Damage Evaluation of RC Bridge Columns Subjected to Close-In Explosions Considering Failure Modes
Abstract
1. Introduction
2. Numerical Simulation
2.1. Finite Element Model
2.2. Material Model
2.2.1. Explosive and Air
2.2.2. Concrete and Steel Reinforcement
2.3. Analytical Process and Damage Index
2.4. Numerical Model Validation
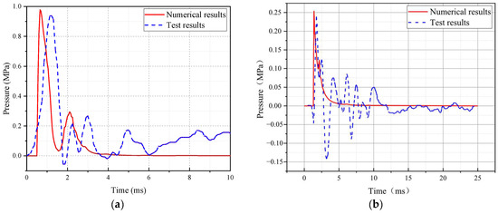
2.4.1. Validation of Blast Load
2.4.2. Validation of Failure Modes and Dynamic Response of RC Columns
2.4.3. Verification of Residual Load-Bearing Capacity
3. Failure Modes of the Column Subjected to Close-In Explosion
3.1. Non-Spalling Failure
3.2. Spalling Failure
3.3. Breaching Failure
4. Damage Assessment of RC Columns Considering Different Failure Modes
4.1. Damage Evaluation of RC Columns in Accordance with Residual Capacity
4.2. Determination of Damage Indicators for RC Columns Under Different Failure Modes
4.3. Damage Assessment Formula Dominated by a Single Parameter
4.3.1. Damage Assessment for Non-Spalling Failure
4.3.2. Damage Assessment for Spalling Failure
5. Conclusions
- (1)
- Through numerical simulations of RC circular bridge column specimens at different scaled distances, the damage to column was categorized into three types: non-spalling, spalling, and breaching. For , the damage to the column is relatively light, resulting in non-spalling failure; for , the cover concrete of the column begins to detach, resulting in spalling failure; for , the column completely loses its load-bearing capacity, resulting in breaching damage.
- (2)
- A material loss–based indicator P is introduced to assess the damage extent of RC columns, and it shows a positive correlation with the residual capacity–based indicator D. Accordingly, the crushed concrete area, spalled cover area, and core concrete loss volume are used to quantify local damage in non-spalling, spalling, and breaching failures, respectively.
- (3)
- Using the control variable method, the correlation between the material loss–based index P and the residual capacity–based damage index D was investigated under the influence of a single parameter. Relational formulas among longitudinal reinforcement ratio, D and P were derived for non-spalling and spalling failures. This approach can be extended to other parameters, enabling rapid damage evaluation of RC columns under various failure modes.
Author Contributions
Funding
Data Availability Statement
Conflicts of Interest
References
- Jia, H.; Wei, H.; Li, J.; Cui, S.; Xu, L.; Zheng, S. Blast Resistance of Steel Jacket Reinforced Double-Column Bridge Pier. Eng. Struct. 2025, 329, 119882. [Google Scholar] [CrossRef]
- Xu, J.P.; Wu, H.; Ma, L.L.; Fang, Q. Residual Axial Capacity of Seismically Designed RC Bridge Pier after Near-Range Explosion of Vehicle Bombs. Eng. Struct. 2022, 265, 114487. [Google Scholar] [CrossRef]
- Yuan, S.; Li, Y.; Zong, Z.; Li, M.; Xia, Y. A Review on Close-in Blast Performance of RC Bridge Columns. J. Traffic Transp. Eng.-Engl. Ed. 2023, 10, 675–696. [Google Scholar] [CrossRef]
- Bai, F.; Guo, Q.; Root, K.; Naito, C.; Quiel, S. Blast Vulnerability Assessment of Road Tunnels with Reinforced Concrete Liners. Transp. Res. Rec. 2018, 2672, 156–164. [Google Scholar] [CrossRef]
- Li, J.; Wu, C.; Hao, H.; Su, Y.; Li, Z.-X. A Study of Concrete Slabs with Steel Wire Mesh Reinforcement under Close-in Explosive Loads. Int. J. Impact Eng. 2017, 110, 242–254. [Google Scholar] [CrossRef]
- Wu, J.; Zhou, Y.; Zhang, R.; Liu, C.; Zhang, Z. Numerical Simulation of Reinforced Concrete Slab Subjected to Blast Loading and the Structural Damage Assessment. Eng. Fail. Anal. 2020, 118, 104926. [Google Scholar] [CrossRef]
- Han, G.; Bo, Y.; Zan, Y. Damage Model Test of Prestressed T-Beam Under Explosion Load. IEEE Access 2019, 7, 135340–135351. [Google Scholar] [CrossRef]
- Williamson, E.B. Blast-Resistant Highway Bridges: Design and Detailing Guidelines; Transportation Research Board: Washington, DC, USA, 2010. [Google Scholar]
- Puryear, J.M.H.; Stevens, D.J.; Marchand, K.A.; Williamson, E.B.; Sammarco, E.L.; Crane, C.K. Predicting Spall and Breach for Blast-Loaded Reinforced-Concrete Columns; Texas ASCE Centennial Conference; ASCE: Reston, VA, USA, 2012. [Google Scholar]
- Zong, Z.; Tang, B.; Gao, C.; Liu, L.; Li, M.; Yuan, S. Experiment on blast-resistance performance of reinforced concrete piers. J. China J. Highw. Transp. 2017, 30, 51–60. (In Chinese) [Google Scholar] [CrossRef]
- Yan, J.; Liu, Y.; Li, Z.; Xv, Z.; Huang, F. Effects of transverse reinforcement ratio and axial load on the blast response of steel reinforced concrete columns. J. Acta Armamentarii 2020, 41, 35–43. (In Chinese) [Google Scholar]
- Cui, J.; Shi, Y.; Li, Z.-X.; Chen, L. Failure Analysis and Damage Assessment of RC Columns under Close-In Explosions. J. Perform. Constr. Facil. 2015, 29, B4015003. [Google Scholar] [CrossRef]
- Shi, Y.; Hu, Y.; Chen, L.; Li, Z.-X.; Xiang, H. Experimental Investigation into the Close-in Blast Performance of RC Columns with Axial Loading. Eng. Struct. 2022, 268, 114688. [Google Scholar] [CrossRef]
- Li, M.; Zong, Z.; Hao, H.; Zhang, X.; Lin, J.; Liao, Y. Post-Blast Performance and Residual Capacity of CFDST Columns Subjected to Contact Explosions. J. Constr. Steel Res. 2020, 167, 105960. [Google Scholar] [CrossRef]
- Lv, C.; Yan, Q.; Li, L.; Li, S. Field Test and Probabilistic Vulnerability Assessment of a Reinforced Concrete Bridge Pier Subjected to Blast Loads. Eng. Fail. Anal. 2023, 143, 106802. [Google Scholar] [CrossRef]
- Momeni, M.; Bedon, C.; Hadianfard, M.A.; Baghlani, A. An Efficient Reliability-Based Approach for Evaluating Safe Scaled Distance of Steel Columns under Dynamic Blast Loads. Buildings 2021, 11, 606. [Google Scholar] [CrossRef]
- Zhang, X.; Li, Z.-X.; Shi, Y.; Wu, C.; Li, J. Fragility Analysis for Performance-Based Blast Design of FRP-Strengthened RC Columns Using Artificial Neural Network. J. Build. Eng. 2022, 52, 104364. [Google Scholar] [CrossRef]
- Zhou, X.-Q.; Huang, B.-G.; Wang, X.-Y.; Xia, Y. Deep Learning-Based Rapid Damage Assessment of RC Columns under Blast Loading. Eng. Struct. 2022, 271, 114949. [Google Scholar] [CrossRef]
- Almustafa, M.K.; Nehdi, M.L. Machine Learning Model for Predicting Structural Response of RC Columns Subjected to Blast Loading. Int. J. Impact Eng. 2022, 162, 104145. [Google Scholar] [CrossRef]
- Tang, B. Experimental Investigation of Reinforced Concrete Bridge Piers Under Blast Loading. Master’s Thesis, Southeast University, Nanjing, China, 2017. (In Chinese). [Google Scholar]
- Yuan, S.; Hao, H.; Zong, Z.; Li, J. Numerical Analysis of Axial Load Effects on RC Bridge Columns under Blast Loading. Adv. Struct. Eng. 2021, 24, 1399–1414. [Google Scholar] [CrossRef]
- Yuan, S.; Hao, H.; Zong, Z.; Li, J. A Study of RC Bridge Columns under Contact Explosion. Int. J. Impact Eng. 2017, 109, 378–390. [Google Scholar] [CrossRef]
- Shi, Y.; Hao, H.; Li, Z.-X. Numerical Simulation of Blast Wave Interaction with Structure Columns. Shock Waves 2007, 17, 113–133. [Google Scholar] [CrossRef]
- Shi, Y.; Hao, H.; Li, Z.-X. Numerical Derivation of Pressure–Impulse Diagrams for Prediction of RC Column Damage to Blast Loads. Int. J. Impact Eng. 2008, 35, 1213–1227. [Google Scholar] [CrossRef]
- Liu, L.; Zong, Z.H.; Li, M.H. Numerical Study of Damage Modes and Assessment of Circular RC Pier under Noncontact Explosions. J. Bridge Eng. 2018, 23, 04018061. [Google Scholar] [CrossRef]
- Dua, A.; Braimah, A.; Kumar, M. Experimental and Numerical Investigation of Rectangular Reinforced Concrete Columns under Contact Explosion Effects. Eng. Struct. 2020, 205, 109891. [Google Scholar] [CrossRef]
- Williams, G.D. Analysis and Response Mechanisms of Blast-Loaded Reinforced Concrete Columns. Ph.D. Thesis, The University of Texas at Austin, Austin, TX, USA, 2009. [Google Scholar]
- Chen, L.; Hu, Y.; Ren, H.; Xiang, H.; Zhai, C.; Fang, Q. Performances of the RC Column under Close-in Explosion Induced by the Double-End-Initiation Explosive Cylinder. Int. J. Impact Eng. 2019, 132, 103326. [Google Scholar] [CrossRef]
- Hu, Y.; Chen, L.; Fang, Q.; Xiang, H. Blast Loading Model of the RC Column under Close-in Explosion Induced by the Double-End-Initiation Explosive Cylinder. Eng. Struct. 2018, 175, 304–321. [Google Scholar] [CrossRef]
- Li, Y. Study on Rapid Assessments Method of Damage to Buildings Under Blast Loading. Master’s Thesis, National University of Defense Technology, Changsha, China, 2018. (In Chinese). [Google Scholar]
- Li, J.; Hao, H. Numerical Study of Concrete Spall Damage to Blast Loads. Int. J. Impact Eng. 2014, 68, 41–55. [Google Scholar] [CrossRef]
- Zhang, D.; Yao, S.; Lu, F.; Chen, X.; Lin, G.; Wang, W.; Lin, Y. Experimental Study on Scaling of RC Beams under Close-in Blast Loading. Eng. Fail. Anal. 2013, 33, 497–504. [Google Scholar] [CrossRef]
- Yao, S.; Zhang, D.; Lu, F.; Wang, W.; Chen, X. Damage Features and Dynamic Response of RC Beams under Blast. Eng. Fail. Anal. 2016, 62, 103–111. [Google Scholar] [CrossRef]


















| Material | Material Model | Input Parameters | Magnitude |
|---|---|---|---|
| concrete | *Mat_Concrete_Damage_Rel3 | Unconfined compressive strength | 40 MPa |
| Steel reinforcement | *Mat_Plastic_Kinematic | Density | 7800 kg/m3 |
| Elastic modulus | 200 GPa | ||
| Poisson’s ratio | 0.3 | ||
| Yield strength for longitudinal rebars | 400 MPa | ||
| Yield strength for stirrups | 300 MPa |
| Failure Mode | Damage Phenomenon | Z Thresholds (m/kg1/3) |
|---|---|---|
| Non-spalling failure | Various types of cracks on the concrete surface may indicate slight plastic damage in the compression zone directly facing the explosive on the front face, but there is no cover concrete spalling, and both the reinforcement cage and core concrete remain intact. | Z > 0.218 |
| Spalling failure | The cover concrete exhibits varying degrees of spalling near the explosive height, with occasional exposure of individual rebar surfaces, yet the reinforcement cage and core concrete remain largely intact. | 0.218 m ≥ Z > 0.184 |
| Breaching failure | The cover concrete near the explosive height completely spalls off, with the spalling height continuously increasing, resulting in severe breaching of the core concrete, which may even lead to penetration, and the reinforcement cage undergoes significant plastic deformation or even fracture. | Z ≤ 0.184 |
Disclaimer/Publisher’s Note: The statements, opinions and data contained in all publications are solely those of the individual author(s) and contributor(s) and not of MDPI and/or the editor(s). MDPI and/or the editor(s) disclaim responsibility for any injury to people or property resulting from any ideas, methods, instructions or products referred to in the content. |
© 2025 by the authors. Licensee MDPI, Basel, Switzerland. This article is an open access article distributed under the terms and conditions of the Creative Commons Attribution (CC BY) license (https://creativecommons.org/licenses/by/4.0/).
Share and Cite
Gao, C.; Jia, Y.; Yuan, S.; Wang, X. Damage Evaluation of RC Bridge Columns Subjected to Close-In Explosions Considering Failure Modes. Buildings 2025, 15, 4199. https://doi.org/10.3390/buildings15224199
Gao C, Jia Y, Yuan S, Wang X. Damage Evaluation of RC Bridge Columns Subjected to Close-In Explosions Considering Failure Modes. Buildings. 2025; 15(22):4199. https://doi.org/10.3390/buildings15224199
Chicago/Turabian StyleGao, Chu, Yongsheng Jia, Sujing Yuan, and Xixi Wang. 2025. "Damage Evaluation of RC Bridge Columns Subjected to Close-In Explosions Considering Failure Modes" Buildings 15, no. 22: 4199. https://doi.org/10.3390/buildings15224199
APA StyleGao, C., Jia, Y., Yuan, S., & Wang, X. (2025). Damage Evaluation of RC Bridge Columns Subjected to Close-In Explosions Considering Failure Modes. Buildings, 15(22), 4199. https://doi.org/10.3390/buildings15224199
