Next Article in Journal
Numerical Simulation of a Shear Wall Model in Interlocking Masonry with Dry Vertical and Horizontal Joints in Compressed Earth Blocks
Next Article in Special Issue
Interfacial Bond Behavior of Clay Brick Masonry Strengthened with CFRP
Previous Article in Journal
Effect of Soil–Structure Interaction on the Damage Probability of Multistory RC Frame Buildings with Shallow Foundations
Previous Article in Special Issue
Fusion-Based Damage Segmentation for Multimodal Building Façade Images from an End-to-End Perspective
 
 
Font Type:
Arial Georgia Verdana
Font Size:
Aa Aa Aa
Line Spacing:
Column Width:
Background:
Article

Seismic Performance of Prefabricated Constructional Columns Using Recycled Lump Concrete

School of Civil Engineering and Transportation, South China University of Technology, Guangzhou 510640, China
*
Author to whom correspondence should be addressed.
Buildings 2025, 15(4), 625; https://doi.org/10.3390/buildings15040625
Submission received: 1 January 2025 / Revised: 1 February 2025 / Accepted: 5 February 2025 / Published: 18 February 2025
(This article belongs to the Special Issue Low-Carbon and Green Materials in Construction—2nd Edition)

Abstract

A new type of prefabricated constructional column (PCC) made of recycled lump concrete is proposed and investigated in this study. The methods for the design, fabrication, and construction of this PCC are introduced, and the connection and implementation of the PCC are explained in detail. In order to examine the performance of the PCC, an experimental study on PCC segments was first conducted. Low cyclic load tests of walls restrained by the PCC and cast-in-place constructional column (CCC) were then carried out. The failure of the PCC did not occur at the connection position of the segments, indicating that the connection method was reliable. Compared with the CCC-restrained wall, the failure characteristics of the PCC wall were basically the same; the ultimate bearing capacity was slightly lower, while the displacement ductility and energy dissipation performance were better. Finally, finite element analyses of these two types of masonry walls were implemented under low cyclic loading. The calculated results for cracking, stiffness, ultimate bearing capacity, failure process, hysteretic performance, skeleton curve, energy dissipation, and ductility all had good agreement with the experimental results. The proposed PCC can achieve a prefabrication rate of more than 85%, and the amount of new concrete can be reduced by more than 25% by filling concrete waste lumps, which can greatly improve construction efficiency and reduce the cost, thereby offering significant economic and environmental benefits.

1. Introduction

Earthquakes are one of the most severe extreme natural disasters, causing major damage to buildings, infrastructure, and the environment, as well as leading to heavy casualties and immense property losses [1]. Several major seismic events occurred in the 20th century, including the Wenchuan earthquake (2008) [2], the Haiti earthquake (2010) [3], the Mexico earthquake (2017) [4], and the Nepal earthquake (2023) [5]. The prevention and mitigation of seismic hazards have consistently posed critical challenges for humans’ survival and development.
Over the centuries, civil engineers have relentlessly explored and studied building structures to enhance disaster resistance, with significant advancements achieved in building materials, structural systems, and construction techniques [6,7]. The ability of building structures to resist seismic hazards has been continuously improving. However, even to this day, each earthquake still results in severe damage to buildings, which remains the primary cause of property loss and casualties in seismic events [8]. Investigations and damage assessments of building structures after earthquakes revealed that the walls of masonry structures and other structural systems experienced the most severe damage under seismic actions, and the collapse and falling of brick walls and masonry blocks were the main causes of equipment damage and casualties [9,10,11,12,13,14].
In frame structures, infill walls are commonly used to partition spaces and meet functional requirements. These walls are typically made of materials such as brick, stone, concrete blocks, and lightweight bricks [15]. Due to the availability of materials, ease of construction, and low building costs, masonry structures are the most widely used type of residential and industrial buildings in the world [16]. Therefore, ensuring the seismic resistance of structural walls is a crucial measure to reduce earthquake damage and casualties. However, in practical engineering, seismic resistance designs and the protection of walls are still insufficiently emphasized. The current Chinese code (GB 50011-2010) defines masonry infill walls in frame structures as secondary components which do not bear and transfer load [17]. There is a complex relationship between infill walls and the frame [18,19,20]: on the one hand, infill walls can improve the load-bearing capacity and stiffness of frame structures, altering the failure modes. On the other hand, the improper placement of infill walls can have adverse effects on the structure. Masonry structures, due to issues such as brittle failure, large self-weight, and a lack of effective connections, require reasonable structural design, strict quality control, and appropriate seismic techniques to enhance their seismic performance [21]. Research on the seismic performance of infill walls in frame structures and masonry structures is of significant practical importance.
Improving the seismic resistance of walls has long been a research focus within the field of structural disaster mitigation. To date, numerous measures to ensure the stability of walls have been widely studied and applied in practical engineering, such as increasing the strength of wall bricks [22], using fiber-reinforced polymer mortar [23], applying surface treatment [24], and incorporating ring beams and constructional columns. Ring beams and constructional columns are the most cost-effective and efficient seismic measures for walls. Experimental tests and seismic surveys have shown that ring beams and constructional columns significantly enhance the load-bearing capacity and stability of walls, greatly reducing the damage caused by wall collapse during earthquakes [25].
The constructional column is a key component in masonry structures, designed to restrain the wall and, thus, enhance stability and improve the seismic performance of the wall. Constructional columns are typically incorporated into infill walls or masonry structures by connecting walls with beams, slabs, and other structural elements that provide lateral support and facilitate load transfer. In seismic design, constructional columns play a crucial role in minimizing building deformation during earthquakes [26].
The cast-in-place constructional column (CCC), due to its good seismic capacity, has been widely applied in engineering practice [27,28]. However, in actual use, the CCC may lead to excessive wall stiffness. Furthermore, during the construction process, the following issues arise: (1) during the masonry phase, since the walls are built first and the constructional columns are added later, the walls do not receive adequate support before the columns are formed, which can easily lead to instability and the collapse of the wall; (2) the construction process is complex, and quality control is difficult; (3) the construction period is relatively long, typically requiring 3 to 5 days, including rebar tying, formwork installation, concrete pouring, and curing; (4) and labor costs are high. These shortcomings make it challenging for the CCC to meet the requirements of modern industrialization and eco-friendly building.
To overcome the aforementioned issues associated with the traditional CCC, the prefabricated constructional column (PCC) has been proposed and applied in practical engineering. Yuan et al. [29] studied prefabricated constructional columns consisting of long and short precast column blocks, which are constructed simultaneously with the wall brick blocks. Compared to cast-in-place constructional columns, the construction time is reduced by 2 days, the cost is reduced by 50%, and the structural ductility is improved. Zhang et al. [30] experimentally evaluated the multi-hazard resistance capacity of precast segmental columns and cast-in-place construction columns. The results indicated that the precast segmental columns exhibited better seismic performance. Qing et al. [31] studied a novel coupler for the longitudinal rebar connection of columns. Experimental tests demonstrated that this coupler had high reliability. Li et al. [32] connected precast concrete frames using Ultra-High Performance Concrete (UHPC), and the experimental results showed that the precast concrete frame using UHPC connections exhibited better seismic performance than the integral concrete frame.
To further improve economic and environmental benefits, some scholars have proposed the use of recycled concrete to construct prefabricated constructional columns. Liu et al. [33] verified that the failure mechanism of recycled aggregate concrete constructional columns is similar to that of ordinary concrete and meets the relevant seismic design requirements. Zhang et al. [34] studied a semi-precast high-strength recycled aggregate concrete column with high-strength reinforcement, which consisted of in situ cast core concrete surrounded by a precast external shell. The experimental results indicated that the seismic performance of this semi-precast column was comparable to that of the cast in situ column. Xiao et al. [35] utilized precast beams, precast columns, and cast-in-place joints made of recycled aggregate concrete to construct a frame structure, which exhibited good seismic performance. Xiao et al. [36] also studied semi-precast recycled aggregate concrete columns, with the recycled concrete placed in the core area of the constructional column. The results confirmed that the semi-precast recycled aggregate concrete columns exhibited similar seismic performance to that of fully cast-in-place columns. Chen et al. [37] applied recycled aggregate concrete in concrete-filled steel tubular structures and demonstrated that circular concrete-filled steel tubular columns with reinforced concrete beams exhibit good seismic performance, making them suitable for high-rise buildings in regions with high seismic hazards. Dong et al. [38] investigated the effects of the recycled coarse aggregate replacement rate and internal steel on the seismic performance of high-strength recycled concrete columns under high axial load ratios. The results showed that high-strength concrete columns under high axial load ratios have reliable seismic performance. Tang et al. [39] used experimental data and machine learning predictions to conclude that steel tube recycled concrete exhibits good hysteretic behavior, ductility, and energy dissipation capacity.
The seismic performance of masonry walls constrained by constructional columns is primarily studied and validated through low-cycle repeated loading tests. Low-cycle repeated loading tests on masonry walls are a form of quasi-static testing, which is performed under force or displacement control with periodic cyclic loading. The purpose of such tests is to obtain experimental data, analyze failure modes, and subsequently evaluate the seismic capacity and performance of the masonry walls. Numerous studies have been conducted by related researchers in this field [40,41,42].
The PCC uses primarily semi-prefabricated and recycled aggregate concrete. Recycled lump concrete has better economic and environmental benefits. In this study, a new kind of PCC using recycled lump concrete is proposed and investigated. Firstly, the design concept and construction method of the PCC are described in detail. Secondly, the mechanical properties of the prefabricated columns and their connection methods are investigated through finite element analysis. Subsequently, the segments of the PCC using recycled lump concrete are made, and load testing is carried out. Then, the CCC restraint wall and the PCC restraint wall are established, respectively, and the seismic performances of the specimens are examined using the quasi-static testing method. Finally, the finite element model of the prefabricated column-constrained wall is established and analyzed. This study compares the differences in seismic performance and failure mechanisms between a masonry wall constrained by the PCC and CCC, providing references for seismic theoretical research and the engineering applications of masonry walls. This novel PCC using recycled lump concrete can improve construction efficiency, reduce labor costs, and fully exploit the environmental benefits of recycled concrete.

2. Prefabricated Constructional Columns Using Recycled Lump Concrete

2.1. Basic Conception

Constructional columns are structural elements integrated into masonry walls to enhance their seismic performance. Due to their relatively low load-bearing requirements, construction columns are well suited for prefabricated assembly. Constructional columns are reinforced with sparse reinforcement, allowing for the placement of a large amount of recycled concrete within the reinforcement cage. This study proposes a construction method for the PCC using recycled lump concrete, where column segments are prefabricated in a factory and then transported to the construction site for assembly. The reinforcement bars between the prefabricated segments are overlapped within reserved holes. The connection is achieved by employing a bonding method with micro-expansive grouting material and forming convex–concave interlocking at the ends of the segments. At the construction site, constructional columns can be built first before the masonry walls are constructed, or the two can be constructed simultaneously.

2.2. Prefabricated Segment and Connection Methods of PCC

(1)
Prefabricated segment
Through the integration of constructional column prefabrication technology and recycled lump concrete technology, the PCC segments are manufactured in a controlled factory environment and then transported to the construction site. These segments are assembled and connected with masonry walls to form a complete wall. The PCC segments consist of three types: the bottom segment, the intermediate segment, and the upper segment, as shown in Figure 1. All the connections between segments utilize implant–steel reinforcement and routing connection technology. The contact surfaces between segments are formed with convex–concave interlocking to increase the connection strength. The materials used for PCC segments comprise longitudinal reinforcement bars, stirrups, tie bars, recycled concrete lumps, and new concrete. Reinforcement bars are tied within the mold, recycled concrete lumps are then placed, and ordinary new concrete is poured in and vibrated to form the segment. The size of the recycled concrete lumps ranges from 60 mm to 120 mm. By selecting an appropriate gradation of characteristic sizes, a replacement rate of at least 25% can be achieved.
To strengthen the connection between the PCC and the masonry wall, tie bars are installed in the middle of each segment of the PCC. These rows of tie bars are embedded in the mortar and connected with the wall.
(2)
Connection method of PCC segments
The connection of the PCC mainly includes four parts: the connection with the bottom beam/slab, the connection between the intermediate segments, the connection with the top beam/slab, and the connection with the ring beam and masonry wall.
① The connection between the PCC and the bottom beam/slab. After reserving lap reinforcement bars or drilling holes for grouting and embedding reinforcement bars at the bottom of the beam/slab, a layer of high-strength grouting material is applied at the column’s base position. The bottom segment of the RCC is aligned with the pre-installed reinforcement bars using its reserved holes. Then, the grouting material is poured into the holes and compacted by vibration to ensure proper consolidation.
② The connection between intermediate segments. Grouting material is injected into the reserved hole at the upper end of the lower segment. The reinforcement bars at the lower end of the upper segment are then inserted into the reserved holes. At the connection position, the convex and concave surfaces interlock tightly. The extruded portion of the grout ensures that the connection surface is fully compacted and securely filled.
③ The connection between the PCC and the top beam/slab. The connection between the PCC and the top beam/slab is a weak part, and the quality of the connection is difficult to control. It is difficult to pour dense concrete into this part of the CCC, and voids caused by concrete shrinkage significantly reduce the connection strength at the top of the column. In order to solve the above problems, this study proposes a specialized design for the PRCC segment and connection. This segment has convex ends with exposed longitudinal reinforcement bars for connection. The reinforcement bars at the lower end are inserted into the reserved holes of the intermediate prefabricated segment, and then the grouting connection is utilized. The reinforcement bars at the upper end are tied or welded with the embedded reinforcement bars of the top floor beam/slab. The surrounding area of the upper section is enclosed using wood–cement boards [43], which are nailed together to form a sealed box. A PVC one-way check valve is installed at the bottom of one side of the formwork. Grouting material is injected through the check valve into the top grouting formwork to complete the connection between the upper column segment and the top beam/slab.
④ The connection between the PCC and masonry wall. The segments are equipped with reinforcement bars on the side that contacts the wall. The reinforcement bars are embedded within the mortar joints of the masonry to connect with the wall.
(3)
The construction method of the PCC and masonry wall.
The construction of the PCC can be carried out in two ways: ① the PCC is completed first, and then the wall is built; ② the wall and PCC are built simultaneously. The size of the PCC segments can be designed according to the construction conditions. Small and lightweight segments can be manually transported and installed, while large and heavy segments can be transported and spliced using small pieces of construction equipment.

2.3. Finite Element Analysis of the PCC Segment and Connection

To investigate the effects of lap-spliced reinforcement and grouting joint seams on the load capacity of constructional columns, a finite element (FE) model was established using ABAQUS software, as shown in Figure 2. The segments of the constructional column were connected by grouting joint seams, and the reinforcement between the segments was connected using the lap-splicing method. The cross-section of the constructional column was square with a size of 180 mm × 180 mm. The length of the segment was 400 mm, and the thickness of the grouting joint seam between segments was 50 mm.
A single PCC segment consists of 1620 cubic finite element units with a side length of 20 mm. The steel reinforcement is modeled using a bilinear kinematic hardening model, while the recycled concrete adopts a concrete plastic damage model. The joint consists of 1296 cubic finite element units with a side length of 10 mm. The constitutive behavior of the grouting material is selected based on the provisions of the codes for the design of concrete structures [44].
A vertical load (F) was applied at the mid-span (center of the joint seam) of the constructional column. After the analysis, the maximum vertical displacement in the middle of the model was then extracted, and the load–displacement curve is plotted in Figure 3. From the load–displacement curve, the ultimate bending capacity of the constructional column is approximately 66 kN. During the loading process, the deformation of the constructional column showed two distinct plateau stages: the first was due to the slip between the reinforcement and grout material, and the second was due to the yielding of the reinforcement. The second reinforcement stage of the specimen was relatively long, resulting in a significant increase in load capacity. The load–displacement curve reasonably reflects the force transmission and failure characteristics of this type of constructional column.
The crack development of concrete was observed using the Standard Discrete Element Group (SDEG). Figure 4 shows the SDEG of the constructional column model under the ultimate load. The SDEG indicates the stiffness degradation of the constructional column and accurately reflects the development of concrete cracks. Based on Figure 4, it can be observed that the primary cracks are diagonal cracks from the loading point to the support position, and big cracks arise at the joint seam as well. The reinforcement stress in the PCC model under the ultimate load is shown in Figure 4. The maximum stress occurs at the extended reinforcement, where yielding is reached, which is located near the joint seam.
The results of finite element analysis show that the stress distribution of the prefabricated constructional columns is reasonable under bending and shearing force action. The concrete cracking and development are in line with the expectation. The connection method of reinforcement lap grouting is adopted, ensuring that the reinforcement at the connection position is fully stressed, resulting in a firm and reliable connection.

2.4. Experimental Study on the PRCC Segment and Connection

Based on the design parameters of the PCC, experimental segments with grouting joint connections were fabricated, and experimental validation studies were conducted. The dimensions of the constructional column specimens were the same as those in the finite element model. The cross-section of the constructional column was square with a size of 180 mm × 180 mm. The length of the segment was 400 mm, and the thickness of the grouting joint seam between segments was 50 mm. The loading protocol adopted a force-controlled method, with a rate set at 10 kN/min. The concrete cover was 20 mm. The longitudinal reinforcement employed Φ12 HRB400 hot-rolled ribbed steel bars, with a yield strength and an ultimate strength of 446 MPa and 575 MPa, respectively. The stirrups consisted of Φ10 HRB400 steel bars, with a yield strength and an ultimate strength of 440 MPa and 611 MPa, respectively. The strength grade of the new concrete was designed to be C30, and the tested 28-day cube compressive strength was measured at 30.6 MPa. The compressive strength of the combined cubic samples of recycled lump concrete with a 25% replacement rate was measured at 37.7 MPa. This exceeded the strength of the new concrete due to the relatively high strength of the recycled concrete lumps. Strain gauges were installed on the lap-spliced reinforcement of the constructional column to measure the stress behavior of the reinforcement during the loading process. The prepared PCC segments are shown in Figure 5.
The PCC segments were assembled using grouting connections, and loading tests were performed after 7 days of curing the grouting materials. Figure 6 shows the loading test setup and sensor arrangement for the constructional column testing. The constructional column specimen was simply supported at both ends, and a hydraulic jack was used to incrementally apply vertical loads at the mid-span of the specimen. The vertical deformation at the mid-span of the specimen and the strain of reinforcement, along with the applied load magnitudes, were recorded. The specific measurement details are given as follows:
(1)
Measurement of load and displacement: A force sensor with a measuring range of 500 kN was placed at the loading point of the hydraulic jack to measure the applied load at each increment. Two displacement sensors with a measuring range of 50 mm were positioned on both sides of the joint seam to collect the vertical deformation under loading.
(2)
Measurement of the reinforcement strain: A strain gauge was installed on the longitudinal tensile reinforcements near the joint seam of the constructional column, as shown in Figure 6.
The final failure mode of the constructional column under a vertical concentrated load at mid-span is shown in Figure 7. The PCC exhibited typical shear–compression failure. At the beginning of loading, vertical cracks appeared at the supports and along the joint seam. Subsequently, the vertical cracks at the supports extended diagonally, forming shear cracks, which eventually developed into a critical through-diagonal crack. Concrete failure occurred in the shear-compression zone, and part of the concrete at the bottom spalled. No major cracks were observed at the joint seam, indicating a good connection for the seam. The crack development observed was consistent with the trend predicted by the FE calculation.
The load–displacement curve of the constructional column specimen is shown in Figure 8. The specimen exhibited high stiffness and good ductility, with a failure load of 66 kN, which is in good agreement with the FE calculation results. Figure 9 shows the strain variation of the reinforcement in the constructional column during loading. After the concrete cracked, the reinforcement quickly started to carry a load, with the maximum strain exceeding 1400 microstrains, approaching yield. This indicates that the reinforcement was adequately anchored in concrete and fully engaged in the load transfer.

3. Quasi-Static Test of Masonry Walls Constrained by Constructional Columns

3.1. Specimen Design and Production

This test produced a total of two wall specimens: the PCC and CCC restrained wall specimens. The dimensions of the wall specimens were 3000 mm in length, 1500 mm in height, and 240 mm in thickness. The cross-sectional dimensions of the constructional columns were 240 mm by 240 mm, with a concrete cover thickness of 20 mm.
Hot-rolled ribbed reinforcement bars are used for constructional columns. Steel bars of grade HRB400 with a diameter of 12 mm are utilized for longitudinal reinforcement, with a measured yield strength and ultimate strength of 446 MPa and 575 MPa, respectively. Steel bars of grade HRB335 with a diameter of 8 mm are adopted for stirrups, with a tested yield strength and ultimate strength of 352 MPa and 511 MPa, respectively. The new concrete used C30 commercial concrete, with a tested 28-day standard compressive strength of 30.3 MPa. However, the combined compressive strength of recycled lump concrete with a 25% replacement rate was 37.7 MPa, which is attributable to the higher strength of the recycled concrete lumps filling in the constructional columns. According to the Chinese technical standard for recycled concrete structures 3.2.6, Young’s modulus of recycled concrete with a 25% replacement rate is similar to that of new concrete [45]. Solid sintered brick is used to build the wall. The size of the brick is 240 mm × 115 mm × 53 mm, the strength grade is MU10, and the tested compressive strength is 13.0 MPa. The motor material for these walls was designed to be a strength grade of M10. In order to simulate the actual construction situation on site, the mortar is manually mixed, so the strength of the mortar is difficult to control. The actual compressive strength of mortar cube specimens for the CCC and PCC walls was measured at 25.8 MPa and 15.6 MPa, respectively. The masonry walls were sprayed with white paint to facilitate the observation of the formation and development of cracks.

3.2. Loading Method

The schematic diagram of the loading device for the quasi-static test of the masonry wall is shown in Figure 10. Two steel shims at the upper part of the loading beam were placed at one-third points of the wall specimen, with a distributive beam positioned above the shims. A vertical force was applied to the middle of the steel compression beam using a hydraulic jack, which transferred the load to the wall specimen through the steel shims, ensuring the wall specimen was subjected to uniform vertical pressure. Two MTS actuators were used to apply lateral forces simultaneously to prevent the out-of-plane torsion of the wall specimen. The displacement-controlled loading scheme was adopted.
In the middle of the loading beam and on the upper part of the wall specimen, two orthogonal horizontal displacement sensors were installed. One sensor measured the displacement in the plane of the wall specimen along the loading direction, and the other sensor measured the displacement outside the plane of the wall. During the loading process, the displacement exerted by the MTS on the specimen was also recorded.
The masonry wall specimen and the test site are shown in Figure 11. The masonry wall specimen had a length of 2520 mm and a thickness of 240 mm, and the vertical compressive stress applied in this test was 0.3 MPa. The theoretical horizontal ultimate load of the wall specimen was approximately 500 kN, and the preloading horizontal force was set to 100 kN. The detailed loading procedure for this experiment is explained as follows:
(1)
The vertical load was applied in three stages using a hydraulic jack at the upper part of the wall specimen. In each stage, a load of 60 kN was applied, and the vertical load was maintained at a constant of 180 kN at last.
(2)
The wall specimen was preloaded twice with a horizontal load of 100 kN.
(3)
The horizontal loading was applied in increments, with the first displacement level set at 0.16 mm and subsequent levels increasing by 0.16 mm. Each level was subjected to two load cycles. Once the wall specimen cracked and the load–displacement curve showed obvious curvature, the displacement for each level was adjusted to 1 mm and cycled twice. The horizontal loading procedure is shown in Figure 12. According to the loading method specified in Article 4.4 in the Chinese specification for seismic tests of buildings, this study adopted a displacement-controlled loading scheme, with each load level applied twice [46]. During the cracking and yielding stages, a smaller loading increment of 0.16 mm was employed to more accurately determine the cracking and yielding loads. Due to the typical brittle failure mode of the specimen, the loading increment was adjusted to 1 mm after yielding to reduce the testing time and facilitate testing efficiency.
(4)
When the load-carrying capacity of the wall specimen decreased to 85% of its actual ultimate load-carrying capacity, the specimen was considered to have failed, and the experiment was terminated.

3.3. Experimental Phenomena and Failure Process

The final failure modes of the two wall specimens under the action of reciprocating the push–pull collapse load are shown in Figure 13. The red lines in the figure represent cracks generated by the pushing load, while the blue lines represent cracks generated by the pulling load.
(1)
CCC wall specimen
When the horizontal displacement was pushed to +1.041 mm (where + represents displacement and force in compression, and − represents displacement and force in tension, hereafter the same), the bearing capacity of the CCC wall specimen reached +741.69 kN, and the initial crack appeared. This crack was step-shaped and extended from the bottom of the left CCC toward the middle of the loading beam. When the horizontal displacement was pulled to −1.061 mm, the bearing capacity reached −618.01 kN. Upon further loading to −0.928 mm, the negative bearing capacity attained its maximum value of −640.53 kN. At this point, the crack in the left CCC continued to develop along the mortar toward the middle of the bottom beam. When the horizontal displacement was pushed to +3.072 mm, the specimen emitted a loud cracking sound. The displacement suddenly increased to +4.711 mm, and the bearing capacity decreased from +821.43 kN to +712.84 kN. At this stage, the width of the main crack increased, and it continued to develop along the bottom of the left CCC to the top of the right CCC, eventually penetrating the entire specimen. When the displacement cycle reached +9 mm, the CCC wall specimen almost completely failed.
(2)
PCC wall specimen
When the horizontal displacement was pulled to −0.335 mm, a diagonal crack appeared at a 45° downward angle at the top of the left PCC. During the time when the maximum displacement of the loading step remained unchanged, the displacement suddenly increased from −0.335 mm to −1.027 mm, and the bearing capacity decreased from −486.98 kN to −440.36 kN. Meanwhile, a diagonal crack appeared in the PCC wall specimen near the top of the left PCC and gradually developed toward the bottom of the right PCC, forming a diagonal main crack. When the horizontal displacement was pushed to +1.538 mm, diagonal cracks appeared in the intermediate segment of the right PCC. The maximum positive bearing capacity of +568.45 kN was reached at the displacement of +1.327 mm. During the time when the loading displacement was kept unchanged at +1.538 mm, the displacement suddenly increased from +1.538 mm to +3.117 mm, and the bearing capacity decreased from +553.83 kN to +444.02 kN. At this stage, diagonal cracks appeared near the PCC wall specimen in the middle of the right PCC and gradually developed towards the bottom of the left PCC, forming another diagonal main crack. As the displacement cycle attained +16 mm, the wall specimen reached eventual failure.
The failure processes and patterns of the CCC and PCC walls were quite similar, both exhibiting shear failure characterized by step-shaped cracks. After the initial cracks appeared in the two types of wall specimens, the main cracks developed diagonally and eventually formed “X”-shaped cracks. The wall cracks developed sufficiently. These two types of constructional columns in the wall specimens all failed at the middle and bottom of the columns. It should be noted that there was no clear damage to the connection of the PCC, indicating that the proposed connection was reliable.

3.4. Hysteretic Performance

The hysteretic curve is a primary basis for analyzing the seismic performance of structures or components. It can be used to calculate the strength, stiffness, deformation, and energy dissipation capability of structural components under cyclic loading. The hysteretic curves of the two wall specimens are shown in Figure 14. For the CCC wall specimen, the area of the hysteretic curve increased slightly, displaying a flattened spindle shape. In contrast, for the PCC wall specimen, the area of the hysteretic curve continued to grow with increasing horizontal displacement, fully utilizing its deformation capacity and energy dissipation performance, which contributed to the structural resilience under large seismic events. The CCC wall specimen reached failure when cycled to 8.931 mm, at which point its bearing capacity decreased to less than 85% of its maximum bearing capacity. In contrast, the PCC wall specimen reached failure after cycling to 15.104 mm, with its bearing capacity reduced to less than 85% of its maximum. The use of rebar overlaps in the connection of the PCC segments resulted in a higher reinforcement ratio and more effective force transfer compared to the CCC, thereby enhancing the ductility of the PCC wall.

3.5. Skeleton Curve

The experimental skeleton curves of the CCC wall specimen and PCC wall specimen are shown in Figure 15. The PCC wall specimen maintained its bearing capacity well after reaching the ultimate load. Furthermore, its failure displacement was much higher than that of the CCC wall specimen. After cracking, the area enclosed by its hysteretic curve increased. Compared to the CCC wall specimen, the failure displacement of the PCC wall specimen increased by 69.1%, demonstrating the PCC wall specimen had better energy dissipation performance. However, compared with the CCC wall specimen, the ultimate bearing capacity of the PCC wall specimen decreased by 26.4%. The main cause might be the difference in the mortar strength between the two wall specimens. The mortar strength of the CCC wall specimen was 25.8 MPa, while that of the PCC wall specimen was 15.6 MPa.

3.6. Energy Dissipation Capability Analysis

Figure 16 shows the cumulative energy dissipation capacity for different lateral displacements of the two wall specimens. The CCC wall specimen exhibited a better energy dissipation capacity at small displacements, while the PCC wall specimen showed better ductility. Upon failure, the cumulative energy dissipation of the PCC wall specimen was 37.96% higher than that of the CCC wall specimen.

3.7. Displacement Ductility Factor

The masonry walls constrained by constructional columns underwent brittle failure when cracks appeared at the maximum bearing capacity. Therefore, the ratio of the failure displacement to cracking displacement, Δf/Δc, can be used as an index to evaluate displacement ductility. The displacements and ductility factors of the CCC and PCC wall specimens are listed in Table 1. The PCC wall specimen exhibited better ductility, with its displacement ductility factor being 49.1% higher than that of the CCC wall specimen.

3.8. Stiffness Degradation Analysis

The secant stiffness is used to express the stiffness of the hysteretic curve. The stiffness values (K) obtained from all cycles of the two wall specimens were connected to form the stiffness degradation curve, as shown in Figure 17. The initial stiffness of the CCC wall specimen is greater than that of the PCC wall specimen at 3045.0 kN/mm and 1527.9 kN/mm, respectively. The main reason for this is the fact that the CCC was cast right after the masonry wall had been built, and the connection between the concrete of the structural column and the brick wall was very strong. However, the stiffness of the CCC wall degraded quickly after the wall cracked. When the displacement exceeded 2.512 mm, the stiffness degradation rate of the PCC wall tended to be stable. When the displacement exceeded 3.063 mm, the stiffness degradation rate of the CCC wall tended to be stable. When the CCC wall specimen reached failure, the stiffnesses of the PCC and CCC were similar, with values of 63.6 kN/mm and 63.0 kN/mm, respectively. When the PCC wall specimen reached failure, the final stiffness was 27.2 kN/mm. The residual stiffness of the CCC and PCC wall specimens after reaching the failure load was 8.8% and 6.3% of the cracking stiffness, respectively. The stiffness degradation trends for both walls were nearly identical.

4. Finite Element Analysis

The FE models of the PCC wall and CCC wall were developed using ABAQUS software. The numerical simulation of the low cyclic loading test of these two types of walls was conducted. The simulated results were then compared with experimental data to validate the accuracy of the FE analysis. Additionally, a parameter sensitivity analysis was performed.

4.1. FE Model of the Masonry Wall Constrained by Constructional Columns

To study the seismic performance of masonry constrained by constructional columns, FE models were developed and analyzed using ABAQUS software. Two types of models were calculated and discussed as follows:
(1)
The PCC wall FE model: This model included constructional column segments connected by a grouting connection, as described in Section 2. Recycled lump concrete was used for precast segments. The materials and their properties were the same as the experimental specimen of the PCC wall.
(2)
The CCC wall FE model: This model utilized cast-in-place constructional columns. The materials and their properties were the same as the experimental specimen of the CCC wall.
The dimensions of the wall models were 3000 mm in length, 1500 mm in height, and 240 mm in thickness. The cross-sectional dimensions of the constructional columns were 240 mm by 240 mm. The FE models of the PCC wall and CCC wall are shown in Figure 18.
The finite element model of a single wall was developed using various material models and constitutive behaviors to accurately simulate the structural behavior. The masonry wall consisted of 1500 cubic finite element units, each with a side length of 50 mm. The masonry wall was modeled as a homogeneous entity, simplifying the masonry blocks and mortar into a unified structure. The compressive constitutive behavior followed Yang, W’s stress–strain curve, while the tensile behavior adopted the tensile model of concrete [47].
The PCC segments required for a single wall were composed of 1200 cubic finite element units, each with a side length of 50 mm. The steel reinforcement in the PCC segments was modeled using a bilinear kinematic hardening model, and the recycled concrete adopted a concrete plastic damage model.
The joints required for a single wall were represented by 1600 cubic finite element units, each with a side length of 25 mm. The constitutive behavior of the grouting material was based on the code for the design of concrete structures [44].
The CCC for a single wall was modeled using 1500 cubic finite element units, each measuring 50 mm. The steel reinforcement employed a bilinear kinematic hardening model, while the concrete followed the constitutive model specified in the code for the design of concrete structures [44].
Lastly, the loading beam for a single wall consisted of 1625 cubic finite element units, each measuring 50 mm. Both the steel reinforcement and the concrete were modeled following the same approaches as the CCC, using a bilinear kinematic hardening model for steel and the concrete constitutive model from the code for the design of concrete structures.
In this model, the constructional columns, grouting material, walls, and loading beams were modeled using three-dimensional eight-node hexahedral solid elements with reduced integration (C3D8R). This element type was selected to ensure convergence and computational efficiency while avoiding shear locking. The reinforcement bars were modeled using three-dimensional two-node truss elements (T3D2).

4.2. Finite Element Quasi-Static Analysis

The FE analysis was conducted on the wall constrained by constructional columns under low-cycle repeated loading. A vertical load total of 180 kN was uniformly applied on the upper loading beam of the wall and kept constant. Fixed boundary conditions were applied to the bottom of the wall. The displacement-controlled loading scheme was applied, and the cyclic horizontal load was applied at the end of the loading beam. The load and displacement data of the wall model were extracted, and the crack development of the wall model was observed through the SDEG.
The SDEG of the crack development at the failure state of the two wall models is shown in Figure 19. The crack development and distribution in the FE analysis show good agreement with the experimental results. The cracks primarily concentrated at the bottom of the wall and developed diagonally upwards. Compared to the CCC wall, the PCC wall had more extensive cracks, which is consistent with the experimental phenomenon.
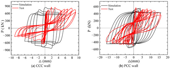
The comparison of the hysteresis curves of the two walls between the FE simulation and the experimental results is shown in Figure 20. The load drop in the FE analysis of each wall was relatively rapid, but the ultimate bearing capacity closely matched the experimental measurements. The hysteresis curves of the FE simulation were well formed, but no pinching phenomenon was observed. This is mainly because the FE model of the walls cannot fully simulate the actual behavior of cracks, such as the repeated opening and closing effects of actual cracks under cycle loading. In addition, the elastic–plastic relationships without stiffness degradation used in the finite elements may also contribute to the discrepancy.
The comparison of skeleton curves of the walls between FE simulation and experimental measurements is shown in Figure 21. The trends of the simulation curve and the experimental curve are generally consistent. During the ascending stage, the wall deformation remained in the elastic stage with high stiffness, and the simulation curve aligned well with the experimental curve. After cracking, some discrepancies are observed between them. However, the final ultimate bearing capacity values of the FE models and experimental specimens exhibit minimal differences.
The comparison of the stiffness degradation curves of the PCC and CCC walls between the FE simulation and the experimental results is shown in Figure 22. A good agreement was achieved. The simulated and experimental values of the initial stiffness are very close. As the load increases, the stiffness of the walls degrades rapidly, which is attributed to the typical brittle failure mode exhibited by the walls constrained by constructional columns. Once cracks are developed, they propagate rapidly under subsequent loading.
Based on the FE model, the seismic performance of the wall constrained by constructional columns was numerically calculated and analyzed. The mechanical properties and failure process of the wall under low-cyclic loading were well simulated. The numerical calculation agreed well with the experimental results, which verified the effectiveness of the FE analysis. The FE method can serve as a foundational tool for analyzing various parameter changes and different loads on the constructional column-constrained wall.

5. Conclusions

This study presents a new type of PCC. Quasi-static tests were carried out to evaluate the seismic performance of this PCC wall, and the testing results were compared with the CCC wall. Meanwhile, FE analysis was performed and compared with the experimental results. The main findings are as follows:
(1)
The constructional column was prefabricated in segments and connected by bar splicing and grouting technology. This method ensured reliable connections, high construction efficiency, and a high prefabrication rate exceeding 85%.
(2)
The prefabricated constructional columns were made of recycled lump concrete. The recycled concrete lumps were used to fill in the constructional column, which can replace at least 25% of the new concrete. This approach effectively recycles construction waste and conserves materials, achieving significant economic and environmental benefits.
(3)
The walls constrained by constructional columns uniformly exhibited shear failure, characterized by step-shaped cracks. The PCC wall specimen did not indicate significant damage to the segment connections. The PCC provided a better restraining effect on the wall after cracking, allowing the wall cracks to develop more fully.
(4)
Compared with the CCC wall, the ultimate bearing capacity of the PCC wall decreased by 26.4%. However, the failure displacement of the PCC wall increased by 69.1%, the cumulative energy dissipation capacity improved by 37.96%, and the displacement ductility factor increased by 49.1%. These findings suggest that the proposed PCC wall exhibits superior deformation and ductility capacity.
(5)
The FE method accurately modeled and simulated the mechanical behavior and failure process of masonry walls constrained by constructional columns under cyclic loading. This approach offers a reliable computational method for analyzing the seismic performance of masonry walls.

Author Contributions

Conceptualization, L.Z.; Methodology, L.Z. and H.Z.; Writing—original draft preparation, Z.X. and Y.F.; Writing—review and editing, L.Z.; Supervision, H.Z. All authors have read and agreed to the published version of the manuscript.

Funding

The research presented in this paper is supported by the National Natural Science Foundation of China (Grant No. 52278502, 52078220) and the State Key Laboratory of Subtropical Building Science, South China University of Technology (Grant No. 2022KB13).

Data Availability Statement

The authors believe that all relevant data are already included in the present article. However, if more details are needed, they are available upon request from the corresponding author.

Conflicts of Interest

The authors declare no conflicts of interest.

References

  1. Urlainis, A.; Ornai, D.; Levy, R.; Vilnay, O.; Shohet, I.M. Loss and Damage Assessment in Critical Infrastructures Due to Extreme Events. Saf. Sci. 2022, 147, 105587. [Google Scholar] [CrossRef]
  2. Zhao, B.; Taucer, F.; Rossetto, T. Field Investigation on the Performance of Building Structures during the 12 May 2008 Wenchuan Earthquake in China. Eng. Struct. 2009, 31, 1707–1723. [Google Scholar] [CrossRef]
  3. Marshall, J.D.; Lang, A.F.; Baldridge, S.M.; Popp, D.R. Recipe for Disaster: Construction Methods, Materials, and Building Performance in the January 2010 Haiti Earthquake. Earthq. Spectra 2011, 27 (Suppl. 1), 323–343. [Google Scholar] [CrossRef]
  4. United Nations Office for Disaster Risk Reduction, United Nations Office for Disaster Risk Reduction Global Assessment Report on Disaster Risk Reduction 2024: Forensic Insights for Future Resilience—Learning from Past Disasters; Global Assessment Report on Disaster Risk Reduction (GAR); United Nations: New York, NY, USA, 2024; ISBN 978-92-1-106754-5.
  5. Subedi, M.; Kc, R.; Sharma, K.; Misra, J.; Kc, A. Reconnaissance of the Effects of the MW5.7 (ML6.4) Jajarkot Nepal Earthquake of 3 November 2023, Post-Earthquake Responses, and Associated Lessons to Be Learned. Geosciences 2024, 14, 20. [Google Scholar] [CrossRef]
  6. Xu, G.; Guo, T.; Li, A.; Zhang, H.; Wang, K.; Xu, J.; Dang, L. Seismic Resilience Enhancement for Building Structures: A Comprehensive Review and Outlook. Structures 2024, 59, 105738. [Google Scholar] [CrossRef]
  7. Shahjalal, M.; Yahia, A.K.M.; Morshed, A.S.M.; Tanha, N.I. Earthquake-Resistant Building Design: Innovations and Challenges. Glob. Mainstream J. Innov. Eng. Emerg. Technol. 2024, 3, 101–119. [Google Scholar] [CrossRef]
  8. Hengjian, L.; Kohiyama, M.; Horie, K.; Hayashi, H.; Tanaka, S. Building Damage and Casualties after an Earthquake. Nat. Hazards 2003, 29, 387–403. [Google Scholar] [CrossRef]
  9. Bayraktar, A.; CoŞkun, N.; Yalçin, A. Damages of Masonry Buildings during the July 2, 2004 Doğubayazıt (Ağrı) Earthquake in Turkey. Eng. Fail. Anal. 2007, 14, 147–157. [Google Scholar] [CrossRef]
  10. Kaplan, H.; Bilgin, H.; Yilmaz, S.; Binici, H.; Öztas, A. Structural Damages of L’Aquila (Italy) Earthquake. Nat. Hazards Earth Syst. Sci. 2010, 10, 499–507. [Google Scholar] [CrossRef]
  11. Tapan, M.; Comert, M.; Demir, C.; Sayan, Y.; Orakcal, K.; Ilki, A. Failures of Structures during the October 23, 2011 Tabanlı (Van) and November 9, 2011 Edremit (Van) Earthquakes in Turkey. Eng. Fail. Anal. 2013, 34, 606–628. [Google Scholar] [CrossRef]
  12. Zucca, M.; Reccia, E.; Vecchi, E.; Pintus, V.; Dessì, A.; Cazzani, A. An Evaluation of the Structural Behaviour of Historic Buildings Under Seismic Action: A Multidisciplinary Approach Using Two Case Studies. Appl. Sci. 2024, 14, 10274. [Google Scholar] [CrossRef]
  13. Gattulli, V.; Antonacci, E.; Vestroni, F. Field Observations and Failure Analysis of the Basilica S. Maria Di Collemaggio after the 2009 L’Aquila Earthquake. Eng. Fail. Anal. 2013, 34, 715–734. [Google Scholar] [CrossRef]
  14. Zucca, M.; Crespi, P.G.; Longarini, N.; Scamardo, M.A. The New Foundation System of the Basilica Di Collemaggio’s Transept. Int. J. Mason. Res. Innov. 2020, 5, 67–84. [Google Scholar] [CrossRef]
  15. Silva, L.M.; Vasconcelos, G.; Lourenço, P.B. Innovative Systems for Earthquake-Resistant Masonry Infill Walls: Characterization of Materials and Masonry Assemblages. J. Build. Eng. 2021, 39, 102195. [Google Scholar] [CrossRef]
  16. Lourenco, P.B. Masonry Structures, Overview. In Encyclopedia of Earthquake Engineering; Springer: Berlin/Heidelberg, Germany, 2014; pp. 1–9. ISBN 978-3-642-36197-5. [Google Scholar]
  17. China Architecture & Building Press. Code for Seismic Design of Buildings; China Architecture & Building Press: Beijing, China, 2010. [Google Scholar]
  18. Teguh, M. Experimental Evaluation of Masonry Infill Walls of RC Frame Buildings Subjected to Cyclic Loads. Procedia Eng. 2017, 171, 191–200. [Google Scholar] [CrossRef]
  19. Uva, G.; Porco, F.; Fiore, A. Appraisal of Masonry Infill Walls Effect in the Seismic Response of RC Framed Buildings: A Case Study. Eng. Struct. 2012, 34, 514–526. [Google Scholar] [CrossRef]
  20. Eren, N.; Brunesi, E.; Nascimbene, R. Influence of Masonry Infills on the Progressive Collapse Resistance of Reinforced Concrete Framed Buildings. Eng. Struct. 2019, 178, 375–394. [Google Scholar] [CrossRef]
  21. Zhang, P.; Chen, L.; Wei, T.; Huang, P.; Wang, H.; Chen, X. Multi-Hazard Assessment of Masonry Buildings: A State-of-the-Art Review. Buildings 2024, 14, 3711. [Google Scholar] [CrossRef]
  22. Thakur, A.; Senthil, K. Seismic Performance of Confined Masonry Walls with Different Infill Materials: A Comparative Study. Asian J. Civ. Eng. 2024, 25, 1587–1599. [Google Scholar] [CrossRef]
  23. Gilstrap, J.M.; Dolan, C.W. Out-of-Plane Bending of FRP-Reinforced Masonry Walls. Compos. Sci. Technol. 1998, 58, 1277–1284. [Google Scholar] [CrossRef]
  24. Keshmiry, A.; Hassani, S.; Dackermann, U.; Li, J. Assessment, Repair, and Retrofitting of Masonry Structures: A Comprehensive Review. Constr. Build. Mater. 2024, 442, 137380. [Google Scholar] [CrossRef]
  25. Fang, C.; Li, G.; Zhang, L.; Yang, Z. Experimental and Numerical Investigation on Seismic Performance of Ring-Beam Connection to Gangue Concrete Filled Steel Tubular Columns. Adv. Steel Constr. 2022, 18, 506–516. [Google Scholar] [CrossRef]
  26. Rajput, A.S.; Sharma, U.K. Seismic Behavior of Under Confined Square Reinforced Concrete Columns. Structures 2018, 13, 26–35. [Google Scholar] [CrossRef]
  27. Ci, M.-Y.; Sun, H.-Y.; Qiao, D.-H.; Feng, W.-H.; Wang, R.-C.; Wang, S.-J. Effect of Axial-Load Ratio and Shear-Span Ratio on Seismic Behavior of the Prefabricated Structures for Cast-in-Place RC Boundary Elements Confined Uniform Hollow Panels. J. Build. Eng. 2023, 80, 108053. [Google Scholar] [CrossRef]
  28. Xue, W.; Zhang, B. Seismic Behavior of Hybrid Concrete Beam-Column Connections with Composite Beams and Cast-in-Place Columns. ACI Struct. J. 2014, 111, 617. [Google Scholar] [CrossRef]
  29. Yuan, S.; Lin, H.; Zhu, Z.; Liang, W.; Zou, Z.; Chen, W.; Wei, T.; Cheng, X.; Guo, Z. Study on the Influence of Constructional Column on the Seismic Performance of Infilled Wall Frame Structure. J. Build. Eng. 2023, 63, 105410. [Google Scholar] [CrossRef]
  30. Zhang, X.; Hao, H.; Li, C. Multi-Hazard Resistance Capacity of Precast Segmental Column with Post-Tensioning Tendon under Impact and Cyclic Loading. In Mechanics of Structures and Materials XXIV; CRC Press: Boca Raton, FL, USA, 2019; pp. 558–563. [Google Scholar]
  31. Qing, Y.; Wang, C.-L.; Meng, S.; Zeng, B. Experimental Study on the Seismic Performance of Precast Concrete Columns with Thread-Bolt Combination Couplers. Eng. Struct. 2022, 251, 113461. [Google Scholar] [CrossRef]
  32. Li, Y.; Xue, W.; Jiang, J. Experimental Study on Seismic Performance of Two-Story Two-Bay. Precast Concrete Frame with UHPC-Based Connections. Eng. Struct. 2024, 318, 118793. [Google Scholar] [CrossRef]
  33. Liu, C.; Bai, G.L.; Zhao, H.J. Experimental Research on Seismic Behaviour of Low-Carbon Construction Materials RAC Frame Columns. Adv. Mater. Res. 2011, 194–196, 1958–1961. [Google Scholar] [CrossRef]
  34. Zhang, J.; Tao, X.; Liu, J.; Dong, H.; Cao, W. Seismic Performance of Semi-Precast High-Strength Recycled Aggregate Concrete Columns with High-Strength Reinforcement. J. Build. Eng. 2022, 45, 103528. [Google Scholar] [CrossRef]
  35. Xiao, J.; Pham, T.L.; Ding, T. Shake Table Test on Seismic Response of a Precast Frame with Recycled Aggregate Concrete. Adv. Struct. Eng. 2015, 18, 1517–1534. [Google Scholar] [CrossRef]
  36. Xiao, J.; Huang, X.; Shen, L. Seismic Behavior of Semi-Precast Column with Recycled Aggregate Concrete. Constr. Build. Mater. 2012, 35, 988–1001. [Google Scholar] [CrossRef]
  37. Chen, Z.; Zhou, J.; Li, Z.; Wang, X.; Zhou, X. Seismic Behavior of Concrete-Filled Circular Steel Tubular Column–Reinforced Concrete Beam Frames with Recycled Aggregate Concrete. Appl. Sci. 2020, 10, 2609. [Google Scholar] [CrossRef]
  38. Dong, H.; Li, Y.; Cao, W.; Guo, Y. Seismic Behavior of Full-Scale Steel Reinforced Recycled Concrete Columns under High Axial Compression Ratio. Structures 2021, 29, 1882–1897. [Google Scholar] [CrossRef]
  39. Tang, Y.; Wang, Y.; Wu, D.; Liu, Z.; Zhang, H.; Zhu, M.; Chen, Z.; Sun, J.; Wang, X. An Experimental Investigation and Machine Learning-Based Prediction for Seismic Performance of Steel Tubular Column Filled with Recycled Aggregate Concrete. Rev. Adv. Mater. Sci. 2022, 61, 849–872. [Google Scholar] [CrossRef]
  40. Bagnoli, M.; Grande, E.; Milani, G. Numerical Study of the In-Plane Seismic Response of RC Infilled Frames. Constr. Mater. 2021, 1, 82–94. [Google Scholar] [CrossRef]
  41. Mehrabi, A.B.; Shing, P.B. Finite Element Modeling of Masonry-Infilled RC Frames. J. Struct. Eng. 1997, 123, 604–613. [Google Scholar] [CrossRef]
  42. Kakaletsis, D.J.; Karayannis, C.G. Experimental Investigation of Infilled Reinforced Concrete Frames with Openings. ACI Struct. J. 2009, 106, 132–141. [Google Scholar]
  43. Ahmad, N.; Ahmad, Z.; Rahman, A.A.; Hamid, H.A.; Aziz Fauzi, M.A. Increasing the Capacity of Concrete Column with Integrated Permanent Formwork Using Wood-Wool Cement Board. Appl. Mech. Mater. 2013, 325–326, 1305–1309. [Google Scholar] [CrossRef]
  44. China Architecture & Building Press. Code for Design of Concrete Structures; China Architecture & Building Press: Beijing, China, 2011. [Google Scholar]
  45. China Architecture & Building Press. Technical Standard for Recycled Concrete Structures; China Architecture & Building Press: Beijing, China, 2018. [Google Scholar]
  46. China Architecture & Building Press. Specification for Seismic Test of Buildings; China Architecture & Building Press: Beijing, China, 2015. [Google Scholar]
  47. Yang, W. Constitutive Relationship Model for Masonry Materials in Compression. Build. Struct. 2008, 38, 80–82. (In Chinese) [Google Scholar]
Figure 1. Schematic diagram of PCC and its segments.
Figure 1. Schematic diagram of PCC and its segments.
Buildings 15 00625 g001
Figure 2. Finite element model of PCC segments and the connection.
Figure 2. Finite element model of PCC segments and the connection.
Buildings 15 00625 g002
Figure 3. Load–displacement curve from FE analysis.
Figure 3. Load–displacement curve from FE analysis.
Buildings 15 00625 g003
Figure 4. Crack of the concrete and stress of the reinforcement.
Figure 4. Crack of the concrete and stress of the reinforcement.
Buildings 15 00625 g004
Figure 5. Specimens of the PCC segment.
Figure 5. Specimens of the PCC segment.
Buildings 15 00625 g005
Figure 6. Schematic diagram of the loading experiment.
Figure 6. Schematic diagram of the loading experiment.
Buildings 15 00625 g006
Figure 7. Cracking and failure of the constructional column.
Figure 7. Cracking and failure of the constructional column.
Buildings 15 00625 g007
Figure 8. Load–displacement curve.
Figure 8. Load–displacement curve.
Buildings 15 00625 g008
Figure 9. Strain of the reinforcement.
Figure 9. Strain of the reinforcement.
Buildings 15 00625 g009
Figure 10. Schematic diagram of the loading device.
Figure 10. Schematic diagram of the loading device.
Buildings 15 00625 g010
Figure 11. Masonry wall specimen and the loading devices.
Figure 11. Masonry wall specimen and the loading devices.
Buildings 15 00625 g011
Figure 12. Loading procedure.
Figure 12. Loading procedure.
Buildings 15 00625 g012
Figure 13. Failure mode and crack pattern of the wall specimens. (The red lines in the figure represent cracks generated by pushing the load, while the blue lines represent cracks generated by pulling the load).
Figure 13. Failure mode and crack pattern of the wall specimens. (The red lines in the figure represent cracks generated by pushing the load, while the blue lines represent cracks generated by pulling the load).
Buildings 15 00625 g013
Figure 14. Hysteretic curves of wall specimens.
Figure 14. Hysteretic curves of wall specimens.
Buildings 15 00625 g014
Figure 15. Skeleton curves of the wall specimens.
Figure 15. Skeleton curves of the wall specimens.
Buildings 15 00625 g015
Figure 16. Energy dissipation capacity of the wall specimens.
Figure 16. Energy dissipation capacity of the wall specimens.
Buildings 15 00625 g016
Figure 17. Stiffness degradation curves of the wall specimens.
Figure 17. Stiffness degradation curves of the wall specimens.
Buildings 15 00625 g017
Figure 18. Finite element models of the wall models.
Figure 18. Finite element models of the wall models.
Buildings 15 00625 g018
Figure 19. Distribution of the SDEG of the wall models.
Figure 19. Distribution of the SDEG of the wall models.
Buildings 15 00625 g019
Figure 20. Comparison of the hysteretic curves between FE analysis and experimental results.
Figure 20. Comparison of the hysteretic curves between FE analysis and experimental results.
Buildings 15 00625 g020
Figure 21. Comparison of the simulation and experimental skeleton curves.
Figure 21. Comparison of the simulation and experimental skeleton curves.
Buildings 15 00625 g021
Figure 22. Comparison of the simulation and experimental stiffness degradation curves.
Figure 22. Comparison of the simulation and experimental stiffness degradation curves.
Buildings 15 00625 g022
Table 1. The displacement ductility factor of the wall specimens.
Table 1. The displacement ductility factor of the wall specimens.
Wall SpecimenDisplacement (mm)Ductility Factor
Cracking Displacement ΔcFailure Displacement ΔfΔf/Δc
CCC wall specimen0.9858.9319.07
PCC wall specimen1.11715.10413.52
Disclaimer/Publisher’s Note: The statements, opinions and data contained in all publications are solely those of the individual author(s) and contributor(s) and not of MDPI and/or the editor(s). MDPI and/or the editor(s) disclaim responsibility for any injury to people or property resulting from any ideas, methods, instructions or products referred to in the content.

Share and Cite

MDPI and ACS Style

Zhou, L.; Xie, Z.; Fan, Y.; Zhang, H. Seismic Performance of Prefabricated Constructional Columns Using Recycled Lump Concrete. Buildings 2025, 15, 625. https://doi.org/10.3390/buildings15040625

AMA Style

Zhou L, Xie Z, Fan Y, Zhang H. Seismic Performance of Prefabricated Constructional Columns Using Recycled Lump Concrete. Buildings. 2025; 15(4):625. https://doi.org/10.3390/buildings15040625

Chicago/Turabian Style

Zhou, Linren, Zhibo Xie, Yuanfeng Fan, and Haiyan Zhang. 2025. "Seismic Performance of Prefabricated Constructional Columns Using Recycled Lump Concrete" Buildings 15, no. 4: 625. https://doi.org/10.3390/buildings15040625

APA Style

Zhou, L., Xie, Z., Fan, Y., & Zhang, H. (2025). Seismic Performance of Prefabricated Constructional Columns Using Recycled Lump Concrete. Buildings, 15(4), 625. https://doi.org/10.3390/buildings15040625

Note that from the first issue of 2016, this journal uses article numbers instead of page numbers. See further details here.

Article Metrics

Back to TopTop