Abstract
A visual deformation prediction method was proposed to improve the accuracy and visualization of the surrounding rock deformation prediction in tunnel construction, combining the Variational Modal Decomposition (VMD) and Bidirectional Long- and Short-Term Memory (BiLSTM) network. Based on the VMD method to decompose the measured data of tunnel surrounding rock deformation, the BiLSTM model was used to predict the final deformation value. The prediction results were also embedded into the tunnel’s Building Information Modeling (BIM) as plug-ins, and the data were visualized through graphs and color warnings. Taking the measured data of the arch settlement of the Loushan tunnel as an example, the results showed that the prediction results were more consistent with the measured situation, and the visualization expression could effectively warn of the risk of vault settlement in the construction stage. This study realized the combined use of surrounding rock deformation prediction and BIM technology, which could be used as a reference for similar projects.
1. Introduction
Urbanization has brought new challenges to the transport capacity of road tunnels, and the existing tunnels can no longer meet the transport demand. The expansion of existing tunnels can effectively increase the capacity by dismantling the original tunnel structure and enlarging the tunnel cross-section. During construction, the original force equilibrium will be destroyed, leading to the surrounding rock’s deformation and the supporting structure’s instability. Therefore, it is crucial to predict and visualize the deformation of the tunnel surrounding rock during construction [1,2].
Currently, there are two methods for predicting the deformation of tunnel surrounding rock. One is to analyze the factors causing deformation, establish a mathematical model, or calculate the deformation value by empirical formula method for prediction [3,4,5]. The other category uses mathematical statistical analysis methods to analyze the intrinsic laws of the surrounding rock deformation monitoring data and then predict the deformation values [6,7,8]. Artificial intelligence algorithms belong to the second category and include neural networks [9,10,11], genetic algorithms [12,13], particle swarm optimization [14,15], and support vector machines [16,17]. Among them, neural networks, which have intense autonomous learning and data mining abilities, have been gradually applied to the prediction of tunnel surroundings deformation, and many results have been achieved. Chen et al. [18] found that a recurrent neural network (RNN) has higher accuracy than artificial neural networks by comparing prediction results. However, RNN suffers from a significant gradient vanishing problem, where the gradient decreases exponentially as the time step increases, which makes it difficult for the model to capture and learn long-term dependencies. Ye et al. [19] compared the performance of the Long- and Short-Term Memory (LSTM) model and the RNN model in the prediction of tunnel vault settlement values and found that the prediction results of the LSTM had a better fit with the measured results. However, LSTM can only realize unidirectional transmission of information and cannot reflect the interactions of front and back time series data in tunnel construction. The introduction of Bidirectional Long- and Short-Term Memory (BiLSTM) integrates information from bi-directional time series, effectively improving the deformation prediction accuracy of tunnel surrounding rock [20]. However, BiLSTM still has limitations in extracting nonlinear feature relationships between input data. The tunnel surrounding rock deformation data are characterized by nonlinearity and unsteadiness, so using BiLSTM directly for deformation prediction is impossible. Instead, it is necessary to decompose the settlement data and transform it into smoother data to improve the prediction accuracy. Standard data decomposition methods are Wavelet Transform (WT), Empirical Mode Decomposition (EMD), Ensemble Empirical Mode Decomposition (EEMD), Complete Ensemble Empirical Mode Decomposition with Adaptive Noise (CEEMDAN), and Variational Mode Decomposition (VMD). However, WT needs to determine the basis function and has poor adaptive ability [21]; EMD has strong adaptive ability but has problems such as modal aliasing and end-point effect [21]; EEMD solves the modal aliasing problem, but its solution is time-consuming and has residual white noise; CEEMDAN algorithm is more sensitive to the decomposition parameter when processing signals and needs more parameter adjustment and optimization. VMD can decompose complex time series into simple eigenmode components, reduce the phenomenon of data component overlapping, and have better adaptive ability, which has obvious advantages in complex data analysis [22].
However, applying single deformation prediction in construction is limited and cannot meet the industry’s development needs. With the development of Building Information Modeling (BIM) technology, there is a growing demand for information management that combines tunnel deformation prediction with BIM technology.
BIM has the characteristics of visualization and informatization. It could effectively guide tunnel construction. Combining deformation prediction with BIM technology to visualize the monitoring data and deformation warning could further improve the informatization level of tunnel construction. Jiang et al. [23] combined BIM technology and particle swarm optimization algorithms to complete the inverse analysis of surrounding rock parameters and optimization of the support scheme. Zhu et al. [24] completed the study of tunnel lining through BIM technology and a dual-rotation convolutional neural network, and developed scripts based on Dynamo to display the risk level using colors to enable monitoring and the prediction of lining cracking. Several scholars have developed bridge health monitoring visualization procedures based on the BIM platform, using BIM and databases to visualize deformation warnings and improve the operational efficiency of bridges [25,26]. Liang et al. [27] proposed a visualized safety risk early warning system combining BIM and Internet of things technology. Wu et al. [28] applied the construction safety risk assessment and early warning technology based on the BIM platform to near-shore tunnel construction. Hou et al. [29] proposed a deep learning algorithm to obtain the deformation prediction information and to visualize structural health monitoring and early warning in the BIM platform.
In general, there were increasing numbers of early warning applications of BIM technology in engineering, but few researchers combined BIM with predicting surrounding rock deformation in tunnel construction. Therefore, this study established a VMD-BiLSTM tunnel surrounding the rock deformation prediction model and completed the deformation prediction results and the visual display of deformation warning through the secondary development tool of BIM.
2. VMD-BiLSTM Prediction Network
2.1. Isometric Processing of Monitoring Data
The deformation after tunnel excavation could be divided into three stages: the rapid deformation stage, the deformation slowing-down stage, and the stabilization stage. After tunnel excavation, the frequency of vault subsidence measurement was related to the rate of peripheral rock deformation and the distance from the excavation surface [30]. The project’s peripheral rock deformation monitoring data were generally unequally spaced with time series data. Therefore, mathematical methods should be adopted to transform them into equally spaced time series data for further analysis. Commonly used methods included the Kriging interpolation method and the cubic spline interpolation method, etc. The principle of cubic spline interpolation was simple, and the smoothness was good. It could quickly solve the conversion problem of non-isochronous tunnel deformation data and obtain a continuous and smooth deformation curve. Therefore, it was widely used. This study adopted this method to deal with tunnel perimeter rock deformation monitoring data.
2.2. Grey Wolf Optimization
The Grey Wolf Optimization (GWO) algorithm simulates the leadership hierarchy and hunting mechanism of grey wolves in nature [31,32]. The social hierarchy level of grey wolves is marked by calculating the fitness of each wolf in the pack, and the three wolves with the best fitness are labeled as α-wolf, β-wolf, and δ-wolf in turn, while the rest of the grey wolves are labeled as γ-wolf. The simple algorithm guides the group towards the prey through α-wolf, β-wolf, and δ-wolf. Compared with other algorithms, GWO requires fewer parameters to be adjusted during the operation and is easier to implement, with faster convergence and more accurate convergence results.
The equations of the grey wolf population pursuing prey are shown in Equations (1) and (2). When the current distance between the pack and the prey is D, and the grey wolf approaches and surrounds the prey, the grey wolf position is updated by Equation (2):
where C and A are coefficient vectors; ‘·’ is a multiplication sign; m is the current iteration number; X(m) is the current wolf position vector; X(m + 1) is the updated wolf position vector; Xp(m) is the current prey position vector.
The updating formula for C and A is:
where a is the acceleration factor, which decreases linearly from 2 to 0 as the number of iterations increases; r1, r2 are vectors of one-dimensional random numbers taking values within [0,1]; M is the maximum number of iterations.
Then, from Equations (1) and (2), we find the positions of the three lead wolves , , and and then take the average value, which can determine the position of the prey.
The GWO algorithm searches for the global optimum solution based on the first three optimal solutions in the current solution space. At the same time, the search process is fully used to change an individual’s weight with the help of auxiliary coefficients, so the probability of the algorithm falling into the local optimum is low.
2.3. VMD Principle
VMD is an adaptive, fully non-recursive method for modal variational and signal processing [33]. The nonlinear and unsteady tunnel surrounding rock deformation data were decomposed using the VMD technique into smoother and more physically meaningful components. The core of the method was the construction and solution of the variationally constrained problem [34].
1. VMD variationally constrained variational problem expressions
where K is the number of Intrinsic Mode Functions (IMF) after decomposition; are the decomposed modal functions and their corresponding center frequency, respectively; is to find the partial derivative concerning t; is the impulse function; is the original time series signal. * is the convolution operator; is the number of paradigms; j is an imaginary unit; s.t. is an abbreviation for “subject to”, which means “bound by” or “fulfilment of a condition”.
2. The solution of the variational-constrained problem was carried out by the following steps. First introduce the quadratic penalty factor and the Lagrange multiplier operator λ to transform Equation (7) into an unconstrained problem. The alternating direction multiplier method [35] was then utilized to solve the unconstrained problem. By constantly updating , , and λ, the solution of the unconstrained problem was transformed into the problem of finding the minima, as shown in Equation (8):
where n is the current number of iterations.
By transforming Equation (10) to the frequency domain through the Parseval/Plancherel Fourier isometric transform, the frequency domain solutions for the modal function and center frequency were obtained as Equations (9) and (10), respectively.
The update strategy for λ was given in Equation (11).
where , and are the Fourier transforms of , and , respectively; and is the noise tolerance, 0.
The iterative update terminates when Equation (12) is satisfied. The frequency domain solution of each modal component obtained in Equation (9) was converted to the time domain, and the time domain signals of the decomposed Intrinsic Mode Functions could be obtained through the Fourier inverse transform.
where is the allowable error, 0.
2.4. BiLSTM Principle
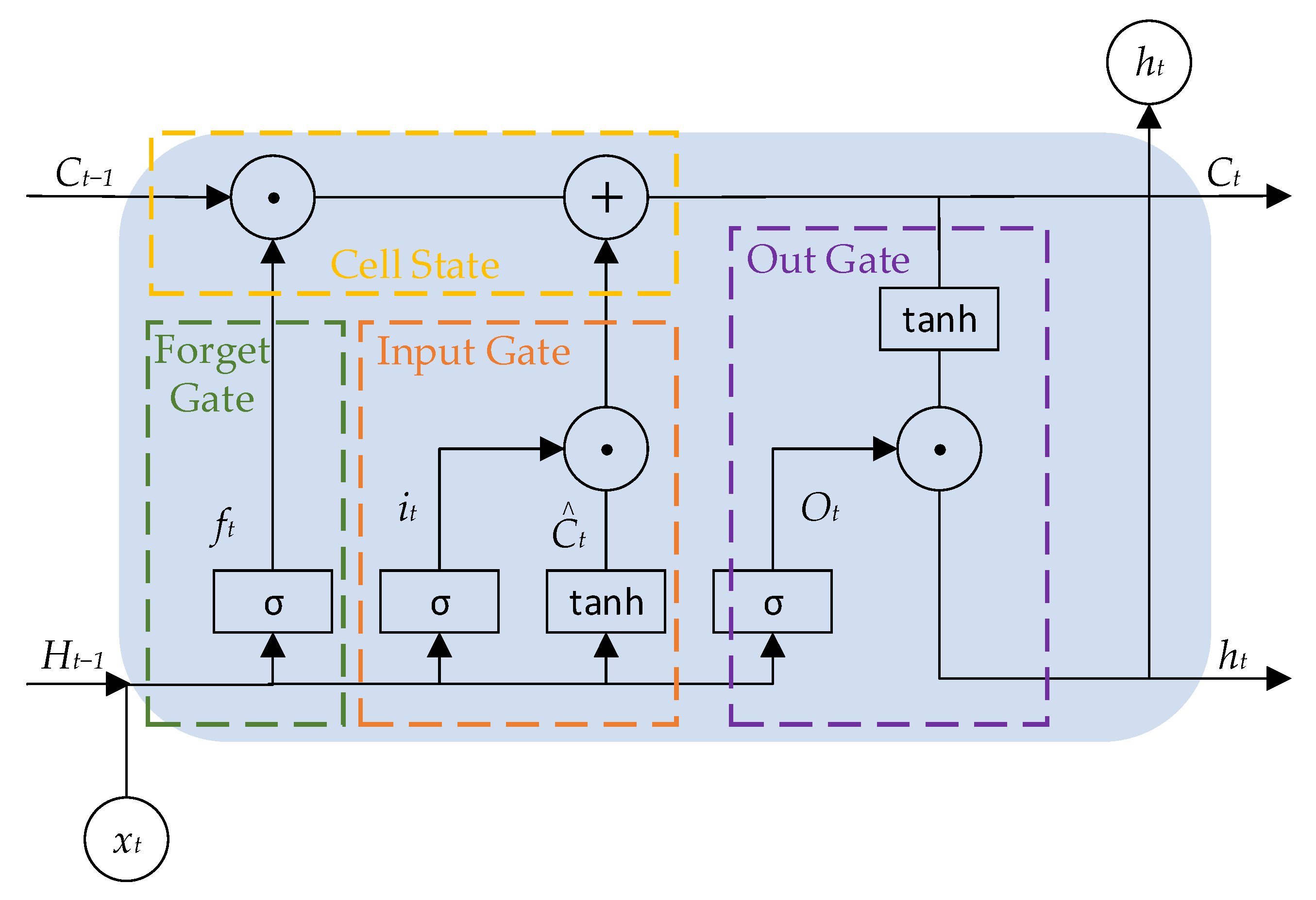
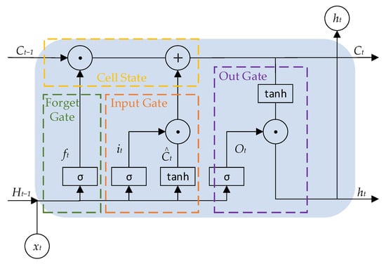
BiLSTM network consists of 2 LSTM networks. It enhances the understanding and modeling of the data by simultaneously processing forward and reverse information of the input sequence. The structure of the LSTM network mainly consists of cell states, forgetting gates, input gates, and output gates, and the structure is shown in Figure 1 [36].
Figure 1.
Structure of LSTM.
The forgetting gate determines how much information is retained from the previous to the current moment cell state. It receives the output state of the previous moment and of the current moment and takes both as inputs. Then, it outputs a value between 0 and 1 to indicate the retention of past information, which is calculated as follows.
where is the activation function; is the weight of the forgetting gate; t is the current moment; and is the bias term of the forgetting gate.
The input gate decides how much of the current moment’s information is retained for input to the current moment’s cell state. It has two parts. The first part outputs a value between 0 and 1, indicating the new information added. The second part generates a vector of candidate values , indicating the information needed to be updated into the cell state. The computational formula is as follows.
where tanh is the hyperbolic tangent function; and are the weight coefficients and bias terms of the input gate; and are the weight coefficients and bias terms of the candidate value vector.
The cell state is then updated by updating to b, as shown in Equation (16):
The output gate is responsible for determining how much information is output from the cell state at the current moment, and the output is represented by a value between 0 and 1, calculated as follows.
where and are the weight coefficients and bias terms of the output gate.
The LSTM model can only predict future information based on past information. However, usually, the information of the current moment in the time series data is also related to the next moment of the current moment. Based on the principle of backward and forward two-way propagation, the BiLSTM network can consider both past and future information to realize the practical mining of the correlation between the front and back of the information. Especially when dealing with long-sequence data, using the BiLSTM model can reduce the gradient vanishing problem, which helps improve the training efficiency and the convergence speed of the model. The principle of BiLSTM is shown in Figure 2.
Figure 2.
Schematic of BiLSTM model architecture methods.
2.5. Model Error Evaluation Indicators
Considering that the prediction of tunnel vault settlement was a nonlinear regression problem, to evaluate the prediction effect and accuracy of the VMD-BiLSTM model, RMSE (), MAE (), and MAPE () are selected as the evaluation indexes of the model. is the degree to which the predicted value deviates from the measured value; is the actual prediction error; and is the average size of the absolute percentage error. The smaller the values of these three evaluation indicators, the better the learning effect of the model and the higher the prediction accuracy. The formula for each evaluation index is as follows [37]:
where N is the total number of predicted samples, and , are the measured and predicted values of the first deformation data, respectively.
3. BIM-Based Visualization Method for Monitoring Data and Deformation Warning
Firstly, the BIM platform built a BIM model of the tunnel structure, integrated the deformation prediction data and early warning information into the model, and expressed the degree of early warning through the color display. At the same time, the monitoring data analysis visualization window is used through the Revit API development interface, based on the BIM platform. This window was integrated into the BIM view as a plug-in to complete the tunnel-monitoring information analysis and early warning visualization.
3.1. Methodology for Constructing BIM Models of Tunnel Structures
Revit on Autodesk platform was the core BIM modeling software [38], and its model data could be converted to the standard IFC format with good compatibility. Revit provided the parametric design concept of “family” and “class” for the design of tunnel structural component templates [39]. Revit 2022 provides parametric design concepts of “family” and “class” for the design of tunnel structural component libraries. The family allows for the creation of parametric building blocks with specific functions and attributes that can be reused across projects, improving design efficiency and consistency. The class reflects the categorization and usage of model elements and can help users to quickly identify and access specific types of components. The parametric construction of component profiles and component families simplified the tedious work of repetitive modeling. Revit had a built-in visual programming plug-in, Dynamo, which was used to generate the BIM model of the tunnel structure by writing an adaptive splicing program. At the same time, an early warning program was written to determine the warning level based on the displacement management level of JTG/T 3660—2020 [30]. JTG/T 3660—2020 and JTG 3370.1—2018 [40] are the specified technical standards strictly followed in tunnel construction. As shown in Table 1, the degree of surrounding rock deformation was judged by comparing the size of the deformation prediction value with the design limit deformation value, and the current construction status was expressed by color.
Table 1.
Enclosure deformation management level.
3.2. Development Process
The tables in the SQL Server database were designed from 3 aspects: monitoring and measuring data, deformation prediction values, and warning hints. Data integration was completed by designing data tables, establishing mapping relationships between tables, connecting to the Windows Forms application, and facilitating data query, storage, recall, and deletion operations.
Revit had a complete application program interface (API) [41]. In the Visual Studio platform, IExternal Command was created, and the abstract function Execute within the interface was overloaded. After generating the dynamic link library .dll file, the .dll file was loaded through the Add-In Manager plug-in provided by Autodesk. Finally, the monitoring data parsing visualization window was integrated into the Revit view as a plug-in. The specific development process is shown in Figure 3.
Figure 3.
Monitoring data parsing visualization plug-in development process.
4. Case Study
4.1. Project Overview and Design of Monitoring Points
The Loushan Tunnel was the first project in China to expand a two-way, four-lane in situ tunnel into a two-way eight-lane tunnel. The tunnel was constructed using the new Austrian tunneling method, and the lining adopted a composite support structure. The lower part of the existing tunnel was backfilled and compacted to form a temporary base plate. Under the vibration of construction, it was very easy to cause the collapse of the existing tunnel, so it adopted I-beam steel arch reinforcement. According to the actual situation of the existing tunnel vault cavity, local grouting filling was carried out when necessary. Finally, excavation and support were carried out following the numerical sequence labeled in Figure 4. The excavation order was first the central part and then the lower part, as shown in Figure 4.
Figure 4.
Tunnel construction excavation sequence.
The initial support shotcrete adopted a wet spraying process. The secondary lining adopted a full-section hydraulic lining steel mold trolley. The tunnel traffic flow was large. To ensure traffic, a hole reconstruction, and another hole must be implemented. The requirements for implementing blasting operations are to ensure the safety of the passage tunnel. The stability of the shallow buried section and fault fragmentation zone was poor, and the excavation adopted direct mechanical excavation and manual cooperation. The location of the solid rock and sub-solid rock encountered micro-vibration light surface blasting to reduce the disturbance of blasting on the surrounding rock. Anchor net spraying concrete support followed up in time. More monitoring work and prediction of perimeter rock deformation is needed during tunnel excavation and support. According to the monitoring and prediction results, the surrounding rock support parameters can be dynamically adjusted. According to the provisions of JTG 3370.1-2018, the surrounding rock grading of the right line is shown in Table 2 [40].
Table 2.
Tunnel right line rock classification table.
The vault settlement data of this study were collected from the section of the Loushan tunnel with chainage YK19+890. The location of the vault settlement monitoring point of the section is shown in Figure 5. Geological Survey data showed that the exposed lithology of the mountain slope in this section was dominated by tuff, the weathering difference of the mountain lithology was significant, and the thickness of the local cover layer could be up to 4.0 m or more. The local bedrock of the mountain was exposed. The surrounding rock at the location of tunnel section YK19+890 was classified as V. The inner contour of the tunnel was deformed using a three-centered circle with a width of 17.71 m and a height of 11.3 m.
Figure 5.
YK19+890 section vault settlement monitoring point.
4.2. Monitoring Data Pre-Processing
4.2.1. Data Interpolation
The data collection used a level meter to monitor the vertical displacement change of each measuring point of the tunnel vault and to calculate the change value of the settlement. According to the monitoring report, two days after the excavation of the center guide hole of the right line of the tunnel to section YK19+889, the data collection of each monitoring point of section YK19+890 started. When the tunnel face advanced to section YK19+863.8, the settlement and deformation of the vault at section YK19+890 was in a stable state, and the monitoring was stopped. According to JTG/T 3660-2020 provisions, the monitoring frequency will be adjusted in real-time according to the surrounding rock deformation rate during the construction, so the measured deformation value is often discontinuous. Analysis of the measured data showed that the first six groups were spaced at one-day intervals, the middle portion was monitored every two days, and the last was monitored every five days. To meet the requirement of continuity of time series prediction data. The cubic spline interpolation method complemented the data, as shown in Figure 6. This data could be used to train the model to predict the settlement of the vault. In the prediction of this model, the first 70% of the data were selected as the training set for model learning and training. The last 30% of the data were used as the prediction set to verify the model prediction performance. The measurement process was adulterated with measurement error, so the vault settlement data curve was volatile and nonlinear.
Figure 6.
Measured values of YK19+890 section after interpolation.
The surrounding rock of the cave roof and body at the location of section K19+890 is tuff, which is extremely broken and weathered, and the rock quality index is about 10% to 20%. The monitoring and measuring data of tunnel surrounding rock deformation show the evolution of two-dimensional data, which is a nonlinear relationship between time and deformation amount. The time factor has a greater influence on the deformation. However, engineering geological conditions and construction factors also have an impact on the prediction model, and it is not sufficient to find the development pattern of deformation volume only through the historical changes of monitoring data. Therefore, rock saturated uniaxial compressive strength, basic quality indicators of the corrected rock and mass, and depth-of-tunnel segmentation were considered in the manuscript in addition to the time factor. Due to the inconsistent magnitude of the input units, this may lead to over-weighting certain features during the training process, affecting the effectiveness of the model. Through data normalization, the range of values of different features could be scaled to the same interval, which made the training of the model more stable and reliable.
4.2.2. Variational Modal Decomposition
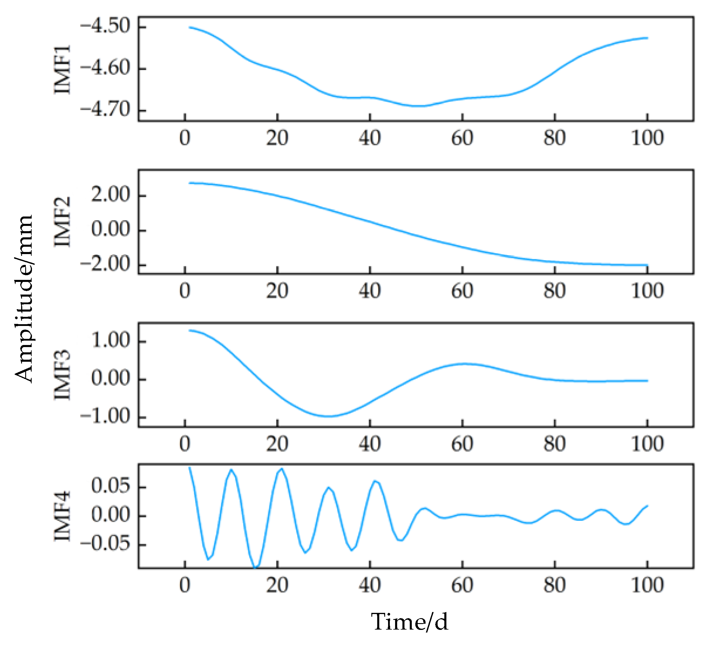
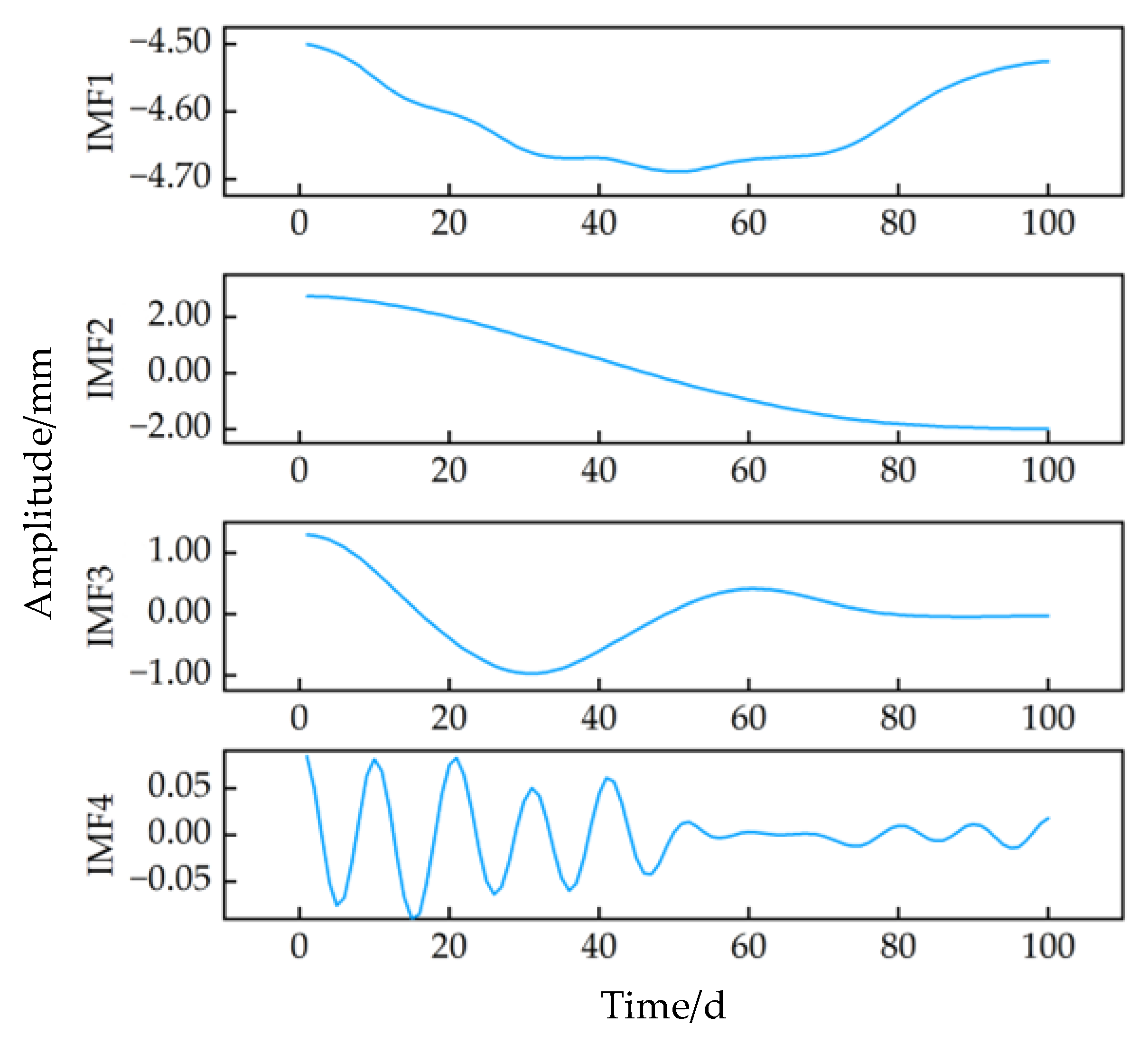
According to the non-smooth and non-linear characteristics of the vault settlement data, the interpolated data were decomposed using VMD. The determination of the penalty factor α affects the bandwidth of the modal components. Improper values of α can result in the center frequency of the IMF component being aliased, preventing the VMD from correctly decomposing the effective frequency signal. K is the number of decomposed subsequences, which affect the prediction accuracy. Larger values of K provide more detailed information about the data but may lead to frequency aliasing and increaseing the computational complexity. If the value of K is small, the signal will be under-decomposed. Therefore, the optimal combination of parameters for [K, α] was searched adaptively by the GWO algorithm.
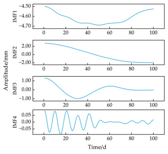
The GWO parameters were initialized, the number of grey wolves was set to 10, the maximum number of iterations was set to 50, and [K, α] was used as the position of grey wolf individuals. Considering the computational efficiency and accuracy of the algorithm, the value ranges of α and K were set to [2, 12] and [1000, 3000], respectively, and the positions of grey wolf individuals were randomly generated. The location of individual grey wolves was updated by running iteratively. When the number of iterations reached the maximum value, the optimal parameter combination was obtained as [4, 2226].
As shown in Figure 7, the average amplitude of IMF1 and IMF2 was large, and the trend of change was relatively gentle. The change period was long, which could be regarded as the trend of deformation of the tunnel surrounding rock affected by the intrinsic factors; IMF3 and IMF4’s amplitude was small, and the period was short, which could be regarded as deformation caused by the artificial influence of the construction personnel.
Figure 7.
Results of VMD.
4.3. Model Predictive Performance Evaluation
The number of input parameter units, output parameter units, and training sessions were the same for LSTM, RNN, GRU, and BiLSTM, which were 4, 1, and 200, respectively. The Adam optimizer was used for the training phase of the network in all the experiments, with the initial learning setup rate of 0.001, the batch size was set to 16, and the dropout value was set to 0.4. The test found that each observation point needed at least five days of monitoring data to start predicting the deformation values. The prediction error was larger when there were less than five sets of monitoring data. window size = 5 indicated that the first five days of measured data were selected as inputs, and the model performed sliding prediction starting from the sixth day. As the construction progress advanced, the newly acquired monitoring data were continuously inputted into the prediction model. When the settlement rate of the vault was less than 0.2 mm/d, the prediction of the final deformation could be started. To test the prediction performance of the VMD-BiLSTM model, the monitoring data of the YK19+890 cross-section were taken as examples, in which 70% of the data were used as training samples and 30% as prediction test samples. Two modal decomposition methods, CEEMDAN (complete ensemble empirical mode decomposition with adaptive noise analysis) and VMD, and LSTM, RNN, and GRU (gated recurrent unit neural network) were selected, BiLSTM for comparative analysis of prediction performance. CEEMDAN was commonly used to process non-smooth and non-linear data. The basic structure of RNN was a recurrent unit. The input data was fed into the recurrent unit through the input layer. At the same time, the hidden state of the previous moment was also fed into the recurrent unit as an additional input, which gave RNN a better ability to process sequential data. GRU was the variant of the recurrent neural network RNN. Compared to LSTM, GRU had a more straightforward structure and contained only two gating units, the reset gate and the update gate, which were used to filter the information in the neuron at the previous moment. The prediction performance of each model was tested using the test set, and the evaluation metrics ERMS, EMA, and EMAP of each model are shown in Table 3.
Table 3.
Evaluation indicator results.
As shown in Table 3, by completing the data decomposition first and then predicting the vault settlement by the neural network model, the obtained prediction results are significantly better than the prediction results of the single neural network model. Compared with CEEMDAN, the predicted values of vault settlement better fit the actual values after processing the data using VDM. Through the VMD decomposition of the original data, different patterns of change data were separated and did not interfere with each other in the neural network learning and prediction. As shown in Figure 8, the RNN model has rapid forward propagation and fast convergence. However, it was susceptible to mutation data interference, and the output results were a low fit for the measured data. The GRU model has no forgetting gates in its gate structure and does not control and store internal memories within the neurons. This resulted in a significant deviation of the data in the deformation–stabilization stage. The BiLSTM model could be computed simultaneously in both the forward and backward directions, so the prediction results were better than those of the LSTM model.
Figure 8.
Comparison of prediction of vault settlement in the center guideway by four models.
The VDM-BiLSTM time series prediction model had better fitting accuracy and prediction performance and could more accurately predict the vault settlement. The VDM-LSTM and VDM-GRU models were the next best, but their prediction accuracy could satisfy the general construction needs. The VDM-RNN model could not accurately grasp and learn new deformation laws, and it had the poorest prediction effect.
4.4. Tunnel Structure BIM Model
When constructing a BIM model of a tunnel structure, many component family models needed to be built before placing the individual components along the centerline of the tunnel to form the completed model. The component family model was based on the component contour family, and then the 3D component model was generated by tools such as stretching, fusing, rotating, releasing, and releasing fusion. In tunnel engineering, the surrounding rock grades along the route vary greatly, so the components’ geometric design dimensions and materials were different, generating a vast modeling workload. Parametric modeling methods were often used to reduce the workload of repetitive modeling, including the parameterization of model dimensions and materials. The adaptive assembly procedure of the program components was written in Dynamo, which is called the component model according to the mileage chainage. The components were automatically placed along the tunnel centerline, generating a complete BIM model of the tunnel structure, as shown in Figure 9. Finally, based on Table 1, the deformation prediction values were read in Dynamo and compared with the design limit deformation values U0 to display the corresponding warning colors, as shown in Figure 8. By the provisions of JTG 3370.1-2018, comprehensively considering the surrounding rock deformation level, section size, burial depth, construction methods and support, and other conditions, the value of U0 is determined to be 120 mm after the argumentation of many experts.
Figure 9.
Schematic diagram of tunnel BIM model structure.
The Loushan Tunnel project expanded simultaneously from both ends of the right lane, while the left lane remained open to traffic. The monitoring personnel took 10 m as a monitoring distance and collected the data from the measuring points. From Figure 9, it could be seen that special measures should be taken for the right exit of YK19+910, YK19+900 should be strengthened with support, and YK19+890 as well as YK19+880 could be constructed typically; special measures should be taken for the right inlet of YK19+480 and YK19+470, and YK19+460 should be strengthened with support.
4.5. Visualization of Monitoring Data Parsing Window Based on BIM Platform
The monitoring plug-in was divided into two modules for information visualization needs: data expression and deformation prediction. Among them, the data expression displayed measured data, and the deformation prediction included the deformation trend graph and warning hints. After the user selected the monitoring section, monitoring content, and monitoring points, the system loaded the monitoring table in the SQL database with the unique chainage-measurement point as the index and read the VMD-BiLSTM deformation prediction data to draw the deformation trend graph. As shown in Figure 10a, the VMD-BiLSTM deformation prediction showed that the current warning color was green in YK19+890, which was in the state that could be constructed. And the warning color was yellow in YK19+480, which was in the state that support should be reinforced, as shown in Figure 10b.
Figure 10.
BIM-based data parsing window.
The left part of Figure 10 shows the measured vault settlement data of measurement point 1 of section YK19+890. The right part shows the comparison icon between the measured vault settlement data and the predicted data. The data changes could be seen more intuitively through the graphical display. Combined with the early warning color display of the BIM model in Figure 9, it could express the deformation situation more clearly.
5. Conclusions
(1) The surrounding rock deformation prediction method based on VDM and BiLSTM network was investigated, and a visual deformation warning model was established by combining the deformation warning criteria based on monitoring data. The accuracy and effectiveness of the prediction model were verified. The results could be seen. Compared with CEEMDAN, the average percentage error prediction was reduced from 4.80% to 1.76% for better fitting when the BiLSTM model predicted the tunnel envelope deformation after VDM processing.
(2) Taking the Loushan tunnel as the object to carry out engineering applications, the results showed that, through the secondary development based on BIM, it could realize the deformation monitoring information of the tunnel surrounding rock, the deformation prediction value, and the early warning information in the SQL Server database information management and visual expression in the BIM platform.
(3) The engineering conditions were limited, and the on-site tunnel vault settlement data showed some regularity. The analysis of potential data anomalies was missing. In addition, the prediction model should be further developed in the future for application to different geological conditions and even in other projects.
Author Contributions
Conceptualization, R.H. and L.W.; methodology, R.H.; software, R.H.; validation, D.W., J.W. and G.L.; formal analysis, Y.C.; investigation, Y.C.; resources, D.W.; data curation, J.W.; writing—original draft preparation, R.H.; writing—review and editing, L.W.; visualization, Y.C.; supervision, G.L.; project administration, G.L.; funding acquisition, D.W. All authors have read and agreed to the published version of the manuscript.
Funding
This research was funded by National Natural Science Foundation of China Grants Program (grant number 41672260), Hubei Construction Science and Technology Program (grant number JK2024037) and Ministry of Education Engineering Research Center for Geotechnical Drilling and Protection, China University of Geosciences (Wuhan) (grant number 202312).
Data Availability Statement
For privacy reasons, the data cannot be made fully public. Readers can contact the corresponding author for details.
Conflicts of Interest
The authors declare no conflicts of interest.
References
- Yang, K.; Yan, Q.; Zhang, C.; Wu, W.; Xu, Y.; Cheng, Y. Monitoring and Field Tests for Controlling Large Tunnel Deformation in Squeezing Ground: A Case Study. Bull. Eng. Geol. Environ. 2024, 83, 132. [Google Scholar] [CrossRef]
- Yao, J.; Nie, J.; Li, C. Research on Prediction of Surrounding Rock Deformation and Optimization of Construction Parameters of High Ground Stress Tunnel Based on WOA-LSTM. Sci. Rep. 2024, 14, 27396. [Google Scholar] [CrossRef] [PubMed]
- Suwansawat, S.; Einstein, H.H. Describing Settlement Troughs over Twin Tunnels Using a Superposition Technique. J. Geotech. Geoenviron. Eng. 2007, 133, 445–468. [Google Scholar] [CrossRef]
- Chou, W.-I.; Bobet, A. Predictions of Ground Deformations in Shallow Tunnels in Clay. Tunn. Undergr. Space Technol. 2002, 17, 3–19. [Google Scholar] [CrossRef]
- Janin, J.P.; Daniel, D.; Kastner, R.; Emeriault, F.; Guilloux, A.; Lebissonnais, H. Settlement Monitoring and Tunnelling Process Adaptation-Case of South Toulon Tunnel. In Proceedings of the 7th International Symposium on Geotechnical Aspects of Underground Construction in Soft Ground, Rome, Italy, 15–19 May 2011. [Google Scholar]
- Fargnoli, V.; Boldini, D.; Amorosi, A. Twin Tunnel Excavation in Coarse Grained Soils: Observations and Numerical Back-Predictions under Free Field Conditions and in Presence of a Surface Structure. Tunn. Undergr. Space Technol. 2015, 49, 454–469. [Google Scholar] [CrossRef]
- Talebinejad, A.; Chakeri, H.; Moosavi, M.; Özçelik, Y.; Ünver, B.; Hindistan, M. Investigation of Surface and Subsurface Displacements Due to Multiple Tunnels Excavation in Urban Area. Arab. J. Geosci. 2013, 7, 3913–3923. [Google Scholar] [CrossRef]
- Chakeri, H.; Hasanpour, R.; Hindistan, M.A.; Ünver, B. Analysis of Interaction between Tunnels in Soft Ground by 3D Numerical Modeling. Bull. Eng. Geol. Environ. 2011, 70, 439–448. [Google Scholar] [CrossRef]
- Mahdevari, S.; Torabi, S.R. Prediction of Tunnel Convergence Using Artificial Neural Networks. Tunn. Undergr. Space Technol. 2012, 28, 218–228. [Google Scholar] [CrossRef]
- Xu, W.; Cheng, M.; Xu, X.; Chen, C.; Liu, W. Deep Learning Method on Deformation Prediction for Large-Section Tunnels. Symmetry 2022, 14, 2019. [Google Scholar] [CrossRef]
- Nsubuga, S.; Tsakiri, M.; Georgiannou, V. A Smart Decision Tool for the Prediction of Tunnel Crown Displacements. Appl. Geomat. 2021, 13, 77–91. [Google Scholar] [CrossRef]
- Huang, Z.; Huang, J.; Zhang, J.; Li, X.; Zheng, H.; Liu, X. The Collapse Deformation Control of Granite Residual Soil in Tunnel Surrounding Rock: A Case Study. KSCE J. Civ. Eng. 2024, 28, 2034–2052. [Google Scholar] [CrossRef]
- Liu, K.; Liu, B. Intelligent Information-Based Construction in Tunnel Engineering Based on the GA and CCGPR Coupled Algorithm. Tunn. Undergr. Space Technol. 2019, 88, 113–128. [Google Scholar] [CrossRef]
- Guo, Z.; Qiu, D.; Yu, Y.; Xue, Y.; Liu, Q.; Zhang, W.; Li, Z. Analysis and Prediction of Nonuniform Deformation in Composite Strata during Tunnel Excavation. Comput. Geotech. 2023, 157, 105338. [Google Scholar] [CrossRef]
- Yang, C.; Huang, R.; Liu, D.; Qiu, W.; Zhang, R.; Tang, Y. Analysis and Warning Prediction of Tunnel Deformation Based on Multifractal Theory. Fractal Fract. 2024, 8, 108. [Google Scholar] [CrossRef]
- Mahdevari, S.; Shirzad Haghighat, H.; Torabi, S.R. A Dynamically Approach Based on SVM Algorithm for Prediction of Tunnel Convergence during Excavation. Tunn. Undergr. Space Technol. 2013, 38, 59–68. [Google Scholar] [CrossRef]
- Shi, S.; Zhao, R.; Li, S.; Xie, X.; Li, L.; Zhou, Z.; Liu, H. Intelligent Prediction of Surrounding Rock Deformation of Shallow Buried Highway Tunnel and Its Engineering Application. Tunn. Undergr. Space Technol. 2019, 90, 1–11. [Google Scholar] [CrossRef]
- Chen, R.; Zhang, P.; Wu, H.; Wang, Z.; Zhong, Z. Prediction of Shield Tunneling-Induced Ground Settlement Using Machine Learning Techniques. Front. Struct. Civ. Eng. 2019, 13, 1363–1378. [Google Scholar] [CrossRef]
- Ye, X.-W.; Ma, S.-Y.; Liu, Z.-X.; Chen, Y.-B.; Lu, C.-R.; Song, Y.-J.; Li, X.-J.; Zhao, L.-A. LSTM-Based Deformation Forecasting for Additional Stress Estimation of Existing Tunnel Structure Induced by Adjacent Shield Tunneling. Tunn. Undergr. Space Technol. 2024, 146, 105664. [Google Scholar] [CrossRef]
- Huang, Z.; Xu, W.; Yu, K. Bidirectional LSTM-CRF Models for Sequence Tagging. arXiv 2015, arXiv:1508.01991. [Google Scholar] [CrossRef]
- Kopsinis, Y.; McLaughlin, S. Development of EMD-Based Denoising Methods Inspired by Wavelet Thresholding. IEEE Trans. Signal Process. 2009, 57, 1351–1362. [Google Scholar] [CrossRef]
- Wen, C.; Tian, H.; Zeng, X.; Xia, X.; Hu, X.; Pang, B. Landslide Deformation Analysis and Prediction with a VMD-SA-LSTM Combined Model. Water 2024, 16, 2945. [Google Scholar] [CrossRef]
- Jiang, H.; Jiang, A. An Integrated System for Tunnel Construction Safety Control Based on BIM-IoT-PSO. J. Civ. Struct. Health Monit. 2024, 14, 269–284. [Google Scholar] [CrossRef]
- Zhu, H.; Huang, M.; Zhang, Q.-B. TunGPR: Enhancing Data-Driven Maintenance for Tunnel Linings through Synthetic Datasets, Deep Learning and BIM. Tunn. Undergr. Space Technol. 2024, 145, 105568. [Google Scholar] [CrossRef]
- Li, X.; Xiao, Y.; Guo, H.; Zhang, J. A BIM Based Approach for Structural Health Monitoring of Bridges. KSCE J. Civ. Eng. 2022, 26, 155–165. [Google Scholar] [CrossRef]
- Deng, L.; Lai, S.; Ma, J.; Lei, L.; Zhong, M.; Liao, L.; Zhou, Z. Visualization and Monitoring Information Management of Bridge Structure Health and Safety Early Warning Based on BIM. J. Asian Archit. Build. Eng. 2022, 21, 427–438. [Google Scholar] [CrossRef]
- Liang, Y.; Liu, Q. Early Warning and Real-Time Control of Construction Safety Risk of Underground Engineering Based on Building Information Modeling and Internet of Things. Neural Comput. Appl. 2022, 34, 3433–3442. [Google Scholar] [CrossRef]
- Wu, P.; Yang, L.; Li, W.; Huang, J.; Xu, Y. Construction Safety Risk Assessment and Early Warning of Nearshore Tunnel Based on BIM Technology. J. Mar. Sci. Eng. 2023, 11, 1996. [Google Scholar] [CrossRef]
- Hou, G.; Li, L.; Xu, Z.; Chen, Q.; Liu, Y.; Qiu, B. A BIM-Based Visual Warning Management System for Structural Health Monitoring Integrated with LSTM Network. KSCE J. Civ. Eng. 2021, 25, 2779–2793. [Google Scholar] [CrossRef]
- JTG/T 3660—2020; Technical Guidelines for Construction of Highway Tunnel. People’s Transportation Publication: Beijing, China, 2020.
- Sun, X.; Lu, T.; Hu, S.; Wang, H.; Wang, Z.; He, X.; Ding, H.; Zhang, Y. A New Algorithm for Predicting Dam Deformation Using Grey Wolf-Optimized Variational Mode Long Short-Term Neural Network. Remote Sens. 2024, 16, 3978. [Google Scholar] [CrossRef]
- Wang, C.; Guo, W. Prediction of Landslide Displacement Based on the Variational Mode Decomposition and GWO-SVR Model. Sustainability 2023, 15, 5470. [Google Scholar] [CrossRef]
- Shi, G.; Qin, C.; Tao, J.; Liu, C. A VMD-EWT-LSTM-Based Multi-Step Prediction Approach for Shield Tunneling Machine Cutterhead Torque. Knowl. Based Syst. 2021, 228, 107213. [Google Scholar] [CrossRef]
- Zhang, Z.; Li, K.; Guo, H.; Liang, X. Combined Prediction Model of Joint Opening-Closing Deformation of Immersed Tube Tunnel Based on SSA Optimized VMD, SVR and GRU. Ocean Eng. 2024, 305, 117933. [Google Scholar] [CrossRef]
- Lian, J.; Liu, Z.; Wang, H.; Dong, X. Adaptive Variational Mode Decomposition Method for Signal Processing Based on Mode Characteristic. Mech. Syst. Signal Process. 2018, 107, 53–77. [Google Scholar] [CrossRef]
- Yin, X.-H.; Song, R.; Chen, Z.-D.; Li, S.-G. Pso-Lstm Based Construction Schedule Prediction Method for Shield Tunneling. Univ. Politeh. Buchar. Sci. Bull. Ser. C Electr. Eng. Comput. Sci. 2024, 86, 31–44. [Google Scholar]
- Zhang, C.; Liu, H.; Peng, Y.; Ding, W.; Cao, J. Intelligent Prediction and Application Research on Soft Rock Tunnel Deformation Based on the ICPO-LSTM Model. Buildings 2024, 14, 2244. [Google Scholar] [CrossRef]
- Waleed, Q.M.; Khan, R.W.A.; Sharafat, A.; Tanoli, W.A.; Zubair, M.U.; Qureshi, H.J. Development of BIM-Based Tunnel Information Modeling Prototype for Tunnel Design. Adv. Civ. Eng. 2024, 2024, 8118578. [Google Scholar] [CrossRef]
- Zhou, Y.; Wang, C.; Yuan, B.; Chen, M.; Lv, J. Research on Visual Management Technology of Tunnel Construction Process Based on BIM Technology. Adv. Civ. Eng. 2021, 2021, 9738820. [Google Scholar] [CrossRef]
- JTG 3370.1—2018; Specification for Design of Highway Tunnels Section 1 Civil Engineering. People’s Transportation Publication: Beijing, China, 2018.
- Mitelman, A.; Gurevich, U. Implementing Bim for Conventional Tunnels—A Proposed Methodology and Case Study. J. Inf. Technol. Constr. 2021, 26, 643–656. [Google Scholar] [CrossRef]
Disclaimer/Publisher’s Note: The statements, opinions and data contained in all publications are solely those of the individual author(s) and contributor(s) and not of MDPI and/or the editor(s). MDPI and/or the editor(s) disclaim responsibility for any injury to people or property resulting from any ideas, methods, instructions or products referred to in the content. |
© 2025 by the authors. Licensee MDPI, Basel, Switzerland. This article is an open access article distributed under the terms and conditions of the Creative Commons Attribution (CC BY) license (https://creativecommons.org/licenses/by/4.0/).












