Next Article in Journal
Comparative Analysis of Residents’ Willingness to Pay for Diverse Low-Carbon Measures in Hangzhou, China: Implications for Urban Sustainability and Policy
Next Article in Special Issue
Structural Performance and Failure Mechanisms in Bend Loading of Steel-Aerated Concrete Fire Wall Composite Panels
Previous Article in Journal
The Harmonization of Radon Exposure Mitigation for the Sustainability of Buildings: Assessing the Impact of the EURATOM Directive on European Legislation
Previous Article in Special Issue
The Anchorage Performance and Mechanism of Prefabricated Concrete Shear Walls with Closed-Loop Rebar
 
 
Font Type:
Arial Georgia Verdana
Font Size:
Aa Aa Aa
Line Spacing:
Column Width:
Background:
Article

Seismic Behavior of Composite Beam to Concrete-Filled Cold-Formed High-Strength Square Steel Tubular Column Joints with Different Connection Forms

School of Future Cities, University of Science and Technology Beijing, Beijing 100083, China
*
Author to whom correspondence should be addressed.
Buildings 2025, 15(4), 622; https://doi.org/10.3390/buildings15040622
Submission received: 26 January 2025 / Revised: 12 February 2025 / Accepted: 14 February 2025 / Published: 17 February 2025
(This article belongs to the Special Issue Advances in Structural Techniques for Prefabricated Modular Buildings)

Abstract

To enhance the standardization and construction efficiency of prefabricated steel structures and to promote the application of cold-formed steel tubes with the advantages of high standardization, superior mechanical properties, and fast processing speeds, two types of composite beam to concrete-filled cold-formed high-strength square steel tubular column joints with different connection forms were designed in this study: the external diaphragm joint (ED joint) and the through diaphragm joint (TD joint). These joints were subjected to cyclic loading tests to evaluate the influence of the connection designs on key seismic performance parameters, such as failure modes, load-bearing capacities, the degradation of strength and stiffness, ductility, and energy dissipation capabilities. The results show that both the ED and TD joints experienced butt weld fractures at the bolted-welded connections on the beam, effectively transferring the plastic hinges from the joint zone to the beam and demonstrating good seismic performance. The ED joint specimen JD1 and the TD joint specimen JD2 exhibited similar load-bearing capacity, stiffness, strength degradation, and energy dissipation capacity. However, the TD joint showed lower ductility compared to the ED joint due to premature weld fractures. A nonlinear finite element model (FEM) was developed using MSC.MARC 2012, and the numerical simulation showed that the FEM could effectively simulate the hysteresis performance of the composite beam to concrete-filled, cold-formed, high-strength, square, steel tubular column joints with external and through diaphragms.

1. Introduction

Prefabricated structures, characterized by the manufacture of primary components in a factory setting followed by swift assembly at the construction site, have gained extensive adoption due to their benefits in terms of standardized design, industrial production processes, rapid construction, environmental sustainability, and efficient information management. Steel structures, with their ease of fabrication and transportation, superior machinability, lightweight nature, and robust seismic resistance, are inherently suitable for prefabrication, which facilitates the industrialization of construction [1,2].
Steel tubular structures are also a typical type of prefabricated steel construction. Concrete-filled steel tubular (CFST) structures, which are formed by casting concrete into steel tubular columns, have the advantages of high strength and stiffness, fire resistance, good ductility, and formwork saving, leading to their widespread application in mid-to-high-rise prefabricated buildings [3]. For CFST columns, the traditional manufacturing method of steel tubes involves welding four plates at the rounded corners, which not only suffers from welding defects but also results in higher fabrication costs and longer construction time [4,5].
Cold-formed steel tubes, which are manufactured by bending steel plates at room temperature, stand out as an optimal choice for the construction of prefabricated steel structures. Their superior mechanical properties, high fabrication precision, efficient production processes, environmental sustainability, and ease of transportation and handling are pivotal advantages [6,7]. Furthermore, high-strength steels can enhance the structural load-bearing capacity, thereby reducing the size and weight of the components, making them particularly suitable for prefabricated high-rise buildings and long-span bridges [8]. Therefore, it is essential to promote the application of cold-formed high-strength square steel tubular (CHSST) columns within CFST structures to improve structural performance and to advance the standardization of prefabricated construction in civil engineering.
In CFST structures, joints are the most complex, vital, and weakest parts. It is essential to investigate the connection methods between CFST columns and steel or composite beams, as well as their seismic performance [9]. However, because access to the internal face of the steel tubular column is restricted, direct connection using conventional bolted or welded methods becomes impractical [10]. Numerous scholars have researched connection configurations for CFST columns and beams to ensure a rational force transfer mechanism and achieve plastic hinge formation in the beams rather than at the joint region or beam-column interface. The basic forms of beam-to-column joints widely employed in CFST structures are shown in Figure 1, which includes: (1) internal diaphragm joints [11,12] (Figure 1a), (2) through diaphragm joints [13,14,15] (Figure 1b), and (3) external diaphragm joints [16,17,18] (Figure 1c). Previous research has demonstrated that these diaphragm connection joints exhibit excellent stiffness, strength, ductility, and hysteresis capacity, which are suitable for seismic design. Since the cold-forming process will result in the decrease in the ductility of steel tubes, whether the welds between the diaphragms and CHSST columns will suffer brittle failure under earthquake action requires further investigation. Considering the challenges posed by internal diaphragm joints for welding diaphragms inside tubes and pouring concrete, the joints with external diaphragms and through diaphragms were selected as the subjects of this study.
In this study, to further investigate the seismic behavior of composite beam to concrete-filled cold-formed high-strength square steel tubular column joints, two types of joints were designed and subjected to low-cycle loading tests: the joint with external diaphragms (ED joint) and the joint with through diaphragms (TD joint). The impact of these connection forms on the seismic performance of the beam-to-column joints was analyzed, considering various performance indicators, including the failure mode, hysteresis characteristics, load-bearing capacity, ductility, energy dissipation capacity, strength and stiffness degradation, and strain distributions. The suitability of the CHSST columns was examined. Furthermore, a finite element model (FEM) was developed for the tested joints and validated against the experimental results.

2. Experimental Design

2.1. Specimen Design Details

Two full-scale joint specimens between the inflection points of beams and columns in the frame structure were designed based on the Chinese design codes GB 50018-2002 [19] and GB 50011-2010 [20]. Figure 2 shows the design concept and structural diagrams of two types of joints, namely the ED joint and the TD joint. For the ED joint, the external diaphragms were welded around the CHSST column using full penetration groove welding, and they were connected to the web of the beam root through double-sided fillet welds to form the cantilever beam of the joint. For the TD joint, the through diaphragms were connected to the CHSST column using full penetration groove welding, and simultaneously, they were welded to the web of the beam root through double-sided fillet welds to constitute the cantilever beam of the joint.
As shown in Figure 3 and Table 1, the two specimens had uniform dimensions. The height of all specimens was 2500 mm, and the overall span was 5950 mm. The columns were all fabricated using Q460C steel tubes filled with concrete, resulting in concrete-filled, cold-formed, high-strength, square, steel tubular (CCHSST) columns. The primary beam was a single hot-rolled H-section steel beam with a strength grade of Q355B, measuring 2575 mm in length and with a cross-section of 400 × 200 × 8 × 13 mm. Figure 3d,e illustrates the detailed dimensions of the external diaphragms and the through diaphragms, and the thickness of all diaphragms was 14 mm. The cantilever beam, composed of external diaphragms or through diaphragms and the web of the beam root, had a length of 220 mm. The gap between the cantilever beam and the primary beam was 5 mm. The diaphragms and the flanges of the primary beam were connected through full-penetration butt welding. Grade 10.9 M22 high-strength friction bolts were used to connect the webs by web connection plates, with all contact surfaces sandblasted.
The concrete slab dimensions were 5950 mm in length, 1200 mm in width, and 110 mm in thickness. As shown in Figure 4, the slab reinforcement was arranged in two layers, spaced 150 mm apart, consisting of HRB400 steel bars with a diameter of 10 mm. The full shear connection between the concrete slab and the steel beam was achieved by the two rows of ML15-headed studs with a diameter of 19 mm welded on the upper flange of the beam. These studs were spaced 80 mm apart transversely and 150 mm apart longitudinally.

2.2. Material Properties

In accordance with the standard GB/T50081-2002 [21], the mean cubic compressive strengths fcu of the concrete in the slab and the column were determined to be 56.25 MPa and 60 MPa, respectively, and the standard deviations were 1.53 MPa and 2.09 MPa, respectively. The corresponding axial compressive strengths fc were 45 MPa and 48 MPa. Additionally, the elastic modulus Ec for the concrete in the slab and column was 30,000 MPa and 32,500 MPa, respectively. According to the standard GB/T228-2002 [22], the material properties of the CHSST columns, primary beams, external diaphragms, through diaphragms, and HRB400 reinforcing bars are presented in Table 2.

2.3. Test Setup and Loading Protocol

Figure 5 illustrates the experimental setup, which utilized a loading technique at the beam ends. The beam was arranged in a horizontal orientation, whereas the column was erected perpendicular to the floor, with both ends configured as pin-supported. The midpoint of the support was aligned with the center line of the column. A hydraulic jack was used to apply an axial force to the top of the column at a compression ratio of 0.18. Moreover, lateral constraints, attached to a rigid frame, were imposed on the column to avoid torsional movement out of the plane. Displacements of equal magnitude but opposing directions were exerted on the eastern and western beam ends via separate hydraulic jacks that were secured to the rigid frame.
The low-cycle loading test of the joint was conducted in two phases. Initially, a uniform axial compressive force of 1500 kN was imposed on the top surface of the column. Subsequently, antisymmetric cyclic loads were applied to the east and west beam ends using individual hydraulic jacks, which were operated under the loading control recommended by the ANSI/AISC 341-16 standard [23]. The loading displacements of the beam ends are listed in Table 3. The loading direction was defined as positive for clockwise and negative for counterclockwise, as indicated in Figure 5. The test needed to be stopped promptly if the load-bearing capacity fell below 85% of the peak load or if the specimen sustained severe damage.

2.4. Instrumentation Arrangement

The instrumentation arrangement for the two specimens is consistent. Considering the symmetry of the specimens, the strain gauges and strain rosettes were mainly arranged on the east side of the joints. As shown in Figure 6, taking the ED joint specimen JD1 as an example, strain rosettes, numbered ZF1 to ZF8, were placed at the web of the column to observe the shear strain distribution. Strain gauges numbered Z1 to Z6, were located at the flange of the column, while those numbered Y1 to Y10 were at the flange of the beam, and F1 to F8 were at the web of the beam.
Figure 7 illustrates the placement of linear variable displacement transducers (LVDTs) on the specimen for capturing displacement data at key areas. The LVDTs, designated as D1 to D8, were utilized to quantify the displacement at the loading points of the beam ends, the displacement at the column ends, the shear deformation of the joint, as well as the rotation between the beam and the column.

3. Experimental Results and Analysis

3.1. General Observations and Failure Modes

As indicated in Figure 8, both the ED joint specimen JD1 and TD joint specimen JD2 ultimately experienced the butt weld fractures at the bolt-welded connections. The joint zones remained intact during loading, with minimal deformation observed. In the initial loading phase, no obvious deformation was observed in the steel components for all specimens. Between the 1.5% and 2% drift ratios, slight wavy buckling of the flange was observed at the bolted-welded connections on both sides, and the specimens entered the yield state. With increasing drift ratio, the failure processes of the ED joint specimen JD1 and the TD joint specimen JD2 exhibited slight differences.
For the ED joint specimen JD1, at a 3% drift ratio, the wavy buckling of the flange at the bolted-welded connection on both sides further developed. At a 4% drift ratio, the deformation of the flange at the bolted-welded connection progressed, exhibiting pronounced wave-like patterns. Under the first cycle at a 5% drift ratio, upon loading to 114 mm, the partial fracture of the butt weld occurred at the lower flange of the bolted-welded connection on the west side, resulting in a sudden drop in load-bearing capacity and a loud sound. Under the second cycle at a 5% drift ratio, upon loading to +52 mm, the west side experienced a complete fracture of the butt weld, accompanied by a loud noise. At the same loading level, upon loading to −124 mm, the butt weld fracture occurred at the lower flange of the bolted-welded connection on the east side, accompanied by a loud noise and a sudden drop in load-bearing capacity. Ultimately, the ED joint specimen JD1 exhibited butt weld fractures on both sides of the joint, resulting in the beam’s bending failure at the bolted-welded connection.
For the TD joint specimen JD2, under the first cycle at a 3% drift ratio, upon loading to −65 mm, the partial fracture of the butt weld occurred at the lower flange of the bolted-welded connection on the east side, resulting in a sudden drop in load-bearing capacity and a loud sound. Under the second cycle at a 3% drift ratio, upon loading to −80 mm, the east side experienced a complete fracture of the butt weld, accompanied by a loud noise. At a 4% drift ratio, upon loading to +95 mm, the butt weld completely fractured at the lower flange of the bolted-welded connection on the west side, accompanied by a loud noise and a sudden drop in load-bearing capacity. The specimen exhibited early weld fracture and severe brittle failure; thus, the loading was ceased. This may be attributed to the poor processing quality of the butt weld at the bolted-welded connection. Ultimately, the TD joint specimen JD2 exhibited butt weld fractures on both sides of the joint, resulting in the beam’s bending failure at the bolted-welded connection.
Figure 9 depicts the cracking patterns in the concrete slabs for JD1 and JD2. Initially, minor horizontal fissures began to appear in close proximity to the columns. As the drift ratios increased to the range of 1.5% to 2%, the existing fissures widened, and new, relatively minor cracks emerged, predominantly in the vicinity of the joint zone. When the drift ratio reached 3%, transverse cracks began to propagate, especially around the columns, expanding the overall crack pattern. Subsequently, diagonal and longitudinal cracks started to develop on the slab surfaces. At a drift ratio of 4%, the initial cracks extended and widened, with the most pronounced growth observed in the transverse cracks near the column. As the loading continued until the end of the test, full-depth cracks emerged in the slabs, located between the transverse and diagonal cracks, and concrete spalling occurred at the beam root. Nonetheless, transverse cracks persisted as the most extensive and numerous, representing the primary failure mechanism. Across all specimens, the characteristics of bending failure were evident. Throughout the entire loading phase, the concrete within the CHSST columns in the joint zone remained intact, with no evidence of shear failure.
In summary, the failure modes of the composite beam to concrete-filled cold-form high-strength square steel tubular column joints with different connection forms are consistent. Both the ED joint and the TD joint specimens achieved plastic hinge formation on the beam, which significantly reduced the high stress concentration in the joint zone, ultimately preventing damage to the joint zone and demonstrating good seismic performance.

3.2. Hysteresis and Skeleton Curves

Figure 10 and Figure 11 show the hysteresis and skeleton curves for both the west and east sides of the specimens JD1 and JD2. The skeleton curve is the envelope connected by the peak load point of the first cycle of the load-displacement curve. It can be seen that the curves all exhibit tension-compression asymmetry due to the composite action of concrete slabs and steel beams.
Figure 10 illustrates that, during the initial phase of the loading process, the hysteresis loops for both specimens JD1 and JD2 exhibited a complete spindle-like configuration without any pinching effects, indicating superior hysteresis behavior in both connection forms for composite beam to concrete-filled cold-formed high-strength square steel tubular column joints. With continued loading, the hysteresis curves for specimen JD1 began to show a notable pinching trend, in conjunction with the severe cracking of the concrete slab, the buckling of the steel, and the post-yield energy dissipation of the steel. Conversely, specimen JD2 may have experienced an early brittle fracture at the bolted-welded connection on the beam due to weld quality deficiencies, leading to specimen failure and the termination of the loading sequence.
As illustrated in Figure 11, in the early loading stages, the skeleton curves of the ED joint specimens and the TD joint specimens essentially overlap, indicating that the initial stiffness of the two connection forms for composite beam to concrete-filled cold-formed, high-strength square steel tubular column joints is nearly identical, and the load-bearing capacity of the specimens is very similar. Following specimen failure, the skeleton curves begin to diverge. The TD joint specimen JD2 exhibits a sudden drop in the skeleton curve due to premature fracture at the bolted-welded connection on the beam, whereas the ED joint specimen JD1 shows a delayed sudden drop in the skeleton curve.

3.3. Load-Bearing Capacity and Ductility

The key characteristic points of the specimens, such as the yield point (θy, Py), the peak point (θm, Pm), and the ultimate point (θu, Pu), as determined from the skeleton curves, are summarized in Table 4. Ductility is defined as the deformation capacity of a structure during the period when the load-carrying capacity has not been significantly reduced and is an important index for assessing the mechanical performance of a structure under earthquake action [24]. The displacement ductility coefficient, μ, can be calculated using the following equation:
μ = θ u θ y
As shown in Table 4, under positive bending moment, the load-bearing capacities for the west and east sides are 306.0 kN and 300.4 kN for the ED joint specimen JD1, respectively, while they are 320.9 kN and 256.9 kN for the TD joint specimen JD2, respectively. Under negative bending moment, the load-bearing capacities in the west and east sides are 262.6 kN and 271.7 kN, respectively, for the ED joint specimen JD1, and 282.4 kN and 276.6 kN, respectively, for the TD joint specimen JD2. The load-bearing capacities of the joint specimens with the two connection forms differ by approximately 1.8% to 14.5%, indicating a close similarity, which is attributed to the fact that both specimens shared the same failure location.
The average ductility coefficients for the ED joint specimen JD1 and the TD joint specimen JD2 are 2.1 and 1.4, respectively. It is obvious that the ED joint specimen exhibits better ductility compared to the TD joint specimen, which may be attributed to the premature brittle fracture at the bolted-welded connection of the TD joint specimen JD1 due to the poor weld quality.
In summary, the two connection forms of the external diaphragms and the through diaphragms have a minimal impact on the load-carrying capacity of composite beam to concrete-filled cold-formed high-strength square steel tubular column joints. However, the ED joint exhibits superior ductility.

3.4. Stiffness Degradation

To quantitatively assess the degree of stiffness degradation of the specimen, the secant stiffness Kj and stiffness degradation coefficient α of the specimen at the same displacement were introduced. The expressions are as follows [25]:
K j = i = 1 n P j i i = 1 n Δ j i
α = K j K 0
where Kj represents the secant stiffness at the j-th loading level; Pji and Δji represent the peak load and corresponding displacement in the i-th cycle of the j-th loading level, respectively; n represents the number of cycles at the j-th loading level; α represents the stiffness degradation coefficient; K0 represents the initial stiffness.
Figure 12 illustrates the similarity in stiffness between the ED joint specimen JD1 and the TD joint specimen JD2, and the stiffness of all specimens exhibits significant asymmetry due to the presence of the concrete slab. Initially, the specimens exhibited a significantly higher positive stiffness in comparison to the negative stiffness. With the increase in drift ratios, there was a marked reduction in positive stiffness, which correlates with the failure mechanism involving butt weld fractures at the bolted-welded connections on the beams under positive bending, as seen in specimens JD1 and JD2. Conversely, the decrease in load-bearing capacity and stiffness under negative bending was relatively slow, owing to the compression between the steel plates at the fracture sites. The positive stiffness of all specimens ultimately decreased to a nearly level equivalent to the negative stiffness. As shown in Figure 13, the rate of degradation for the positive stiffness exceeded that of the negative stiffness across all specimens.

3.5. Strength Degradation

The degradation in the load-bearing capacity of a structure due to cyclic loading at a constant displacement is known as strength degradation. The strength degradation coefficient, λj, can be computed using the following equation [26]:
λ j = P j 2 P j 1
where P j 1 represents the maximum load in the first cycle of the j-th loading level; and P j 2 represents the maximum load in the second cycle of the j-th loading level.
Figure 14 illustrates the strength degradation curves of the ED joint specimen JD1 and the TD joint specimen JD2. The strength degradation was markedly more rapid under positive bending compared to negative bending. Under positive bending moment, the values of λj for both specimens JD1 and JD2 remained above 0.8 before reaching a drift ratio of 3%. At a drift ratio of 3%, the strength of the TD joint specimen JD2 experienced a significant reduction due to the butt weld fractures at the bolted-welded connection. Additionally, the strength of the ED joint specimen JD1 remained relatively stable until a drift ratio of 5% was reached. At a 5% drift ratio, the butt weld at the bolted-welded connection fractured, resulting in a sudden drop in the strength of specimen JD1 to below 0.4, nearly losing its load-bearing capacity. Under negative bending moment, all specimens exhibited a relatively stable strength degradation behavior, with λj remaining above 0.8 throughout the loading process, which could be attributed to the contact of the steel plates at the fracture locations.

3.6. Energy Dissipation Capacity

The energy dissipation coefficient E is defined as the ratio of the total energy within a hysteresis loop to the elastic energy of the specimen. The equivalent viscous damping coefficient, ζeq, serves as a critical parameter for characterizing the hysteresis curve, and E and ζeq can be determined using the following equations [26]:
E = S A B C D ( S Δ OAE + S Δ OBF )
ζ eq = E 2 π
where O is the origin of the coordinate axis; A and C are the points on the arc of the hysteresis loop; B and D are the endpoints of the hysteresis loop; SABCD is the area of the hysteresis loop ABCD, representing the dissipated energy during that cycle; and SΔODE and SΔOBF represent the areas of the triangles ODE and OBF, as shown in Figure 15, representing the energy stored in an equivalent linear elastic system under static conditions.
Figure 16 presents the cumulative dissipated energy curves throughout the entire loading process for the two specimens. The cumulative energy dissipation curves of the ED joint specimen JD1 and the TD joint specimen JD2 almost coincide, indicating a very similar energy dissipation capacity. Throughout the loading process, the cumulative dissipated energy of the specimens gradually and steadily increases with the sequential occurrence of concrete cracking, steel buckling deformation, and yielding at the plastic hinge locations on the beam until the end of the test.
Table 5 shows the energy dissipation coefficient E and the equivalent viscous damping coefficient ζeq for the peak load cycle of the specimens. The joint specimens with the two connection forms exhibit similar energy dissipation capacities, showing a negligible difference between the respective energy dissipation coefficient E and equivalent viscous damping coefficient ζeq. Both connection forms of the joint specimens demonstrate favorable energy dissipation capabilities, and the development of plastic hinges on the beam suggests a safer structural design.
In summary, the energy dissipation capacity of the TD joint specimen JD2 was less than that of the ED joint JD1, primarily due to the smaller accumulated plastic deformation and premature fracture of the weld, which resulted in the cessation of loading in the test.

3.7. Analysis of Strain

3.7.1. Strain Analysis of the Beam

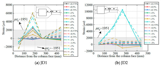
Figure 17 depicts the strain distributions along the length of the beam flanges for specimens JD1 and JD2. During the elastic loading stage, the differences in flange strain along the length of the beam were minimal. However, when the plastic phase was reached, the flange strain at the bolted-welded connection increased significantly and ultimately far surpassed the yield strain (μεy = 1951). In contrast, the strain growth rates at other locations were slower, with the majority not reaching the yield strain, which is consistent with the observed phenomenon of butt weld fractures in the tested specimens.
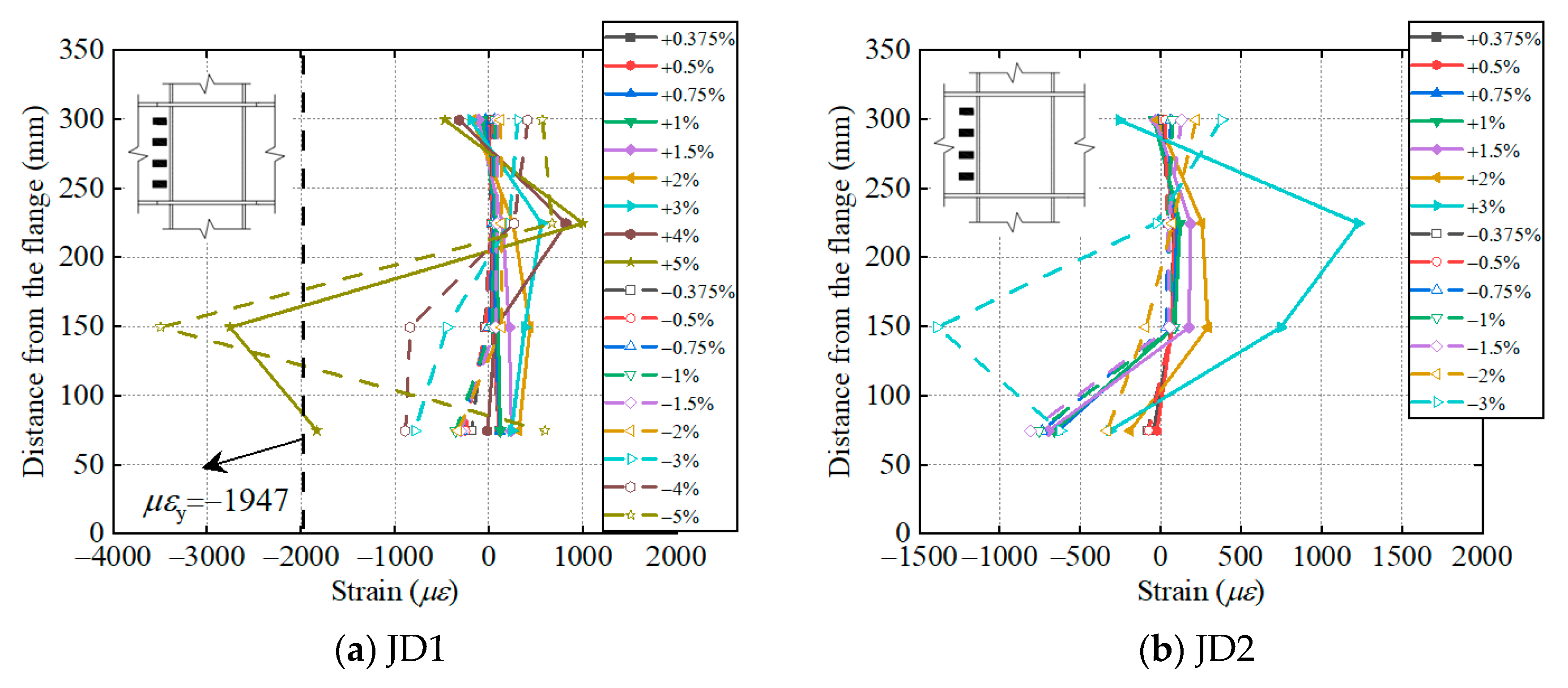
Figure 18 shows the web strain along the height of the cantilever beam root for the specimens. The web strain of specimens JD1 and JD2 increased slowly during the loading process, with nearly all areas remaining elastic. This is consistent with the observed phenomenon in the tests of specimens JD1 and JD2, where failures occurred at the bolted-welded connection, while there was almost no significant deformation at the beam root. It is indicated that both the ED joint specimen and the TD joint specimen can effectively prevent stress concentration at the beam-column connections.

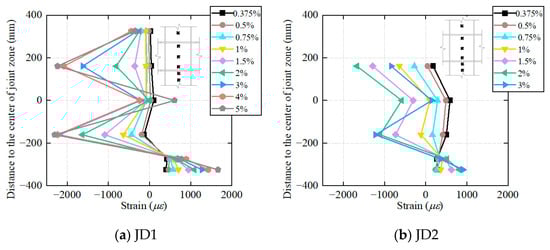
3.7.2. Strain Analysis of the Column

To investigate the stress in the joint zone for the two types of joints, the strains in the column flange and web were analyzed along the column height. Figure 19 and Figure 20 present the strain distributions measured by the strain gauges Z1 to Z6 and the shear strain distributions from the strain rosettes ZF3 to ZF8, respectively, with the Y-axis indicating the vertical distance from each strain gauge to the center of the joint zone. The shear strain was calculated as follows:
γ xy = ε 0 ° 2 ε 45 ° + ε 90 °
As depicted in Figure 19 and Figure 20, both the flange strain of the columns and the shear strain within the joint zone for specimens JD1 and JD2 were relatively low, with the maximum recorded strains below the yield strain threshold. It is indicated that shear damage did not occur in the joint zone of specimens JD1 and JD2, which is consistent with the experimental observations.
In conclusion, the maximum stress for both the ED joint and TD joint specimens occurred at the butt weld between the diaphragm and the primary beam, effectively avoiding stress concentration in the joint zone and achieving the design objective of relocating the plastic hinge to the beam.

4. Numerical Simulation

4.1. Modeling Setup

The finite element analysis (FEA) software MSC.MARC 2012 was used to simulate the seismic behavior of the ED joint specimen JD1 and the TD joint specimen JD2. The geometric dimensions of the model matched those of the tested specimens. To enhance computational efficiency, a 1/4 scale model was developed considering the symmetry of the specimen. Figure 21 illustrates the mesh and boundary conditions of the whole model. Figure 22 shows the detailed modeling of the joint zone for the ED joint and the TD joint, respectively. The concrete slab, CHSST column, infilled concrete, primary beam, external diaphragms, through diaphragms, web connection plates, and high-strength friction bolts were all simulated using the hexahedral 8-node element provided by MSC.MARC 2012. The mesh size was set to approximately 25 mm, based on a mesh sensitivity analysis. In the 1/4 scale model, translation along the Y-axis and rotations around the X and Z axes were constrained on the XOZ plane and YOZ plane.
Consistent with the experimental setup, three translational degrees of freedom at the bottom of the column, as well as the rotational degrees of freedom around the X-axis and Z-axis, were restricted to simulate the hinged boundary conditions at the column foot. Similarly, a node above the top surface of the column, whose three translational degrees of freedom and the rotation around the X- and Z-axes were restricted, was coupled with the other nodes at the top surface through a rigid connection (Tie). Moreover, the axial force was applied to the node to simulate an axial compression ratio of 0.18.

4.2. Interface

Figure 23a illustrates that, at the interface between the column and the infilled concrete, except for the joint zone, a common node strategy was applied across all regions, which involved tying all degrees of freedom at the nodes, thereby integrating the two components effectively. This simplification was deemed appropriate since the tests indicated no considerable separation or slippage at this interface. Similarly, as shown in Figure 23b, the common node strategy was also used for the interface between the column and beam to simulate the welds. However, the test findings suggested that the column wall within the joint zone might undergo separation from the infilled concrete when subjected to tension. Consequently, as shown in Figure 23c, the contact method provided by the MSC.MARC 2012 was implemented at the interface between the column and the infilled concrete within the joint zone to account for this behavior.
The top flanges of the steel beams were securely attached to the concrete slabs via shear studs. To simulate the interface behavior, the element nodes of the top flanges and concrete, where shear studs were located, were tied in the normal direction and linked by nonlinear springs in the tangential direction in the FEA. The distance between the steel and concrete was set to zero. Where there were no studs in the top flanges, the contact technique in the MSC.MARC 2012 was employed to handle the interface, as shown in Figure 23d.
Figure 24 shows the shear force-displacement relationship of studs proposed by Ollgaard et al. [27], the expression of which is as follows:
V = V u 1 e n s m
where V and s represent the shear force and shear displacement of the studs, respectively; m and n represent the parameters controlling the curve shape, taken as 0.558 and 1 mm−1, respectively, in this study [28]; and Vu is the shear capacity of the studs calculated as follows [29]:
V u = 0.43 A s E c f c 0.7 A s γ f
where As represents the cross-sectional area of shear studs; f represents the tensile strength of shear studs, taken as 215 MPa for ML15 studs used in this study; and γ represents the ratio of the minimum tensile strength to the yield strength of shear studs, taken as 1.67.
The webs of the cantilever beams and the primary beams were connected by the web connection plates on both sides and high-strength bolts. A preload of 190 kN was applied to the M22 grade bolts, which was simulated through temperature-induced stress.

4.3. Material Properties

The concrete in the column is usually treated as confined concrete due to the confinement effect of the CHSST column. The constitutive model of the confined concrete proposed by Han [30] is shown in Figure 25a. The relationship between compressive stress and strain can be expressed as follows:
σ = 2 f cc [ 2 ε ε cc ( 2 ε ε cc ) 2 ] ε ε cc f cc ε ε cc β ( ε ε cc 1 ) η + ε ε cc ε > ε cc
where σ and ε represent the compressive stress and strain of concrete; fcc′ and εcc represent the peak compressive stress and strain of the confined concrete; and β and η represent curve shape controlling factors. The calculation equations for β, η, fcc′, εcc, and ξ are as follows:
β = ( f c ) 0.1 1.35 1 + ξ ξ 3 ( f c ) 0.1 1.35 1 + ξ ( ξ 2 ) 2 ξ > 3
η = 1.6 + 1.5 / ( ε / ε cc )
f cc = 1 + ( 0.0135 ξ 2 + 0.1 ξ ) ( 24 / f c ) 0.45 f c
ε cc = ( 1300 + 12.5 f c ) + 1330 + 760 ( f c / 24 1 ) ξ 0.2
ξ = A s f y A c f ck
where fc′ represents the cylinder compressive strength of the concrete; ξ represents the coefficient of confinement effect; fy represents the yield strength of the CHSST column; fck represents the standard value of the axial compressive strength of the concrete; and As and Ac represent the cross-sectional areas of the CHSST column and the infilled concrete, respectively.
The relationship between the compressive stress and strain of reinforced concrete in the slabs proposed by Hognestad et al. [31] is shown in Figure 25b, which can be expressed as follows:
σ = f c [ 2 ε ε 0 ( ε ε 0 ) 2 ] ε ε 0 f c ( 1 0.15 ε ε 0 ε cu ε 0 ) ε > ε 0
where fc, ε0, and εcu represent the peak compressive stress, peak compressive strain, and ultimate compressive strain of concrete, respectively.
The smeared crack model with the fixed angle crack assumption [32] was adopted to simulate the tensile performance of concrete. The crack band theory proposed by Bažant and Oh [33] was utilized to minimize the impact of size effects on analysis results. As illustrated in Figure 25, the tensile softening behavior of concrete can be characterized by the tensile stress σ-crack width ω curve, which is simplified to be linear. The area bounded by the σ-ω curve and the coordinate axes was defined as the fracture energy Gf, which represented the energy dissipated per unit of the cross-sectional area throughout the opening of a crack. The fracture energy was a fixed concrete material property related to the aggregate size and compressive strength, which was calculated by the following equation recommended by the CEB-FIP model code [34]:
G f = 73 f c 0.18
The cracking stress of concrete ft is determined as follows [34]:
f t = 0.26 f cu 2 / 3
Based on the definition of the fracture energy, the tensile softening modulus Ets and the ultimate tensile strain εtu can be obtained as follows [35]:
E ts = 1 2 G f f t 2 l m 1 E c
ε tu = 2 G f f t l m
where lm represents the average crack spacing and can be calculated according to the research of Tao [36]:
l m = 1 α A e t 6 f c 0.3 134170 ρ 2 10958 ρ + 339
where Ae represents the effective tensile area of concrete; t represents the minimum protective layer thickness, including the radius of the reinforcements; ρ represents the reinforcement ratio; and α represents the ratio of bond stress to the tensile strength of concrete, which is assigned 6.41 in this study.
The bilinear model was used for the steel material of CHSST columns, the primary beams, the cantilever beams, and the reinforcements. The yield strength fy, ultimate strength fu, and modulus of elasticity Es in the model were determined by the material tests provided in Table 2.

4.4. Verification of FEA Results

Figure 26 presents the hysteretic and skeleton curves for the ED joint and TD joint specimens from test and FEA results. The FEA curves were in good agreement with experimental curves, including an abrupt drop in load-bearing capacity under positive loading, which was attributed to weld fractures at the bolted-welded connection. The initial stiffness and the fullness of the hysteresis loops in FEA results were slightly greater than those observed in experimental data, and these discrepancies were within acceptable limits. Overall, the established numerical model could predict the seismic performance of the joints with good accuracy.
Figure 27 and Figure 28 illustrate the equivalent von Mises stress distribution of steel beams and columns in specimens JD1 and JD2 at the yield point, peak point, and ultimate point.
For the ED joint specimen JD1, when the specimen reached the yield point, the lower flange weld at the bolted-welded connection first achieved full-section yield, with localized ultimate strength attainment at the weld center and edges, whereas minimal yielding was observed at the beam-column interface. At the peak load, yielding propagated along the lower flange, leading to full-width ultimate strength across the butt weld, while the beam-column interface exhibited expanded plastic zones, consistent with the experimental observation of weld fracture. At the ultimate stage, stress concentrations intensified at both the bolted-welded connection and the beam-column interface.
For the TD joint specimen JD2, a similar stress distribution pattern was observed: at the yield point, the lower flange weld reached full-section yield first, with critical regions attaining ultimate strength; at the peak load, yielding extended longitudinally from the bolted-welded connection toward the beam-column interface, accompanied by full-width weld ultimate strength; and at the ultimate stage, severe stress concentration developed exclusively at the bolted-welded connection. Throughout loading, the joint zones exhibited negligible stress concentrations, a finding that was consistent with the experimental observations in the specimen.
The failure locations and damage progression predicted by FEA agreed well with test results, further demonstrating the validity and reliability of the numerical model.

5. Conclusions

Based on the results from low cyclic loading tests and FEA for composite beam to concrete-filled cold-formed high-strength square steel tubular column joints with different connection forms, the following conclusions can be drawn.
(1)
The test results indicate that both the composite beam to concrete-filled cold-formed high-strength square steel tubular column joints with external diaphragms and through diaphragms experienced butt weld fractures, resulting in bending failures at the bolted-welded connections on the beams.
(2)
Both the ED joint and TD joint achieved the transfer of plastic hinges from the joint zone to the beam, thereby preventing the failure of the joint zone and ensuring structural safety, demonstrating good seismic performance.
(3)
The ED joint specimen JD1 and the TD joint specimen JD2 exhibited similar failure modes and very close seismic performance indicators, including load-bearing capacity, stiffness, strength degradation, and energy dissipation capacity. However, due to premature weld fractures, the TD joint exhibited lower ductility compared to the ED joint.
(4)
Refined numerical models of composite beam to concrete-filled cold-formed high-strength square steel tubular column joints with different connection forms were established. The FEA results closely matched experimental data, including failure patterns, load-displacement curves, and hysteresis characteristics. The comparison indicated that the numerical model can provide accurate predictions and is suitable for further analysis.
(5)
The results are limited to specific specimens; future studies will explore structural scales, material grades, and construction environments through testing and FEA to enhance broader applicability.

Author Contributions

Writing, J.G.; analysis, J.G.; model, J.G.; reviewing and editing, L.S.; validation, L.S.; conceptualization, H.Z.; Supervision, H.Z.; Methodology, H.Z.; investigation, X.H. All authors have read and agreed to the published version of the manuscript.

Funding

This research was funded by the National Natural Science Foundation of China (Grant Nos. 52308133 and 52408149).

Informed Consent Statement

Informed consent was obtained from all subjects involved in the study.

Data Availability Statement

Some or all data, models, or code that support the findings of this study are available from the corresponding author upon reasonable request.

Acknowledgments

The authors express their thanks to the people helping with this work, and acknowledge the valuable suggestions from the peer reviewers.

Conflicts of Interest

The authors declare no conflict of interest.

References

  1. Liu, X.C.; He, X.N.; Zhang, A.L.; Tian, C.; Zhang, X.; Tan, Y. Design and specification compilation of a modular prefabricated high-rise steel frame structure with diagonal braces part II: Elasticplastic time-history analysis and joint design. Struct. Des. Tall Spec. Build. 2017, 27, e1414. [Google Scholar] [CrossRef]
  2. Liu, X.C.; He, X.N.; Zhang, A.L.; Tian, C.; Zhang, X.; Tan, Y. Design and compilation of specifications for a modular-prefabricated high-rise steel frame structure with diagonal braces Part I: Integral structural design. Struct. Des. Tall Spec. Build. 2017, 27, e1415. [Google Scholar] [CrossRef]
  3. Han, L.H.; Li, W.; Bjorhovde, R. Developments and advanced applications of concrete filled steel tubular (CFST) structures: Members. J. Constr. Steel Res. 2014, 100, 211–228. [Google Scholar] [CrossRef]
  4. Liu, D.; Gho, W.M.; Yuan, J. Ultimate capacity of high-strength rectangular concrete-filled steel hollow section stub columns. J. Constr. Steel Res. 2003, 59, 1499–1515. [Google Scholar] [CrossRef]
  5. Hassanein, M.F.; Shao, Y.B.; Zhang, J.H.; Cashell, K.A.; Elsisy, A.R. Global buckling behaviour and design of square cold-formed concrete-filled dual steel stiffened slender columns. J. Constr. Steel Res. 2024, 218, 108706. [Google Scholar] [CrossRef]
  6. Meng, X.; Whitfield, S.; Boudjabeur, S.; Gardner, L. Stability of hot-finished and cold-formed steel hollow section columns: A comparative study. Structures 2024, 68, 107192. [Google Scholar] [CrossRef]
  7. Yuan, T.; Yang, Q.L. Application and investigation of the cold-rolling steel in architectural field at home and abroad. World Build. Mater. 2010, 31, 120–122. (In Chinese) [Google Scholar]
  8. Li, G.; Chen, B.; Yang, Z.; Feng, Y. Experimental and numerical behaviour of eccentrically loaded high strength concrete filled high strength square steel tube stub columns. Thin-Walled Struct. 2018, 127, 483–499. [Google Scholar] [CrossRef]
  9. Wang, S.; Zhou, T.; He, D.; Zhao, W.; Liao, T.; Sang, L. Flexural performance of cold-formed square tube splice joints connected by self-tapping screws. Structures 2024, 63, 106404. [Google Scholar] [CrossRef]
  10. Thai, H.T. Beam-to-CFST column joints in steel-concrete composite buildings: A comprehensive review. Structures 2024, 68, 107123. [Google Scholar] [CrossRef]
  11. Qin, Y.; Chen, Z.; Wang, X. Experimental investigation of new internal-diaphragm connections to CFT columns under cyclic loading. J. Constr. Steel Res. 2014, 98, 35–44. [Google Scholar] [CrossRef]
  12. Zhang, N.; Jiang, S.; Chen, X.; Bao, L.; Zhou, F.; Zhao, H.; Shi, G. Experimental study on seismic behaviour of thick-flange steel beam to square CFST column joints with internal diaphragms. Eng. Struct. 2024, 319, 118792. [Google Scholar] [CrossRef]
  13. Fan, J.; Li, Q.; Nie, J.; Zhou, H. Experimental study on the seismic performance of 3D joints between concrete-filled square steel tubular columns and composite beams. J. Struct. Eng. 2014, 140, 04014094. [Google Scholar] [CrossRef]
  14. Qin, Y.; Chen, Z.; Yang, Q.; Shang, K. Experimental seismic behavior of through-diaphragm connections to concrete-filled rectangular steel tubular columns. J. Constr. Steel Res. 2014, 93, 32–43. [Google Scholar] [CrossRef]
  15. Yu, Y.; Nie, X.; Zhang, C.; Ding, F.; Guo, W. Seismic behavior of bottom-flange-bolted type through-diaphragm connection considering the slab effect. Eng. Struct. 2021, 229, 111642. [Google Scholar] [CrossRef]
  16. Dessouki, A.K.; Yousef, A.H.; Fawzy, M.M. Investigation of in-plane moment connections of I-beams to square concrete-filled steel tube columns under gravity loads. HBRC J. 2015, 11, 43–56. [Google Scholar] [CrossRef]
  17. Zhu, W.; Feng, C.; Liu, Y.; Yan, B. Seismic behavior of exterior-diaphragm CFSST connections with or without PBL. Eng. Struct. 2022, 270, 114923. [Google Scholar] [CrossRef]
  18. Tong, L.; Huang, J.; Wang, K.; Wu, H.; Liu, B.; Zheng, J.; Sun, J. Hysteretic behavior of small-size outer ring joints between concrete- filled rectangular tubular columns and H-shaped beams. J. Build. Struct. 2023, 44, 142–153. [Google Scholar]
  19. GB 50018-2002; Technical Code of Cold-Formed Thin-Wall Steel Structures. China Architecture and Building Press: Beijing, China, 2002.
  20. GB 50011-2010 (2016 edition); Code for Seismic Design of Buildings. China Architecture and Building Press: Beijing, China, 2016.
  21. GB/T50081-2002; Standard for Method of Mechanical Properties on Ordinary Concrete. China Building Industry Press: Beijing, China, 2002.
  22. GB/T228-2002; Metallic Materials-Tensile Testing at Ambient Temperatures. Standards Press of China: Beijing, China, 2002.
  23. ANSI/AISC 341-22; Seismic Provisions for Structural Steel Buildings. American Institute of Steel Construction: Chicago, IL, USA, 2022.
  24. Guo, J.; Shi, Q.; Li, T.; Ma, G. Mechanical performance of hybrid high-strength steel composite cellular beam under low cyclic loading. J. Constr. Steel Res. 2023, 203, 107801. [Google Scholar] [CrossRef]
  25. Zhang, Y.; Li, B.; Li, Z.; Ma, G.; Liu, Y. Seismic performance of interior beam-column joints in reinforced glazed hollow bead insulation concrete frames. Eng. Struct. 2021, 228, 111494. [Google Scholar] [CrossRef]
  26. JGJ/T 101—2015; Specification for Test Methods of Seismic Buildings. China Architecture and Building Press: Beijing, China, 2015.
  27. Ollgaard, J.G.; Slutter, R.G.; Fisher, J.W. Shear strength of stud connectors in lightweight and normal-weight concrete. AISC Eng. J. 1971, 8, 55–64. [Google Scholar] [CrossRef]
  28. Johnson, R.P.; Molenstra, N. Partial shear connection in composite beams for buildings. ICE Proc. 1991, 91, 679–704. [Google Scholar] [CrossRef]
  29. GB50017-2017; Standard for Design of Steel Structures. China Architecture and Building Press: Beijing, China, 2017.
  30. Han, L.H. Concrete Filled Steel Tubular Structures: Theory and Practice, 2nd ed.; Science Press: Beijing, China, 2007. [Google Scholar]
  31. Hognestad, E.; Hanson, N.W.; McHenry, D. Concrete stress distribution in ultimate strength design. ACI J. Proc. 1955, 52, 455–480. [Google Scholar]
  32. Rots, J.G.; Blaauwendraad, J. Crack models for concrete, discrete or smeared? Fixed, multi-directional or rotating? HERON 1989, 34, 1–59. [Google Scholar]
  33. Bažant, Z.P.; Oh, B.H. Crack band theory for fracture of concrete. Matériaux Et Constr. 1983, 16, 155–177. [Google Scholar] [CrossRef]
  34. Comité Euro-International du Béton-Fédération International de la Précontrainte (CEB-FIP). CEB-FIP Model Code 2010, Design Code; Thomas Telford: London, UK, 2010. [Google Scholar]
  35. Tao, M.X.; Nie, J.G. Multi-scale modeling for deformation mechanism analysis of composite joint substructures. Eng. Struct. 2016, 118, 55–73. [Google Scholar] [CrossRef]
  36. Tao, M.X. Principles and Analysis of Reinforced Concrete; China Architecture & Building Press: Beijing, China, 2023. (In Chinese) [Google Scholar]
Figure 1. H-steel beam to CFST column joints.
Figure 1. H-steel beam to CFST column joints.
Buildings 15 00622 g001
Figure 2. Design concept and structural diagrams of the two types of joints.
Figure 2. Design concept and structural diagrams of the two types of joints.
Buildings 15 00622 g002
Figure 3. Detailed dimensions of the joint specimens (units: mm).
Figure 3. Detailed dimensions of the joint specimens (units: mm).
Buildings 15 00622 g003
Figure 4. Reinforcement layout in the specimens (units: mm).
Figure 4. Reinforcement layout in the specimens (units: mm).
Buildings 15 00622 g004
Figure 5. Test setup.
Figure 5. Test setup.
Buildings 15 00622 g005
Figure 6. Layout of strain gauges and rosettes (units: mm).
Figure 6. Layout of strain gauges and rosettes (units: mm).
Buildings 15 00622 g006
Figure 7. LVDTs on the specimen (units: mm).
Figure 7. LVDTs on the specimen (units: mm).
Buildings 15 00622 g007
Figure 8. Damage phenomenon of the steel components.
Figure 8. Damage phenomenon of the steel components.
Buildings 15 00622 g008
Figure 9. Cracking patterns of concrete slab.
Figure 9. Cracking patterns of concrete slab.
Buildings 15 00622 g009
Figure 10. Hysteresis curves of specimens.
Figure 10. Hysteresis curves of specimens.
Buildings 15 00622 g010
Figure 11. Skeleton curves of specimens.
Figure 11. Skeleton curves of specimens.
Buildings 15 00622 g011
Figure 12. Secant stiffness of specimens.
Figure 12. Secant stiffness of specimens.
Buildings 15 00622 g012
Figure 13. Stiffness degradation coefficient of specimens.
Figure 13. Stiffness degradation coefficient of specimens.
Buildings 15 00622 g013
Figure 14. Strength degradation curves of specimens.
Figure 14. Strength degradation curves of specimens.
Buildings 15 00622 g014
Figure 15. Definition of energy dissipation.
Figure 15. Definition of energy dissipation.
Buildings 15 00622 g015
Figure 16. Cumulative energy dissipation curves.
Figure 16. Cumulative energy dissipation curves.
Buildings 15 00622 g016
Figure 17. Strain distribution along the length of the beam flanges for the specimens.
Figure 17. Strain distribution along the length of the beam flanges for the specimens.
Buildings 15 00622 g017
Figure 18. Strain distribution along the height of the beam webs for the specimens.
Figure 18. Strain distribution along the height of the beam webs for the specimens.
Buildings 15 00622 g018
Figure 19. Strain distribution along the height of the column flanges for the specimens.
Figure 19. Strain distribution along the height of the column flanges for the specimens.
Buildings 15 00622 g019
Figure 20. Shear strain along the column height in the joint zone of the specimens.
Figure 20. Shear strain along the column height in the joint zone of the specimens.
Buildings 15 00622 g020
Figure 21. Mesh and boundary conditions of the model.
Figure 21. Mesh and boundary conditions of the model.
Buildings 15 00622 g021
Figure 22. Detailed modeling of the joint zone.
Figure 22. Detailed modeling of the joint zone.
Buildings 15 00622 g022
Figure 23. Modeling of different interfaces.
Figure 23. Modeling of different interfaces.
Buildings 15 00622 g023
Figure 24. Shear force-displacement relationship of connectors at the interfaces.
Figure 24. Shear force-displacement relationship of connectors at the interfaces.
Buildings 15 00622 g024
Figure 25. Constitutive model of concrete.
Figure 25. Constitutive model of concrete.
Buildings 15 00622 g025
Figure 26. Comparison of hysteresis curves in tests and FEA.
Figure 26. Comparison of hysteresis curves in tests and FEA.
Buildings 15 00622 g026
Figure 27. Comparison of the failure mode in JD1 between tests and FEA.
Figure 27. Comparison of the failure mode in JD1 between tests and FEA.
Buildings 15 00622 g027
Figure 28. Comparison of the failure mode in JD2 between tests and FEA.
Figure 28. Comparison of the failure mode in JD2 between tests and FEA.
Buildings 15 00622 g028
Table 1. Characteristics of the test specimens.
Table 1. Characteristics of the test specimens.
SpecimenCross-SectionJoint Type
CHSST Column (mm)Primary Beam (mm)
JD1350 × 350 × 10400 × 200 × 8 × 13ED joint
JD2350 × 350 × 10400 × 200 × 8 × 13TD joint
Table 2. Material properties of the steel plates and reinforcements.
Table 2. Material properties of the steel plates and reinforcements.
Steel ComponentsDiameter or Thickness (mm)Yield Strength fy (MPa)Ultimate Strength fu (MPa)Elasticity Modulus Es (MPa)
Mean ValueStandard Deviation
CHSST column1049437.07710185,539
1655134.00723186,289
2051135.53704201,718
External/Through diaphragm143882.75641207,645
Cantilever beam web83635.49610186,485
Primary beam flange133952.28643202,480
Primary beam web83996.12642219,558
Reinforcing bars104988.61696201,203
Table 3. Loading protocols.
Table 3. Loading protocols.
Loading
Level
Drift Ratio
(%)
Beam end
Displacement (mm)
Loading
Cycles
10.37510.376
20.513.836
30.7520.746
41.027.654
51.541.482
62.055.302
73.082.952
84.0110.602
95.0138.252
Table 5. Energy dissipation capacity at peak load for the specimens.
Table 5. Energy dissipation capacity at peak load for the specimens.
SpecimenBeam EndEquivalent Viscous Damping Coefficient ζeq
JD1East0.26
West0.23
JD2East0.25
West0.26
Table 4. Mechanical properties of the main characteristic points of the specimens.
Table 4. Mechanical properties of the main characteristic points of the specimens.
SpecimenBeam EndLoading
Direction
Yield PointPeak PointUltimate Pointµ μ ¯
Py (kN)θy (%)Pm (kN)θm (%)Pu (kN)θu (%)
JD1West+242.51.90306.03.93260.14.202.22.1
−232.2−2.33−262.6−3.00−223.2−4.90
East+2382.64271.74.01267.45.082.0
−241.2−2.39−300.4−4.89−300.4−4.89
JD2West+263.72.03320.93.00272.73.031.31.4
−265.8−2.91−282.4−3.01−274.8−3.02
East+255.92.81276.63.02276.63.191.4
−237.2−1.56−256.9−2.21−218.4−2.44
+ is the clockwise direction the tests. − is the counterclockwise direction in the tests.
Disclaimer/Publisher’s Note: The statements, opinions and data contained in all publications are solely those of the individual author(s) and contributor(s) and not of MDPI and/or the editor(s). MDPI and/or the editor(s) disclaim responsibility for any injury to people or property resulting from any ideas, methods, instructions or products referred to in the content.

Share and Cite

MDPI and ACS Style

Guo, J.; Sun, L.; Zhao, H.; Hu, X. Seismic Behavior of Composite Beam to Concrete-Filled Cold-Formed High-Strength Square Steel Tubular Column Joints with Different Connection Forms. Buildings 2025, 15, 622. https://doi.org/10.3390/buildings15040622

AMA Style

Guo J, Sun L, Zhao H, Hu X. Seismic Behavior of Composite Beam to Concrete-Filled Cold-Formed High-Strength Square Steel Tubular Column Joints with Different Connection Forms. Buildings. 2025; 15(4):622. https://doi.org/10.3390/buildings15040622

Chicago/Turabian Style

Guo, Jiangran, Longhui Sun, He Zhao, and Xihan Hu. 2025. "Seismic Behavior of Composite Beam to Concrete-Filled Cold-Formed High-Strength Square Steel Tubular Column Joints with Different Connection Forms" Buildings 15, no. 4: 622. https://doi.org/10.3390/buildings15040622

APA Style

Guo, J., Sun, L., Zhao, H., & Hu, X. (2025). Seismic Behavior of Composite Beam to Concrete-Filled Cold-Formed High-Strength Square Steel Tubular Column Joints with Different Connection Forms. Buildings, 15(4), 622. https://doi.org/10.3390/buildings15040622

Note that from the first issue of 2016, this journal uses article numbers instead of page numbers. See further details here.

Article Metrics

Back to TopTop