Seismic Performance Analysis of Middle Column Joints with T-Stub Steel Connections Considering Cumulative Damage
Abstract
1. Introduction
2. Test Overview
2.1. Specimen Design
2.2. Mechanical Properties of Material
2.3. Test Device
2.4. Measurement Arrangement
2.5. Loading Method
3. Test Results
3.1. Damage Progression
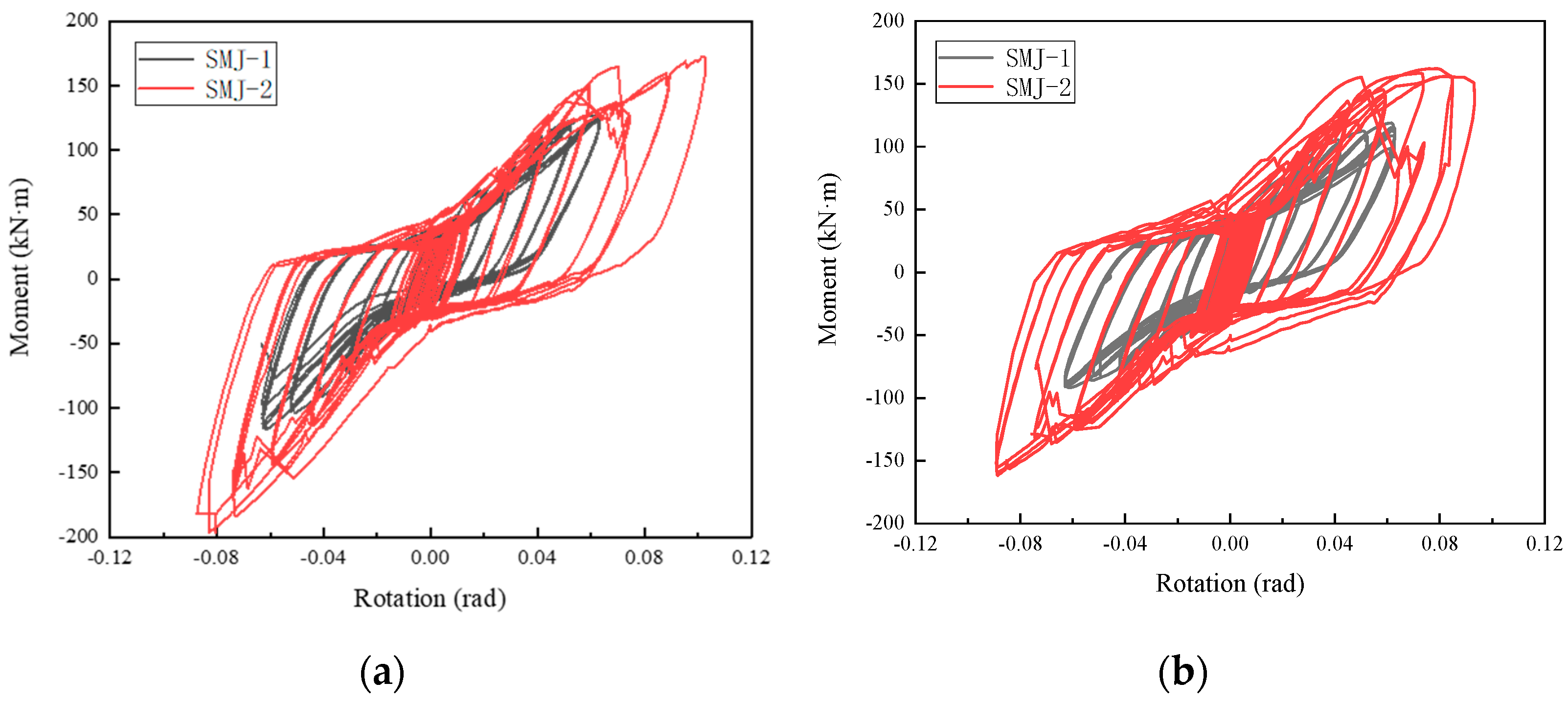
3.2. Moment–Rotation Curve
3.3. Cumulative Energy Dissipation
3.4. Equivalent Viscous Damping Coefficient
3.5. Rotational Stiffness
4. Cumulative Damage
4.1. Damage Index
4.2. Establishment of Rotational Stiffness Model Considering Damage Index
4.2.1. Polynomial Model
4.2.2. Exponential Model
4.3. Experimental Verification
5. Conclusions
- For the same size of the beam and column, the damage region of the beam–column joint was shifted from the root of the T-stub steel flange to the vicinity of the bolt hole of the column wall as the thickness of the T-stub steel increased.
- The load–displacement curve was pinched. As the thickness of the joint increased, the ultimate load capacity and ultimate displacement of SMJ-2 were significantly higher than those of SMJ-1. The energy consumption of SMJ-2 was significantly higher than that of SMJ-1. However, the energy consumption of SMJ-1, which had a thinner T-stub steel, was higher in the early stage than in the later stage, while the energy consumption of the thicker SMJ-2 was improved in the later stage.
- At the beginning of the test, the rotational stiffness of the specimens with different thicknesses of T-stub steel was not much different. At the plastic stage, the rotational stiffness and stiffness degradation coefficient of SMJ-2, which had a thicker T-stub steel, were higher than those of SMJ-1. Increasing the thickness of the T-stub steel helped to reduce the rate of stiffness degradation.
- The damage index value increased significantly with the increase in the loading level, and the increase was not large at the same loading level, indicating that it was reasonable to consider the plastic deformation and the cumulative hysteretic energy at the same time. The increase in the thickness of the T-stub steel would aggravate the damage of the joints in the later stage of the plastic stage, but the increase in the damage index was not significant.
- Two types of rotational stiffness models considering damage index were proposed: a polynomial function model and an exponential function model, respectively. They reflect the rotational stiffness of such blind-bolted joints at different stages of damage development. Rotational stiffness was calculated by the damage index value and the initial rotational stiffness instead of the bending moment capacity and rotation of each level load. Both models could be used to evaluate rotational stiffness. Compared to the polynomial model, the exponential model was more advantageous in evaluating the rotational stiffness of the T-stub steel joints with smaller thickness.
- It is suggested that the thickness of the T-stub steel flange of the joint is greater than the thickness of the column wall, in order to avoid the fracture of the connector. When evaluating the rotational stiffness degradation of the joints, the rotational stiffness model considering the damage index is recommended. For evaluating the stiffness over the whole process of the joints with small T-stub steel thickness, the exponential model is preferred. The polynomial model is a good choice for evaluating the stiffness of the thicker joints of T-shaped steel in the later stage of plasticity.
Author Contributions
Funding
Data Availability Statement
Conflicts of Interest
References
- Luo, L.; Qin, J.; Zhao, D.; Wu, Z. Seismic Behavior of Extended End-Plate Connections Subjected to Cyclic Loading on the Top-Side of the Column. Materials 2020, 13, 3724. [Google Scholar] [CrossRef] [PubMed]
- Luo, L.; Du, M.; Yuan, J.; Shi, J.; Yu, S.; Zhang, Y. Parametric Analysis and Stiffness Investigation of Extended End-Plate Connection. Materials 2020, 13, 5133. [Google Scholar] [CrossRef] [PubMed]
- Wang, X.W. Research on Beam-to-Column Connections of Steel Frame. Ph.D. Thesis, Wuhan University of Technology, Wuhan, China, 2003. [Google Scholar]
- BU, X.; Gu, Q.; Wang, X.W. Experimental Study on the Seismic Performance of Three-Dimensional Beam to Middle Column Connection with T-Stub. Eng. Mech. 2017, 34, 105–116. [Google Scholar]
- Wang, Z.Y.; Tizani, W.; Wang, Q.Y. Strength and initial stiffness of a blind-bolt connection based on the T-stub model. Eng. Struct. 2010, 32, 2505–2517. [Google Scholar] [CrossRef]
- Amin, M.N.; Zaheer, S.; Alazba, A.A.; Saleem, M.U.; Niazi, M.U.K.; Khurram, N.; Amin, M.T. A Component-Based Study of the Effect of Diameter on Bond and Anchorage Characteristics of Blind-Bolted Connections. PLoS ONE 2016, 11, e0149490. [Google Scholar] [CrossRef]
- Tizani, W.; Abd Rahman, N.; Pitrakkos, T. Fatigue life of an anchored blind-bolt loaded in tension. J. Constr. Steel Res. 2014, 93, 1–8. [Google Scholar] [CrossRef]
- Zhu, X.; Wang, P.; Liu, M.; Tuoya, W.; Hu, S. Behaviors of one-side bolted T-stub through thread holes under tension strengthened with backing plate. J. Constr. Steel Res. 2017, 134, 53–65. [Google Scholar] [CrossRef]
- Wulan, T.; Ma, Q.; Liu, Z.; Liu, M.; Song, J.; Cai, J.; Wang, P. Experimental study on T-stubs connected by thread-fixed one-side bolts under cyclic load. J. Constr. Steel Res. 2020, 169, 106050. [Google Scholar] [CrossRef]
- Zhang, Y.; Wang, P.; Liu, M.; Liu, Y.; Zhang, B.; Zhou, S.; Chen, J. Numerical studies on yield line patterns of thread-fixed one-side bolted endplate connection to square hollow section column under tension. J. Constr. Steel Res. 2020, 173, 106262. [Google Scholar] [CrossRef]
- Zhang, Y.; Liu, M.; Ma, Q.; Liu, Z.; Wang, P.; Ma, C.; Sun, L. Yield line patterns of T-stubs connected by thread-fixed one-side bolts under tension. J. Constr. Steel Res. 2020, 166, 105932. [Google Scholar] [CrossRef]
- Wulan, T.; Wang, P.; Li, Y.; You, Y.; Tang, F. Numerical investigation on strength and failure modes of thread-fixed one-side bolted T-stubs under tension. Eng. Struct. 2018, 169, 15–36. [Google Scholar] [CrossRef]
- Liu, M.; Zhu, X.; Wang, P.; Tuoya, W.; Hu, S. Tension strength and design method for thread-fixed one-side bolted T-stub. Eng. Struct. 2017, 150, 918–933. [Google Scholar] [CrossRef]
- Wang, P.; Sun, L.; Zhang, B.; Yang, X.; Liu, F.; Han, Z. Experimental studies on T-stub to hollow section column connection bolted by T-head square-neck one-side bolts under tension. J. Constr. Steel Res. 2021, 178, 106493. [Google Scholar] [CrossRef]
- Yao, H.; Goldsworthy, H.; Gad, E. Experimental and numerical investigation of the tensile behavior of blind-bolted T-stub connections to concrete-filled circular columns. J. Struct. Eng. 2008, 134, 198–208. [Google Scholar] [CrossRef]
- Hosseini, S.M.; Mamun, M.S.; Mirza, O.; Mashiri, F. Behaviour of blind bolt shear connectors subjected to static and fatigue loading. Eng. Struct. 2020, 214, 110584. [Google Scholar] [CrossRef]
- Oktavianus, Y.; Goldsworthy, H.M.; Gad, E. Group behavior of double-headed anchored blind bolts within concrete-filled circular hollow sections under cyclic loading. J. Struct. Eng. 2017, 143, 04017140. [Google Scholar] [CrossRef]
- Wang, P.; Wulan, T.; Liu, M.; Qu, H.; You, Y. Shear behavior of lap connection using one-side bolts. Eng. Struct. 2019, 186, 64–85. [Google Scholar] [CrossRef]
- Wan, C.; Bai, Y.; Ding, C.; Zhu, L.; Yang, L. Mechanical performance of novel steel one-sided bolted joints in shear. J. Constr. Steel Res. 2020, 165, 105815. [Google Scholar] [CrossRef]
- Gao, X.; Wang, W.; The, L.H.; Zhuang, L. A novel slip-critical blind bolt: Experimental studies on shear, tensile and combined tensile–shear resistances. Thin-Wall. Struct. 2022, 170, 108630. [Google Scholar] [CrossRef]
- DSF/PREN 1993-1-8; Eurocode 3: Design of Steel Structures—Part 1-8: Design of Joints. European Committee for Standardization: Brussels, Belgium, 2005.
- Wang, J.; Spencer, B.F., Jr. Experimental and analytical behavior of blind bolted moment connections. J. Constr. Steel Res. 2013, 82, 33–47. [Google Scholar] [CrossRef]
- Lee, J.; Goldsworthy, H.M.; Gad, E.F. Blind bolted T-stub connections to unfilled hollow section columns in low rise structures. J. Constr. Steel Res. 2010, 66, 981–992. [Google Scholar] [CrossRef]
- Lee, J.; Goldsworthy, H.M.; Gad, E.F. Blind bolted moment connection to unfilled hollow section columns using extended T-stub with back face support. Eng. Struct. 2011, 33, 1710–1722. [Google Scholar] [CrossRef]
- Lee, J.; Goldsworthy, H.M.; Gad, E.F. Blind bolted moment connection to sides of hollow section columns. J. Constr. Steel Res. 2011, 67, 1900–1911. [Google Scholar] [CrossRef]
- Wang, P.; Sun, L.; Liu, M.; Zhang, B.; Hu, X.; Yu, J. Experimental studies on thread-fixed one-side bolted connection of beam to hollow square steel tube under static bending moment. Eng. Struct. 2020, 214, 110655. [Google Scholar] [CrossRef]
- Tahir, M.M.; Mohammadhosseini, H.; Ngian, S.P.; Effendi, M.K. I-beam to square hollow column blind bolted moment connection: Experimental and numerical study. J. Constr. Steel Res. 2018, 148, 383–398. [Google Scholar] [CrossRef]
- Sun, L.; Liu, M.; Liu, Y.; Wang, P.; Zhao, H.; Sun, J.; Shang, Y. Studies on T-shaped one-side bolted connection to hollow section column under bending. J. Constr. Steel Res. 2020, 175, 106359. [Google Scholar] [CrossRef]
- Li, G.; Zhang, J. Analysis Model of Tensile Stiffness of Self-lock One-side Bolt for Steel Structure. J. Archit. Civ. Eng. 2018, 35, 1–7. [Google Scholar]
- Li, G.; Duan, L.; Lu, Y.; Zhang, J.H. Initial Rotational Stiffness of H shaped Beams to RHS Column Endplate Connections Using Blind Bolts. J. Tongji. Univ. (Nat. Sci.) 2018, 46, 565–573. [Google Scholar]
- Wang, W.; Li, M.X.; Chen, Y.Y.; Jian, X. Cyclic behavior of endplate connections to tubular columns with novel slip-critical blind bolts. Eng. Struct. 2017, 148, 949–962. [Google Scholar] [CrossRef]
- Li, G.; Ma, R.; Wang, W.; Chen, Z.M.; He, M.J.; Hou, Z.X.; Wang, Y.B.; Chen, Y.Y. Research Achievements of Key Technology of High-Efficiency Bolted Connection in Steel Structures. Prog. Steel Build. Stuct. 2020, 22, 1–20+28. [Google Scholar]
- Xu, Q.; Zheng, S.; Cheng, Y. Seismic vulnerability of steel framework in service based on structural damage. J. Vib. Shock 2015, 34, 162–167. [Google Scholar]
- Park, Y.; Ang, A.H. Mechanistic Seismic Damage Model for Reinforced Concrete. J. Struct. Eng. 1985, 111, 722–739. [Google Scholar] [CrossRef]
- Kumar, S.; Usami, T. A note on the evaluation of damage in steel structures under cyclic loading. J. Struct. Eng. 1994, 40, 177–188. [Google Scholar]
- Behnamfar, F.; Hosseini, R.A.; Habiby, Y.M. A procedure for damage-based seismic design of moment frame structures. Bull. Earthq. Eng. 2022, 20, 5877–5904. [Google Scholar] [CrossRef]
- Castiglioni, C.A.; Pucinotti, R. Failure criteria and cumulative damage models for steel components under cyclic loading. J. Constr. Steel Res. 2009, 65, 751–765. [Google Scholar] [CrossRef]
- Yu, H. Research on Seismic Damage Model of Reinforced Concrete Structure. Master’s Thesis, Chongqing University, Chongqing, China, 2004. [Google Scholar]
- GB50017-2017; Standard for Design of Steel Structures. China Architecture & Building Press: Beijing, China, 2017. (In Chinese)
- Lin, Y.; Wang, X.; Gong, J.; Wang, S.; Sun, H.; Liu, H. Seismic Performance of an Exterior Joint between a Square Steel Tube Column and an H-Shape Steel Beam. Sustainability 2023, 15, 3856. (In Chinese) [Google Scholar] [CrossRef]
- GB/T 2975-2018; Steel and Steel Products-Location and Preparation of Samples and Test Pieces for Mechanical Testing, Standardization Administration. China Standards Press: Beijing, China, 2018. (In Chinese)
- GB/T228.1-2021; Metallic Materials-Tensile Testing-Part 1: Method of Test at Room Temperature. China Standards Press: Beijing, China, 2021. (In Chinese)
- JGJ/T 101-2015; Specification for Seismic Test of Buildings. China Architecture & Building Press: Beijing, China, 2015. (In Chinese)
- Huang, J.; Gao, X.; Zhou, J.; Wang, Y.; Zeng, Z.; Wang, F. Seismic Experiment and Design Suggestion for BRB-Concrete Frame Bent Structure. J. Beijing Univ. Tech. 2020, 46, 879–891. [Google Scholar]




















| Sampling Position | Yield Strength/MPa | Tensile Strength/MPa | Elastic Modulus/GPa | Elongation/% |
|---|---|---|---|---|
| Column | 345 | 490.7 | 209 | 30.3 |
| Flange of beam | 252 | 439.7 | 198.7 | 32.2 |
| Web of beam | 279.7 | 442 | 195.7 | 34.5 |
| Flange of T-stub steel | 257.3 | 440 | 221 | 32.2 |
| Web of T-stub steel | 278.7 | 442.3 | 200.7 | 30.5 |
| Loading Level | 1 | 2 | 3 | 4~5 | 6 |
|---|---|---|---|---|---|
| SMJ-1 | Yield of T-stub steel web | Yield of T-stub steel flange | Flange yielding of beam | Cracks in the flange of T-stub steel on the tensile side | East lower T-stub steel flange fracture |
| SMJ-2 | Yield of T-stub steel web | Yield of T-stub steel flange | Flange yielding of beam | buckling of column wall/buckling of beam flange | The severe buckling of column wall and beam flange |
Disclaimer/Publisher’s Note: The statements, opinions and data contained in all publications are solely those of the individual author(s) and contributor(s) and not of MDPI and/or the editor(s). MDPI and/or the editor(s) disclaim responsibility for any injury to people or property resulting from any ideas, methods, instructions or products referred to in the content. |
© 2025 by the authors. Licensee MDPI, Basel, Switzerland. This article is an open access article distributed under the terms and conditions of the Creative Commons Attribution (CC BY) license (https://creativecommons.org/licenses/by/4.0/).
Share and Cite
Liu, H.; Yan, S.; Wang, X.; Chen, Y.; Li, Y. Seismic Performance Analysis of Middle Column Joints with T-Stub Steel Connections Considering Cumulative Damage. Buildings 2025, 15, 1429. https://doi.org/10.3390/buildings15091429
Liu H, Yan S, Wang X, Chen Y, Li Y. Seismic Performance Analysis of Middle Column Joints with T-Stub Steel Connections Considering Cumulative Damage. Buildings. 2025; 15(9):1429. https://doi.org/10.3390/buildings15091429
Chicago/Turabian StyleLiu, Huanhuan, Shilin Yan, Xinwu Wang, Yifei Chen, and Yongjing Li. 2025. "Seismic Performance Analysis of Middle Column Joints with T-Stub Steel Connections Considering Cumulative Damage" Buildings 15, no. 9: 1429. https://doi.org/10.3390/buildings15091429
APA StyleLiu, H., Yan, S., Wang, X., Chen, Y., & Li, Y. (2025). Seismic Performance Analysis of Middle Column Joints with T-Stub Steel Connections Considering Cumulative Damage. Buildings, 15(9), 1429. https://doi.org/10.3390/buildings15091429
