Performance Enhancement of Alkali-Activated Binder-Stabilized Expansive Soils via KH-550 Modification
Abstract
1. Introduction
2. Materials and Methods
2.1. Materials
2.2. Mix Proportion and Samples
2.3. Testing Methods of Samples
2.3.1. Workability
2.3.2. Autogenous Shrinkage of the AABS
2.3.3. Hydration Properties
2.3.4. Pore Structure
2.3.5. Microstructure
2.3.6. Mechanical and Durability Properties
3. Results
3.1. Setting Time
3.2. Fluidity
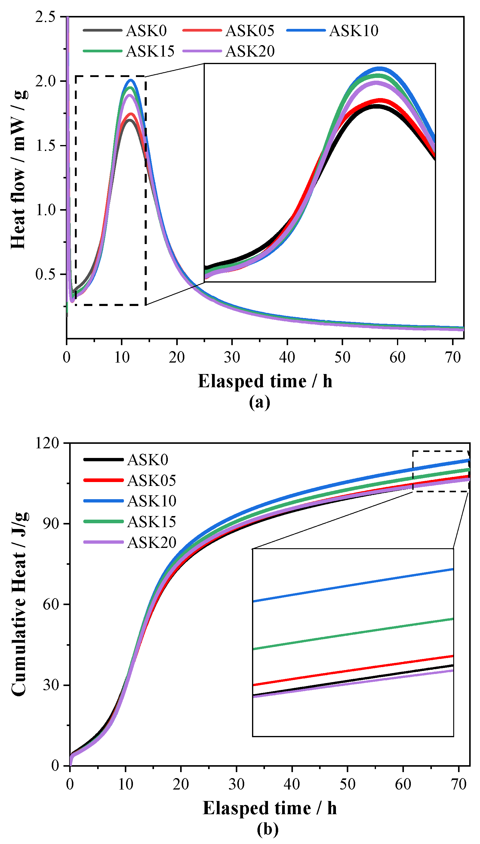
3.3. Hydration Kinetics
3.4. XRD
3.5. TG-DTG
3.6. MIP
3.7. SEM
3.8. Autogenous Shrinkage
3.9. Unconfined Compressive Strength
3.9.1. Unconfined Compressive Strength for 7 Days
3.9.2. Unconfined Compressive Strength for 10 Days
3.9.3. Unconfined Compressive Strength for Wet–Dry Cycles
3.10. Mechanism Analysis of KH550 Modified AABS Samples
4. Conclusions
5. Limitations and Future Perspectives
- Soil Specificity: The tested expansive soil was sourced from Guangxi, China, and was mainly composed of montmorillonite and illite. The applicability of KH-550 to soils with different clay mineralogy (e.g., kaolinite, chlorite) or cation exchange capacities requires further verification.
- Dosage Range: The KH-550 content explored (0–2.0% of total solids) identified 1.0% as optimal. However, extending the dosage range may uncover additional thresholds or adverse effects such as excessive retardation or weak interfacial layers.
- Environmental Conditions: All tests were performed under controlled laboratory conditions. The long-term behavior of KH-550-modified AABS under realistic environmental stresses (freeze–thaw, carbonation, wetting–drying cycles, UV exposure) remains uncertain.
- (i)
- assess the method on a wider range of expansive soils;
- (ii)
- investigate long-term durability and microstructural evolution under field-like conditions; and
- (iii)
- perform life-cycle assessments to evaluate environmental and economic feasibility at scale.
Author Contributions
Funding
Data Availability Statement
Conflicts of Interest
References
- Huang, K.; Xu, G.; Yan, C.; Zhang, X.; Li, D.; Cai, G.; Sun, Y.; Chen, R.; Pu, S.; Shi, X. Study on the optimization and performance of expansive soil stabilized by alkali-activated fly ash-phosphogypsum using response surface methodology. J. Build. Eng. 2025, 113, 114032. [Google Scholar] [CrossRef]
- Zhang, A.; Vanapalli, S.K. Predicting the compression index of expansive soils with hybrid machine learning approaches. Eng. Appl. Artif. Intell. 2025, 162, 112579. [Google Scholar] [CrossRef]
- Yi, Y.; Gu, L.; Liu, S. Microstructural and mechanical properties of marine soft clay stabilized by lime-activated ground granulated blastfurnace slag. Appl. Clay Sci. 2015, 103, 71–76. [Google Scholar] [CrossRef]
- Manigniavy, S.A.; Bouassida, M. Expansive soil characterization: CC/CS ratio method. Geodata AI 2025, 25, 100039. [Google Scholar] [CrossRef]
- Li, W.; Liu, W.; Wang, B.; Zhan, X.; Zuo, J.; Shan, Y.; Han, S.; Wang, T. Synergistic Effects of Cement–Silica Fume Composite on Expansive Soil Stabilization: Mechanisms, Microstructure, and Durability. Results Eng. 2025, 28, 107811. [Google Scholar] [CrossRef]
- Tsegaye Woldesenbet, T.; Vieira, C.S. Experimental Study on Stabilized Expansive Soil by Blending Parts of the Soil Kilned and Powdered Glass Wastes. Adv. Civ. Eng. 2022, 12, 9645589. [Google Scholar] [CrossRef]
- Kamei, T.; Ahmed, A.; Ugai, K. Durability of soft clay soil stabilized with recycled Bassanite and furnace cement mixtures. Soils Found. 2013, 53, 155–165. [Google Scholar] [CrossRef]
- Suhendro, B. Toward Green Concrete for Better Sustainable Environment. Procedia Eng. 2014, 95, 305–320. [Google Scholar] [CrossRef]
- Lv, B.; Wang, L.; Zeng, Q.; Liu, H.; Li, Y.; Guo, Z. Autogenous shrinkage mitigation effect of superabsorbent polymers on alkali-activated GGBFS-FA binary binder without additional water: Performance, microstructure and mechanism. Cem. Concr. Res. 2026, 199, 108058. [Google Scholar] [CrossRef]
- Zhang, Y.; Feng, P.; Chan, H.-K.; Han, Z.; Liu, B.; Lei, L. Design of a novel starch-modified MPEG PCE for enhanced slump retention in alkali-activated slag binder. Cem. Concr. Compos. 2026, 165, 106358. [Google Scholar] [CrossRef]
- Miraki, H.; Shariatmadari, N.; Ghadir, P.; Jahandari, S.; Tao, Z.; Siddique, R. Clayey soil stabilization using alkali-activated volcanic ash and slag. J. Rock Mech. Geotech. Eng. 2022, 14, 576–591. [Google Scholar] [CrossRef]
- Yi, Y.; Li, C.; Liu, S. Alkali-Activated Ground-Granulated Blast Furnace Slag for Stabilization of Marine Soft Clay. J. Mater. Civ. Eng. 2015, 27, 4. [Google Scholar] [CrossRef]
- Bruschi, G.J.; dos Santos, C.P.; de Araújo, M.T.; Tonatto Ferrazzo, S.; Veloso Marques, S.F.; Consoli, N.C. Green Stabilization of Bauxite Tailings: Mechanical Study on Alkali-Activated Materials. J. Mater. Civ. Eng. 2021, 33, 11. [Google Scholar] [CrossRef]
- Zhu, Y.-G.; Kou, S.-C.; Poon, C.-S.; Dai, J.-G.; Li, Q.-Y. Influence of silane-based water repellent on the durability properties of recycled aggregate concrete. Cem. Concr. Compos. 2013, 35, 32–38. [Google Scholar] [CrossRef]
- Xie, M.; Zhong, Y.; Li, Z.; Lei, F.; Jiang, Z. Study on alkylsilane-incorporated cement composites: Hydration mechanism and mechanical properties effects. Cem. Concr. Compos. 2021, 122, 104161. [Google Scholar] [CrossRef]
- Kong, X.-M.; Liu, H.; Lu, Z.-B.; Wang, D.-M. The influence of silanes on hydration and strength development of cementitious systems. Cem. Concr. Res. 2015, 67, 168–178. [Google Scholar] [CrossRef]
- Chen, B.; Shao, H.; Li, B.; Li, Z. Influence of silane on hydration characteristics and mechanical properties of cement paste. Cem. Concr. Compos. 2020, 113, 103743. [Google Scholar] [CrossRef]
- Li, F.; Liu, L.; Liu, K.; Zheng, A.; Liu, J. Investigation on waterproof mechanism and micro-structure of cement mortar incorporated with silicane. Constr. Build. Mater. 2020, 239, 117865. [Google Scholar] [CrossRef]
- Li, F.; Liu, J. An experimental investigation of hydration mechanism of cement with silicane. Constr. Build. Mater. 2018, 166, 684–693. [Google Scholar] [CrossRef]
- Feng, H.; Le, H.T.N.; Wang, S.; Zhang, M.-H. Effects of silanes and silane derivatives on cement hydration and mechanical properties of mortars. Constr. Build. Mater. 2016, 129, 48–60. [Google Scholar] [CrossRef]
- Švegl, F.; Šuput-Strupi, J.; Škrlep, L.; Kalcher, K. The influence of aminosilanes on macroscopic properties of cement paste. Cem. Concr. Res. 2008, 38, 945–954. [Google Scholar] [CrossRef]
- Yu, M.; Li, J.; Zhao, C.; Tan, W.; Li, X.; Chen, P. Enhancing the performance of alkali-activated slag using KH-550 as a multi-functional admixture. Case Stud. Constr. Mater. 2024, 2, e03434. [Google Scholar] [CrossRef]
- ASTM C191; Standard Test Methods for Time of Setting of Hydraulic Cement by Vicat Needle. ASTM International: West Conshohocken, PA, USA, 2013.
- ASTM C1437; Standard Test Method for Flow of Hydraulic Cement Mortar. ASTM International: West Conshohocken, PA, USA, 2007.
- ASTM C1698; Standard Test Method for Autogenous Strain of Cement Paste and Mortar. ASTM International: West Conshohocken, PA, USA, 2009.
- ASTM C1702; Standard Test Method for Measurement of Heat of Hydration of Hydraulic Cementitious Materials Using Isothermal Conduction Calorimetry. ASTM International: West Conshohocken, PA, USA, 2017.
- ASTM C192; Standard Practice for Making and Curing Concrete Test Specimens in The Laboratory. ASTM International: West Conshohocken, PA, USA, 2014.
- Chang, J.; Xu, Y.; Xiao, J.; Wang, L.; Jiang, J.-Q.; Guo, J.-X. Influence of acid rain climate environment on deterioration of shear strength parameters of natural residual expansive soil. Transp. Geotech. 2023, 42, 101017. [Google Scholar] [CrossRef]
- Chang, J.; Xu, Y.; Xiao, J.; Wang, L.; Jiang, J.-Q. Water–soil chemical mechanism and soil structural stability of expansive soil under the action of acid rain infiltration. Bull. Eng. Geol. Environ. 2022, 81, 438. [Google Scholar] [CrossRef]
- Dai, X.; Tao, Y.; Van Tittelboom, K.; De Schutter, G. Rheological and mechanical properties of 3D printable alkali-activated slag mixtures with addition of nano clay. Cem. Concr. Compos. 2023, 139, 104995. [Google Scholar] [CrossRef]
- Yuan, B.; Yu, Q.L.; Dainese, E.; Brouwers, H.J.H. Autogenous and drying shrinkage of sodium carbonate activated slag altered by limestone powder incorporation. Constr. Build. Mater. 2017, 153, 459–468. [Google Scholar] [CrossRef]
- Huang, X.; Xin, C.; Li, J.-s.; Wang, P.; Liao, S.; Poon, C.S.; Xue, Q. Using hazardous barium slag as a novel admixture for alkali activated slag cement. Cem. Concr. Compos. 2022, 125, 104332. [Google Scholar] [CrossRef]
- Wang, H.; Liu, T.; Yan, C.; Wang, J. Expansive Soil Stabilization Using Alkali-Activated Fly Ash. Processes 2023, 11, 1550. [Google Scholar] [CrossRef]
- Kar, A.; Ray, I.; Halabe, U.B.; Unnikrishnan, A.; Dawson-Andoh, B. Characterizations and Quantitative Estimation of Alkali-Activated Binder Paste from Microstructures. Int. J. Concr. Struct. Mater. 2014, 8, 213–228. [Google Scholar] [CrossRef]
- Yang, T.; Gao, X.; Zhang, J.; Zhuang, X.; Wang, H.; Zhang, Z. Sulphate resistance of one-part geopolymer synthesized by calcium carbide residue-sodium carbonate-activation of slag. Compos. Part B Eng. 2022, 242, 110024. [Google Scholar] [CrossRef]
- Ye, H.; Fu, C.; Yang, G. Influence of dolomite on the properties and microstructure of alkali-activated slag with and without pulverized fly ash. Cem. Concr. Compos. 2019, 103, 224–232. [Google Scholar] [CrossRef]
- Mobasher, N.; Bernal, S.A.; Provis, J.L. Structural evolution of an alkali sulfate activated slag cement. J. Nucl. Mater. 2016, 468, 97–104. [Google Scholar] [CrossRef]
- Feng, B.; Liu, J.; Chen, Y.; Tan, X.; Zhang, M.; Sun, Z. Properties and microstructure of self-waterproof metakaolin geopolymer with silane coupling agents. Constr. Build. Mater. 2022, 342, 128045. [Google Scholar] [CrossRef]
- Zhang, C.; Hu, Z.; Zhu, H.; Wang, X.; Gao, J. Effects of silane on reaction process and microstructure of metakaolin-based geopolymer composites. J. Build. Eng. 2020, 32, 101695. [Google Scholar] [CrossRef]
- Wang, W.; Fan, C.; Wang, B.; Zhang, X.; Liu, Z. Workability, rheology, and geopolymerization of fly ash geopolymer: Role of alkali content, modulus, and water–binder ratio. Constr. Build. Mater. 2023, 367, 130357. [Google Scholar] [CrossRef]
- Han, X.; Wang, B.; Feng, J. Relationship between fractal feature and compressive strength of concrete based on MIP. Constr. Build. Mater. 2022, 322, 126504. [Google Scholar] [CrossRef]
- Zhang, X.; Wang, B.; Chang, J. Adsorption behavior and solidification mechanism of Pb(II) on synthetic C-A-S-H gels with different Ca/Si and Al/Si ratios in high alkaline conditions. Chem. Eng. J. 2024, 493, 152344. [Google Scholar] [CrossRef]














| SiO2 | Al2O3 | Fe2O3 | K2O | TiO2 | MgO | CaO | Others | |
|---|---|---|---|---|---|---|---|---|
| Expansive soils | 82.63 | 11.04 | 2.96 | 1.48 | 1.15 | 0.33 | 0.15 | 0.26 |
| GGBFS | 27.18 | - | 0.37 | 0.35 | - | 7.78 | 45.15 | 19.17 |
| NaSi3 9H2O | NaOH | Water |
|---|---|---|
| 16.6 | 12.06 | 71.84 |
| Groups | Expansive Soils | GGBFS | CCP-1200 | Activator | KH-550 |
|---|---|---|---|---|---|
| ASK0 | 38.46 | 38.46 | 0.76 | 23.07 | 0 |
| ASK05 | 38.46 | 38.46 | 0.76 | 23.07 | 0.38 |
| ASK10 | 38.46 | 38.46 | 0.76 | 23.07 | 0.76 |
| ASK15 | 38.46 | 38.46 | 0.76 | 23.07 | 1.15 |
| ASK20 | 38.46 | 38.46 | 0.76 | 23.07 | 1.53 |
| Step | Procedure | Key Parameters | Duration |
|---|---|---|---|
| 1 | Specimen preparation | Cylindrical samples (50 × 100 mm) | - |
| 2 | Standard curing | 20 ± 3 °C; relative humidity 95% | 28 days |
| 3 | Definition of one wet–dry cycle | 24 h water immersion → 24 h oven-drying at 45 °C | 48 h per cycle |
| 4 | Total number of cycles | 4 cycles | 4 × 48 h = 8 days |
Disclaimer/Publisher’s Note: The statements, opinions and data contained in all publications are solely those of the individual author(s) and contributor(s) and not of MDPI and/or the editor(s). MDPI and/or the editor(s) disclaim responsibility for any injury to people or property resulting from any ideas, methods, instructions or products referred to in the content. |
© 2025 by the authors. Licensee MDPI, Basel, Switzerland. This article is an open access article distributed under the terms and conditions of the Creative Commons Attribution (CC BY) license (https://creativecommons.org/licenses/by/4.0/).
Share and Cite
Wei, Y.; Zhao, C.; Feng, S.; Wang, C.; Wang, Q.; Chen, P. Performance Enhancement of Alkali-Activated Binder-Stabilized Expansive Soils via KH-550 Modification. Buildings 2025, 15, 4418. https://doi.org/10.3390/buildings15244418
Wei Y, Zhao C, Feng S, Wang C, Wang Q, Chen P. Performance Enhancement of Alkali-Activated Binder-Stabilized Expansive Soils via KH-550 Modification. Buildings. 2025; 15(24):4418. https://doi.org/10.3390/buildings15244418
Chicago/Turabian StyleWei, Yongke, Cheng Zhao, Shouzhong Feng, Changbai Wang, Qiang Wang, and Peiyuan Chen. 2025. "Performance Enhancement of Alkali-Activated Binder-Stabilized Expansive Soils via KH-550 Modification" Buildings 15, no. 24: 4418. https://doi.org/10.3390/buildings15244418
APA StyleWei, Y., Zhao, C., Feng, S., Wang, C., Wang, Q., & Chen, P. (2025). Performance Enhancement of Alkali-Activated Binder-Stabilized Expansive Soils via KH-550 Modification. Buildings, 15(24), 4418. https://doi.org/10.3390/buildings15244418
