Next Article in Journal
Research on Real-Time Energy Consumption Prediction Method and Characteristics of Office Buildings Integrating Occupancy and Meteorological Data
Next Article in Special Issue
Horizontal Bearing Characteristics of Large-Diameter Rock-Socketed Rigid Pile and Flexible Pile
Previous Article in Journal
Research on Recycling and Utilization of Shredded Waste Mask Fibers to Prepare Sustainable Engineered Cementitious Composites
Previous Article in Special Issue
Study on the Vibration Propagation Law and Stress Distribution Characteristics in Double-Arch Tunnels During Blasting
 
 
Font Type:
Arial Georgia Verdana
Font Size:
Aa Aa Aa
Line Spacing:
Column Width:
Background:
Article

Amplitude-Scaling Bias Analysis of Ground Motion Record Set in Strip Method for Structural Seismic Fragility Assessment

1
State Key Laboratory of Bridge Engineering Safety and Resilience, Beijing University of Technology, Beijing 100124, China
2
Key Laboratory of Building Collapse Mechanism and Disaster Prevention, Institute of Disaster Prevention, Langfang 065201, China
3
Shanghai Earthquake Administration, Shanghai 200062, China
*
Author to whom correspondence should be addressed.
Buildings 2025, 15(3), 401; https://doi.org/10.3390/buildings15030401
Submission received: 9 November 2024 / Revised: 10 January 2025 / Accepted: 24 January 2025 / Published: 27 January 2025
(This article belongs to the Special Issue Dynamic Response of Civil Engineering Structures under Seismic Loads)

Abstract

The multi-strip method is often used to establish a demand model for fragility analysis. Using the multi-strip method to scale the ground motion record may cause uncertainty and bias in structural response calculation and fragility assessment. It is necessary to analyze the effect of differences in the amplitude scaling range in different strips on structural seismic response calculation and seismic fragility assessment. In this paper, the multi-strip method was used to analyze the seismic demand bias based on four multi-story reinforced concrete frame structures subjected to eight ground motion record sets. The bias, variance, and coefficient of variation in different strips in each group of ground motion records were obtained. The effect of different strips on the demand bias was investigated by analysis of variance (ANOVA). Uncertainty quantification of structural demand and fragility curves was carried out using the bootstrap sampling method. The results for structures in different ground motion record sets verify that the differences between the demand bias for different strips by amplitude scaling are statistically insignificant for a 95% confidence level. These findings will contribute to the use of scaling methods for ground motion record sets in a probabilistic seismic demand assessment, allowing for a more reliable prediction of structural seismic fragility.

1. Introduction

Fragility analysis is one of the essential steps of Performance-Based Earthquake Engineering (PBEE) for assessing seismic performance and risk [1]. Both probabilistic demand analysis and fragility analysis require a list of ground motion records, including ground motions from weak to strong. Due to its simplicity and intuitiveness, engineers prefer to use recorded ground motions rather than simulated ones. The scarcity of strong ground motions with the desired intensity is the main drawback and obstacle for using real ground motions as excitation in the current strong motion database. To address this problem, current solutions generally involve selecting suitable or amplitude-scaled ground motion records based on comprehensive seismicity information using spectral matching methods for structural seismic fragility analysis [2,3]. It is not always feasible to select suitable ground motion records due to the time-consuming and costly nature of obtaining relevant seismicity information or the unavailability of such information [4]. Therefore, it is necessary to perform amplitude scaling on ground motion record sets, i.e., using a pre-collected ground motion record set, and thus accomplish the structural seismic fragility analysis. However, this approach introduces uncertainties and may introduce bias in the results of structural seismic response and fragility assessment.
The bias induced by amplitude scaling has been extensively studied for a significant period of time. Firstly, the impact of scaling ground motion on the calculation bias of structural seismic responses is investigated for earthquake scenarios with varying magnitudes and distances. Iervolino and Cornell [5] compared the structural response when subjected to two categories of ground motion record sets, considering scenarios with and without magnitude and distance. The results of the comparison show that there is no need to carefully select records based on site-specificity for magnitudes between 6.4 and 7.4, and that scaling different scenario records does not result in calculation bias. Luco and Bazzurro [6] studied the nonlinear structural drift response before and after scaling records randomly selected from an M-R bin (or range). According to the response results, they concluded that scaling does introduce bias, and the bias is associated with the scaling factor and the M-R range of scaling records. In addition to seismic scenarios, the relationship between structural free vibration characteristics and the bias induced by amplitude scaling is investigated. Hancocket [7] demonstrated that the selection of ground motion records matching the earthquake magnitude was sufficient to prevent bias, based on the lack of bias in the damage measures of structure. The number of records required to obtain a stable estimate of the structural seismic responses is significantly reduced when a reasonable record selection method is chosen.
The spectral shape matching method is another method for selecting earthquake records. Baker and Cornell [3] concluded that applying a spectral-shape-matching approach to select ground motion records can prevent response estimation bias. Iervolino [8] conducted a study comparing nonlinear response results using various spectral matching accelerogram programs. Their study concluded that amplitude scaling is a legitimate practice. The response results of scaling records are not systematically biased compared to unscaled records when record selection considers spectral matching.
In addition to seismic record selection, there are also studies on the relationship between structural free vibration characteristics and bias caused by amplitude scaling. Zacharenaki et al. [9] compared estimation results of structural seismic performance before and after amplitude scaling, and introduced a new method to quantify the bias and calculate conditional bootstrap confidence intervals. The study found a significant bias in the response assessment results for low-period structures, and the IDA methodology underestimates the response. As the period increases, the bias tends to become smaller. Dávalos and Miranda [10] concluded that the bias in demand and collapse estimation increases with the scaling factor, and this bias is strongly influenced by the free vibration period and lateral strength of the structure. Wen et al. [11] have evaluated the influence of ground motion scaling on the response of inelastic single-degree-of-freedom systems with different free vibration periods and strengths of structures, considering the interrelationship between intensity measure and scaling factor. They suggest using different intensity measures for structures with different free vibration periods if the bias induced by controlling the amplitude scaling is within 20%.
The range of amplitude scaling factors is also an important issue when addressing scaling bias. Krinitzsky and Marcuson [12] recommended a limited range for the amplitude scaling factor. Shome et al. [13] estimated the MDOF nonlinear structural response given an earthquake of magnitude M at distance R using unscaled and scaled records. They found that a reasonably limited range of amplitude scaling factors does not cause bias. Du et al. [14] observed significant differences in the results of engineering demand parameters for different amplitude scaling factors and recommended a specific range for the scaling factor. Tsalouchidis and Adam [15] analyzed the structural response of 10 planar steel frame buildings with different heights using a large number of records and assessed the potential biases induced by the corresponding amplitude scaling. The results indicate that amplitude scaling does not cause bias, and excessive scaling factors should be used with caution. Liang et al. [16] applied the CS-based three-component record selection method in the seismic analysis of arch dams. The results show that the selected record set with excessive SF is dominated by far-field low-amplitude records, which significantly overestimate the nonlinear response of arch dams. The scaling method may also affect the structural response. Zhang et al. [17] developed a weighted scaling method based on the Newmark–Hall target spectrum. It is argued that for twenty-story structures with long fundamental periods, the advantage of the weighted scaling method to reduce the variability of the structural response results will be more prominent than that of the weighted scaling method without it. Jara et al. [18] concluded that there is a huge difference in the response results of buildings when different scaling techniques are used. Palanci et al. [19] argued that if spectral shape compatibility is ensured, similar mean responses can be obtained irrespective of scaling constraints, methods, and building regularity. Demir A [20] considered the intra-set and inter-set variations in demand, and considered that the distribution of the mean of the structural responses was not affected by scaling methods and scaling levels.
Most of the aforementioned studies are based on seismic ground motion records selected when the seismic hazard information is known. In some cases, using the ground motion record set is a practical choice. When utilizing multiple ground motion sets, it may involve variability analysis between ground motion sets and uncertainty analysis of structural seismic fragility [4]. Similarly, Despoina [21] compared the group-to-group variability of structural seismic fragility and the risk for bootstrap and regrouping. Kiani [22] assessed the effect of the number of records on the accuracy and reliability of structural responses using the induced error and the coefficient of variation in structural responses, respectively. Baltzopoulos [23] used analytical and numerical means to investigate the sample size of records required to reach a quantifiable level of average relative estimation error of seismic risk indicators. Therefore, it is necessary to quantify the record-to-record and set-to-set uncertainty through different variances and combinations of variances.
Amplitude scaling is the process of modifying ground motion records with moderate or lower intensity to achieve a higher intensity. Specifically, scaling is the process of scaling the acceleration of a ground motion record up (or down) to match the targeted value of amplitude or spectrum by multiplying (or dividing) it by a scaling factor. Due to its simplicity, convenience, and ease of implementation, amplitude scaling has been widely used in related research fields such as fragility analysis and seismic performance assessment, for example, Incremental Dynamic Analysis (IDA) [24,25] and multi-strip analysis (MSA) [26].
When using the IDA method to evaluate seismic performance and seismic fragility of a structure, a series of ground motion records are scaled at increasing intensity levels until the structure collapses, requiring the use of multiple different scale factors. According to the IDA method, the ground motion records are input into the structure to obtain the statistical results of the seismic response for the structural engineering demand parameters (EDPs) and then quantify the probabilistic results of the parameters, such as structural damage and collapse, under different levels of ground motion intensity [27]. For example, the IDA methodology has been used in many studies to assess structural performance, quantify the probability of structural collapse, and estimate the risk of structural failure [28,29,30,31]. The strip method allows seismic demand data to be obtained for different records at a given intensity level, which can be statistically analyzed to better study record-to-record variability. The strip method is more concerned with the structural seismic response corresponding to a specific ground motion intensity and can determine the set of seismic hazard-matched ground motion records for each ground motion intensity of interest. For example, Ruggieri et al. [32] proposed a practical model suitable for multiple strip analyses to predict the behavior of a structure over a range of elastic and inelastic responses based on performing a small number of strip analyses. Based on the above analysis, this paper adopts the multi-strip method to establish the demand model and analyze the effect of the range of amplitude scaling factors on seismic demand bias in different strips.
In this paper, we consider the effects of the range of amplitude scaling factors of different strips on structural seismic demand bias and seismic fragility, as well as the variability of different ground motion record sets when the ground motion record set is used as the input to analyze structural seismic fragility using the multi-strip method.

2. Structural Modeling and Ground Motion Record Sets

2.1. Structural Modeling

In this paper, three-span reinforced concrete frame structures with three, five, eight, and ten floors were selected as the structural models for dynamic time-domain analysis [33]. The height of the first floor is 4.4 m, the height of the other floors is 3.3 m, the side span is 6 m, and the middle span is 2.4 m for all four structures. In order to simplify the models, a one-bay planar frame was selected as the research object. The structural response was obtained by modeling analysis using the finite element software OpenSees (version 3.2.2) [34]. In OpenSees, Concrete01 and Steel02 were selected to build the models. The P-delta effect was considered when the columns were modeled by using fiber nonlinearBeamColumn elements. All beams and columns of the structure were constructed using C30 concrete and HRB33 longitudinal reinforcement. Taking a five-story reinforced concrete frame structure as an example, Figure 1 shows the building information and cross-section reinforcement of the application example. The difference between the other structures and the five-story structure is the number of stories, in terms of building dimensional information. The fundamental natural periods of the structure were 0.704 s, 1.339 s, 1.721 s, and 2.048 s, respectively.

2.2. Ground Motion Record Sets

In order to assess the bias and uncertainty of the engineering demand parameters (EDP) after amplitude scaling by the strip method using ground motion record sets, we compiled eight sets of ground motion records for analysis. The response spectra of these real ground motion sets are shown in Figure 2. In the eight ground motion record sets, four sets, including Set1a, Set1b, Set2, and Set3, are the standardized ground motion sets selected and determined by PEER in the report [35] for completing the Research Transportation Research Program, and other four sets, including LMLR, LMSR, SMLR, and SMSR, are derived from Krawinkler et al. [36,37].
There are 80 unscaled horizontal ground motion records in each set of Set1a, Set1b, Set2, and Set3. The horizontal response spectra of these records were matched to the predicted median and log standard deviation of the scenario earthquake. For Set1a, the relevant parameters of the scenario earthquake are a magnitude M of 7, a distance R of 10 km, a strike-slip earthquake, and site VS30 (average shear wave velocity in the top 30 m) of 250 m/s. For Set1b, the relevant parameters of the scenario earthquake are magnitude M of 6, distance R of 25 km, strike-slip earthquake, and a site VS30 of 250 m/s. For Set2, the relevant parameters of scenario earthquake are a magnitude M of 7, a distance R of 10 km, a strike-slip earthquake, and a site VS30 of 760 m/s. For Set3, there are 80 unscaled ground motions containing strong velocity pulses with different pulse periods between 1.0 and 12.9 s, and an average value of 5.5 s. These four sets are not specific to a specific site and structure. The primary period range of these ground motion records was between 0 and 3 s, with secondary periods up to 5 s, covering the fundamental period for all structures in this paper. These four sets have ground motions with a variety of spectral shapes, which can obtain the variability of structural demand by these ground motions. It is helpful to identify the trend of the structural response as a function of the intensity parameter of the ground motion, which can be used to analyze the probability distribution and statistical result of the structural response. There are 40 ground motion records in each set of LMLR, LMSR, SMLR, and SMSR, and these records are, respectively, from the earthquakes with large magnitude and large distance (LMLR, 6.5 < Mw < 7.0, 30 < R < 60 km), large magnitude and small distance (LMSR, 6.5 < Mw < 7.0, 13 < R < 30 km), small magnitude and large distance (SMLR, 5.8 < Mw < 6.5, 30 < R < 60 km), small magnitude and small distance (SMSR, 5.8 < M < 6.5, 13 < R < 30 km). The selection of these four sets of ground motion records focused on magnitude and distances, without considering response spectra of ground motions and the site conditions as the four sets aforementioned.

2.3. Distribution of Scaling Factors

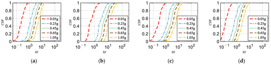
In order to evaluate the probability distribution of the amplitude scaling factor (SF) under different intensity levels, its cumulative distribution function (CDF) was calculated. The results are shown in Figure 3. Taking the peak ground acceleration (PGA) of ground motion as the intensity measure, the scaling target intensity levels were set to be 0.05 g, 0.25 g, 0.45 g, 0.65 g, and 1.05 g. According to Figure 3, the range of SF expands as the amplitude scaling target intensity level increases, and the range of CDF expands accordingly. The amplitude scaling factor here refers to the scaling ratio, which is the ratio of the intensity level after amplitude scaling to the intensity level before amplitude scaling. There are differences in scaling factors corresponding to different intensity levels, as well as differences in scaling factors among different ground motion record sets. The purpose of this study is to investigate the effect of amplitude scaling factors on structural response bias and demand results for different intensity levels within the same ground motion record set and among different ground motion record sets.

3. Strip Method for Estimating Structural Seismic Fragility

Probabilistic seismic demand analysis is an intermediate process of structural seismic fragility analysis. It analyzes the probabilistic relationship between the engineering demand parameter (EDP) and ground motion intensity measure (IM) for seismic responses of a structure or structural system. The seismic EDP of a structure is commonly assumed to follow a lognormal distribution under the condition that the ground motion intensity measure IM = x. Consequently, a probabilistic seismic demand model can be developed [38] as shown in Equation (1).
P E D P e d p I M = x = 1 Φ ln e d p / m D I M β D I M
where IM represents the ground motion intensity measure, EDP represents the seismic engineering demand parameter, edp represents the seismic demand limit, m D I M and β D I M represent the median and logarithmic standard deviation of the seismic demand of the structure under the action of a specific ground motion intensity measure. To perform probabilistic seismic demand analysis using Equation (1), it is necessary to determine the seismic engineering demand parameters m D I M and β D I M .
In this paper, the strip method is chosen for probabilistic seismic demand analysis and seismic fragility analysis of structures. The effect of ground motion scaling on the bias and dispersion of seismic demand results under a specific ground motion intensity is investigated. For the strip method, it can be assumed that the distribution of the seismic demand parameter for engineering structures under the action of a specific ground motion intensity follows a lognormal distribution. m D I M is the median value. β D I M is the logarithmic standard deviation of the EDP.
By substituting the median value m D I M and the logarithmic standard deviation β D I M of each strip into Equation (1), the structural probabilistic seismic demand model under the effect of each ground motion intensity level I M i (I = 1, 2, …, n) can be obtained from the following:
P E D P e d p I M i = 1 Φ ln e d p ln m D I M i β D I M i
The median value m C and logarithmic standard deviation β C of structural seismic capacity corresponding to different limit states of a structure are obtained by probabilistic seismic capacity analysis. In this paper, the moderate damage is taken as an example, m C is set to be 1% using the maximum interstory drift ratio as the engineering demand parameter, and β C is 0.3. Then, the displacement-based fragility function is obtained by combining the median value of the seismic demand of structure m D I M , and the log standard deviation β D I M . The corresponding fragility function in the strip method is shown in Equation (3).
F R I M i = Φ ln m D I M i ln m C β D I M i 2 + β C 2

4. Results and Discussion

4.1. Distribution of Engineering Demand Parameter Results

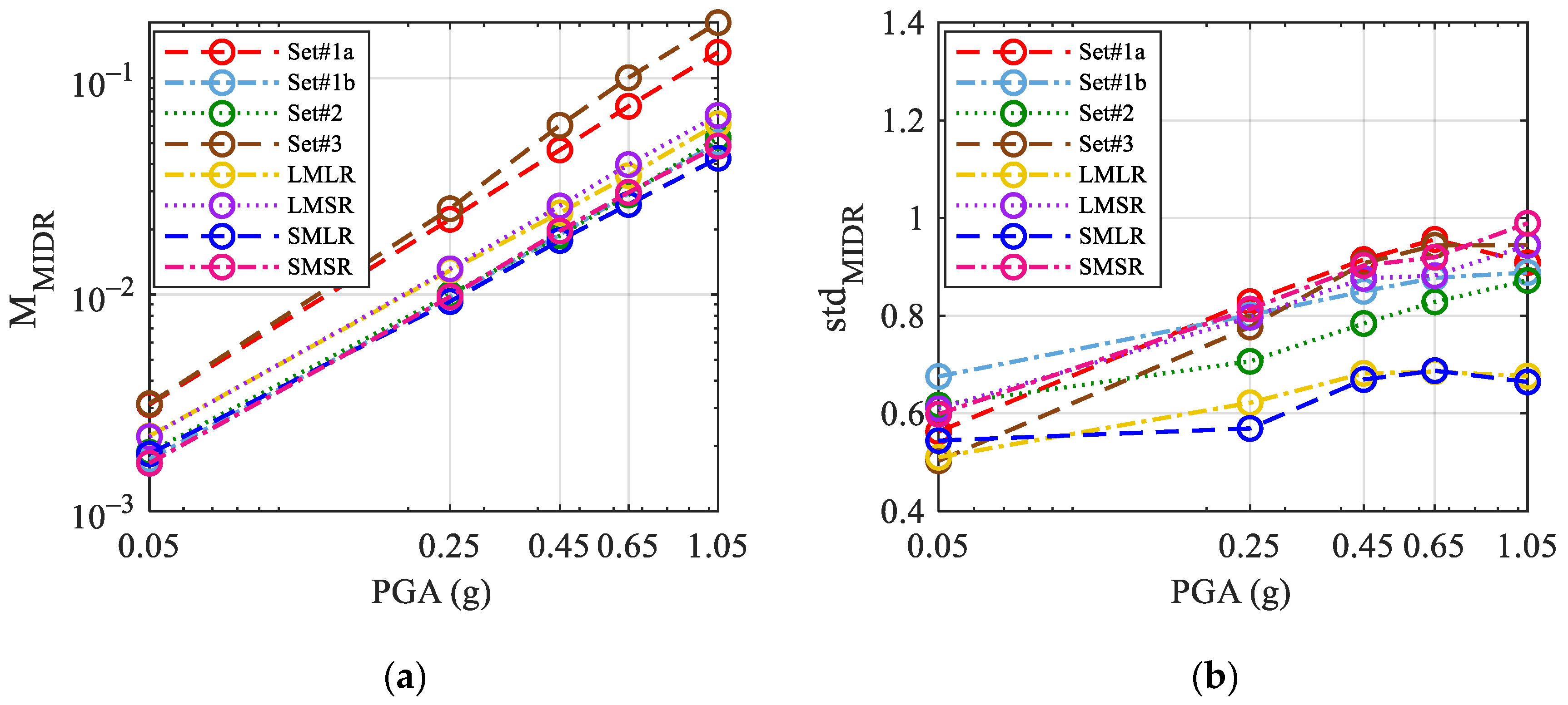
Taking the maximum interstory drift ratio as the demand parameter, Figure 4 shows the mean ( M M I D R ) and standard deviation ( s t d M I D R ) results of the demand of each strip for the three-story structure under different ground motion record sets. Figure 4a compares the mean values of the strips using eight different ground motion record sets. Figure 4a shows that the ground motion record set Set3 has the largest mean value of demand, and Set1a is larger than Set1b and Set2, which are close to the rest of the ground motion record sets for the same ground motion intensity. The ground motion record set Set3 contains strong velocity pulses with different periods, which leads to large mean values of structural response results. The ground motion record sets Set1a, Set1b, and Set2 match the identified ground motion records according to the earthquake scenario. Their structural demand response is correlated with the ground motion response spectrum, and the spectral value of Set1a at the fundamental period of the structure is larger than the spectral value of Set1b and Set2 after the amplitude modulation. The latter four types of ground motion records mainly consider the magnitude and distance to determine the ground motion. Therefore, from the median demand results, the effect of magnitude on the demand results is slightly larger than the effect of distance. The curve is obtained by connecting the mean of each strip, demonstrating the variation in the means at different intensity levels. Straight lines can be fitted to the demand mean points corresponding to different intensity levels, and the coefficients of determination of the fitted straight lines R 2 are all greater than 0.99, indicating a good fit. The values on the fitted straight line are considered a reference to study the overall inter-record deviation for each record set. Figure 4b illustrates the variation in the standard deviation of each strip demand for eight different ground motion record sets. The demand variances of LMLR and SMLR are overall smaller than those of other record sets. Considering the difference between LMLR and SMLR and other record sets, increasing the distance may reduce the demand variance. The variance changes exhibit an increasing trend with the increase in ground motion intensity. Most of the record sets show an overall increasing trend in variance, initially increasing rapidly and then gradually increasing slowly, and finally stabilizing or slightly decreasing.

4.2. Bias of Engineering Demand Parameter Results

All four structural models utilized eight different ground motion record sets, and the amplitudes of all records in each record set were scaled to the target intensity level. As shown in Figure 4a, the mean values of IM and EDP in each record set for all structures obey the logarithmic linear relationship. And linear regression is performed. Using the fitting results of the regression lines as a reference, the bias was defined as the absolute value of the difference between the scaled structural response value and the reference value. Taking Set1a as an example, the specific results are shown in Figure 5. In Figure 5, the bias values of the different amplitude scaling factors for five specific intensity levels are shown by the scatter points. The bias ranges are relatively consistent, with all four structures showing a range of 0 to 2. The mean, 84th percentile, and 16th percentile values are shown in Figure 5 using solid, dashed, and dotted lines, respectively. For instance, for the three-story structure, the mean value of the demand bias at different intensity levels is approximately 0.5 for the ground motion record Set1a. The results for other structures are similar, with the mean value of the bias around 0.5, indicating relative stability. The fluctuation of the 84th percentile is slightly amplified. The absolute value of amplitude scaling bias increases and then decreases for the three-story and five-story structures, and it is basically stable for the eight-story and ten-story structures. When the Set1 b ground motion record is applied, the mean values of the amplitude scaling bias increase first and then stabilize for the three-story structure, and for other structures they decrease first and then stabilize. For Set1b and Set2, the mean values of the amplitude scaling bias increase first and then stabilize for most structures, and some structures are basically stable. The variation in the amplitude scaling bias of the other four ground motion record sets is basically consistent with Set1b and Set2. From the distribution of the absolute value of the amplitude scaling bias, the mean value of the scaling bias tends to be stable, with the increase in the amplitude scaling bias range.
The mean values of bias ( M B i a s ) for each record set were calculated and plotted on a scatterplot, as shown in Figure 6. In Figure 6, the biases of all ground motion record sets at five specific intensity levels are represented in the scatterplot. The range of the mean values of biases of ground motion record sets is primarily concentrated between 0.3 and 0.9. For the three-story, five-story, and eight-story structures, the mean values of biases and the mean of the amplitudes of eight ground motion record sets initially increase and then stabilize around 0.7 and 0.6 as the amplitude range increases. And for the ten-story structure, the mean values of the bias and the means of the demand remain basically stable and increasing slightly as the amplitude range increases. The mean curves for the mean seismic demand bias fluctuate more for three-story and five-story structures and less for eight- and ten-story structures. Specifically, the mean values of structural demand biases for LMLR and SMSR are relatively small, and for three-story and five-story structures, they vary in line with the mean curve. For the eight-story and ten-story structures, the curves of one part of the record set first increase and then remain stable, and the other curves first decrease and then remain stable. The curves of each record set first increase or decrease and finally stabilize similarly to the change in the overall mean curve. The ground motion intensity level is different when the mean of the bias is stable for different structures, but the trend of the mean of bias with the intensity is similar. This indicates that the mean values of the seismic demand bias of different structures do not always increase with the increase in amplitude scaling range.

4.3. Total Variance of Ground Motion Record Set

The variances of inter-set and intra-set of ground motions were considered a source of variability according to first-order assumptions [38]. The total variability was then determined by combining the variances of inter-set and intra-set using the following formula.
β total   2 = β intra   2 + β inter   2 β intra   2 = 1 N set   k = 1 N set   β k ,   intra   2 β inter   2 = 1 N set   1 k = 1 N set   η ˉ η k 2
where β k ,   intra   2 is the variance of each record in the ground motion record set k, η k is the mean value of the response bias in the ground motion record set k, and η ˉ is the mean value of η k for all ground motion sets.
Figure 7 presents a comparison of three variance values obtained using the multi-strip approach, as shown in Equation (4). In general, all three variance curves for each structure demonstrate that the three dispersions increase as the scaling range increases. Specifically, the variance curves for each structure indicate that the intra-set dispersion β i ntra is dominant. The total dispersion, denoted as β t otal , is primarily influenced by β i ntra , and both changes are essentially the same. In all strip ranges, the range of β i ntra is between 0.35 and 0.5, and β i nt er is between 0.05 and 0.14. This implies that more emphasis should be placed on the effect of β i ntra on β t otal .

4.4. The Coefficient of Variation in Amplitude Scaling Effects

The coefficient of variation (cov) was used to further analyze the impact of scaling range on demand bias. The standard deviation and mean of the demand bias were calculated for each record set, and the coefficient of variation was expressed as the ratio of the standard deviation and mean. Scatter plots of the coefficient of variation for each ground motion record set at different scaling ranges are shown in Figure 8 for the four structures. According to the distribution of the coefficient of variation in a ground motion record set in different strips, the coefficient of variation is basically distributed in the range of 0.5 to 1. The results for different structures do not differ significantly, except for the ten-story structure, which is more concentrated, and there exists a dispersion point with a coefficient of variation of 1.14. This suggests that the amplitude scaling factor may have no effect on the overall bias variability of a ground motion record set, or the effect is not significant. The coefficient of variation for the eight ground motion sets were averaged, and the curves are plotted in Figure 8. From the mean value curves of the coefficient of the variations, it can be observed that the mean value initially decreases and then stabilizes around 0.7 as the ground motion intensity increases. This indicates that increasing the range of the amplitude scaling factor does not improve the dispersion of the demand bias results.

5. Analysis of Variance

The previous sections demonstrate that the mean and variance generally exhibit a certain level of stability, and the results obtained from different strips are relatively consistent, including the coefficient of variation. To further evaluate whether different strips have a significant impact on bias results, it is recommended to employ the one-way ANOVA method [39,40,41]. One-way analysis of variance (ANOVA) is a statistical method used to compare whether there are significant differences in the means of the dependent variable (response variable) at different levels (groups) of an independent variable (factor). ANOVA assumes that each group has equal variance (homogeneity of variance) and that the data are normally distributed within each group. ANOVA determines whether there is a statistically significant difference in the means of each group by comparing the variation in inter-group and intra-group. Before performing ANOVA, it is necessary to verify that the variances of all strips are equal. This is one of the prerequisites for conducting ANOVA. Common test methods for assessing the homogeneity of variances include Levene’s Test or Bartlett’s Test. If variance consistency does not exist, other alternative ANOVA methods should be used. In this study, a homogeneity test of variances was performed, and the p-value obtained is presented in Table 1. According to the data in Table 1, it can be observed that 17 results reject the null hypothesis, indicating that the variance results do not meet the assumption of consistency. For results with inconsistent variances, Welch’s ANOVA method was used for analysis of variance.
In analysis of variance, if the null hypothesis is accepted, it can be concluded that there is no significant difference in the means of the response variable at different levels (groups) of the independent variable. In this study, eight ground motion record sets were used, and the amplitude was scaled to five intensity levels. Therefore, the degrees of freedom between and within groups were calculated, respectively. The critical value of F was determined to be 2.3907. When using one-way analysis of variance, the confidence level was chosen to be 95%. The F values calculated by variance analysis of different ground motion record sets were shown in Figure 9. The difference between the demand biases of different record sets is observed. Comparing the F values calculated by variance analysis for different ground motion record sets and the four structures, the F values for the five-story structure are larger, and the distribution is relatively discrete, and the F values of other structures are relatively concentrated. In general, all structures have F values below the F critical value. A lower F value indicates that the within-strip variability of the ground motion record set has a greater effect on the total variability than the inter-strip variability. It can be considered that the results of different ground motion record sets confirm that different strips have no significant impact on the mean value of amplitude scaling bias. Thus, it can be concluded that the differences in demand biases within different strips are statistically insignificant, with a confidence level of 95% for all structures, as well as all ground motion record sets used in this study.

6. Quantification of Uncertainty of Structural Seismic Fragility

The bootstrap method is a statistical inference technique that directly resamples the original data to generate new samples. By applying the multi-strip method to all eight ground motion record sets, the results were resampled using the bootstrap method to obtain a large number of bootstrap samples. The confidence intervals of bias and fragility results were calculated. The confidence interval of bias further provides further insight into the changes in amplitude scaling bias among different strips and enhances the credibility of results. Figure 10 displays the confidence intervals of the median amplitude scaling bias of each strip for the five-story structure under the excitation of eight ground motion record sets. Generally, with the increase in the scaling range of the strip, the median and 5% and 95% quantiles of the bootstrap bias samples initially increase and then either decrease or remain stable. This suggests that widening the amplitude scaling range does not significantly increase the scaling bias. With the expansion of the amplitude scaling range, the median and 5% and 95% quantiles of the bootstrap bias samples of all record sets increase first and then remain stable for the three-story structure. The statistical trends of bootstrap deviation samples of most record sets for five-story, eight-story, and ten-story structures are consistent with that of three-story structure. For five-story, eight-story, and ten-story structures, the statistical trend of record set Set1b changes from decreasing and then stabilizing to decreasing and then increasing with the number of stories of the structure. The results of bootstrap deviation samples for high-level structures may change.
In this study, four structures and eight ground motion record sets were selected, and data results were obtained. Taking the five-story structure with high F value variability in variance analysis as an example, fragility curves were drawn under the action of ground motion record Set1a, Set1b, Set2, and Set3. Lognormal distribution, as a probability model of fragility, has been verified to be a relatively mature model. Initially, the kernel density estimation method was employed to determine the exceedance probability of the response data for each strip. And then the maximum likelihood estimation method was utilized to fit and determine the two parameters of the fragility function, namely the mean and standard deviation, based on intensity measure and exceedance probability. The four fragility curves, the uncertainty values of mean μ , and standard deviation σ were shown in Figure 11. There are certain differences in the fragility parameters among different strong motion record sets, and some results are close. For instance, the fragility curves for record Set1a and Set3 in Figure 11 are relatively close, with sample medians of the fragility parameter μ being −2.08 and −2.1207, respectively. Similarly, the fragility curves for record sets Set1b and Set2 are relatively consistent, with the sample medians of the parameter μ being −1.42 and −1.39. The standard deviation σ does not vary consistently with the mean μ , which is consistent with previous observations [4,42], where the median and standard deviation were poorly correlated. By considering Figure 3, it can be observed that the range of the amplitude scaling factors for each strip of record Set1b is larger than that for record Set2 and can reach up to three times. The distribution of the amplitude scaling factors for each strip of record Set1a and Set2 is relatively consistent, but the fragility curves and their parameters differ significantly. The situation is similar for the other structure sample medians. The sample medians of the fragility parameter μ are close for record sets Set1a and Set3, and the record sets Set1b and Set2 are also consistent. The results for the four structures illustrate that the range of the amplitude scaling factors on the strip does not necessarily affect the fragility results.

7. Conclusions

In this paper, the multi-strips method was employed to analyze the seismic demand bias of four multi-story reinforced concrete frame structures under eight ground motion record sets. The eight sets of ground motion records were amplitude-scaled to five intensity levels to obtain the seismic demand. According to the distribution, mean, variance, and coefficient of variation in different strips of each ground motion record set, the influence of different strips on the demand bias was studied. ANOVA analysis of variance was performed at the 95% confidence level to determine if the differences in demand between record sets, and different intensity levels were statistically significant. The bootstrap resampling method was used to quantify the uncertainty of the structural seismic demand and fragility curves.
According to the distribution, mean, and variance of demand bias data, with the increase in ground motion intensity and amplitude scaling range, these statistical characteristic parameters of demand bias increase first and then stabilize. When the coefficient of variation is used to assess the demand bias, the variability of the demand bias first decreases and then stabilizes. These results indicate that increasing the range of the amplitude scaling factor does not improve the dispersion of the demand bias results.
Based on the analysis of variance to observe the differences between the demand biases of different ground motion record sets, the results of the structural responses for different ground motion record sets confirm that different amplitude scaling strips have no significant impact on the mean value of demand bias. Therefore, it can be concluded that the differences between demand biases within different strips are statistically insignificant with a 95% confidence level in this study.
Comparing the uncertainty distribution of fragility curves and parameters on different record sets, it is found that the increase in the amplitude scaling factors range on the strip does not necessarily affect the fragility results.
It should be noted that the above results are applicable to the types of structures considered in this study. The selection of ground motion record sets serves as a supplement to the current situation. Although general ground motion sets do not require hazard analysis and can be used directly, they may not match the seismic hazard characteristics of the target area, and they should be used with caution. The focus of this paper on the amplitude scaling bias and uncertainty of universal ground motion record sets aims to facilitate their better utilization.

Author Contributions

Conceptualization, Z.S. and X.L.; methodology, Z.S.; software, Z.S.; validation, X.L., Y.W., Z.S. and B.Z.; formal analysis, Z.S.; investigation, Z.S.; resources, X.L.; data curation, Z.S.; writing—original draft preparation, Z.S.; writing—review and editing, X.L. and Y.W.; visualization, Z.S.; supervision, X.L. and Y.W.; project administration, X.L.; funding acquisition, X.L. All authors have read and agreed to the published version of the manuscript.

Funding

This research was funded by Shanghai Science and Technology Plan Project, China (Grant No. 22dz1200200 and 22dz1201400).

Data Availability Statement

The data and original contributions presented in the study are included in the article, further inquiries can be directed to the corresponding author.

Conflicts of Interest

The authors declare no conflicts of interest.

References

  1. Cornell, C.A.; Krawinkler, H. Progress and Challenges in Seismic Performance Assessment. Peer Center News 2000. Available online: https://apps.peer.berkeley.edu/news/2000spring/performance.html (accessed on 8 November 2024).
  2. Baker, J.W.; Cornell, C.A. A vector-valued ground motion intensity measure consisting of spectral acceleration and epsilon. Earthq. Eng. Struct. Dyn. 2005, 34, 1193–1217. [Google Scholar] [CrossRef]
  3. Baker, J.W.; Cornell, C.A. Spectral shape, epsilon and record selection. Earthq. Eng. Struct. Dyn. 2006, 35, 1077–1095. [Google Scholar] [CrossRef]
  4. Mohammad Amin, H.-A.; Siamak, S. Uncertainty and bias in generic ground motion sets used for PBEE. Structures 2023, 57, 105088. [Google Scholar] [CrossRef]
  5. Iervolino, I.; Cornell, C.A. Record Selection for Nonlinear Seismic Analysis of Structures. Earthq. Spectra 2005, 21, 685–713. [Google Scholar] [CrossRef]
  6. Luco, N.; Bazzurro, P. Does amplitude scaling of ground motion records result in biased nonlinear structural drift responses? Earthq. Eng. Struct. Dyn. 2007, 36, 1813–1835. [Google Scholar] [CrossRef]
  7. Hancock, J.; Bommer, J.J.; Stafford, P.J. Numbers of scaled and matched accelerograms required for inelastic dynamic analyses. Earthq. Eng. Struct. Dyn. 2008, 37, 1585–1607. [Google Scholar] [CrossRef]
  8. Iunio, I.; De Luca, F.; Edoardo, C. Spectral shape-based assessment of SDOF nonlinear response to real, adjusted and artificial accelerograms. Eng. Struct. 2010, 32, 2776–2792. [Google Scholar] [CrossRef]
  9. Zacharenaki, A.; Fragiadakis, M.; Assimaki, D.; Papadrakakis, M. Bias assessment in Incremental Dynamic Analysis due to record scaling. Soil Dyn. Earthq. Eng. 2014, 67, 158–168. [Google Scholar] [CrossRef]
  10. Dávalos, H.; Miranda, E. Evaluation of the Scaling Factor Bias Influence on the Probability of Collapse Using Sa(T1) as the Intensity Measure. Earthq. Spectra 2019, 35, 679–702. [Google Scholar] [CrossRef]
  11. Wen, W.P.; Ji, D.F.; Zhai, C.H. Effects of ground motion scaling on the response of structures considering the interdependency between intensity measures and scale factors. Eng. Struct. 2020, 209, 110007. [Google Scholar] [CrossRef]
  12. Krinitzsky, E.L.; Marcuson, W.F., III. Principles For Selecting Earthquake Motions in Engineering Design. Environ. Eng. Geosci. 1983, 20, 253–265. [Google Scholar] [CrossRef]
  13. Shome, N.; Cornell, C.A.; Bazzurro, P.; Carballo, J.E. Earthquakes, Records, and Nonlinear Responses. Earthq. Spectra 1998, 14, 469–500. [Google Scholar] [CrossRef]
  14. Du, W.Q.; Ning, C.L.; Wang, G. The effect of amplitude scaling limits on conditional spectrum-based ground motion selection. Earthq. Eng. Struct. Dyn. 2019, 48, 1030–1044. [Google Scholar] [CrossRef]
  15. Tsalouchidis, K.T.; Adam, C. Amplitude scaling of ground motions as a potential source of bias: Large-scale investigations on structural drifts. Earthq. Eng. Struct. Dyn. 2022, 51, 2904–2924. [Google Scholar] [CrossRef]
  16. Liang, C.; Chen, J.Y.; Xu, Q.; Li, J. Evaluation of nonlinear response biases of arch dams due to amplitude scaling via three-component record selection based on conditional spectra. Eng. Struct. 2023, 287, 116169. [Google Scholar] [CrossRef]
  17. Zhang, R.; Wang, D.S.; Qu, C.X. Selection and modification of ground motion records using a weighted scaling method based on the Newmark-Hall target spectrum. Structures 2022, 44, 1546–1564. [Google Scholar] [CrossRef]
  18. Jara, J.M.; Olmos, B.A.; Tinajero, A.; Sánchez, A.R. Influence of the scaling technique and seismic location on the dynamic response of reinforced concrete buildings subjected to a maximum considered earthquake. Bull. Earthq. Eng. 2024, 22, 2981–3009. [Google Scholar] [CrossRef]
  19. Palanci, M.; Demir, A.; Kayhan, A.H. Quantifying the effect of amplitude scaling of real ground motions based on structural responses of vertically irregular and regular RC frames. Structures 2023, 51, 105–123. [Google Scholar] [CrossRef]
  20. Demir, A.; Palanci, M.; Kayhan, A.H. Evaluation the effect of amplitude scaling of real ground motions on seismic demands accounting different structural characteristics and soil classes. Bull. Earthq. Eng. 2024, 22, 365–393. [Google Scholar] [CrossRef]
  21. Skoulidou, D.; Romao, X. Uncertainty quantification of fragility and risk estimates due to seismic input variability and capacity model uncertainty. Eng. Struct. 2019, 195, 425–437. [Google Scholar] [CrossRef]
  22. Kiani, J.; Camp, C.; Pezeshk, S. On the number of required response history analyses. Bull. Earthq. Eng. 2018, 16, 5195–5226. [Google Scholar] [CrossRef]
  23. Baltzopoulos, G.; Baraschino, R.; Iervolino, I. On the number of records for structural risk estimation in PBEE. Earthq. Eng. Struct. Dyn. 2019, 48, 489–506. [Google Scholar] [CrossRef]
  24. Vamvatsikos, D.; Cornell, C.A. Incremental dynamic analysis. Earthq. Eng. Struct. Dyn. 2002, 31, 491–514. [Google Scholar] [CrossRef]
  25. Vamvatsikos, D.; Cornell, C.A. Applied incremental dynamic analysis. Earthq. Spectra 2004, 20, 523–553. [Google Scholar] [CrossRef]
  26. Jalayer, F.; Cornell, C.A. Alternative non-linear demand estimation methods for probability-based seismic assessments. Earthq. Eng. Struct. Dyn. 2009, 38, 951–972. [Google Scholar] [CrossRef]
  27. Kohrangi, M.; Vamvatsikos, D.; Bazzurro, P. Multi-level conditional spectrum-based record selection for IDA. Earthq. Spectra 2020, 36, 1976–1994. [Google Scholar] [CrossRef]
  28. Eads, L.; Miranda, E.; Lignos, D.G. Average spectral acceleration as an intensity measure for collapse risk assessment. Earthq. Eng. Struct. Dyn. 2015, 44, 2057–2073. [Google Scholar] [CrossRef]
  29. Vamvatsikos, D.; Cornell, C.A. Direct Estimation of Seismic Demand and Capacity of Multidegree-of-Freedom Systems through Incremental Dynamic Analysis of Single Degree of Freedom Approximation1. J. Struct. Eng. 2005, 131, 589–599. [Google Scholar] [CrossRef]
  30. Han, S.W.; Chopra, A.K. Approximate incremental dynamic analysis using the modal pushover analysis procedure. Earthq. Eng. Struct. Dyn. 2006, 35, 1853–1873. [Google Scholar] [CrossRef]
  31. Azarbakht, A.; Dolšek, M. Progressive Incremental Dynamic Analysis for First-Mode Dominated Structures. J. Struct. Eng. 2011, 137, 445–455. [Google Scholar] [CrossRef]
  32. Ruggieri, S.; Porco, F.; Uva, G.; Vamvatsikos, D. Two frugal options to assess class fragility and seismic safety for low-rise reinforced concrete school buildings in Southern Italy. Bull. Earthq. Eng. 2021, 19, 1415–1439. [Google Scholar] [CrossRef]
  33. Yu, X.H. Probabilistic Seimic Fragility and Risk Analysis of Reinforced Concrete Frame Structures. Ph.D. Thesis, Harbin Institute of Technology, Harbin, China, 2012. [Google Scholar]
  34. McKenna, F.; Fenves, G.; Scott, M.; Jeremic, B. Open System for Earthquake Engineering Simulation (OpenSees); Pacific Earthquake Engineering Research Center, University of California: Berkeley CA, USA, 2000. [Google Scholar]
  35. Baker, J.W.; Lin, T.; Shahi, S.K.; Jayaram, N. New Ground Motion Selection Procedures and Selected Motions for the PEER Transportation Research Program; PEER Report 2011-03; University of California: Berkeley, CA, USA, 2011. [Google Scholar]
  36. Krawinkler, H.; Medina, R.; Alavi, B. Seismic drift and ductility demands and their dependence on ground motions. Eng. Struct. 2003, 25, 637–653. [Google Scholar] [CrossRef]
  37. Medina, R.A.; Krawinkler, H. Seismic Demands for Non-Deteriorating Frame Structures and Their Dependence on Ground Motions; PEER Report 2003-15; University of California: Berkeley, CA, USA, 2003. [Google Scholar]
  38. Cornell, C.A.; Jalayer, F.; Hamburger, R.O.; Foutch, D.A. Probabilistic basis for 2000 SAC Federal Emergency Management Agency steel moment frame guidelines. J. Struct. Eng. 2002, 128, 526–533. [Google Scholar] [CrossRef]
  39. Homaei, F.; Bahramjerdi, M. The maximum displacement demand of SDOF system based on the Iranian seismic design and seismic evaluation codes: From statistical assessment to modification in the demand-estimating equations. Bull. Earthq. Eng. 2022, 20, 2469–2527. [Google Scholar] [CrossRef]
  40. Palanci, M.; Kayhan, A.H.; Demir, A. A statistical assessment on global drift ratio demands of mid-rise RC buildings using code-compatible real ground motion records. Bull. Earthq. Eng. 2018, 16, 5453–5488. [Google Scholar] [CrossRef]
  41. Araujo, M.; Macedo, L.; Marques, M.; Castro, J.M. Code-based record selection methods for seismic performance assessment of buildings. Earthq. Eng. Struct. Dyn. 2016, 45, 129–148. [Google Scholar] [CrossRef]
  42. Iervolino, I. Assessing uncertainty in estimation of seismic response for PBEE. Earthq. Eng. Struct. Dyn. 2017, 46, 1711–1723. [Google Scholar] [CrossRef]
Figure 1. The dimension information and section reinforcement of the five-story structure (Sec-1 shows the column cross-section reinforcement, and Sec-2 and Sec-3 show the beam cross-section reinforcement for the five-story structure).
Figure 1. The dimension information and section reinforcement of the five-story structure (Sec-1 shows the column cross-section reinforcement, and Sec-2 and Sec-3 show the beam cross-section reinforcement for the five-story structure).
Buildings 15 00401 g001
Figure 2. Response spectra of unscaled ground motion records for eight record sets, including the median value and the 2.5 and 97.5 percentiles of the response spectra.
Figure 2. Response spectra of unscaled ground motion records for eight record sets, including the median value and the 2.5 and 97.5 percentiles of the response spectra.
Buildings 15 00401 g002
Figure 3. Probability distribution of scaling factors of record set: (a) Set1a; (b) Set1b; (c) Set2; (d) Set3; (e) LMLR; (f) LMSR; (g) SMLR; (h) SMSR.
Figure 3. Probability distribution of scaling factors of record set: (a) Set1a; (b) Set1b; (c) Set2; (d) Set3; (e) LMLR; (f) LMSR; (g) SMLR; (h) SMSR.
Buildings 15 00401 g003aBuildings 15 00401 g003b
Figure 4. Mean and variance of the demand values for strip method: (a) mean; (b) variance.
Figure 4. Mean and variance of the demand values for strip method: (a) mean; (b) variance.
Buildings 15 00401 g004
Figure 5. Medians and quartiles of scaling bias values for strip methods: (a) Three-story; (b) five-story; (c) eight-story; (d) ten-story.
Figure 5. Medians and quartiles of scaling bias values for strip methods: (a) Three-story; (b) five-story; (c) eight-story; (d) ten-story.
Buildings 15 00401 g005
Figure 6. Scatterplot and mean curve of mean values of scaling bias for ground motion record sets: (a) Three-story; (b) five-story; (c) eight-story; (d) ten-story.
Figure 6. Scatterplot and mean curve of mean values of scaling bias for ground motion record sets: (a) Three-story; (b) five-story; (c) eight-story; (d) ten-story.
Buildings 15 00401 g006
Figure 7. Variance of different ground motion sets scaling bias: (a) variances of inter-set; (b) variance of intra-set; (c) total variance of ground motion record set.
Figure 7. Variance of different ground motion sets scaling bias: (a) variances of inter-set; (b) variance of intra-set; (c) total variance of ground motion record set.
Buildings 15 00401 g007
Figure 8. Scatter plot and mean curve of variation coefficient for the scaling bias of the ground motion sets: (a) Three-story; (b) five-story; (c) eight-story; (d) ten-story.
Figure 8. Scatter plot and mean curve of variation coefficient for the scaling bias of the ground motion sets: (a) Three-story; (b) five-story; (c) eight-story; (d) ten-story.
Buildings 15 00401 g008
Figure 9. F value calculated by ANOVAs for four structures.
Figure 9. F value calculated by ANOVAs for four structures.
Buildings 15 00401 g009
Figure 10. Bootstrap 95% confidence intervals and median values of scaling bias by using multiple stripe methods: (a) Set1a; (b) Set1b; (c) Set2; (d) Set3; (e) LMLR; (f) LMSR; (g) SMLR; (h) SMSR.
Figure 10. Bootstrap 95% confidence intervals and median values of scaling bias by using multiple stripe methods: (a) Set1a; (b) Set1b; (c) Set2; (d) Set3; (e) LMLR; (f) LMSR; (g) SMLR; (h) SMSR.
Buildings 15 00401 g010
Figure 11. Fragility curves from bootstrap sampling, including the histograms for the estimated fragility parameters: mean and logarithmic standard deviation. The thick black curve represents the reference model: (a) Set1a; (b) Set1b; (c) Set2; (d) Set3.
Figure 11. Fragility curves from bootstrap sampling, including the histograms for the estimated fragility parameters: mean and logarithmic standard deviation. The thick black curve represents the reference model: (a) Set1a; (b) Set1b; (c) Set2; (d) Set3.
Buildings 15 00401 g011aBuildings 15 00401 g011b
Table 1. p-values of homogeneity of variance test for different ground motion sets and four structures.
Table 1. p-values of homogeneity of variance test for different ground motion sets and four structures.
p-ValueSet1aSet1BSet2Set3LMLRLMSRSMLRSMSR
3-story0.00040.24080.04120.00000.00000.00000.00000.0000
5-story0.22390.84870.70510.18820.00560.21810.00020.0896
8-story0.51450.96050.57580.00260.00010.03410.00000.0221
10-story0.86970.62780.27060.02870.04740.13300.00120.0850
Disclaimer/Publisher’s Note: The statements, opinions and data contained in all publications are solely those of the individual author(s) and contributor(s) and not of MDPI and/or the editor(s). MDPI and/or the editor(s) disclaim responsibility for any injury to people or property resulting from any ideas, methods, instructions or products referred to in the content.

Share and Cite

MDPI and ACS Style

Song, Z.; Li, X.; Wang, Y.; Zhou, B. Amplitude-Scaling Bias Analysis of Ground Motion Record Set in Strip Method for Structural Seismic Fragility Assessment. Buildings 2025, 15, 401. https://doi.org/10.3390/buildings15030401

AMA Style

Song Z, Li X, Wang Y, Zhou B. Amplitude-Scaling Bias Analysis of Ground Motion Record Set in Strip Method for Structural Seismic Fragility Assessment. Buildings. 2025; 15(3):401. https://doi.org/10.3390/buildings15030401

Chicago/Turabian Style

Song, Zhuo, Xiaojun Li, Yushi Wang, and Bochang Zhou. 2025. "Amplitude-Scaling Bias Analysis of Ground Motion Record Set in Strip Method for Structural Seismic Fragility Assessment" Buildings 15, no. 3: 401. https://doi.org/10.3390/buildings15030401

APA Style

Song, Z., Li, X., Wang, Y., & Zhou, B. (2025). Amplitude-Scaling Bias Analysis of Ground Motion Record Set in Strip Method for Structural Seismic Fragility Assessment. Buildings, 15(3), 401. https://doi.org/10.3390/buildings15030401

Note that from the first issue of 2016, this journal uses article numbers instead of page numbers. See further details here.

Article Metrics

Back to TopTop