Vehicle–Bridge Coupling Vibration Analysis of a Highway Pile–Slab Bridge Based on the Contact Constraint Method
Abstract
1. Introduction
2. Establishment of a Finite Element Model for Highway Pile–Slab Bridge
2.1. Overview of the Project
2.2. Overall Static Analysis of the Spatial Beam Gird Model
2.3. Multi-Scale Finite Element Model
3. Analysis Methods for Vehicle–Bridge Coupling Vibration
3.1. Equation of Vehicle–Bridge Coupling Vibration
3.2. Vehicle–Bridge Coupling Vibration Model
3.3. Analytical Process
- (1)
- The finite element model of the bridge is constructed, and approach bridge models of specified lengths are established at both ends of the bridge model.
- (2)
- Define the parameters of the vehicle and the lane and construct a multi-rigid-body model for the vehicle in space.
- (3)
- Generate bridge deck roughness samples using a programming language and input these samples into the table array of the finite element software.
- (4)
- Point-to-surface contact is established between the contact node and the bridge deck unit.
- (5)
- In the solution layer, the analysis type is defined as transient analysis, and the constraint equation is established between the wheel bottom node and the contact node. The constant term of the constraint equation is set to zero, and the bridge deck roughness is not considered. The effects of structural gravity, secondary pavement, and uniform temperature are incorporated. The static analysis of the vehicle–bridge coupling model is carried out by closing the time integration in the first two load steps. In the first load step, the load is applied, and initial conditions are established, while in the second load step, the initial velocity of the structure is eliminated.
- (6)
- In subsequent load steps, enable the time integration, define the appropriate integration time step and the number of sub-steps of the load step, specify the load as the slope load, and define the mass damping coefficient. For each load step, apply the displacement constraint along the driving direction to all nodes and contact nodes of the vehicle model. Update the constraint equation with its constant term, which is defined as the bridge deck roughness value at the corresponding location.
- (7)
- Repeat step 6 until the vehicle has completely traversed the bridge.
- (8)
- Complete the solution and proceed to time–history post-processing analysis for the results.
4. Analysis of the Influencing Factors Affecting Vehicle–Bridge Coupling Vibration in Pile–Slab Bridges
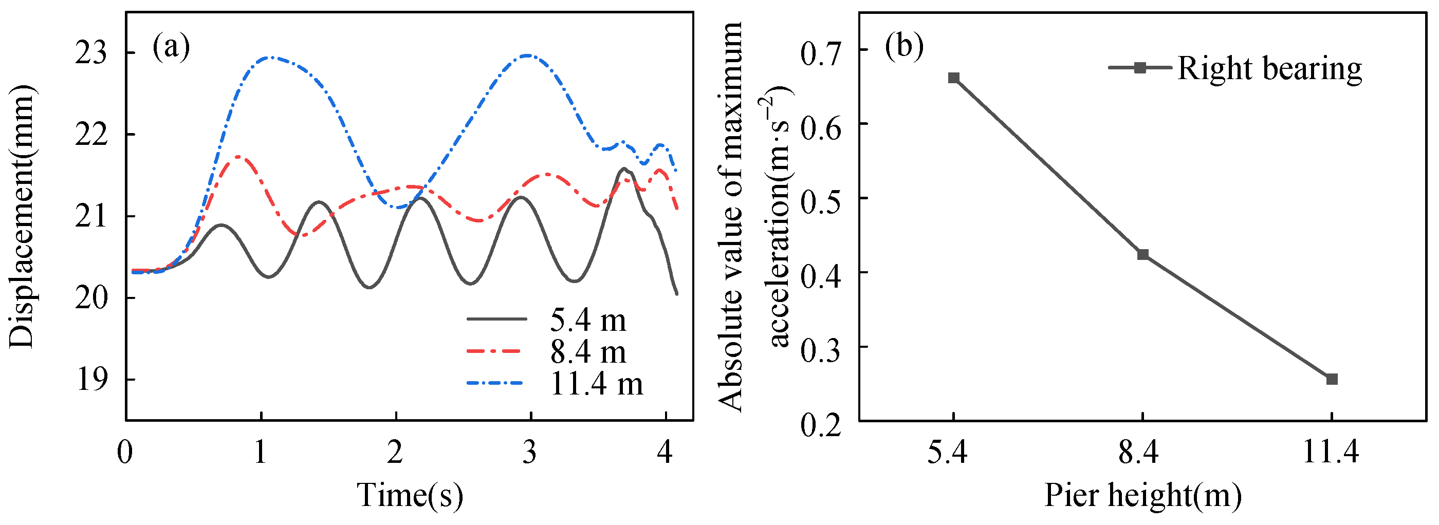
4.1. Analysis of the Effect of Pier Height
4.2. Analysis of the Effect of Vehicle Number
4.3. Analysis of the Effect of the Friction Coefficient Between Vehicle and Bridge
5. Conclusions
- (1)
- The pier height significantly influences the dynamic response of the pile–slab bridge. Numerical simulation results show that the vertical dynamic response and transverse acceleration response decrease as pier height increases. However, a higher pier may increase the longitudinal dynamic response. Therefore, during the design phase, it is crucial to consider the impact of pier height on various dynamic responses and determine an optimal range.
- (2)
- For bridge deck roughness grade C, the vertical displacement impact coefficient exceeds the specified value. Consequently, during bridge operation and maintenance, attention should be given to protecting the bridge deck to minimize impact. Additionally, the vehicle numbers and the friction coefficient between the vehicle and bridge significantly affect the longitudinal dynamic response and transverse acceleration response. In practice, this can be managed by coating the bridge deck and controlling lane distribution.
Author Contributions
Funding
Data Availability Statement
Conflicts of Interest
References
- Huang, L.; Li, H.T.; Xu, S.Z.; Dai, B.L. Structural system design and earthquake response analysis of prefabricated pile-plate bridge. J. Asian Archit. Build. Eng. 2023, 22, 2263–2274. [Google Scholar] [CrossRef]
- Jiang, X.Y.; Li, J.Z.; Liu, P.; Qu, H.Y.; Gao, J.F.; Bao, Z.H. Seismic performance of precast bridge bents with prestressed piles and new pocket connection design: Experimental and numerical study. Soil Dyn. Earthq. Eng. 2024, 183, 108822. [Google Scholar] [CrossRef]
- Wang, L.K.; Zhou, Y.; Shi, W.X. Random crowd-induced vibration in footbridge and adaptive control using semi-active TMD including crowd-structure interaction. Eng. Struct. 2024, 306, 117839. [Google Scholar] [CrossRef]
- Mostafa, N.; Di Maio, D.; Loendersloot, R.; Tinga, T. The influence of vehicle dynamics on the time-dependent resonances of a bridge. Adv. Bridge Eng. 2023, 4, 22. [Google Scholar] [CrossRef]
- Cheng, Z.N.; Zhang, N.; Sun, Q.K.; Shen, Z.G.; Liu, X. Research on Simplified Calculation Method of Coupled Vibration of Vehicle-Bridge System. Shock Vib. 2021, 2021, 9929470. [Google Scholar] [CrossRef]
- Hou, J.; Wang, J.; Xu, W.; Chen, Y.; Wang, B.; Liu, J.; Shen, B.; Li, Y.; Sun, H. An analysis method of vehicle–bridge coupling vibration considering effects of expansion joint parameters and its application. Struct. Control Health Monit. 2022, 29, e3065. [Google Scholar] [CrossRef]
- Guo, Y.H.; Wang, J.F.; Wu, Y.N.; Xu, J.G.; Huang, L.; Zhou, Q.; Kou, L. Research on damage identification of simply supported bridge based on effect size method for vehicle-bridge coupled vibration. Meas. Sci. Technol. 2024, 36, 016152. [Google Scholar] [CrossRef]
- Deng, L.; Wang, F. Study of the dynamic responses and impact factors of simply-supported prestressed concrete girder bridges due to vehicle braking. J. Hunan Univ. (Nat. Sci.) 2015, 42, 52–58. [Google Scholar]
- Zhu, S.Y.; Li, Y.L.; Togbenou, K.; Xiang, T.Y. An efficient optimization algorithm to study the stochastic responses of vehicle-bridge coupling systems. Comput. Sci. Eng. 2018, 21, 6–17. [Google Scholar] [CrossRef]
- Jiang, C.; Wu, C.; Cai, C.S.; Xiong, W. Fatigue analysis of stay cables on the long-span bridges under combined action of traffic and wind. Eng. Struct. 2020, 207, 110212. [Google Scholar] [CrossRef]
- Wang, J.F.; Pan, J.C.; Zhang, J.T.; Ye, G.R.; Xu, R.Q. Vehicle–bridge interaction analysis by the state-space method and symplectic orthogonality. Arch. Appl. Mech. 2020, 90, 533–557. [Google Scholar] [CrossRef]
- Stoura, C.D.; Paraskevopoulos, E.; Dimitrakopoulos, E.G.; Natsiavas, S. A Dynamic Partitioning Method to solve the vehicle-bridge interaction problem. Comput. Struct. 2021, 251, 106547. [Google Scholar] [CrossRef]
- Guo, F.; Cai, H.; Li, H.F. Impact coefficient analysis of curved box girder bridge based on vehicle-bridge coupling. Math. Probl. Eng. 2022, 2022, 8628479. [Google Scholar] [CrossRef]
- Zhang, L.; Wang, S.H.; Li, B. Dynamic response of a vehicle-bridge expansion joint coupled system. Shock Vib. 2022, 2022, 1621589. [Google Scholar] [CrossRef]
- Zhou, R.J.; Wang, Y.; Chen, H. Analysis of vehicle-bridge coupled vibration of long-span curved truss bridge in service. J. Vib. Eng. 2022, 35, 103–112. [Google Scholar]
- Wang, Y.; Liu, Z.; Zhou, R.J.; Zhao, Z.Y. Evaluation of the reinforcement scheme for a long-span curved truss bridge based on vehicle-bridge coupled vibration analysis. J. Vib. Shock 2022, 41, 199–209. [Google Scholar]
- Zhao, L.W.; Wang, Q.E.; Wang, G.C. Vehicle-bridge coupling vibration analysis of long-span arch bridge under the action of traffic flow. J. Railw. Sci. Eng. 2022, 19, 1004–1013. [Google Scholar]
- Liu, Y.; Yan, W.L.; Yin, X.F.; Wang, L.; Han, Y. Vibration analysis of the continuous beam bridge considering the action of jump impacting. Adv. Struct. Eng. 2022, 25, 2627–2640. [Google Scholar] [CrossRef]
- González, A.; Feng, K.; Casero, M. The use of the forced frequency of a bridge due to a truck fleet for estimating stiffness losses at low speed. Appl. Sci. 2022, 12, 11380. [Google Scholar] [CrossRef]
- Li, Z.; Li, Z.D.; Zhang, Y.S.; Chen, D.H.; Xu, S.Z.; Zhang, Y. Theoretical analysis and experimental study of vehicle-bridge coupled vibration for highway bridges. Arch. Appl. Mech. 2024, 94, 21–37. [Google Scholar] [CrossRef]
- An, L.P.; Li, D.J.; Yu, P.; Yuan, P. Numerical analysis of dynamic response of vehicle–bridge coupled system on long-span continuous girder bridge. Theor. Appl. Mech. Lett. 2016, 6, 186–194. [Google Scholar] [CrossRef][Green Version]
- Wang, L.; Jiang, P.; Hui, Z.; Ma, Y.; Liu, K.; Kang, X. Vehicle-bridge coupled vibrations in different types of cable stayed bridges. Front. Struct. Civ. Eng. 2016, 10, 81–92. [Google Scholar] [CrossRef]
- Zhang, Y.C.; Li, W.S.; Ji, Z.; Wang, G.C. Vehicle ride comfort analysis based on vehicle-bridge coupled vibration. Shock Vib. 2021, 2021, 5285494. [Google Scholar] [CrossRef]
- Chen, D.H.; Zhou, S.; Xu, S.Z.; Li, Z.; Fang, Y.L. Vehicle-Bridge Coupling Vibration Analysis for Simply Supported Girders of High-Speed Railway Bridges Based on the Cross-Sectional Decentralized Centre of Mass and Shear. Shock Vib. 2021, 2021, 1932047. [Google Scholar] [CrossRef]
- Zhang, R.Y.; Liu, S.Z.; Li, Z.F.; Han, Z.Q.; Zhao, M.W.; Zhang, Q.J.; Guo, Z.Q.; Tian, Z.J. Analysis of vehicle-induced vibration response of partially concrete-filled rectangular steel tube composite truss bridge. Sci. Technol. Eng. 2022, 22, 8494–8501. [Google Scholar]
- Nunia, B.; Koli, M.; Pandey, S.; Naik, S.; Dixit, A.K. Computational model on influence of prestress level on vehicle-bridge coupled vibrations. Int. J. Interact. Des. Manuf. 2023, 17, 2731–2743. [Google Scholar] [CrossRef]
- Liu, Y.X.; Wang, L.B.; Jiang, C.; Shu, H. Research on mechanical performance of in-service continuous rigid-frame bridge based on vehicle-bridge coupling vibration. Appl. Sci. 2024, 14, 6950. [Google Scholar] [CrossRef]
- Wang, Y.; Li, S.; Wei, N. Dynamic response impact of vehicle braking on simply supported beam bridges with corrugated steel webs based on vehicle-bridge coupled vibration analysis. CMES-Comput. Model. Eng. Sci. 2024, 139, 3467–3493. [Google Scholar] [CrossRef]
- Wang, X.M.; Li, Y.Q.; Xu, H.W. ANSYS Structural Analysis Unit and Its Application; People’s Transportation Press: Beijing, China, 2011. [Google Scholar]
- Deng, L.; Cai, C.S. Development of dynamic impact factor for performance evaluation of existing multi-girder concrete bridges. Eng. Struct. 2010, 32, 21–31. [Google Scholar] [CrossRef]
- Wang, X.M. Numerical Analysis Method for Coupled Vibration of Highway Bridge; People’s Transportation Press: Beijing, China, 2014. [Google Scholar]
- Zhou, B.; Hui, Y.X.; Zheng, X.B. Damage analysis of box girder based on a vehicle–bridge interaction system. Buildings 2023, 13, 547. [Google Scholar] [CrossRef]
- JTG D60-2015; General Specifications for Design of Highway Bridges and Culverts. Ministry of Transport of the People’s Republic of China, People’s Transportation Press: Beijing, China, 2015.
- Karalar, M.; Dicleli, M. Experimental and numerical studies on the proposed stiffener detailing of integral bridge steel H piles to alleviate the combined adverse effects of axial load and cyclic thermal displacements. Can. J. Civ. Eng. 2024. [Google Scholar] [CrossRef]
- Dicleli, M.; Karalar, M. Investigation of Low-Cycle Fatigue in Integral Bridge Steel H-Piles Due to Thermal-Induced Cyclic Displacements via Experimental Testing and Numerical Simulation. In Proceedings of the FIB Symposium 2023 Building for the Future: Durable Sustainable Resilient, Istanbul, Turkey, 5–7 June 2023. [Google Scholar]
- Karalar, M.; Dicleli, M. Effect of pile orientation on the fatigue performance of jointless bridge H-piles subjected to cyclic flexural strains. Eng. Struct. 2023, 276, 115385. [Google Scholar] [CrossRef]

















| Mode Number | Solid Model Frequency (Hz) | Spatial Beam Gird Model Frequency (Hz) | Mode Shape Description |
|---|---|---|---|
| 1 | 0.728 | 0.71 | First-order antisymmetric transverse vibration |
| 2 | 0.809 | 0.75 | First-order symmetrical transverse vibration |
| 3 | 0.811 | 0.76 | First-order longitudinal vibration |
| 4 | 2.773 | 2.25 | Second-order symmetric transverse vibration |
| 5 | 6.981 | 4.58 | Second-order antisymmetric transverse vibration |
| 6 | 11.208 | 7.14 | First-order symmetric vertical bending vibration |
| 7 | 11.280 | 9.70 | First-order antisymmetric vertical bending vibration |
| Parameter | Value | Parameter | Value |
|---|---|---|---|
| Quality of vehicle body 1/kg | 2276.5 | Suspension damping/(kN·s·m−1) | 10~53 |
| Quality of vehicle body 2/kg | 45,246 | Tire damping/(kN·s·m−1) | 3 |
| Pitching moment of inertia for vehicle body 1/(kg·m2) | 20,196 | Spacing of vehicle body/m | 2.5 |
| Pitching moment of inertia for vehicle body 2/(kg·m2) | 285,900 | Wheel spacing/m | 1.8 |
| Rollover moment of inertia for vehicle body 1/(kg·m2) | 2189.2 | Axle spacing/m | 1.4~7 |
| Rollover moment of inertia for vehicle body 2/(kg·m2) | 43,512 | Spacing between vehicle body centroid, axle, and hanging shaft/m | 1~4.5 |
| Quality of axle suspension/kg | 700~1000 | Height difference between vehicle body centroid and hanging shaft/m | 0.1~1 |
| Suspension stiffness/(kN·m−1) | 300~1250 | Height difference between vehicle body centroid and wheel centroid/m | 1 |
| Tire stiffness/(kN·m−1) | 1500~3000 | Height difference between wheel centroid and wheel bottom/m | 1.2 |
Disclaimer/Publisher’s Note: The statements, opinions and data contained in all publications are solely those of the individual author(s) and contributor(s) and not of MDPI and/or the editor(s). MDPI and/or the editor(s) disclaim responsibility for any injury to people or property resulting from any ideas, methods, instructions or products referred to in the content. |
© 2025 by the authors. Licensee MDPI, Basel, Switzerland. This article is an open access article distributed under the terms and conditions of the Creative Commons Attribution (CC BY) license (https://creativecommons.org/licenses/by/4.0/).
Share and Cite
Xu, S.; Shi, Z.; Lu, Y.; Song, Y.; Zhao, Z.; Li, C. Vehicle–Bridge Coupling Vibration Analysis of a Highway Pile–Slab Bridge Based on the Contact Constraint Method. Buildings 2025, 15, 415. https://doi.org/10.3390/buildings15030415
Xu S, Shi Z, Lu Y, Song Y, Zhao Z, Li C. Vehicle–Bridge Coupling Vibration Analysis of a Highway Pile–Slab Bridge Based on the Contact Constraint Method. Buildings. 2025; 15(3):415. https://doi.org/10.3390/buildings15030415
Chicago/Turabian StyleXu, Shizhan, Zhao Shi, Yinfeng Lu, Yongqiang Song, Zhantao Zhao, and Chengyu Li. 2025. "Vehicle–Bridge Coupling Vibration Analysis of a Highway Pile–Slab Bridge Based on the Contact Constraint Method" Buildings 15, no. 3: 415. https://doi.org/10.3390/buildings15030415
APA StyleXu, S., Shi, Z., Lu, Y., Song, Y., Zhao, Z., & Li, C. (2025). Vehicle–Bridge Coupling Vibration Analysis of a Highway Pile–Slab Bridge Based on the Contact Constraint Method. Buildings, 15(3), 415. https://doi.org/10.3390/buildings15030415
