Abstract
The integration of cutting-edge technologies into reinforced concrete (RC) design is reshaping the construction industry, enabling smarter and more sustainable solutions. Among these, machine learning (ML), a subset of artificial intelligence (AI), has emerged as a transformative tool, offering unprecedented accuracy in prediction and optimization. This study investigated the flexural behavior of steel rebar RC beams, focusing on varying concrete compressive strengths via theoretical, experimental and ML analysis. Nine steel rebar RC beams with low (SC20), moderate (SC30) and high (SC40) concrete compressive strength, measuring 150 × 200 × 1100 mm, were produced and subjected to three-point bending tests. An average error of less than 5% was obtained between the theoretical calculations and the experiments of the ultimate load-carrying capacity of reinforced concrete beams. By combining three-point bending experiments with ML-powered prediction models, this research bridges the gap between experimental insights and advanced analytical techniques. A groundbreaking aspect of this work is the deployment of 18 ML regression models using Python’s PyCaret library to predict deflection values with an impressive average accuracy of 95%. Notably, the K Neighbors Regressor and Gradient Boosting Regressor models demonstrated exceptional performance, providing fast, consistent and highly accurate predictions, making them an invaluable tool for structural engineers. The results revealed distinct failure mechanisms: SC30 and SC40 RC beams exhibited ductile flexural cracking, while SC20 RC beams showed brittle shear cracking and failure with sudden collapse.
1. Introduction
The utilization of steel rebar in reinforced concrete structures is the most common and still the most used reinforcement material today. Although the search continues for environmentally friendly materials from different renewable sources, such as many types of Fiber Reinforced Polymer (FRP) and bamboo, it is clear that the use of steel rebar in reinforced concrete structures will continue for a while, especially in developing countries [1]. Therefore, considering the amount of existing steel-rebar reinforced concrete structure stock, it is considered to be quite beneficial to utilize experimental, theoretical and machine learning approaches. Due to developing and innovative technology, it is seen that machine learning algorithms provide reliable results in the estimation of the outcomes of many experiments in the literature regarding the bending behavior or load-deflection capacities of existing structural elements. Experimental studies were carried out on the flexural behavior of steel-rebar reinforced concrete beams [2,3,4,5,6,7,8,9]. Multiple methods have been tried to improve the load deflection capacity, shear and bending strength of steel rebar-reinforced concrete beams. Three- and four-point bending strength tests were investigated for reinforced concrete beams with steel rebar as well as reinforced concrete beams with bamboo reinforcement, and an evaluation was accomplished for the search for alternatives to steel rebars [10]. The effect of strain hardening on the flexural behavior of ultra-high performance fiber-reinforced concrete beams with steel reinforcement was investigated using experimental and finite element analyses [11]. The flexural performance of concrete beams strengthened with a hybrid of GFRP and steel rebars was investigated experimentally and analytically [12]. The case of GFRP reinforcement as an alternative to steel rebars was evaluated. The utilization of stainless steel rebars in the shear behavior and repair of reinforced concrete beams was investigated [13]. An experimental evaluation of an ultra-high performance concrete beam reinforced with negative Poisson’s ratio (NPR) steel reinforcement was carried out [14]. An experimental study was conducted on the fatigue performance of deep reinforced concrete beams exposed to steel rebars corrosion [15]. The effect of steel reinforcement connection elements on the cracking behavior of reinforced concrete beams was investigated [16]. The flexural behavior of lightweight ultra-high performance fiber-reinforced concrete beams reinforced with GFRP and steel bars was investigated experimentally [17]. Phenomenological modeling of the compression effect on the load-deflection curve of reinforced concrete beams subjected to bending was explored [18]. Machine learning analysis is a relatively new and evolving method in the literature compared to experimental, theoretical and finite element analysis methods. It is emphasized that machine learning has begun to be used in the literature in the prediction of structural and bending behavior of steel rebar-reinforced concrete beams, and highly consistent results have been obtained [19,20,21,22]. Machine learning has been underutilized in civil engineering, particularly in predicting RC beam behavior, due to the methods being relatively new compare to others; the lack of familiarity with the methods; the deficiency of large, high-quality datasets; the complexity of integrating multiple variables; and the industry’s reliance on traditional established methods. This study will contribute to the research gap in the investigation of RC beams with ML models in load-deflection calculations.
In this research article, the effect of distinct concrete compressive strengths on the load-deflection behavior of steel rebar-reinforced concrete beams was investigated. Within the scope of the study, three groups of reinforced concrete beams with low (20 MPa), moderate (30 MPa) and high (40 MPa) concrete compressive strength were taken into consideration. Nine steel-reinforced concrete beams with dimensions of 150 × 200 × 1100 mm were experimentally subjected to three-point bending tests. Thus, the effect of the concrete compressive strength on load deflection was investigated for low, moderate and high concrete compressive strengths. In the tension and compression zones of all reinforced concrete beams, two pieces of (phi) ϕ 10 longitudinal reinforcement and (phi) ϕ eight steel rebar reinforcements at 30 cm intervals were used as stirrups. In this study, the ultimate load-carrying capacity of reinforced concrete beams was determined using a theoretical formulation. Load-deflection curves of reinforced concrete beams were studied with 18 different regression models of machine learning, and deflection results could be predicted with a high consistency of over 95%.
2. Theoretical Approach
According to the 2004 Eurocode 2 and Turkish Standard TS500 [23,24], members requiring design shear reinforcement are presented in this section. In the calculation of bending and shear strength of reinforced concrete beams with steel rebars, the shear reinforcement of the beam, the stirrup and the placement details of the stirrup are the main factors affecting the formulation. In Formula (1), it is stated that the beam shear strength (Vr) must be greater than the design shear force (Vd); if this value is exceeded, the beam will fail. In Formula (2), it is given that the Vr is equal to the sum of the concrete and shear reinforcement (stirrup) strengths (Vc + Vw). The shear cracking strength of the section (Vcr) is presented in Equation (3), where it depends on the concrete tensile strength (fctd) quality of the beam and the concrete cross-section (). In Equations (4) and (5), details of concrete shear force and stirrup shear force are presented, respectively.
Notations:
is design shear force;
is shear strength;
is shear cracking strength of the section;
is concrete contribution to shear strength;
is contribution of shear reinforcement to shear strength;
is the cross-sectional area of the shear reinforcement;
is the spacing of the stirrups;
is the design yield strength of the shear reinforcement;
is the design value of the concrete cylindrical compressive strength;
is the beam width.
In Table 1, the theoretical ultimate shear force carrying capacities of 9 beams with three different concrete compressive strengths (low, moderate and high) are calculated.
Table 1.
Material strength, cracking initial load values and shear force carrying values of RC beams.
The geometric properties and steel rebar placement of reinforced concrete beams were the same. However, the effect of distinct concrete strength on the beam shear force resistance can be interpreted from Table 1. As the concrete compressive strength increased, the load value carried by the beams increased.
3. Experimental Research
In this section, details of three-point bending tests of nine reinforced concrete beams are presented. The dimensions of the nine beams tested were 150 × 200 × 1100 mm. In the main tension and compression zones of the beams, two pieces of ϕ 10 longitudinal reinforcement and ϕ eight stirrups at 30 cm intervals were used. The effect of different concrete compressive strengths on the beam bending behavior is discussed in this section. For this reason, three groups of beams with low (C20), moderate (C30) and high (C40) concrete compressive strength were produced and nine beams (three in each group) were tested. Three fresh concrete samples from each concrete strength group were taken as 150 × 150 × 150 mm cube samples to be tested for 7 days and 28 days, and the curing process was carried out in the laboratory environment. The compressive strength test results of 7-day-old concrete cube samples were obtained as 26.9 MPa, 36.61 MPa and 47.8 MPa for C20, C30 and C40, respectively. In addition, the compressive strength test results of 28-day-old concrete cube samples were obtained as 34.30 MPa, 45.91 MPa and 54.79 MPa for C20, C30 and C40, respectively. The concrete cover was taken into account as 25 mm in each area of the beam. Figure 1 presents the (a) schematic and (b) experimental setup of the manufactured reinforced concrete beams.
Figure 1.
The produced reinforced concrete beams: (a) schematic; (b) experimental setup.
Three-point bending tests continued until the beams failed. In Figure 2, the crack and damage conditions of the beams before and after the three-point bending test and the back face of the beams are given. The three beams, classified with a concrete strength grade of SC20 (characterized by a compressive strength of 20 MPa), all exhibited shear cracks and demonstrated brittle bending behavior. These beams failed suddenly, exhibiting a load rupture. The occurrence of shear cracks was attributed to the insufficient shear resistance of the low-strength concrete, which could not effectively withstand the applied shear forces. Furthermore, the brittle bending behavior typical of low-strength concrete resulted in a failure mode that lacked significant plastic deformation or gradual distress, leading to an abrupt rupture once the ultimate load capacity was exceeded. This behavior underscores the vulnerability of SC20 concrete to sudden failure and highlights the importance of ensuring appropriate design and reinforcement to prevent such brittle failure modes in structural applications. In the moderate concrete compressive strength group (SC30), all three beams, designated SC30-1, SC30-2 and SC30-3, exhibited ductile behavior and failed predominantly through bending cracks. The beams demonstrated a capacity for significant plastic deformation prior to failure, indicating a more gradual and predictable failure mode compared to the low-strength SC20 beams. The ultimate load-carrying capacities and deflection values of the SC30 beams were consistent and closely aligned, highlighting the reliability of this concrete grade under loading conditions. The consistent performance of the beams further emphasizes the improved ductility and structural resilience of SC30 concrete, which allows for better load distribution and the ability to absorb larger deformations before failure occurs. It was observed that the reinforced concrete beams in the high-strength concrete group, designated SC40-1, SC40-2 and SC40-3, exhibited flexural failure through bending cracks and demonstrated ductile behavior, similar to the moderate-strength concrete group (SC30), as shown in Figure 2. Beams belonging to the SC40 category display significant plastic deformation prior to failure, indicating a gradual failure mode that contrasts with the brittle behavior of lower-strength concrete groups. These experiments clearly illustrate the influence of concrete compressive strength on the prevention of shear cracks in reinforced concrete beams.
Figure 2.
Three-point bending tests of reinforced concrete beams.
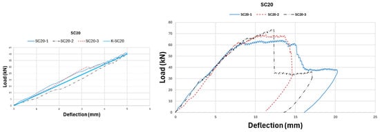
The load-deflection graphs of the three-point bending tests presented in Figure 2 are given in Figure 3, Figure 4 and Figure 5. Figure 3, Figure 4 and Figure 5 present the three-point bending test results of SC20, SC30 and SC40 reinforced concrete beams in the form of initial stiffness and load deflection, respectively.
Figure 3.
Three-point bending tests of SC20-reinforced concrete beams: initial stiffness and load deflection.
Figure 4.
Three-point bending tests of SC30-reinforced concrete beams: initial stiffness and load deflection.
Figure 5.
Three-point bending tests of SC40-reinforced concrete beams: initial stiffness and load deflection.
The initial stiffness of reinforced concrete beams varies according to the concrete compressive strength value, as shown in Figure 6. Between SC20 and SC30, the initial stiffness value increased by approximately 32.5% depending on the concrete compressive strength value. This value increased by around 40% from SC20 to SC40. The ultimate load-carrying capacity averages were obtained as 68.88, 78.97 and 79.57 kN for SC20, SC30 and SC40, respectively. This clearly reveals the effect of the concrete compressive strength on the ultimate load-carrying capacity and failure modes in reinforced concrete beams. Although the load carrying capacities of the beams are relatively close to each other, the beams in the SC20 group appear to have a very limited deflection capacity and brittle fracture mechanism in terms of deflection and failure behavior. The failure behavior of reinforced concrete beams presented in Table 2 are presented with the abbreviations shear crack (SC) and flexural crack (FC).
Figure 6.
Effect of concrete compressive strength on initial stiffness K and average load deflection graph for SC groups.
Table 2.
Comparison of three-point bending test and theoretical calculation results of reinforced concrete beams.
When the inferences from the test results in Table 2 and Figure 6 are examined in detail, it is seen that the SC20, SC30 and SC40 groups have very similar load-deflection graphs with the steel rebar-RC beams in previous studies and that compatible and consistent graphic curves are formed even though their failure behavior varies depending on the material strength [5,8,9,12,13]. The ductile and brittle failure behaviors, the initial stiffness and deflection of the curve in the nonlinear region, shear cracks occurring in low-strength concrete and close to supports, and the bending cracks becoming evident in the beam mid-span and with more capillary cracks are also in good agreement with studies in the literature. It was observed that shear cracks as thick as 1–2 cm formed suddenly and at angles of approximately 60 degrees in the regions of the beams close to the supports. It was determined in the tests that the beams failed after the formation of shear cracks. Flexural cracks, on the other hand, appeared as very thin cracks and over time they formed perpendicular and multiple cracks at angles close to 90 degrees in the middle region of the beam, allowing the beams to continue to carry loads and keeping the structural beam element safe from sudden failure. The average deflection of beams with low concrete strength was 17 mm. In contrast, the deflection values for beams in the moderate and high concrete strength groups were approximately 3.5 times greater, with the SC30 and SC40 beams exhibiting deflections of approximately 62 mm and 59 mm, respectively. This demonstrates the enhanced flexibility and ductility of beams with higher concrete strength, allowing for greater deformation before failure compared to those with lower concrete strength. An analysis of Figure 3, Figure 4 and Figure 5 clearly illustrates the load-deflection values. Additionally, the consistent failure behavior and similar load-deflection curves observed across the beams in all three groups serve to validate the consistency and reliability of the experimental procedures employed in this study. These findings affirm that the results are reproducible and that the observed trends in beam performance are consistent across different concrete strength categories. In terms of the energy absorption capacity in seismic situations, it was calculated that beams with low concrete strength have an energy absorption capacity of 25% compared to beams with moderate and high concrete strength. For the energy absorption capacity of RC beams, the load-deflection curves presented as a result of the experimental study were calculated and evaluated by taking into account the areas under the graph. Upon examining Table 2, it is evident that the ultimate load-carrying capacities predicted using the theoretical formulation and the expected values exhibit a high degree of agreement with the experimental results. The error rate between the theoretical-expected values and the experimental values is less than 5%, indicating a high level of accuracy and reliability in the theoretical approach. The ultimate bending moment capacities of the experimentally obtained beams were determined as 30.99 kNm, 35.55 kNm and 35.80 kNm for SC20, SC30 and SC40, respectively. The fact that no shear crack failure mechanism was observed in other beams except for the low-strength beam group clearly shows the importance of the concrete compressive strength effect.
4. Machine Learning Analysis
With the development of artificial intelligence technology in recent years, this technology has begun to be used in almost every field in today’s world. Although the machine learning method, which is one of the sub-analysis methods of artificial intelligence, has a very limited use in civil and structural engineering, studies prove that the machine learning method gives very consistent and fast results with experimental results. Machine learning (ML) techniques were integrated into this study to complement the experimental analysis by predicting the deflection behavior of reinforced concrete (RC) beams under three-point bending. The dataset, generated from the load-deflection responses of nine steel rebar-RC beams tested experimentally, was used to train and validate various ML regression models. Python’s PyCaret library was utilized for automating the ML workflow. PyCaret is an open-source Python library designed to accelerate data science and machine development processes. It helps users quickly extract meaning from datasets, apply various techniques and match models to find the optimal solution. PyCaret simplifies and automates a number of steps, such as data preprocessing, model building, model evaluation and model development, making complex machine configuration projects more accessible. The dataset was split into 80% training data and 20% testing data, with key input parameters including concrete compressive strength (fc′), beam dimensions, reinforcement type, reinforcement ratios and load values, while the target variable was the midspan deflection (Δ). A total of 18 regression models was evaluated, including Gradient Boosting Regressor, Light Gradient Boosting Machine, K Neighbors Regressor, Ada Boost Regressor and Extra Trees Regressor, among others. The models were assessed using 10-fold cross-validation and performance metrics such as the Root Mean Square Error (RMSE), Mean Absolute Error (MAE) and the coefficient of determination (R2). Hyperparameter tuning was conducted to optimize the models for higher accuracy and lower prediction errors. Among the tested models, the K Neighbors Regressor, Gradient Boosting Regressor and Light Gradient Boosting Machine consistently demonstrated the highest prediction accuracy, while the K Neighbors Regressor achieved the highest R2 value of 0.9968 for a specific beam, highlighting its reliability in certain cases. By integrating experimental data with ML analysis, this study provides a robust framework for predicting load-deflection behavior, validating experimental findings, and offering insights into optimizing structural design parameters. Figure 7 represents the model of ML structure used in the present study.
Figure 7.
Overall structure of the developed ML models.
The 18 machine learning regression models utilized in the ultimate load-deflection curve capacity research obtained from the experimental results of steel rebar-reinforced concrete beams are displayed in Table 3. Various concrete compressive strengths, beam cross-sectional widths, heights, effective depths and reinforcement ratios were considered in the research. Given that the regression methods available in PyCaret are well-suited to the dataset used in this study, it was chosen to analyze the outcomes from these methods.
Table 3.
ML regression models.
4.1. Assessment Metrics
In statistical computation techniques, to interpret the effectiveness of a machine learning algorithm, frequently utilized metrics include the Root Mean Squared Log Error (RMSLE), Root Mean Square Error (RMSE), Mean Absolute Error (MAE), Mean Squared Error (MSE), Coefficient of Determination (R2) and Mean Absolute Percentage Error (MAPE). These assessment metrics objectively evaluate the degree of proximity between the ML regression model’s forecasts and the actual values. In a competently performing model, inferior values of RMSE, MAE and MAPE exhibit better performance, while R2 values closer to 1.00 also display better performance [25]. The latter metric shows the fit of the model: R2 gives you a quick idea of how good the model is. A high R2 value indicates that the model fits the data well and explains a large portion of the target variable. Also, a high R2 value indicates that it is modelling a linear relationship, but it can be misleading in nonlinear relationships. The MSE measures the size of the model’s error: it measures how far away the predictions are. A lower MSE value indicates that the model’s predictions are closer to the truth. The MAPE provides the percentage error rate, expressing the model’s accuracy as a percentage, which provides a more understandable metric for understanding the model’s success. For example, an MAPE of 10% means that the model’s predictions are accurate with an average error of 10%.
The evaluation equations are displayed as Equations (6)–(9) [25]:
The estimation of strength, ultimate load-carrying capacity and deflection values of composites using PyCaret regression analysis has been studied to a limited extent, but the analysis outcomes are highly consistent [26]. MAE, MSE, R2, RMSE, RMSLE values were calculated for the estimation of ultimate load-deflection curves of reinforced concrete beams with 18 different regression analyses, and the regression models that produced the best results in each analysis were taken as the reference, and the names of these models and the number of times they demonstrated the best estimate are displayed in Figure 7. Table 4 presents the input and output values of important parameters utilized in machine learning regression models. From the input values presented in Table 4, concrete compressive strengths (fc′) were taken into consideration separately for the C20, C30 and C40 series for the 28-day-old cube sample results of fresh concrete. Tensile yield strength (fy) values for steel reinforcement were kept constant at 420 MPa. The width, height, length and effective depth values of the beams were also considered as constants. The ultimate load (F)-carrying capacities of reinforced concrete beams obtained in three-point bending tests exhibited a minimum of 64.09 kN and a maximum of 81.68 kN in ML regression analyses. The reinforcement ratios (⍴b) were also included in the analysis, going from the lowest to the highest value.
Table 4.
Statistical details of the parameters in the database.
4.2. Machine Learning Analysis and Discussion
The machine learning (ML) methodology implemented in this study provided a detailed and accurate prediction framework for the deflection behavior of reinforced concrete (RC) beams under varying load conditions. A total of 18 regression models was employed to predict deflection values based on load-deflection experimental datasets for beams reinforced with steel rebars across three concrete compressive strength levels: low (C20), moderate (C30) and high (C40). The ML analysis was performed using the PyCaret library, employing an 80:20 training-to-testing data split and 10-fold cross-validation to ensure robustness and generalization of the models. In k-fold cross-validation, choosing k = 10 is a very common choice to evaluate the performance of a model. This choice provides many advantages, especially over alternative values such as k = 5 or k = 20. These advantages are providing balance, generalization ability and accuracy of the model; high performance and computational efficiency; full use of the data set; good management of the overfitting and underfitting balance; high reliability; and widespread use. Choosing k = 10 provides a strong performance evaluation by balancing the generalization ability of the model, computational efficiency, accuracy and reliability. It provides a computationally efficient option where both training and test data sets are of an appropriate size. For this reason, k = 10 is a frequently preferred value in most machine learning applications and especially for cross-validation. Figure 8 illustrates the k-fold cross-validation methodology (k = 10) used to confirm model robustness and reliability.
Figure 8.
K-fold cross-validation method (K = 10).
In ML analyses performed by selecting k = 10 with the k-fold cross-validation method, the data set is divided into 10 equal parts. While using the dataset for 80% training and 20% testing, each part is used for training and testing. The result is obtained by taking the average of the 10 calculations. For example, the iterations may be as follows: 1st Iteration (Part 3–10 training, Part 1–2 testing), 2nd Iteration (Part 1, 4–10 training; Part 2–3 testing), 3rd Iteration (Part 1, 2, 5–10 training; part 3–4 testing), etc.
4.3. Model Evaluation
The regression models were evaluated based on their ability to predict deflection values with high accuracy, measured primarily through the R2 metric. For each beam, the model yielding the most accurate deflection predictions under ultimate load conditions was identified. Additionally, prediction error and residual plots were generated to assess the alignment between experimentally measured and predicted values. Representative prediction error and residual plots for selected beams, such as SC20, SC30 and SC40, are displayed in Figure 9, Figure 10 and Figure 11. The PyCaret library facilitated an accuracy evaluation through six statistical metrics, including the Root Mean Squared Log Error (RMSLE), Root Mean Square Error (RMSE), Mean Absolute Error (MAE), Mean Squared Error (MSE), Coefficient of Determination (R2) and Mean Absolute Percentage Error (MAPE), providing a comprehensive understanding of the models’ predictive capabilities [26]. Figure 9 presents the R2 and residual error graphs of the ML models that gave the highest estimate from the 18 different machine learning regression analysis results of the beams named SC20-1, SC20-2 and SC20-3 belonging to the SC20 group, according to the experimental results.
Figure 9.
Prediction error and residual plots of SC20 beams: (a) SC20-1; (b) SC20-2; and (c) SC20-3.
Figure 10.
Prediction error and residual plots of SC30 beams: (a) SC30-1; (b) SC30-2; (c) SC30-3.
Figure 11.
Prediction error and residual plots of SC40 beams: (a) SC40-1; (b) SC40-2; (c) SC40-3.
The machine learning regression analyses performed for the SC20 group yielded the most accurate deflection predictions for beams SC20-1 and SC20-3 using the K-Nearest Neighbors (KNN) Regressor model. In contrast, the Gradient Boosting Regressor (GBR) model demonstrated superior predictive performance for the deflection of beam SC20-2, providing the most reliable estimates. Figure 10 presents the R2 and residual error graphs of the ML models that gave the highest estimate from the 18 different machine learning regression analysis results of the beams named SC30-1, SC30-2 and SC30-3 and belonging to the SC30 group, according to the experimental results.
The machine learning regression analyses for the SC30 group indicated that the Gradient Boosting Regressor (GBR) model delivered the most accurate deflection predictions for beams SC30-1 and SC30-2. On the other hand, for beam SC30-3, the Light Gradient Boosting Regressor (LGBR) model outperformed the others, providing the most reliable estimates of deflection.
Figure 11 presents the R2 and residual error graphs of the ML models that gave the highest estimate from the 18 different machine learning regression analysis results of the beams named SC40-1, SC40-2 and SC40-3 and belonging to the SC40 group, according to the experimental results. For the SC40 group, the machine learning regression analyses showed that the K-Nearest Neighbors (KNN) Regressor model was the most accurate in predicting the deflection of beams SC40-1 and SC40-3. Conversely, the Gradient Boosting Regressor (GBR) model provided the most reliable deflection predictions for beam SC40-2, exhibiting superior performance. Table 5 below presents the analysis results with 18 different machine learning regression models for beam-deflection estimation.
Table 5.
Performance metrics of ML model.
According to the experimental results, the most consistent prediction was obtained with the 0.9968 R2 value of the K Neighbors Regressor regression model on the SC40-1 beam, while the least accurate prediction was obtained with the 0.8552 R2 value of the Gradient Boosting Regressor model on the SC30-2 beam. The analysis involved evaluating nine beams using 18 different regression models to predict the deflection. Among the models tested, it was found that the highest accuracy in predicting deflection was achieved with the k-Nearest Neighbors (KNN), Gradient Boosting Regression (GBR) and LightGBM Regression (LGBR) models. The results of the machine learning regression analysis performed for the deviation are presented in Figure 12 for each beam and for the average R2 value of all beams.
Figure 12.
The results of the machine learning regression analysis performed for the deflection.
Figure 13 provides a comparative overview of the prediction capabilities of the various ML models. It underscores the dominant performance of the knn and gbr models, which accurately predicted deflection values for the largest number of beams. The Light Gradient Boosting Machine model followed closely, excelling in specific scenarios. While the knn and gbr models each made the highest prediction four times, the lgbm model made the highest prediction once.
Figure 13.
Prediction numbers of the most optimal predictive ML regression models.
5. Conclusions
This study combined theoretical, experimental testing and machine learning (ML) techniques to analyze the flexural behavior of reinforced concrete (RC) beams reinforced with steel rebars across low (C20), moderate (C30) and high (C40) concrete compressive strengths. The key findings and suggestions from the study are outlined below:
The difference between the theoretical and experimental ultimate load-carrying values was less than 5%, indicating the accuracy and reliability of the theoretical methods, which are recommended as a benchmark for future studies.
The experiments clearly illustrate the influence of concrete compressive strength on the prevention of shear cracks in reinforced concrete beams. For this reason, concrete with a compressive strength below 30 MPa is not recommended for flexural elements.
It has been determined that beams with a low concrete compressive strength capacity of below 30 MPa have a deflection capacity of around 30% compared to beams with a moderate and high concrete strength.
In order to understand the safety status of the existing building stock with low concrete compressive strength, it is recommended as a result of this study to conduct bending tests and investigate reinforced concrete beam elements with different low strength degrees below 30 MPa.
It has been observed that beams constructed with low-strength concrete exhibit only approximately 25% of the energy absorption capacity compared to those made with moderate- or high-strength concrete.
In general, machine learning regression models predicted the deflection value with over 85% accuracy for all reinforced concrete beams. This shows that it is quite satisfactory and reliable in investigating the ultimate load-deflection capacity of many structural beam elements.
In predicting the load-deflection curves of reinforced concrete beams with low, moderate and high concrete compressive strength and steel rebar reinforcement, machine learning regression models were able to predict experimental results with an average accuracy of 95.33%.
k-Nearest Neighbors (KNN), Gradient Boosting Regression (GBR), and LightGBM Regression (LGBR) machine learning regression models are recommended in the literature for use in estimating the load-deflection behavior of structural reinforced concrete beam elements.
In future studies, it is planned to perform bending analyses of composite reinforced concrete beams, compare steel and composite reinforcement, and perform load-deflection capacity estimations with ML analyses in cases of hybrid use.
Funding
This research received no external funding.
Data Availability Statement
The experimental data is available upon request.
Acknowledgments
The author is grateful to Zonguldak Bulent Ecevit University and Sakarya University for sample preparation and experiments; and to SAYILI BETON and TEFYAP Limited Companies for their concrete and steel rebar support.
Conflicts of Interest
The author declares no conflicts of interest.
References
- Al-Zu’bi, M.; Fan, M.; Al Rjoub, Y.; Ashteyat, A.; Al-Kheetan, M.J.; Anguilano, L. The Effect of Length and Inclination of Carbon Fiber Reinforced Polymer Laminates on Shear Capacity of Near-Surface Mounted Retrofitted Reinforced Concrete Beams. Struct. Concr. 2021, 22, 3677–3691. [Google Scholar] [CrossRef]
- Zhu, Y.; Shi, T.; Zhu, Y.; Zhu, Z.; Wang, K. Analysis on Flexural Performance of Prestressed Steel-Reinforced UHPC Beams. Buildings 2024, 14, 4029. [Google Scholar] [CrossRef]
- Jahami, A.; Dayaa, L.; Assaad, J.J.; Baalbaki, O.; Khatib, J. Flexural Strength of Structural Beams Cast Using Combined Normal-Weight and Lightweight Concrete Mixtures. Buildings 2024, 14, 3787. [Google Scholar] [CrossRef]
- Hou, Z.; Nordin, N. Flexural Behavior of Inverted Steel Fiber-Reinforced Concrete T-Beams Reinforced with High-Yield Steel Bars. Buildings 2024, 14, 894. [Google Scholar] [CrossRef]
- Zhang, J.; Liu, C.; Wang, J.; Feng, X.; Huanqin, L. Experimental Study on Flexural Performance of Precast Prestressed Concrete Beams with Fiber Reinforcement. Buildings 2023, 13, 1982. [Google Scholar] [CrossRef]
- Aswin, M.; Al-Fakih, A.; Syed, Z.I.; Liew, M.S. Influence of Different Dapped-End Reinforcement Configurations on Structural Behavior of RC Dapped-End Beam. Buildings 2023, 13, 116. [Google Scholar] [CrossRef]
- Ghanem, H.; Chahal, S.; Khatib, J.; Elkordi, A. Flexural Behavior of Concrete Beams Reinforced with Recycled Plastic Mesh. Buildings 2022, 12, 2085. [Google Scholar] [CrossRef]
- Hussain, Q.; Ruangrassamee, A.; Joyklad, P.; Wijeyewickrema, A.C. Shear Enhancement of RC Beams Using Low-Cost Natural Fiber Rope Reinforced Polymer Composites. Buildings 2022, 12, 602. [Google Scholar] [CrossRef]
- Bawab, J.; Khatib, J.; Jahami, A.; Elkordi, A.; Ghorbel, E. Structural Performance of Reinforced Concrete Beams Incorporating Cathode-Ray Tube (CRT) Glass Waste. Buildings 2021, 11, 67. [Google Scholar] [CrossRef]
- de Sousa Leite, L.; Souza, M.T.; da Silva, E.J.; Benvenuti, T.; de Castro Pessôa, J.R.; Amado, F.D.R. Assessing the Flexural Strength of Reinforced Concrete Beams with Bamboo Splints Co-Assembled to Steel Rebars under Three- and Four-Point Flexural Strength Testing. Case Stud. Constr. Mater. 2024, 20, e02933. [Google Scholar] [CrossRef]
- Yoo, D.Y.; Soleimani-Dashtaki, S.; Oh, T.; Chun, B.; Banthia, N.; Lee, S.J.; Yoon, Y.S. Strain-Hardening Effect on the Flexural Behavior of Ultra-High-Performance Fiber-Reinforced Concrete Beams with Steel Rebars. Dev. Built Environ. 2024, 17, 100343. [Google Scholar] [CrossRef]
- Abbas, H.; Abadel, A.; Almusallam, T.; Al-Salloum, Y. Experimental and Analytical Study of Flexural Performance of Concrete Beams Reinforced with Hybrid of GFRP and Steel Rebars. Eng. Fail. Anal. 2022, 138, 106397. [Google Scholar] [CrossRef]
- Hasan, M.A.; Akiyama, M.; Kojima, K.; Izumi, N. Shear Behavior of Reinforced Concrete Beams Repaired Using a Hybrid Scheme with Stainless Steel Rebars and CFRP Sheets. Constr. Build. Mater. 2023, 363, 129817. [Google Scholar] [CrossRef]
- Gu, J.B.; Wang, J.Y.; Lu, W. An Experimental Assessment of Ultra High Performance Concrete Beam Reinforced with Negative Poisson’s Ratio (NPR) Steel Rebar. Constr. Build. Mater. 2022, 327, 127042. [Google Scholar] [CrossRef]
- Sarfaraz, A.; Harish, K.V. Experimental Study on the Fatigue Performance of Deep Reinforced Concrete Beams Subjected to Simultaneous Reinforcement Corrosion. Int. J. Fatigue 2025, 193, 108779. [Google Scholar] [CrossRef]
- Ben-dahou, A.; Ferrier, E.; Gabor, A.; Michel, L.; Gardes, R.; Boisson, R.; Poissonnet, C.; Dolo, J.M. Influence of Rebar Couplers on the Cracking Behavior of Reinforced Concrete Beams. Nucl. Eng. Des. 2024, 416, 112801. [Google Scholar] [CrossRef]
- Li, X.; Zhang, W.; Zhang, C.; Liu, J.; Li, L.; Wang, S. Flexural Behavior of GFRP and Steel Bars Reinforced Lightweight Ultra-High Performance Fiber-Reinforced Concrete Beams with Various Reinforcement Ratios. Structures 2024, 70, 107897. [Google Scholar] [CrossRef]
- Heitz, T. Understanding and Phenomenological Modeling of the Pinching Effect of the Load–Deflection Curve of Reinforced Concrete Beams Subjected to Bending. Mech. Res. Commun. 2024, 140, 104318. [Google Scholar] [CrossRef]
- Zhang, T.; Gao, D.; Xue, C. Flexural Strength Prediction of Concrete Beams Reinforced with Hybrid FRP and Steel Bars Based on Machine Learning. Structures 2024, 65, 106652. [Google Scholar] [CrossRef]
- Almustafa, M.K.; Nehdi, M.L. Machine Learning Prediction of Structural Response of Steel Fiber-Reinforced Concrete Beams Subjected to Far-Field Blast Loading. Cem. Concr. Compos. 2022, 126, 104378. [Google Scholar] [CrossRef]
- Hong, W.K.; Nguyen, V.T.; Nguyen, M.C. Artificial Intelligence-Based Novel Design Charts for Doubly Reinforced Concrete Beams. J. Asian Archit. Build. Eng. 2022, 21, 1497–1519. [Google Scholar] [CrossRef]
- Hong, W.K.; Nguyen, D.H.; Nguyen, V.T. Reverse Design Charts for Flexural Strength of Steel-Reinforced Concrete Beams Based on Artificial Neural Networks. J. Asian Archit. Build. Eng. 2023, 22, 1598–1636. [Google Scholar] [CrossRef]
- EN 1992-1-1; Eurocode 2: Design of Concrete Structures. European Committee for Standardization: Brussels, Belgium, 2004; pp. 1–227.
- Turkish Standard TS 500; Requirements for Design and Construction of Reinforced Concrete Structures. Turkish Standards Institutes: Ankara, Turkey, 2000.
- Le Nguyen, K.; Thi Trinh, H.; Nguyen, T.T.; Nguyen, H.D. Comparative Study on the Performance of Different Machine Learning Techniques to Predict the Shear Strength of RC Deep Beams: Model Selection and Industry Implications. Expert Syst. Appl. 2023, 230, 120649. [Google Scholar] [CrossRef]
- Gad, M.A.; Nikbakht, E.; Ragab, M.G. Predicting the Compressive Strength of Engineered Geopolymer Composites Using Automated Machine Learning. Constr. Build. Mater. 2024, 442, 137509. [Google Scholar] [CrossRef]
Disclaimer/Publisher’s Note: The statements, opinions and data contained in all publications are solely those of the individual author(s) and contributor(s) and not of MDPI and/or the editor(s). MDPI and/or the editor(s) disclaim responsibility for any injury to people or property resulting from any ideas, methods, instructions or products referred to in the content. |
© 2025 by the author. Licensee MDPI, Basel, Switzerland. This article is an open access article distributed under the terms and conditions of the Creative Commons Attribution (CC BY) license (https://creativecommons.org/licenses/by/4.0/).

