.1510.15−0.40 37.30 0.00 b
13:001.2111.21−0.14 31.38 0.01 b
14:000.1310.13−0.32 32.50 0.01 b
15:000.3310.33−1.18 30.26 0.01 b
16:000.2810.28−0.44 36.11 0.01 b
17:000.2610.26−0.72 31.00 0.01 b
a Dependent Variable: Measured wind speed; b Predictors. (Constant), Simulated wind speed.
Table 8. ANOVA a.
Table 8. ANOVA a.
ModelSum of SquaresdfMean SquaredFractional BiasFSig.
1Regression9.6319.63−0.1732.190.01 b
Residual2.0970.30
Total1.728
a Dependent Variable: Real model simulated wind speed. b Predictors (constant): Ideal model simulated wind speed.
Table 9. Statistical values of winter wind speed in 50 outdoor enclosed spaces at Kaiyuan Temple, Quanzhou.
Table 9. Statistical values of winter wind speed in 50 outdoor enclosed spaces at Kaiyuan Temple, Quanzhou.
Layout No.Height-to-Cross-Section RatioEnclosure RatePermeabilityDetection Points of Wind Speed (m/s)D-Value
ABCDEFGHI
10.467 0.229 0.317 0.91.83.31.01.81.42.62.61.42.3
20.432 0.339 0.495 3.56.44.54.54.44.04.01.84.44.6
30.075 0.129 0.172 3.92.71.72.20.92.71.93.21.63.0
40.173 0.201 0.939 2.62.62.52.62.63.01.72.92.01.3
50.164 0.218 0.553 2.73.42.74.04.03.64.52.74.01.8
60.063 0.498 0.006 7.46.94.31.44.37.44.53.76.76.0
70.087 0.191 0.380 3.82.12.04.75.02.72.02.62.53.0
80.279 0.093 0.696 6.06.06.50.80.90.96.56.06.55.7
90.274 0.090 0.528 4.84.85.75.45.45.41.02.51.04.7
100.217 0.104 0.651 4.02.20.70.91.61.60.82.80.83.3
110.188 0.226 0.045 0.90.91.41.31.31.31.60.91.60.7
120.246 0.469 0.109 2.01.81.51.21.71.40.21.90.51.8
130.171 0.138 0.045 2.61.20.61.01.12.84.42.72.03.8
140.543 0.350 0.778 0.20.10.12.82.14.21.01.00.24.0
150.543 0.350 0.778 1.51.01.01.41.51.31.31.51.50.5
160.200 0.200 0.102 1.51.30.90.30.40.30.91.50.71.3
170.260 0.208 0.102 1.71.71.61.61.72.32.30.91.71.4
180.321 0.107 0.440 3.23.22.82.52.51.12.83.52.82.3
190.321 0.107 0.702 2.02.04.12.22.42.42.42.03.12.1
200.297 0.263 0.377 0.21.31.31.61.42.22.22.21.42.0
210.990 0.359 0.351 1.91.90.72.12.12.10.71.91.11.4
220.472 0.364 0.118 1.11.11.32.22.22.31.11.01.11.3
230.126 0.113 0.089 4.90.52.00.71.41.24.46.71.76.2
240.122 0.353 0.021 1.74.52.33.22.64.54.40.93.03.6
250.171 0.071 0.331 3.71.91.80.62.00.30.31.82.03.4
260.178 0.281 0.137 4.80.61.41.93.54.72.23.51.84.2
270.183 0.517 0.161 4.62.35.53.74.31.85.15.45.03.7
280.305 0.749 0.391 1.21.20.71.20.60.41.10.40.60.8
290.660 0.000 0.135 0.90.71.71.71.10.90.91.01.10.9
300.205 0.664 0.019 1.31.32.13.31.61.61.81.82.12.0
310.392 0.650 0.053 4.91.81.81.40.66.16.15.70.65.5
320.236 0.332 0.103 1.21.61.20.92.34.50.71.61.33.9
330.469 0.000 0.079 0.00.00.00.00.00.00.00.00.00.0
340.090 0.228 0.009 2.52.51.21.31.01.62.71.52.61.7
350.268 0.369 0.027 0.42.42.54.01.60.40.40.40.33.8
360.145 0.400 0.037 3.01.72.51.81.51.71.95.41.93.9
370.131 0.157 0.202 1.40.91.31.53.46.45.85.61.95.5
380.118 0.252 0.013 0.70.61.02.34.32.10.91.71.73.7
390.192 0.409 0.099 2.52.13.42.34.63.63.33.74.92.9
400.380 0.449 0.103 6.06.05.41.21.21.93.16.63.15.4
410.331 0.371 0.517 3.93.43.43.44.44.04.65.34.41.9
420.135 0.000 0.086 0.00.00.00.00.00.00.00.00.00.0
430.153 0.261 0.028 4.83.95.04.54.85.34.74.94.81.4
440.297 0.288 0.084 4.13.83.43.23.65.75.05.74.02.5
450.044 0.051 0.007 6.26.64.21.95.46.13.82.33.94.7
460.126 0.113 0.580 1.13.94.04.04.04.04.03.94.02.9
470.276 0.152 0.728 6.46.45.73.63.64.45.45.95.42.9
480.180 0.117 0.955 5.55.52.90.80.80.82.95.52.94.7
490.174 0.132 0.534 2.42.40.01.41.42.40.05.80.05.8
500.131 0.137 0.982 3.43.43.45.55.55.55.60.00.05.6
Note: The highest wind speed and difference are indicated in red, while the lowest is shown in green. Points with speeds under 0.5 m/s are shown in blue, while areas with wind speed detection points that are uncomfortable are depicted with a light grey background.
Table 10. Statistical table of winter wind regulation amplitude for height-to-cross-section ratio index.
Table 10. Statistical table of winter wind regulation amplitude for height-to-cross-section ratio index.
Figure No.Height-to-Cross-Section Ratio Index Input Wind SpeedAverage Wind SpeedWind Regulation AmplitudeWind Regulation Rate
a0.076.134.133.12%1.00
b0.176.132.165.74%1.99
c0.276.131.083.69%2.53
d0.376.131.280.42%2.43
e0.476.131.477.16%2.33
Note: Among the five outdoor enclosed spaces, red indicates the highest wind regulation rate, while green indicates the lowest wind regulation rate.
Table 11. Statistical table of winter wind regulation amplitude for enclosure rate index.
Table 11. Statistical table of winter wind regulation amplitude for enclosure rate index.
Figure No.Permeability Index Input Wind SpeedAverage Wind SpeedWind Regulation AmplitudeWind Regulation Rate
a0.066.132.165.74%1.00
b0.186.132.165.74%1.00
c0.306.132.755.95%0.85
d0.426.131.969.00%1.05
e0.546.132.362.48%0.95
Note: Among the five outdoor enclosed spaces, red indicates the highest wind regulation rate, while green indicates the lowest wind regulation rate.
Table 12. Statistical table of winter wind regulation amplitude for permeability index.
Table 12. Statistical table of winter wind regulation amplitude for permeability index.
Figure No.Permeability Index Input Wind SpeedAverage Wind SpeedWind Regulation AmplitudeWind Regulation Rate
a0.036.132.165.74%1.00
b0.176.132.165.74%1.00
c0.316.132.559.22%0.90
d0.456.132.657.59%0.88
e0.596.133.051.06%0.78
Note: Among the five outdoor enclosed spaces, red indicates the highest wind regulation rate, while green indicates the lowest wind regulation rate.
Table 13. Table of overall trend changes in wind speed comfort, wind speed stability, and wind regulation amplitude of three indices: height-to-cross-section ratio, enclosure rate, and permeability.
Table 13. Table of overall trend changes in wind speed comfort, wind speed stability, and wind regulation amplitude of three indices: height-to-cross-section ratio, enclosure rate, and permeability.
wind speed comfort0.070.170.270.370.47
wind speed stability0.070.170.270.370.47
wind regulation amplitude0.070.170.270.370.47
(1) trend change map of height-to-cross-section ratio index
wind speed comfort0.060.180.300.420.54
wind speed stability0.060.180.300.420.54
wind regulation amplitude0.060.180.300.420.54
(2) trend change map of enclosure rate index
wind speed comfort0.030.170.310.450.59
wind speed stability0.030.170.310.450.59
wind regulation amplitude0.030.170.310.450.59
(3) trend change map of permeability index
high
low
Disclaimer/Publisher’s Note: The statements, opinions and data contained in all publications are solely those of the individual author(s) and contributor(s) and not of MDPI and/or the editor(s). MDPI and/or the editor(s) disclaim responsibility for any injury to people or property resulting from any ideas, methods, instructions or products referred to in the content.

Share and Cite

MDPI and ACS Style

Liu, T.; Huang, T.; Yang, H.; Wang, Y.; Wang, Z.; Chi, H.; Yu, X.; Xu, J.; Chen, J. Evaluation of the Influence of Outdoor Enclosed Space Facade Layout on Wind Comfort at the World Heritage Site. Buildings 2025, 15, 1451. https://doi.org/10.3390/buildings15091451

AMA Style

Liu T, Huang T, Yang H, Wang Y, Wang Z, Chi H, Yu X, Xu J, Chen J. Evaluation of the Influence of Outdoor Enclosed Space Facade Layout on Wind Comfort at the World Heritage Site. Buildings. 2025; 15(9):1451. https://doi.org/10.3390/buildings15091451

Chicago/Turabian Style

Liu, Tingfeng, Tiantian Huang, Haosen Yang, Yaolong Wang, Zefa Wang, Haoran Chi, Xiaofang Yu, Jiarui Xu, and Jing Chen. 2025. "Evaluation of the Influence of Outdoor Enclosed Space Facade Layout on Wind Comfort at the World Heritage Site" Buildings 15, no. 9: 1451. https://doi.org/10.3390/buildings15091451

APA Style

Liu, T., Huang, T., Yang, H., Wang, Y., Wang, Z., Chi, H., Yu, X., Xu, J., & Chen, J. (2025). Evaluation of the Influence of Outdoor Enclosed Space Facade Layout on Wind Comfort at the World Heritage Site. Buildings, 15(9), 1451. https://doi.org/10.3390/buildings15091451

Note that from the first issue of 2016, this journal uses article numbers instead of page numbers. See further details here.

Article Metrics

Back to TopTop