Study on the Method for Calculating the Flexural Rigidity of Reinforced Concrete Truss Hollow Composite Slabs
Abstract
1. Introduction
2. Experimental Design
3. Experimental Plan
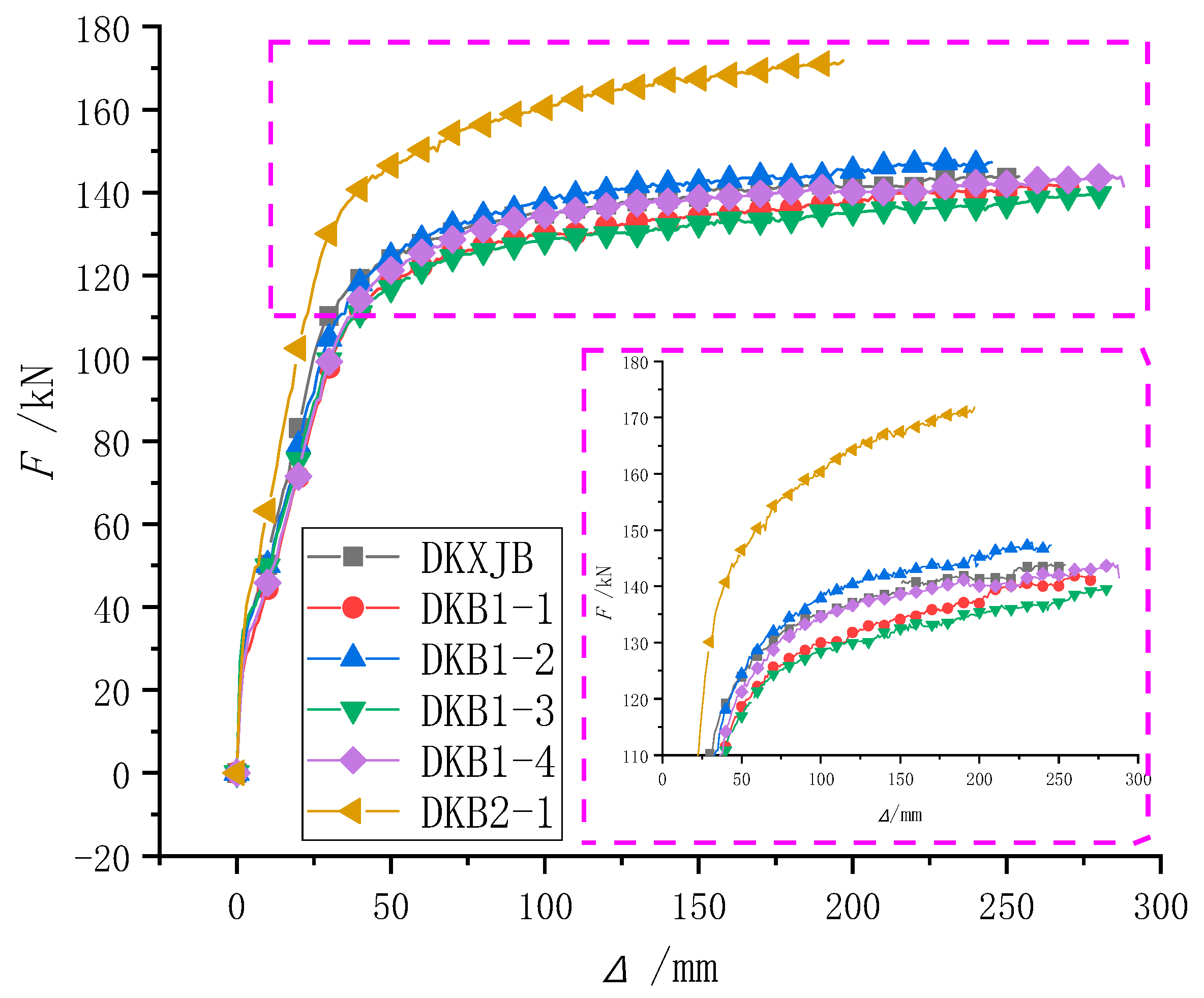
4. Experimental Results and Analysis
5. Stiffness Calculation and Analysis
5.1. Method for Calculating Flexural Rigidity
5.2. Calculation of the Flexural Rigidity of Hollow Composite Slabs
- Simplified Calculation for the Pre-Cracking Model
- Simplified Calculation for the Post-Cracking Model
- Calculation Method for Flexural Rigidity According to Chinese Code
- Stiffness Calculation and Verification
6. Conclusions
- (1)
- Based on the experimental observations and the load–midspan displacement curves, the hollow composite slabs underwent three stages during the entire testing process: elastic, elasto-plastic, and plastic. The slabs demonstrated good ductility performance.
- (2)
- The composite interface and the size of the hollow thin-walled boxes had minimal influence on the flexural performance of the hollow composite slabs, while changes in the slab thickness had a significant impact. The greater the slab thickness, the higher the flexural rigidity.
- (3)
- The effective moment of inertia method was used to calculate the flexural rigidity of the hollow composite slabs both before and after cracking. The cracking moment calculated using the pseudo-beam method aligned well with the experimental results. When calculating the flexural rigidity of hollow composite slabs, the contributions of longitudinal reinforcement and web reinforcement should be fully considered. The equivalent stiffness of the web reinforcement was obtained through simplified calculations using the substructure theory.
- (4)
- This study proposed a reduced moment of inertia equation for calculating the flexural rigidity of hollow composite slabs. The calculated results showed good agreement with the experimental values, providing a reliable reference for engineering design.
Author Contributions
Funding
Data Availability Statement
Conflicts of Interest
References
- Chen, X.; Ma, Q.; Huang, K. A New Type of Reinforced Truss Concrete Composite Hollow Floor and Its Implementation Method. China CN202211270505.0, 23 May 2023. [Google Scholar]
- Yang, Y.; Zeng, S.; Nie, J.; Zhou, X.; Huo, X. Experimental study on mechanical behavior of plain steel plate light weight concrete hollow composite decks. J. Build. Struct. 2010, 31, 92–101. [Google Scholar]
- Lu, Y.; Cao, P.; Wu, K.; Wu, Y. Experimental research on flexural rigidity of re-entrant trough profiled steel sheeting-concrete composite sandwich slabs with function of heat insulation. Build. Struct. 2021, 51, 109–113. [Google Scholar]
- Li, J.; Yu, Q.; Zhou, Y. Research on Calculation Method for Bending Stiffness of a New Type of Steel Bar Truss Concrete Superimposed Slab. Build. Sci. 2016, 32, 8–13. [Google Scholar]
- Nie, J.; Jiang, Y.; Nie, X.; Zhuang, L. Effect of truss reinforcement on mechanical properties of prefabricated slabs. J. Build. Struct. 2021, 42, 151–158. [Google Scholar]
- Wang, B.; Zhang, Y.; Tao, J.; Jin, X.; Yang, J. Experimental research and theoretical analysis of short-term stiffness of filigree slabs. Ind. Constr. 2021, 51, 67–74+99. [Google Scholar]
- Fayed, S.; Madenci, E.; Özkiliç, Y.O.; Basha, A. The flexural behaviour of multi-layered steel fiber reinforced or ultra-high performance-normal concrete composite ground slabs. J. Build. Eng. 2024, 95, 109901. [Google Scholar] [CrossRef]
- Zhou, X.; Chen, W.; Wu, F.; Huang, H.; Li, J. Study on stiffness of assembled monolithic concrete hollow floor with two-way ribs. J. Build. Struct. 2011, 32, 75–83. [Google Scholar]
- Liu, Z.; Qian, J.; Zhao, Z. Static test of a simple support pre-stressed concrete hollow slab with two-way tube fillers. China Civ. Eng. J. 2010, 43, 40–48. [Google Scholar]
- Wu, F.; Li, J.; Zhou, X.; Liu, B.; Deng, L. Experimental study on static behavior and calculating methods for deflection of after-loading two-way hollow-ribbed floor. J. Build. Struct. 2014, 35, 1–9. [Google Scholar]
- Luo, B. Influence of constructional pattern on bending stiffness of composite slab. J. Hunan Univ. (Nat. Sci.) 2023, 50, 36–44. [Google Scholar]
- Hashim, M.S. Abdul-Wahab-Mohammad-H-Khalil. Rigidity and strength of orthotropic reinforced concrete. J. Struct. Eng. 2000, 126, 219–227. [Google Scholar]
- Arslan, M.H.; Özkılıç, Y.O.; Arslan, H.D.; Şahin, Ö.S. Experimental and numerical investigation of the structural, thermal and acoustic performance of the reinforced concrete slabs with balls for cleaner environment. Int. J. Civ. Eng. 2023, 21, 789–804. [Google Scholar] [CrossRef]
- Chen, X.; Ma, Q. Experimental study on the flexural performance of concrete hollow composite slabs with tightly connected panel sides. Sci. Rep. 2024, 14, 20784. [Google Scholar] [CrossRef] [PubMed]
- Branson, D.E. Deformation of Concrete Structures; McGraw-Hill: New York, NY, USA, 1997. [Google Scholar]
- Fantilli, A.; Ferretti, D.; Iori, I.; Vallini, P. Flexural Deformability of Reinforced Concrete Beams. J. Struct. Eng. 1998, 124, 1041–1049. [Google Scholar] [CrossRef]
- EN1992-1:2004; Eurocode 2: Design of Concrete Structures. European Committee for Standardization: Brussels, Belgium, 2004.
- Ding, K.; Chen, D.; Liu, Y.; Xia, S. Theoretical and experimental study on mechanical behavior of laminated slabs with new type joints. China Civ. Eng. J. 2015, 48, 64–69. [Google Scholar]
- GB50010-2010; Code for Design of Concrete Structures. China Architecture&Building Press: Beijing, China, 2011.
- Wang, C.; Teng, Z. Theory of Reinforced Concrete Structures; China Architecture&Building Press: Beijing, China, 1985. [Google Scholar]
- He, S. Experimental Study on Rigidity of Concrete Composite Slabs with Steel Bar Truss. Ph.D. Thesis, Hefei University of Technology, Hefei, China, 2013; pp. 34–54. [Google Scholar]
- Liu, Y. Experimental Research and Numerical Analysis on Stress Mechanism in the Joint of Two-Way Superimposed Slab. Ph.D. Thesis, Hefei University of Technology, Hefei, China, 2013; pp. 32–43. [Google Scholar]
- Wang, T. Principles of Concrete Structures; Tianjin University Press: Tianjin, China, 2011. [Google Scholar]
- Cui, W. Structural Behaviour of a New-Type Assembled Hollow-Ribbed Floor System. Ph.D. Thesis, Southeast University, Nanjing, China, 2019; pp. 61–69. [Google Scholar]
- Committee ACI-318; Building Code Requirements for Structural Concrete. American Concrete Institute: Farmington Hills, MI, USA, 2014.
- DG/TJ08-2071-2016; Design Code for Assembled Integrated Concrete Residential System. Tongji University Press: Shanghai, China, 2016.













| Specimens | L × B1/mm × mm | H/mm | l1 × b1 × h1/mm × mm × mm |
|---|---|---|---|
| DKB1-1 | 4200 × 1400 | 180 | 450 × 450 × 80 |
| DKB1-2 | 180 | 450 × 450 × 90 | |
| DKB1-3 | 180 | 400 × 400 × 80 | |
| DKB1-4 | 180 | 450 × 450 × 60 | |
| DKB2-1 | 200 | 450 × 450 × 100 | |
| XJKB | 180 | 450 × 450 × 80 |
| HPB300 | HPB400 | Precast Concrete | Cast-in-Place Concrete | ||||||||
|---|---|---|---|---|---|---|---|---|---|---|---|
/mm | /MPa | /MPa | /MPa | /mm | /MPa | /MPa | /MPa | /MPa | /MPa | /MPa | /MPa |
| 6 | 305 | 413 | 2.1 × 105 | 8 | 500 | 611 | 2.0 × 105 | 22.40 | 3.17 × 104 | 28.46 | 3.35 × 104 |
| Specimen | /kN | /kN | /kN | /mm |
|---|---|---|---|---|
| DKB1-1 | 36.40 | 63.08 | 141.91 | 179.89 |
| DKB1-2 | 37.30 | 68.73 | 148.00 | 150.90 |
| DKB1-3 | 37.50 | 66.94 | 140.27 | 149.73 |
| DKB1-4 | 34.60 | 63.90 | 144.27 | 170.90 |
| DKB2-1 | 42.29 | 89.94 | 171.85 | 196.98 |
| XJKB | 34.25 | 70.17 | 144.77 | 180.74 |
| Specimens | Calculated Value/kNm | Experimental Value/kNm | Relative Error/% |
|---|---|---|---|
| DKB1-1 | 24.37 | 24.39 | 0.08 |
| DKB1-2 | 23.62 | 24.99 | 5.80 |
| DKB1-3 | 23.81 | 25.13 | 5.54 |
| DKB1-4 | 23.69 | 23.18 | −2.15 |
| DKB2-1 | 27.89 | 28.33 | 1.58 |
| XJKB | 24.37 | 22.95 | 5.83 |
| Specimens | Equation (9) | Equation (10) | Equation (13) | Equation (15) | Equation (12) |
|---|---|---|---|---|---|
| DKB1-1 | 4.44 × 1012 | 7.55 × 1012 | 4.19 × 1012 | 5.51 × 1012 | 4.24 × 1012 |
| DKB1-2 | 4.16 × 1012 | 7.66 × 1012 | 4.17 × 1012 | 5.48 × 1012 | 4.04 × 1012 |
| DKB1-3 | 4.35 × 1012 | 7.64 × 1012 | 4.15 × 1012 | 5.45 × 1012 | 4.16 × 1012 |
| DKB1-4 | 4.38 × 1012 | 6.91 × 1012 | 4.22 × 1012 | 5.54 × 1012 | 4.22 × 1012 |
| DKB2-1 | 5.51 × 1012 | 9.00 × 1012 | 5.30 × 1012 | 6.96 × 1012 | 5.41 × 1012 |
| XJKB | 4.44 × 1012 | 7.55 × 1012 | 4.19 × 1012 | N/A | 4.24 × 1012 |
Disclaimer/Publisher’s Note: The statements, opinions and data contained in all publications are solely those of the individual author(s) and contributor(s) and not of MDPI and/or the editor(s). MDPI and/or the editor(s) disclaim responsibility for any injury to people or property resulting from any ideas, methods, instructions or products referred to in the content. |
© 2025 by the authors. Licensee MDPI, Basel, Switzerland. This article is an open access article distributed under the terms and conditions of the Creative Commons Attribution (CC BY) license (https://creativecommons.org/licenses/by/4.0/).
Share and Cite
Chen, X.; Liu, Y.; Ma, Q.; Wu, D.; Shi, G. Study on the Method for Calculating the Flexural Rigidity of Reinforced Concrete Truss Hollow Composite Slabs. Buildings 2025, 15, 586. https://doi.org/10.3390/buildings15040586
Chen X, Liu Y, Ma Q, Wu D, Shi G. Study on the Method for Calculating the Flexural Rigidity of Reinforced Concrete Truss Hollow Composite Slabs. Buildings. 2025; 15(4):586. https://doi.org/10.3390/buildings15040586
Chicago/Turabian StyleChen, Xudong, Yunlin Liu, Qinyong Ma, Deyi Wu, and Guodong Shi. 2025. "Study on the Method for Calculating the Flexural Rigidity of Reinforced Concrete Truss Hollow Composite Slabs" Buildings 15, no. 4: 586. https://doi.org/10.3390/buildings15040586
APA StyleChen, X., Liu, Y., Ma, Q., Wu, D., & Shi, G. (2025). Study on the Method for Calculating the Flexural Rigidity of Reinforced Concrete Truss Hollow Composite Slabs. Buildings, 15(4), 586. https://doi.org/10.3390/buildings15040586
