Visualization Study on Construction Disturbance of Drainage Board Sleeve Pile Shoes
Abstract
1. Introduction
2. Overview of Visualization Tests
2.1. Test Equipment
2.2. Preparation and Test Materials
2.3. Test the Procedure and Program
3. Test Results and Analysis
3.1. Validation of Tests
3.2. Evaluation of How Various Pile Shoes Affect the Scope of Use
4. Remaining Theoretical Analysis Taking Pile Shoes into Account
4.1. A Generalized Solution to Hooke’s Rule Based on the Notion of Circular Hole Expansion
4.1.1. Fundamental Equations
4.1.2. Elastic Solution for Circular Hole Dilatation
4.2. Mohr-Coulomb Solution Based on Circular Hole Expansion Theory
4.2.1. Displacement Solution for Plastic Zone
4.2.2. Adjusted Plastic Zone Solution Taking the Pile Shoe’s Shape into Account
4.2.3. Theoretical Model Validation
4.3. Quantitative Validation of the Correction Coefficient λ Versus the Perturbation Range
5. Conclusions and Outlook
- It is confirmed that the morphology of the smeared area (“inverted cone”) is closely related to the layering characteristics of the soil, which is consistent with the prediction of “funnel shape” by the theory of cylindrical pore expansion. Transparent soil and PIV technology can work together to effectively capture the dynamic process of construction disturbance (smearing).
- From an experimental perspective, it was confirmed that the amount of soil coating in layered soils is influenced by the variation in the equivalent radius of the pile shoes of the drainage board casing. Because of its smaller contact area, the No. 1 pile shoe with an equivalent radius b = 1.5 mm has a horizontal disturbance range of 4.5d; in contrast, the No. 2 pile shoe with a 33% larger equivalent area has a horizontal disturbance range of 5d. However, the larger contact area and the particular geometry result in the more noticeable stress concentration phenomenon, the displacement of the sandy soil layer attenuates more quickly, the discontinuity of the soil at the interface is more noticeable, and the distribution of plastic strain in the clay layer is more uniform. The stress concentration effect will be more noticeable due to the increased contact area and particular geometry.
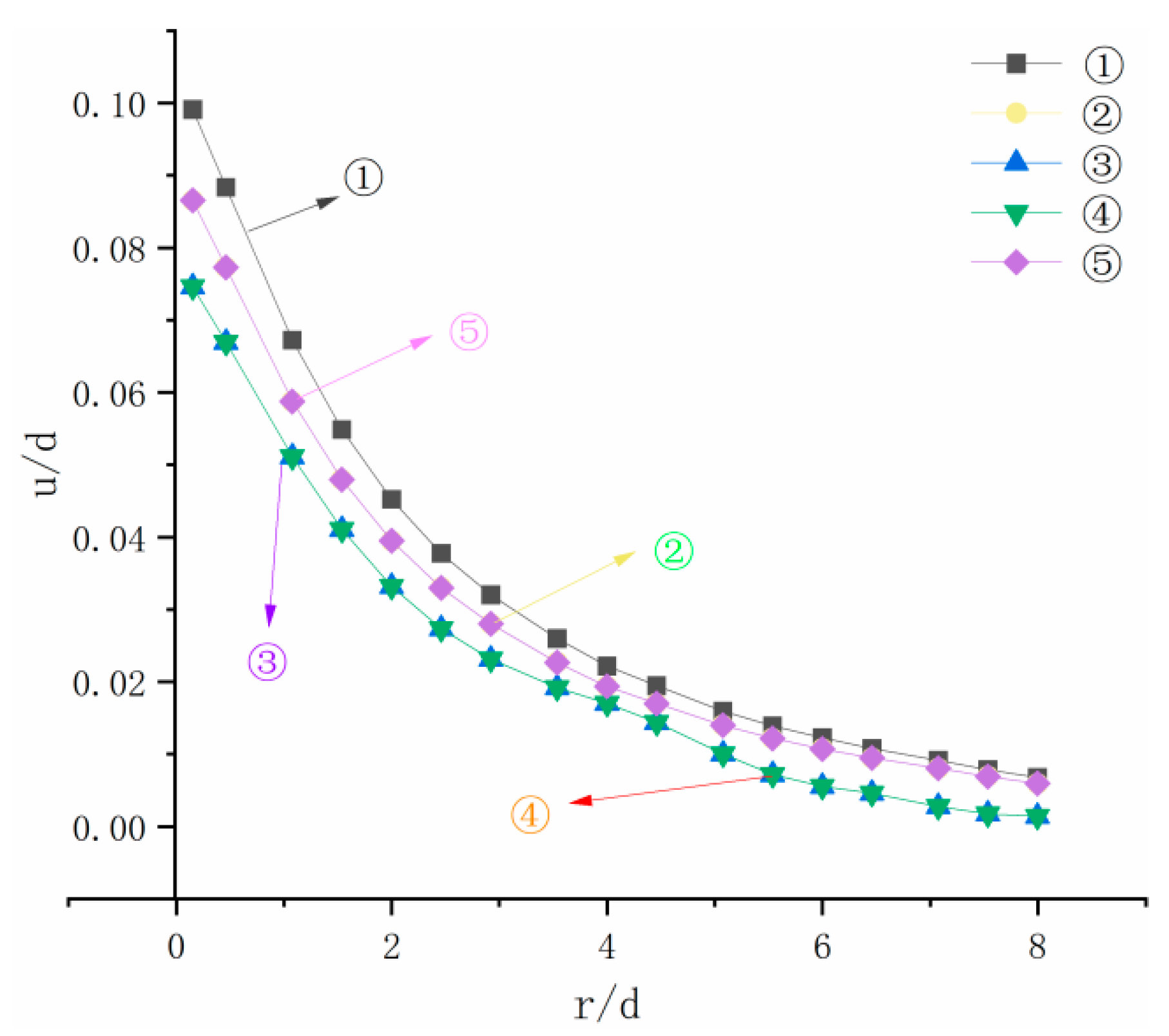
- The correction coefficient of the pile shoe geometric parameters is proposed based on the Mohr–Coulomb criterion and reaming theory. The correction coefficient λ is then used to determine the radius of the plastic zone and the displacement value of the plastic zone after correction. In order to determine the theoretical solution taking into account the smearing range of the pile shoe shape, a comparison and analysis of the theoretical model and the test model reveal that the results of the two are more consistent with one another, the error between the theoretical value and the test value is less than 5%, and the radius of the plastic zone after correction is larger than that of the traditional model. Taking into account the geometry of the pile shoes, the theoretical solution of the smearing range is found. Then, by adding five different sets of pile shoe geometry parameters, the correction coefficient λ is quantitatively verified. It is discovered that the correction coefficient λ can accurately reflect how the pile shoe geometry (a/d) affects the displacement and that the pile shoe geometry can increase the range of the soil coating; the displacement u is dominated by λ, which is independent of a and b, demonstrating the reasonableness of the correction coefficient.
- By using sophisticated visualization tools, this work effectively closes the gap between drainage board construction and conventional reaming theory. Not only did it highlight the crucial impact of pile shoes that had been previously disregarded, but more significantly, it offered a quantitative correction method that was confirmed via experimentation (the λ coefficient). This makes it possible for engineers to more accurately and scientifically take into consideration the consequences of construction disturbances in real-world designs, which eventually leads to optimized design, improved construction quality, and financial gains. It has substantial application value in engineering.
Author Contributions
Funding
Institutional Review Board Statement
Informed Consent Statement
Data Availability Statement
Conflicts of Interest
References
- Shu, Z.M.; Nie, K.C.; Wang, H. Application of Plastic Drainage Board Combined with Surcharge Method in Revetment Project of Mirsarai. Port Waterw. Eng. 2020, 576, 159–163. [Google Scholar] [CrossRef]
- Dong, L. Application of Preloading Method with Plastic Drainage Plate in the Port Engineering Treatment of Soft Foundation. Master’s Thesis, Dalian University of Technology, Dalian, China, 2016. Available online: https://kns.cnki.net/KCMS/detail/detail.aspx?dbname=CMFD201702&filename=1017701533.nh (accessed on 1 January 2025).
- Deng, Y.B. Analytical Theory and Finite Element Analysis for Consolidation of Soft Soils by Vertical Drains. Master’s Thesis, Zhejiang University, Hangzhou, China, 2013. Available online: https://kns.cnki.net/KCMS/detail/detail.aspx?dbname=CDFD1214&filename=1013147722.nh (accessed on 1 January 2025).
- Zhang, Y.P.; Wang, W. Study on Disturbance Effect on Soft Soil Ground During Vertical Drain Construction. J. Zhejiang Univ. (Eng. Sci.) 2006, 40, 1239–1243. [Google Scholar]
- Sathananthan, I.; Indraratna, B.; Rujikiatkamjorn, C. Evaluation of Smear Zone Extent Surrounding Mandrel Driven Vertical Drains Using the Cavity Expansion Theory. Int. J. Geomech. 2008, 8, 355–365. [Google Scholar] [CrossRef]
- Ghandeharioon, A.; Indraratna, B.; Rujikiatkamjorn, C. Analysis of Soil Disturbance Associated with Mandrel-Driven Prefabricated Vertical Drains Using an Elliptical Cavity Expansion Theory. Int. J. Geomech. 2010, 10, 53–64. [Google Scholar] [CrossRef]
- Ghandeharioon, A.; Indraratna, B.; Rujikiatkamjorn, C. Laboratory and Finite-Element Investigation of Soil Disturbance Associated with the Installation of Mandrel-Driven Prefabricated Vertical Drains. J. Geotech. Geoenviron. Eng. 2012, 138, 295–308. [Google Scholar] [CrossRef]
- Indraratna, B.; Perera, D.; Rujikiatkamjorn, C.; Kelly, R. Soil Disturbance Analysis Due to Vertical Drain Installation. Proc. Inst. Civ. Eng.-Geotech. Eng. 2015, 168, 236–246. [Google Scholar] [CrossRef]
- Prabavathy, S.; Rajagopal, K.; Pitchumani, N.K. Investigation of Smear Zone Around PVD Mandrel Using Image-Based Analysis. Int. J. Geosynth. Ground Eng. 2021, 7, 94. [Google Scholar] [CrossRef]
- Palmeira, E.M.; Gardoni, M.G. The Influence of Partial Clogging and Pressure on the Behaviour of Geotextiles in Drainage Systems. Geosynth. Int. 2000, 7, 403–431. [Google Scholar] [CrossRef]
- Lu, X.Q.; Li, H.; Liu, F.Y. Experimental Study of Waste Slurry Treated by a PHD-PVD Vacuum Preloading Method Combined with Electro-osmosis. J. Civ. Environ. Eng. 2024, 46, 129–135. [Google Scholar] [CrossRef]
- Haegeman, W.; Impe, W.F.V. Filtration Performance Testing of Geotextiles for Vacuum Consolidation Drains. Geosynth. Int. 1999, 6, 41–51. [Google Scholar] [CrossRef]
- Shi, L.T.; Li, C.X.; Yang, Y. Analytical Solution for Consolidation of Soils with Vertical Drain Considering Time-and Depth-Dependent Well Resistance Under Vacuum and Multi-Stage Surcharge Preloading. Chin. J. Rock Mech. Eng. 2023, 42, 3755–3766. [Google Scholar] [CrossRef]
- Li, C.H.; Wu, H.; Cheng, G.Y. Comparative Experimental Study on Soft Soil Reinforcement by Vacuum Preloading with Different Band Drains. Rock Soil Mech. 2022, 43, 2819–2827. [Google Scholar] [CrossRef]
- Huang, D.Z. Research on the Performance of the Prefabricated Vertical Drains in Reinforcement Dredger Fill Sludge in Vacuum Preloading. Master’s Thesis, Jiangxi University of Science and Technology, Ganzhou, China, 2016. [Google Scholar] [CrossRef]
- Bao, S.; Guo, L.; Dong, Z.; Zhou, R.; Zhou, S.; Chen, J. Clogging Behaviors in PVD and Their Evaluation Criteria for Dredged Mud Slurry. Water 2023, 15, 4206. [Google Scholar] [CrossRef]
- Chai, J.-C.; Miura, N.; Nomura, T. Effect of Hydraulic Radius on Long-Term Drainage Capacity of Geosynthetics Drains. Geotext. Geomembr. 2004, 22, 3–16. [Google Scholar] [CrossRef]
- Lawrence, C.A.; Koerner, R.M. Flow Behavior of Kinked Strip Drains. In Proceedings of the Symposium on Geosynthetics for Soil Improvement at the ASCE Convention, Nashville, TN, USA, 9 May 1988. [Google Scholar]
- Miura, N.; Park, Y.; Madhav, M.R. Fundamental Study on Drainage Performance of Plastic-Board Drains. Doboku Gakkai Ronbunshu 2010, 481, 31–40. [Google Scholar] [CrossRef]
- Ying, S.; Cheng, P.S. Effects of Bended Plastic Drainage Plates on Consolidation Caused by Vacuum Preloading. Chin. J. Rock Mech. Eng. 2011, 30, 3633–3640. [Google Scholar]
- Yue, J.S.; Li, J. Measures to Solve “Returning Belt” in Driving of Plastic Drain Board. Port Waterw. Eng. 2018, 2, 194–197+210. [Google Scholar] [CrossRef]
- Wu, Y.D.; Chen, J.M.; Zhou, Y.F. Distribution and Basic Characteristics of New Transparent Clay. Chin. J. Geotech. Eng. 2020, 42, 141–145. [Google Scholar] [CrossRef]
- Deng, J.B. Application of Reusable pile shoes in Drainage Board Construction. Pearl River Water Transp. 2023, 19, 10–12. [Google Scholar] [CrossRef]
- Wu, M.L.; Fu, Y.Q.; Liu, C. Model Tests on the Penetration Characteristics of Jacked Pile in Transparent Granular Soil. Build. Sci. 2022, 38, 49–55. [Google Scholar] [CrossRef]
- Ni, Q.; Hird, C.C.; Guymer, I. Physical Modelling of Pile Penetration in Clay Using Transparent Soil and Particle Image Velocimetry. Géotechnique 2010, 60, 121–132. [Google Scholar] [CrossRef]
- Tehrani, F.S.; Arshad, M.I.; Prezzi, M.; Salgado, R. Physical Modeling of Cone Penetration in Layered Sand. J. Geotech. Geoenviron. Eng. 2018, 144, 04017101. [Google Scholar] [CrossRef]
- Lu, Q.; He, B.; Xiao, L. Experimental Study on CPT Penetration in Layered Soil Based on Transparent Soil. Chin. J. Geotech. Eng. 2022, 44, 2215–2224. [Google Scholar]
- Tian, Y. Refined Consolidation Theory for Soft Soils Improved by Prefabricated Vertical Drain. Ph.D. Thesis, China University of Geosciences, Beijing, China, 2022. Available online: https://kns.cnki.net/KCMS/detail/detail.aspx?dbname=CDFDLAST2024&filename=1023827012.nh (accessed on 1 January 2025).
- Jiang, M.J.; Shen, Z.J. ExpanSionof CylindriCa1 Cavity of Materials with Strain-SofteningBehaviour. Chin. J. Geotech. Eng. 1995, 4, 10–19. [Google Scholar]
- Gong, X.N. Soil Plastic Mechanics; Zhejiang University Press: Hangzhou, China, 1990. [Google Scholar]
- Zhou, H.; Yuan, J.R.; Liu, H.L. Model Test of Rectangular Pile Penetration Effect in Transparent Soil. Rock Soil Mech. 2019, 40, 4429–4438. [Google Scholar] [CrossRef]
- Liu, Y.H.; Chen, Z.Y.; Peng, Z.J. Analysis of Pile Driving Effect of Precast Tubular Pile Using Cylindrical Cavity Expansion Theory. Rock Soil Mech. 2007, 10, 2167–2172. [Google Scholar] [CrossRef]










| Reference | Diameter of Coating Area | Methodologies |
|---|---|---|
| Sathanantha et al. [5] | ds = (2–4)dm | Inverse analysis |
| Ghandeharioon et al. [6] | ds = 3.1dm | Inverse analysis and indoor testing |
| Ghandeharioon et al. [7] | ds = 3.5dm | Indoor testing |
| Indraratna et al. [8] | ds = 6.3dm | Indoor testing |
| S. Prabavathy et al. [9] | ds = (4–6)dm | Indoor testing |
| Sathanantha et al. [5] | ds = (2–4)dm | Inverse analysis |
| Pile Shoe Category | Sleeve Length | Sleeve Diameter | Pile Shoe Length | Stockbroker | Pile Shoe Equivalent Radius |
|---|---|---|---|---|---|
| Ⅰ | 100 | 6 | 10 | 10 | 1.5 |
| Ⅱ | 100 | 6 | 10 | 10 | 2.0 |
| Style | ρ (g·cm−3) | E (MPa) | v | φ0 | k (cm·s−1) | c0 (kPa) | e |
|---|---|---|---|---|---|---|---|
| Sandy soil | 1.52 | 40 | 0.3 | 30° | / | 0 | 0.65 |
| Clayey soil | 1.03 | 0.8 | 0.4 | 11° | 8.1 × 10−7 | 0.55 | 1.46 |
| Working Condition | Pile Shoe Category | Sandy Soil | Clayey Soil | Insertion Depth |
|---|---|---|---|---|
| Condition 1 | Ⅰ | 30 | 110 | 2d |
| Condition 2 | Ⅰ | 30 | 110 | 3d |
| Condition 3 | Ⅰ | 30 | 110 | 6d |
| Condition 4 | Ⅱ | 30 | 110 | 2d |
| Condition 5 | Ⅱ | 30 | 110 | 3d |
| Condition 6 | Ⅱ | 30 | 110 | 6d |
| Style | a (mm) | b (mm) | Ru (mm) | R0 (mm) | c (kpa) | φ (°) | E (Mpa) | v |
|---|---|---|---|---|---|---|---|---|
| Ⅰ | 10 | 3 | 3 | 3 | 0.55 | 11 | 0.8 | 0.4 |
| Ⅱ | 10 | 4 | 3 | 3 | 0.55 | 11 | 0.8 | 0.4 |
| Groups | a (mm) | b (mm) | λ |
|---|---|---|---|
| ① | 10 | 1.5 | 4.413 |
| ② | 10 | 2.0 | 3.560 |
| ③ | 10 | 3.0 | 2.707 |
| ④ | 5 | 1.5 | 2.707 |
| ⑤ | 15 | 3.0 | 3.560 |
Disclaimer/Publisher’s Note: The statements, opinions and data contained in all publications are solely those of the individual author(s) and contributor(s) and not of MDPI and/or the editor(s). MDPI and/or the editor(s) disclaim responsibility for any injury to people or property resulting from any ideas, methods, instructions or products referred to in the content. |
© 2025 by the authors. Licensee MDPI, Basel, Switzerland. This article is an open access article distributed under the terms and conditions of the Creative Commons Attribution (CC BY) license (https://creativecommons.org/licenses/by/4.0/).
Share and Cite
Lin, J.; Zhang, B.; Liang, Z.; Chen, H.; Yang, Z.; Tang, Y.; Du, Y. Visualization Study on Construction Disturbance of Drainage Board Sleeve Pile Shoes. Buildings 2025, 15, 4195. https://doi.org/10.3390/buildings15224195
Lin J, Zhang B, Liang Z, Chen H, Yang Z, Tang Y, Du Y. Visualization Study on Construction Disturbance of Drainage Board Sleeve Pile Shoes. Buildings. 2025; 15(22):4195. https://doi.org/10.3390/buildings15224195
Chicago/Turabian StyleLin, Junzhi, Bojun Zhang, Zelong Liang, Hongming Chen, Zonglin Yang, Yan Tang, and Yan Du. 2025. "Visualization Study on Construction Disturbance of Drainage Board Sleeve Pile Shoes" Buildings 15, no. 22: 4195. https://doi.org/10.3390/buildings15224195
APA StyleLin, J., Zhang, B., Liang, Z., Chen, H., Yang, Z., Tang, Y., & Du, Y. (2025). Visualization Study on Construction Disturbance of Drainage Board Sleeve Pile Shoes. Buildings, 15(22), 4195. https://doi.org/10.3390/buildings15224195

