Next Article in Journal
Analysis of Torsional Vibration of Single Pile in Orthotropic Layered Soil
Previous Article in Journal
Early-Age Hydration Heat in Railway 60-Meter Precast Box Girders: Experimental Study and Experimental Simulation
Previous Article in Special Issue
A Novel Optimal Control Method for Building Cooling Water Systems with Variable Speed Condenser Pumps and Cooling Tower Fans
 
 
Font Type:
Arial Georgia Verdana
Font Size:
Aa Aa Aa
Line Spacing:
Column Width:
Background:
Article

Numerical Investigation on the Diffusion and Ventilation Characteristics of Hydrogen-Blended Natural Gas Leakage in Indoor Spaces

by
Bofan Deng
1,2,3,4,
Xiaomei Huang
1,2,3,4,*,
Shan Lyu
2,3,4,5 and
Dulikunjiang Aimaieraili
1,2,3,4
1
School of Civil Engineering, Chongqing University, Chongqing 400045, China
2
State Key Laboratory of Safety and Resilience of Civil Engineering in Mountain Area, Chongqing 400045, China
3
Joint International Research Laboratory of Green Buildings and Built Environments (Ministry of Education), Chongqing University, Chongqing 400045, China
4
National Centre for International Research of Low-Carbon and Green Buildings (Ministry of Science and Technology), Chongqing University, Chongqing 400045, China
5
College of Environment and Ecology, Chongqing University, Chongqing 400045, China
*
Author to whom correspondence should be addressed.
Buildings 2025, 15(21), 3833; https://doi.org/10.3390/buildings15213833
Submission received: 29 September 2025 / Revised: 20 October 2025 / Accepted: 21 October 2025 / Published: 23 October 2025

Abstract

The blending of hydrogen significantly impacts the diffusion and safety characteristics of natural gas within indoor environments. This study employs ANSYS Fluent 2021 R1 to numerically investigate the diffusion and ventilation characteristics of hydrogen-blended natural gas (HBNG) leakage in indoor spaces. A physical and mathematical model of gas leakage from pipelines is established to study hazardous areas, flammable regions, ventilation characteristics, alarm response times, safe ventilation rates, and the concentration distribution of leaked gas. The effects of hydrogen blending ratio (HBR), ventilation conditions, and space dimensions on leakage diffusion and safety are analyzed. Results indicate that HBNG leakage forms vertical concentration stratification in indoor spaces, with ventilation height being negatively correlated with gas concentration and flammable regions. In the indoor space conditions of this study, by improving ventilation conditions, the hazardous area can be reduced by up to 92.67%. Increasing HBR substantially expands risk zones—with pure hydrogen producing risk volumes over five times greater than natural gas. Mechanical ventilation significantly enhances indoor safety. Safe ventilation rates escalate with hydrogen content, providing quantitative safety criteria for HBNG implementation. The results underscore the critical influence of HBR and ventilation strategy on risk assessment, providing essential insights for the safe indoor deployment of HBNG.

1. Introduction

Driven by the global carbon neutrality agenda [1,2], Hydrogen is globally regarded as one of the most promising energy carriers due to its clean combustion [3,4], high efficiency [5], zero-carbon emissions [6], and abundant availability [7]. Currently, the predominant methods for hydrogen transportation include liquid hydrogen tank trucks [8], high-pressure hydrogen cylinder tube trailers [9], and liquid hydrogen barges [10,11]. However, these approaches are limited by low transportation efficiency and high costs [12]. An emerging alternative is blending hydrogen into natural gas pipelines for downstream utilization, which presents a novel pathway for hydrogen energy deployment [13,14,15,16,17].
The global deployment of HBNG projects has grown substantially in recent years [18,19,20]. Notable examples include France’s 2014 GRHYD project, which successfully demonstrated the technical feasibility of HBNG pipeline transportation [21]. In 2019, the UK’s HyDeploy project confirmed the viability of blending hydrogen into natural gas pipelines at a 20% volumetric ratio [22]. The same year, China’s Liaoning Chaoyang HBNG demonstration project successfully applied HBNG for residential energy supply [23]. In 2021, the United States launched its largest HBNG project, “HyBlend,” aiming to achieve fuel decarbonization [24]. These projects collectively focus on two key aspects: (1) the adaptability of existing natural gas infrastructure for hydrogen transport and (2) end-use equipment compatibility with HBNG [25].
Compared to natural gas, hydrogen demonstrates significantly higher flammability and explosiveness, characterized by a broader flammability range [26], greater diffusivity [27], and lower minimum ignition energy [28]. These properties render HBNG more susceptible to deflagration and other hazardous scenarios compared to natural gas [29]. Furthermore, hydrogen modifies the leakage behavior and diffusion characteristics of gas mixtures [30], potentially exacerbating leakage and explosion risks in indoor gas applications [31], thereby raising significant safety concerns. To address these risks, researchers worldwide have investigated gas leakage diffusion and explosion characteristics in confined spaces. For instance, Xing et al. [32] performed explosion experiments with methane-air mixtures in a chamber, demonstrating that obstacles enhance explosion overpressure, with magnitude variations depending on ignition location. Brady et al. [33] carried out hydrogen leakage diffusion and explosion experiments in a garage model, examining the effects of ventilation on hydrogen dispersion and catalytic ignition sources on explosion risks. Their findings indicated that catalytic ignition sources significantly increase hydrogen explosion risks while correctly matching ventilation with leakage rates and effectively mitigating explosion hazards. Marangon et al. [34] experimentally studied leakage and diffusion of hydrogen-methane mixtures (10% and 30% hydrogen) in enclosed spaces, observing initially non-uniform concentration distributions that gradually homogenize over time. Hajji et al. [35] focused on hydrogen leakage in residential garages, systematically analyzing ventilation effects on dispersion patterns and establishing fundamental characteristics of hydrogen diffusion in such environments.
The rapid development of computational fluid dynamics (CFD) has established numerical simulation as a powerful methodology for investigating gas leakage phenomena [36]. This approach eliminates the safety concerns inherent in experimental studies while enabling comprehensive analysis of HBNG leakage and explosion characteristics across diverse conditions through parameter variation. Several studies have demonstrated the effectiveness of this approach. Su et al. [37] developed a household kitchen model using Fluent R19.2 to evaluate how various factors influence HBNG concentration distribution, explosion risks, and alarm response times. Their simulations revealed that at constant leakage rates, increasing the HBR substantially reduces both the alarm response time and the time to reach the lower explosion limit, while mechanical ventilation effectively mitigates gas accumulation. Cen et al. [38] employed Fluent to simulate indoor gas leakage and diffusion dynamics, ultimately determining the minimum required ventilation area for typical northeastern Chinese residential buildings. Li et al. [39] created a sealed container model using CFD to analyze leakage patterns, diffusion behavior, and flammable zone distribution for natural gas with varying HBRs. Their results indicated that at HBRs below 20%, HBNG exhibits leakage and diffusion characteristics comparable to pure methane. Lu et al. [40] utilized the FLACS 9.0 to investigate how horizontal baffles at ventilation openings affect hydrogen concentration and ventilation efficiency. Their findings demonstrated that strategically placed baffles at ventilation inlets and outlets enhance airflow velocity while reducing interior hydrogen concentrations. The study further identified an optimal baffle height corresponding to peak ventilation efficiency.
The rapid advancement of the hydrogen energy industry has conclusively demonstrated the technical feasibility of HBNG. In the near future, hydrogen is anticipated to be delivered to residential consumers primarily through HBNG, with its main end-use application being indoor combustion for energy supply [41]. However, current research exhibits two significant gaps: (1) limited consideration of varying HBRs as leakage sources and (2) insufficient focus on indoor environments as the study setting. Both experimental and numerical investigations of HBNG leakage and diffusion in indoor spaces remain notably scarce. To address these research gaps, the present study systematically examines HBNG leakage diffusion characteristics and associated safety risks in indoor environments. A numerical model of a representative indoor space is developed and experimentally validated to ensure reliability. The investigation focuses on three critical aspects: (1) the influence of HBR variations, (2) ventilation effects on leakage and diffusion patterns, and (3) the consequent impacts on indoor safety. Furthermore, the ventilation rate to ensure indoor safety is proposed.

2. Physical and Mathematical Model

2.1. Physical Mode

A numerical investigation was conducted to examine HBNG leakage and diffusion characteristics in indoor spaces. This study employed a three-dimensional physical model representing a residential space measuring 12 m (length) × 4 m (width) × 3 m (height), simplifying the internal structure. The modeled space consists of three distinct areas: (1) a kitchen compartment (3 m × 1.85 m × 3 m) and (2) two adjacent rooms (each 4 m × 4 m × 3 m). Figure 1 illustrates the complete geometric configuration of the computational domain. The HBNG leakage source was positioned at coordinates (6.6, 1.55, 1) within the kitchen space, representing a typical residential gas appliance location.

2.2. Mathematical Model

Prior to numerical simulation, the following simplifying assumptions were adopted:
(1)
No chemical interactions occur between HBNG and air.
(2)
The leakage process is adiabatic (no heat transfer with surroundings).
(3)
Both HBNG and air are modeled as incompressible ideal gases.
(4)
A constant mass flow rate is maintained during leakage with turbulent flow conditions.
These assumptions form the basis for the governing equations implemented in the computational model [42]. This model is applicable to physical mixing and flow dynamics under low pressure conditions, which include:
(1)
The general differential form of the Continuity Equation for Fluid Flow (Mass Conservation Equation):
ρ t + ( ρ u i ) x i = 0
where ρ is the fluid density (kg/m3); t is time (s); u i is the velocity component of the fluid in the i-direction (m/s, i = x, y, z); x i represents the coordinate direction of fluid motion (i = x, y, z).
(2)
Mass Conservation Equation for Incompressible Ideal Gases:
( ρ u i ) x i = 0
(3)
The differential form of the Energy Conservation Equation for Fluid Flow:
( ρ T ) t + ( ρ u j T ) x j = 1 c p x j k i T x j + c p v c p a c p μ t σ p ω x j T x j
where T is the temperature of the leaking fluid (K); c p is the specific heat capacity of the gas mixture at constant pressure (J/(kg·K)); k i is the thermal conductivity of the leaking fluid; c p v , c p a are the specific heat capacities of the mixed gas and air (J/(kg·K)); μ t is the turbulent viscosity of the leaking fluid (Pa·s); ω is the mass fraction of the leaking fluid (kg/s); u j represents the velocity component in the j-direction (m/s, j = x, y, z)
(4)
The differential form of the Momentum Conservation Equation for Fluid Flow:
( ρ u i ) t + ( ρ u i u j ) x j = p x i + τ i j x j + F i
where p is the absolute pressure of the leaking fluid (Pa); τ i j represents the shear stress component acting on the plane parallel to the i-axis (N/m2, i = x, y, z); F i represents the mass force acting on the fluid in the i-direction (N, i = x, y, z).
(5)
The differential form of the Species Transport Equation for Fluid Flow:
( ρ c s ) t + ( ρ u i c s ) x i = x i D i ρ c s x i
where c s is the volume concentration of species s in the leaking fluid (kg/m3); D i is the diffusion coefficient of the leaking fluid component in the gas mixture.
(6)
Ideal Gas Equation of State
Since the pressure of HBNG is relatively low in this study, it can be considered an incompressible ideal gas, satisfying the ideal gas equation:
P V = m R T
where P is the absolute pressure of the gas (Pa); V is the volume occupied by the gas (m3); m is the mass of the gas (kg); R is the gas constant (J/(kg·K)); T is the temperature of the gas (K).
(7)
Turbulence Equations
The Realizable k-ε turbulent model with standard wall function is applied in this study, which includes the turbulent kinetic energy equation and the turbulent dissipation rate equation:
( ρ k ) t + x i ( ρ k u i ) = x i μ + μ t σ k k x i + G k + G b ρ ε Y m + S k
( ρ ε ) t + x i ( ρ ε u i ) = x i μ + μ t σ ε ε x i + ρ C 1 S ε ρ C 2 ε 2 k + ν ε C 1 ε ε k C 3 ε G b + S ε
where k is the turbulent kinetic energy; ε is the turbulent dissipation rate; Y m represents the effects of compressible flow on turbulent dissipation; G k , G b are the production terms for buoyancy and mean velocity gradients, respectively; μ is the dynamic viscosity; σ k , σ ε are the empirical constants for k and ε, with values of 1 and 1.2, respectively; C 3 ε is a function of velocity gradient relative to gravity; C 2 , C 1 ε are empirical constants, with values of 1.90 and 1.44, respectively; C 1 is a model function for variable-speed flow in swirl-dominated regions; S k is the source term for turbulent kinetic energy; S ε is the source term for turbulent dissipation rate.

2.3. Boundary Conditions

ANSYS Fluent 2021 R1 is used for numerical simulations, with detailed boundary condition settings provided in Table 1.

3. Numerical Simulation

3.1. Mesh Generation

ICEM CFD 2021 R1is employed to generate unstructured mesh for the three-dimensional indoor spaces model. Elements near the leakage source and its surrounding area are refined to improve accuracy. The mesh generated within the computational domain representing is shown in Figure 2.

3.2. Numerical Methods

The simulations utilize the SIMPLE algorithm for pressure-velocity coupling. A second-order upwind scheme is implemented for both temporal and spatial discretization to maintain solution accuracy. The relaxation factors for all discretized equations retain their default values as specified in the computational software. The detailed model and discretization scheme settings are presented in Table 2.

3.3. Calculation Parameters

The simulations utilize the SIMPLE algorithm for pressure-velocity coupling. A second-order upwind scheme is implemented for both temporal and spatial discretization to maintain solution accuracy. The relaxation factors for all discretized equations retain their default values as specified in the computational software. The detailed model and discretization scheme settings are presented in Table 2.
(1)
The simulated accident scenario involves continuous HBNG leakage resulting from hose detachment at a gas appliance connection point. The leakage occurs through a 9 mm diameter pipe opening under an operating pressure of 2 kPa. The mass flow rate during leakage is calculated using the following equation:
q m , n = π D 2 4 n p 1 n + 1 n p 2 n + 1 n ( n + 1 ) p 1 1 n n R T 1 ( λ L 2 D + 1 n ln p 1 p 2 )
where q m , n is the mass flow rate of gas leakage (kg/s); p 1 is the pressure of the gas pipeline (Pa); p 2 is the pressure of the gas leakage (Pa); D is the diameter of leakage pipe (m); T is the temperature of gas inside the pipe (K); λ is the pipeline friction coefficient; L is the length of the pipeline (distance from entrance to leakage point) (m); n is the polytropic index of gas.
(2)
The explosive limit refers to the concentration range of combustible gas in the air within which flame propagation occurs upon ignition. Specifically, the lower explosive limit (LEL) represents the minimum gas concentration (vol%) required to sustain combustion, calculated as:
L l = 100 y i L i
where L l is the Explosive limit of the target gas (%); y i is the Volume fraction of components in the gas mixture (%); L i is the Explosive limit of components in the gas mixture (%).
Table 3 presents the comparative leakage characteristics for different HBRs, including flow rate, velocity, and lower explosion limit (LEL) values. The numerical simulation incorporates the gas leakage flow rates directly from these experimental measurements to ensure model fidelity.

3.4. Simulation Conditions

(1)
Simulation conditions
The simulation conditions are set in Table 4 based on the study of HBNG leakage and diffusion characteristics in indoor spaces.
(2)
Monitoring points
The monitoring points coordinates are set according to Table 5, forming the monitoring point layout diagram shown in Figure 3. The entire computational domain (all zones) is initialized, with all gas parameters set to zero and the temperature set to 293 K. In contrast, other parameters remain at their default values.

4. Model Validations

4.1. Analysis of Mesh Sensitivity

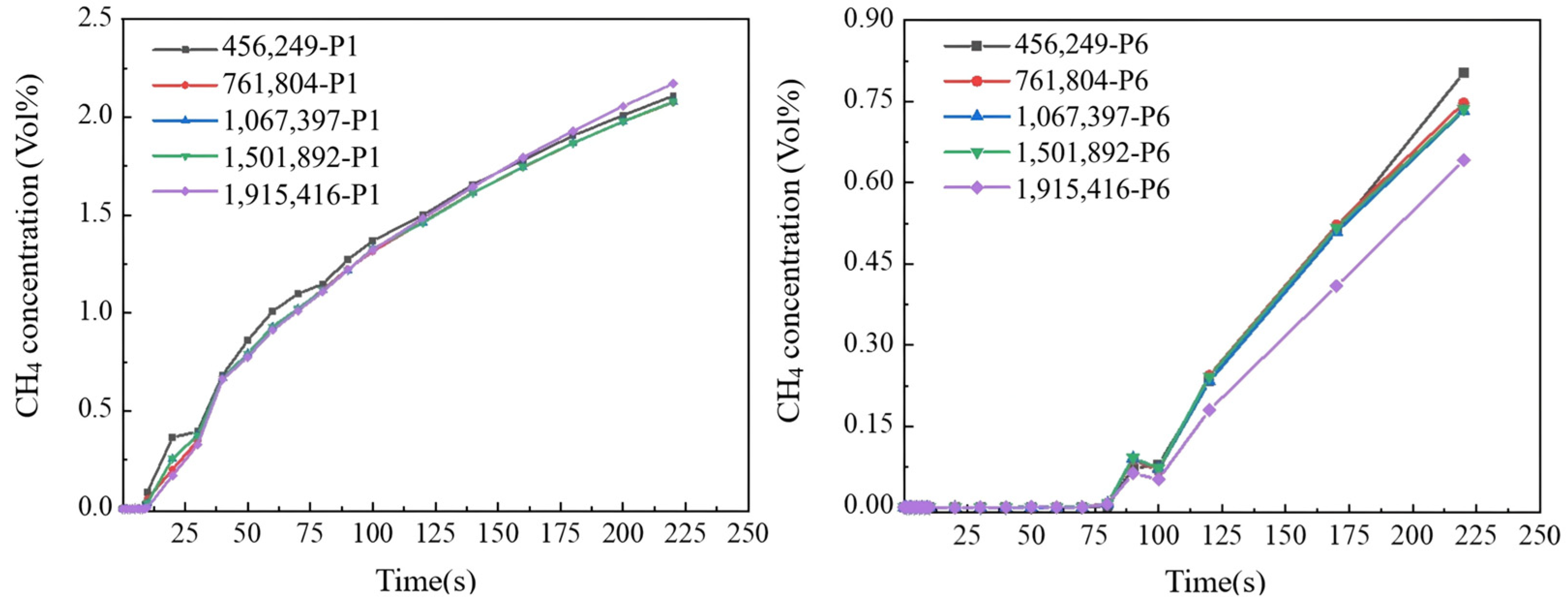
The mesh quality significantly influences the simulation results, while excessive mesh elements elevate computational time and storage demands [43]. To identify the optimal mesh resolution, the model is assessed under the scenario of HBNG leakage in a sealed indoor environment. To achieve mesh sensitivity tests, five different mesh configurations were generated: a coarse mesh with 456,249 elements, a relatively coarse mesh with 761,804 elements, a fine mesh with 1,067,397 elements, an extra-fine mesh with 1,501,892 elements and an over-refined mesh with 1,915,416 elements, Table 6 demonstrates how numerical errors diminish with increasing mesh refinement.
Figure 4 illustrates the temporal variation in methane concentration at monitoring points P1 and P6 for different mesh densities. The methane concentration trends remain consistent across varying elements, with the concentration curves for mesh density 1,067,397 and 1,501,892 demonstrating strong agreement. Based on computational time and storage considerations, the fine mesh with 1,067,397 elements is adopted as it satisfies both accuracy and efficiency requirements. All numerical simulations in this study employ this mesh density.

4.2. Validation of Mathematical Model

The accuracy of the established numerical model is verified using experimental data from HBNG leakage tests (Table 5, No.5) conducted in the kitchen. As illustrated in Figure 4, four gas sensors are positioned in the kitchen to measure gas concentration, corresponding to locations P3, P4, P6, and P7. The leakage source is situated at coordinates (6.6, 1.55, 1), with a diameter of 9 mm and a leakage pressure of 2 kPa. As shown in Figure 5, a comparison between the numerically simulated gas concentration at P6 and the experimental results over a 750 s leakage duration demonstrates good agreement. The deviation between the simulation and experimental results remains below 5%, confirming the reliability of the proposed numerical model and computational method for analyzing the leakage and diffusion of HBNG in indoor spaces.

5. Results and Discussion

5.1. The Concentration Distribution of HBNG

Condition 1 from Table 3 serves as an example to analyze the effect of HBR on the concentration diffusion of HBNG. Figure 6 presents the diffusion contours of different HBRs in indoor spaces at 300 s after leakage. The 3–4% gas concentration region is predominantly located above the leakage source. As HBR increases, the 3–4% concentration region expands along the ceiling, exhibiting a downward diffusion trend. A comparison between Figure 6a,g reveals that the hazardous area and the flammable concentration coverage area of HBNG are significantly larger than those of natural gas. These results demonstrate that increasing the HBR elevates the risk associated with HBNG leakage.
The gas concentration distribution following HBNG leakage in indoor spaces is illustrated by a vertical slice along the X-Z plane at the leakage source, as shown in Figure 7. The leakage process for different HBRs exhibits a confined jet diffusion pattern, with gas concentration above the leakage source being higher than in other regions. The maximum concentrations for 0%, 20%, 50% HBR, and pure hydrogen are 2.5%, 3.5%, 3.5%, and 5.0%, respectively, whereas the corresponding concentrations in Room 2 measure 1%, 1.5%, 2%, and 3%.
As HBR increases, the concentration stratification gradually diminishes. Vertically, the gas concentration rises with indoor height, exhibiting a distinct stratification effect. Horizontally, the gas concentration decreases with distance from the leakage source, with higher concentrations observed near the walls adjacent to the leakage source compared to the central region. The maximum diffusion distance for HBR of 0%, 20%, 50%, and pure hydrogen are 2.4 m, 4 m, 5 m, and 5.4 m.
The results presented in Figure 7c,d demonstrate that increasing HBR leads to significant expansion of the hazardous area where the concentration exceeds the alarm threshold (25% LEL). At R = 50% and pure hydrogen, the concentration reaches the lower explosion limit (LEL) within 300 s after leakage. Furthermore, in the kitchen, a flammable region (gas concentration ≥ LEL) forms at elevations above 2.0 m, indicating that elevated HBR levels substantially enhance the leakage and diffusion risks of HBNG in confined spaces.
To further examine the influence of time on the leakage and diffusion process, Figure 8 displays the distribution of the flammable region for HBNG at 2400 s. Over time, the indoor flammable region (indicated by red-purple areas in the figure) gradually expands beyond the kitchen into adjacent spaces. For 0–50% HBR, the flammable region remains predominantly confined within the kitchen. In contrast, the flammable region for pure hydrogen exhibits substantial expansion, encompassing most of the kitchen, Room 2, and the corridor. These results demonstrate that as HBR increases, the flammable region following leakage enlarges, resulting in a greater risk of gas leakage hazards in indoor spaces. Notably, R ≥ 50% presents a significantly elevated safety risk.
Figure 9 illustrates the variations in hazardous areas and LEL volume within confined indoor spaces under different HBRs of HBNG. As depicted in Figure 9a, increasing the HBR leads to a gradual reduction in the duration during which the entire indoor space remains classified as hazardous. At R = 50%, the hazardous condition persists for 2700 s, while for pure hydrogen, this duration decreases to 1200 s, corresponding to a 55.6% reduction.
As shown in Figure 9b, for R < 20%, the difference in the indoor flammable region compared to pure natural gas leakage remains negligible. However, when R ≥ 20%, the volume of the flammable region increases substantially. The most pronounced effect occurs with pure hydrogen, where the time required for the entire indoor space to become a fully flammable region decreases significantly.

5.2. Influence of Ventilation Location and Area on Diffusion Characteristics

To investigate the influence of different positions of ventilation openings located on the exterior wall near kitchen windows on ventilation effectiveness. Figure 10a depicts the variation in gas concentration at P9 (6.5, 0.9, 2.7) for different natural ventilation opening positions. Altering the horizontal position of the ventilation openings (vent 1, 2, 3; area 0.2 m2) results in gas concentration curves that follow a similar temporal trend and nearly coincide. At 3600 s, the gas concentration reaches 84% of LEL, substantially exceeding the gas alarm threshold. In contrast, adjusting the vertical height of the ventilation openings (vent 2, 4, 5) reveals that the concentration at vent 2 remains consistently below the LEL. However, at vent 4 and vent 5, the concentration surpasses the LEL at approximately 2500 s. Figure 10b presents the variation in flammable region volume for different ventilation positions. The flammable region volume gradually increases when the ventilation openings are set at positions 2, 4, and 5.
Figure 10c presents the concentration variations at P1 (kitchen) and P10 (room 2) under different ventilation opening areas at R = 50%. At 3600 s, the gas concentration at P1 decreases by 24.58% and 44.6% for opening areas of 0.4 m2 and 0.6 m2, respectively. This indicates a negative correlation between indoor gas concentration and ventilation opening area, with gas concentration gradually decreasing as the ventilation area increases. However, the marginal benefit of increasing the ventilation area diminishes beyond a certain threshold. While greater ventilation areas accelerate the establishment of indoor-outdoor airflow equilibrium, merely expanding the opening size proves insufficient for maintaining gas concentrations below the alarm threshold throughout the entire indoor space.
Figure 10d,e illustrates the variations in the hazardous area and flammable gas volume for different ventilation areas at R = 50%. Increasing the ventilation area from the initial 0.2 m2 to 0.4 m2 and 0.6 m2 reduces the hazardous area and flammable gas volume by 91.51%, 92.67%, 95.73%, and 96.74%, respectively. Additionally, the indoor flammable gas region is almost completely eliminated. Altering the ventilation position yields a maximum reduction of 66.65% in the hazardous gas region volume. In comparison, modifying the ventilation opening area achieves a maximum reduction of 92.67%. These results demonstrate that the ventilation area significantly influences gas concentration and flammable region distribution.
Figure 11 demonstrates that the concentration contour exceeds the alarm threshold under fixed ventilation conditions (Vent 2 position, 0.2 m2 area) for different HBRs in HBNG (Red Zone: An area where the gas cloud concentration exceeds the alarm threshold (1.11%)). The results indicate that when the ventilation position and area remain constant, the spatial extent of concentrations exceeding the alarm threshold decreases as HBR increases, following the order: pure hydrogen > 50% > 20% > 0%. The hazardous area volume with HBR of 20%, 50%, and pure hydrogen increased by 1.89, 2.65, and 5.04 times, respectively, compared to natural gas. This demonstrates that HBR higher, the indoor safety risk greater.
It is recommended that indoor spaces utilizing HBNG adopt optimized ventilation strategies, including increased opening areas and elevated vent placement. This approach capitalizes on hydrogen’s buoyancy to enhance safety without substantially increasing construction costs.

5.3. Influence of Ventilation Method on Diffusion Characteristics

The effects of natural ventilation and mechanical ventilation (ventilation rate: 1134 m3/h) on HBNG leakage and diffusion are analyzed in Figure 12, which shows the concentration variations over time at P1 (6.5, 0.9, 2.7) and P2 (7, 1.75, 2.7) under different ventilation conditions at R = 20%. P2 corresponds to the designated installation location of the indoor gas alarm. Mechanical ventilation initiates automatically when the gas concentration at P2 reaches the alarm threshold.
In sealed conditions, the gas concentration exhibits a gradual increase following an HBNG leakage event. Under natural ventilation (ventilation area: 1.34 m2), the indoor gas concentration initially rises before stabilizing, yet remains above the alarm threshold. By contrast, when mechanical ventilation is activated, the gas concentration at all monitoring points decreases below the alarm threshold within 60 s.
Figure 13a,b,h presents the hazardous area variation at R = 20% and 400 s under different ventilation conditions. The results demonstrate that the hazardous area volume reaches its maximum in enclosed indoor spaces and its minimum under mechanical ventilation. Compared to enclosed indoor conditions, natural ventilation reduces the hazardous area volume by 53.29%, while mechanical ventilation achieves a 99.76% reduction.
Consequently, automatic mechanical ventilation systems interlocked with gas detectors should be required as a core component of the safety standard for homes using HBNG. Mandating these systems in all new construction and retrofit projects must be considered by policymakers, drawing a parallel to existing commercial kitchen regulations, to ensure rapid hazard response.

5.4. Determination of Safety Ventilation Rate

To examine the impact of ventilation rate during continuous leakage, Figure 13c–f,h displays the volume contour of hazardous areas at various time intervals under a ventilation rate of 1304 m3/h with R = 50%. The results indicate that the hazardous area volume progressively increases from 10 s to 30 s, peaking at 30 s when P2 attains the alarm concentration. Following the activation of mechanical ventilation, the hazardous area within the indoor space diminishes gradually over time. By the 240 s, the hazardous area has persisted solely above the leakage source.
To further determine the safe ventilation rate—defined as the rate at which the indoor gas concentration remains consistently below the alarm threshold while nearly eliminating the flammable region—for different HBRs leakage scenarios, the safety criterion is established based on the P2 concentration being lower than the alarm threshold (Table 3).
Figure 14 presents the variations in P2 concentration and the corresponding changes in indoor hazardous areas. Analysis of Figure 14a,b demonstrates that a ventilation rate of 907 m3/h maintains safe conditions for natural gas leakage. Similarly, Figure 14c,d confirm that 907 m3/h also constitutes a safe ventilation rate for R = 10%. However, Figure 14e,f reveal that a higher ventilation rate of 1134 m3/h is required for R = 20%, while Figure 14g,h indicate that 1304 m3/h is necessary to ensure safety at R = 50%.
The variation patterns of leakage concentration and hazardous areas for different HBRs exhibit trends similar to those of natural gas as ventilation rates change. When HBR is constant, indoor gas concentration and hazardous areas decrease with increasing ventilation rate. However, further increases in ventilation yield diminishing reductions in indoor gas concentration once the ventilation rate reaches a level commensurate with the indoor space volume. When the ventilation rate remains constant, higher HBRs lead to gradual increases in indoor gas concentration and hazardous areas. Additionally, the alarm response time at P2 advances, with response times for 10%, 20%, and 50% HBRs occurring 9.1%, 24.24%, and 59.1% earlier than that of natural gas. The safe ventilation rates for different HBRs are presented in Table 7. We emphasize that the safe ventilation rate was obtained within the context of our model, and the proposed methodology is meant to guide its determination.

6. Conclusions

This study numerically investigates the leakage, diffusion, and safety of HBNG in indoor spaces. The effects of HBR, ventilation opening position, mode, area, and rate on leakage diffusion and indoor safety are analyzed. The main conclusions are as follows:
  • Following an HBNG leak, the gas initially accumulates at the top of the indoor space and then spreads outward along the ceiling and downward along the walls. The diffusion range expands with increasing HBR. Gas concentration rises with vertical height, exhibiting distinct stratification, with higher concentrations near the walls adjacent to the leakage point compared to the central region.
  • Ventilation height exerts a more significant influence on gas concentration and flammable volume than horizontal positioning. Higher ventilation openings correlate with reduced gas concentration and smaller flammable regions. Adjusting ventilation position and area decreases the indoor hazardous area by 66.65% and 92.67%, respectively. At a fixed ventilation configuration, the hazardous volume for HBRs of 20%, 50%, and pure hydrogen exceeds that of natural gas by factors of 1.89, 2.65, and 5.04.
  • Mechanical ventilation effectively mitigates indoor gas concentration, maintaining a safe environment during leakage. Increasing the ventilation rate to match the space size yields diminishing returns in further improving indoor safety.
  • A method for determining the safe ventilation rate is proposed. For HBRs of 0%, 10%, 20%, and 50%, the required safe ventilation rates are 907 m3/h, 907 m3/h, 1134 m3/h, and 1304 m3/h, respectively, under the studied conditions.

Author Contributions

B.D.: Writing—review and editing, Writing—original draft, Software, Validation, Data curation, Conceptualization, Visualization. X.H.: Project administration, Supervision, Resources, Review. S.L.: Supervision, Methodology, Writing—review and editing. D.A.: Writing—original draft, Formal analysis, Validation. All authors have read and agreed to the published version of the manuscript.

Funding

This work is supported by the National Key R&D Program of China (No. 2022YFB4004400). This support is gratefully acknowledged. All the authors are grateful for the suggestions and comments from the reviewers and editors.

Data Availability Statement

The original contributions presented in this study are included in the article. Further inquiries can be directed to the corresponding author.

Conflicts of Interest

The authors declare that they have no known competing financial interests or personal relationships that could have appeared to influence the work reported in this paper.

References

  1. Song, X.; Li, P.; Zhang, B.; Yu, K.; Zhang, D.; He, Y. Realization approaches for constructing energy self-sufficient wastewater treatment plants: A review. Carbon Neutrality 2025, 4, 21. [Google Scholar] [CrossRef]
  2. Timothy, J.; Wallington, M.W.G.M.; Eytan, J.; Adler, J.R.R.A. Green hydrogen pathways, energy efficiencies, and intensities for ground, air, and marine transportation. Cell Press 2024, 8, 2190–2207. [Google Scholar] [CrossRef]
  3. Ibrahim Idriss, A.; Awalo Mohamed, A.; Abdi Atteye, H.; Ahmed, R.A.; Mohamed, O.A.; Akinci, T.C.; Ramadan, H.S. Sustainable pathways for hydrogen Production: Metrics, Trends, and strategies for a Zero-Carbon future. Sustain. Energy Technol. Assess. 2025, 73, 104124. [Google Scholar] [CrossRef]
  4. Davis, M.; Okunlola, A.; Di Lullo, G.; Giwa, T.; Kumar, A. Greenhouse gas reduction potential and cost-effectiveness of economy-wide hydrogen-natural gas blending for energy end uses. Renew. Sustain. Energy Rev. 2023, 171, 112962. [Google Scholar] [CrossRef]
  5. Pang, L.; Wang, Z.; Wang, Y.; Zheng, J.; Zhao, H.; He, N. Explosion venting of indoor hydrogen-blended natural gas: Distribution law of compound hazards driven by “leakage-accumulation” effect. Int. J. Hydrogen Energy 2025, 101, 379–390. [Google Scholar] [CrossRef]
  6. Midilli, A.; Dincer, I. Hydrogen as a renewable and sustainable solution in reducing global fossil fuel consumption. Int. J. Hydrogen Energy 2008, 33, 4209–4222. [Google Scholar] [CrossRef]
  7. Chapman, A.; Itaoka, K.; Farabi-Asl, H.; Fujii, Y.; Nakahara, M. Societal penetration of hydrogen into the future energy system: Impacts of policy, technology and carbon targets. Int. J. Hydrogen Energy 2020, 45, 3883–3898. [Google Scholar] [CrossRef]
  8. Alkhaledi, A.N.; Batra, A.; Sampath, S.; Pilidis, P. Techno-environmental assessment of a hydrogen-fuelled combined-cycle gas turbine for a liquid hydrogen tanker. Energy Rep. 2022, 8, 10561–10569. [Google Scholar] [CrossRef]
  9. Reddi, K.; Elgowainy, A.; Rustagi, N.; Gupta, E. Techno-economic analysis of conventional and advanced high-pressure tube trailer configurations for compressed hydrogen gas transportation and refueling. Int. J. Hydrogen Energy 2018, 43, 4428–4438. [Google Scholar] [CrossRef]
  10. Wang, T.; Dong, Y.; Cao, X.; Xu, Z.; Gao, F.; Guan, X. Economic and resilient planning of hydrogen-enriched power distribution network with mobile hydrogen energy resources. Int. J. Hydrogen Energy 2025, 144, 1001–1018. [Google Scholar] [CrossRef]
  11. Borsboom-Hanson, T.; Patlolla, S.R.; Herrera, O.E.; Mérida, W. Point-to-point transportation: The economics of hydrogen export. Int. J. Hydrogen Energy 2022, 47, 31541–31550. [Google Scholar] [CrossRef]
  12. Lu, X.; Krutoff, A.; Wappler, M.; Fischer, A. Key influencing factors on hydrogen storage and transportation costs: A systematic literature review. Int. J. Hydrogen Energy 2025, 105, 308–325. [Google Scholar] [CrossRef]
  13. Hafsi, Z.; Elaoud, S.; Mishra, M. A computational modelling of natural gas flow in looped network: Effect of upstream hydrogen injection on the structural integrity of gas pipelines. J. Nat. Gas Sci. Eng. 2019, 64, 107–117. [Google Scholar] [CrossRef]
  14. Wang, B.; Liang, Y.; Zheng, J.; Qiu, R.; Yuan, M.; Zhang, H. An MILP model for the reformation of natural gas pipeline networks with hydrogen injection. Int. J. Hydrogen Energy 2018, 43, 16141–16153. [Google Scholar] [CrossRef]
  15. Froeling, H.A.J.; Dröge, M.T.; Nane, G.F.; Van Wijk, A.J.M. Quantitative risk analysis of a hazardous jet fire event for hydrogen transport in natural gas transmission pipelines. Int. J. Hydrogen Energy 2021, 46, 10411–10422. [Google Scholar] [CrossRef]
  16. Fontoura, J.; Soares, F.J.; Mourão, Z.; Coelho, A. Optimising green hydrogen injection into gas networks: Decarbonisation potential and influence on quality-of-service indexes. Sustain. Energy Grids Netw. 2024, 40, 101543. [Google Scholar] [CrossRef]
  17. Morales-España, G.; Hernández-Serna, R.; Tejada-Arango, D.A.; Weeda, M. Impact of large-scale hydrogen electrification and retrofitting of natural gas infrastructure on the European power system. Int. J. Electr. Power Energy Syst. 2024, 155, 109686. [Google Scholar] [CrossRef]
  18. Rosa, N.; Azimi Fereidani, N.; Cardoso, B.J.; Martinho, N.; Gaspar, A.; da Silva, M.G. Advances in hydrogen blending and injection in natural gas networks: A review. Int. J. Hydrogen Energy 2025, 105, 367–381. [Google Scholar] [CrossRef]
  19. Ruiz Diaz, D.F.; Zhao, J.; Pham, J.M.Q.; Ramirez, C.; Qin, H.; Jimenez, A.J.; Pulianda, A.M.; Choudhary, C.; McDonell, V.; Li, G.P. Mathematical modeling for hydrogen blending in natural gas pipelines moving towards industrial decarbonization: Economic feasibility and CO2 reduction analysis. Int. J. Hydrogen Energy 2024, 88, 1422–1435. [Google Scholar] [CrossRef]
  20. IEA. Global Hydrogen Review 2024. Available online: https://www.iea.org/reports/global-hydrogen-review-2024 (accessed on 28 September 2025).
  21. Mahajan, D.; Tan, K.; Venkatesh, T.; Kileti, P.; Clayton, C.R. Hydrogen blending in gas pipeline networks—A review. Energies 2022, 15, 3582. [Google Scholar] [CrossRef]
  22. Isaac, T. HyDeploy: The UK’s first hydrogen blending deployment project. Clean Energy 2019, 3, 114–125. [Google Scholar] [CrossRef]
  23. Zhou, J.; Guo, Y.; Huang, Z.; Wang, C. A review and prospects of gas mixture containing hydrogen as vehicle fuel in China. Int. J. Hydrogen Energy 2019, 44, 29776–29784. [Google Scholar] [CrossRef]
  24. Chung, M.; Elgowainy, A. HyBlend: Pipeline CRADA Cost and Emissions Analysis. 2024. Available online: https://www.nrel.gov/docs/fy23osti/85939.pdf (accessed on 28 September 2025).
  25. Cristello, J.B.; Yang, J.M.; Hugo, R.; Lee, Y.; Park, S.S. Feasibility analysis of blending hydrogen into natural gas networks. Int. J. Hydrogen Energy 2023, 48, 17605–17629. [Google Scholar] [CrossRef]
  26. Plaksin, V.Y.; Kirillov, I.A. Hydrogen flammability and explosion concentration limits for a wide temperature range. J. Loss Prev. Process Ind. 2025, 94, 105554. [Google Scholar] [CrossRef]
  27. Francolini, B.; Fan, L.; Abbasi-Atibeh, E.; Bourque, G.; Vena, P.; Bergthorson, J. Investigation of differential diffusion in lean, premixed, hydrogen-enriched swirl flames. Appl. Energy Combust. Sci. 2024, 18, 100272. [Google Scholar] [CrossRef]
  28. Liu, X.; Sun, Z.Y.; Yi, Y. Progress in spontaneous ignition of hydrogen during high-pressure leakage with the considerations of pipeline storage and delivery. Appl. Energy Combust. Sci. 2024, 20, 100290. [Google Scholar] [CrossRef]
  29. Li, Y.; Zhang, G.; Ma, T.; Zhou, L.; Chen, X.; Zhang, C.; Huang, C.; Zhao, Q. Explosive characteristics of premixed hydrogen-air subjected to various concentration gradients. Fuel 2025, 381, 133482. [Google Scholar] [CrossRef]
  30. Remacha, P.; Tizné, E.; Pina, A.; Barroso, J.; Muelas, Á.; Ballester, J. Impact of hydrogen blending on the formation of flammable atmospheres in enclosed spaces due to gas leaks. Int. J. Hydrogen Energy 2025, 142, 685–696. [Google Scholar] [CrossRef]
  31. Wen, J.X.; Hecht, E.S.; Mevel, R. Recent advances in combustion science related to hydrogen safety. Prog. Energy Combust. Sci. 2025, 107, 101202. [Google Scholar] [CrossRef]
  32. Xing, H.; Qiu, Y.; Sun, S.; Wang, M.; Li, B.; Xie, L. Experimental study of overpressure and temperature field behaviors of a methane-air mixture with different ignition positions, solid structure obstacles and initial turbulence levels. Fuel 2021, 287, 119446. [Google Scholar] [CrossRef]
  33. Brady, K.; Sung, C.; TIen, J. Dispersion and catalytic ignition of hydrogen leaks within enclosed spaces. Int. J. Hydrogen Energy 2012, 37, 10405–10415. [Google Scholar] [CrossRef]
  34. Marangon, A.; Carcassi, M.N. Hydrogen–methane mixtures: Dispersion and stratification studies. Int. J. Hydrogen Energy 2014, 39, 6160–6168. [Google Scholar] [CrossRef]
  35. Hajji, Y.; Bouteraa, M.; ELCafsi, A.; Belghith, A.; Bournot, P.; Kallel, F. Natural ventilation of hydrogen during a leak in a residential garage. Renew. Sustain. Energy Rev. 2015, 50, 810–818. [Google Scholar] [CrossRef]
  36. Figueiredo, A.B.; Baptista, R.M.; Freitas Rachid, F.B.D.; Bodstein, G.C.R. Numerical simulation of stratified-pattern two-phase flow in gas pipelines using a two-fluid model. Int. J. Multiph. Flow 2017, 88, 30–49. [Google Scholar] [CrossRef]
  37. Su, Y.; Li, J.; Yu, B.; Zhao, Y. Numerical investigation on the leakage and diffusion characteristics of hydrogen-blended natural gas in a domestic kitchen. Renew. Energy 2022, 189, 899–916. [Google Scholar] [CrossRef]
  38. Cen, K.; Song, B.; Jiao, W.; Yu, W.; Liu, T.; Zhang, H.; Du, J. Quantitative risk assessment of gas leakage and explosion accidents and its security measures in open kitchens. Eng. Fail. Anal. 2021, 130, 105763. [Google Scholar] [CrossRef]
  39. Li, H.; Cao, X.; Du, H.; Teng, L.; Shao, Y.; Bian, J. Numerical simulation of leakage and diffusion distribution of natural gas and hydrogen mixtures in a closed container. Int. J. Hydrogen Energy 2022, 47, 35928–35939. [Google Scholar] [CrossRef]
  40. Lu, T.; Gong, J. Affecting mechanism of partition boards on hydrogen dispersion in confined space with symmetrical lateral openings. Int. J. Hydrogen Energy 2021, 46, 38944–38958. [Google Scholar] [CrossRef]
  41. Romeo, L.M.; Cavana, M.; Bailera, M.; Leone, P.; Peña, B.; Lisbona, P. Non-stoichiometric methanation as strategy to overcome the limitations of green hydrogen injection into the natural gas grid. Appl. Energy 2022, 309, 118462. [Google Scholar] [CrossRef]
  42. Li, M.; Chen, S.; Jiang, W.; Li, Y.; Xu, Z.; Guan, B.; Wang, X.; Lin, X.; Liu, T. Numerical simulation analysis of the hydrogen-blended natural gas leakage and ventilation processes in a domestic house. ACS Omega 2023, 8, 34610–34628. [Google Scholar] [CrossRef]
  43. Farías, I.; Oude Essink, G.H.P.; de Louw, P.G.B.; Bierkens, M.F.P. Effects of grid resolution on regional modelled groundwater salinity and salt fluxes to surface water. J. Hydrol. 2024, 643, 131915. [Google Scholar] [CrossRef]
Figure 1. Geometric model.
Figure 1. Geometric model.
Buildings 15 03833 g001
Figure 2. The mesh model of indoor spaces.
Figure 2. The mesh model of indoor spaces.
Buildings 15 03833 g002
Figure 3. Experimental site and sensor layout.
Figure 3. Experimental site and sensor layout.
Buildings 15 03833 g003
Figure 4. Methane concentration variation with different mesh density.
Figure 4. Methane concentration variation with different mesh density.
Buildings 15 03833 g004
Figure 5. Comparison of experiment and simulation.
Figure 5. Comparison of experiment and simulation.
Buildings 15 03833 g005
Figure 6. Diffusion contour of different HBRs in indoor at 300 s.
Figure 6. Diffusion contour of different HBRs in indoor at 300 s.
Buildings 15 03833 g006
Figure 7. Concentration contour of different HBRs Indoors at 300 s.
Figure 7. Concentration contour of different HBRs Indoors at 300 s.
Buildings 15 03833 g007
Figure 8. Distribution contour of HBNG combustible areas indoors at 2400 s.
Figure 8. Distribution contour of HBNG combustible areas indoors at 2400 s.
Buildings 15 03833 g008
Figure 9. Volume changes in gas hazardous and flammable areas in enclosed indoor under different HBRs.
Figure 9. Volume changes in gas hazardous and flammable areas in enclosed indoor under different HBRs.
Buildings 15 03833 g009
Figure 10. P9 concentration, flammable and hazardous volume, LEL areas with different vent locations.
Figure 10. P9 concentration, flammable and hazardous volume, LEL areas with different vent locations.
Buildings 15 03833 g010
Figure 11. Contour of indoor hazardous areas under natural ventilation conditions.
Figure 11. Contour of indoor hazardous areas under natural ventilation conditions.
Buildings 15 03833 g011
Figure 12. Variation in gas concentration under different ventilation methods.
Figure 12. Variation in gas concentration under different ventilation methods.
Buildings 15 03833 g012
Figure 13. Contour of indoor hazardous areas for different ventilation methods.
Figure 13. Contour of indoor hazardous areas for different ventilation methods.
Buildings 15 03833 g013
Figure 14. Variation in indoor gas concentration at P2 and hazardous area.
Figure 14. Variation in indoor gas concentration at P2 and hazardous area.
Buildings 15 03833 g014
Table 1. Boundary Condition Settings.
Table 1. Boundary Condition Settings.
Domain BoundaryBoundary TypeParameter Setting
Leak holemass-flow-inletFlow rate, mole fraction composition, gauge pressure, turbulence
Inner DoorInterior (close), wall (open)——
Exterior Walls, Exterior Doors, Interior Wallswall——
External WindowWall (close), pressure-outlet (natural ventilation)Pressure, turbulence
Natural ventilation openingpressure-outlet (natural ventilation)Pressure, turbulence
Mechanical exhaust outletvelocity-inlet (mechanical ventilation)Pressure, turbulence
Table 2. Model and discrete scheme settings.
Table 2. Model and discrete scheme settings.
ItemSettings in ANSYS Fluent
Turbulence modelRealizable k-ε
Wall surfaceStandard wall functions
Pressure-velocity couplingSIMPLE
The spatial discretization of Time and Spacesecond-order upwind
Table 3. Calculated parameter results.
Table 3. Calculated parameter results.
HBR (%)0102050Pure Hydrogen
Leakage flow rate (m3/h)2.4962.6152.7643.3967.016
Leakage velocity (m/s)10.90511.42612.07514.83430.651
LEL54.884.764.444
Alarm threshold (25% LEL)1.251.221.191.111
Table 4. Numerical Simulation Conditions for HBNG Leakage and Diffusion in Indoor Spaces.
Table 4. Numerical Simulation Conditions for HBNG Leakage and Diffusion in Indoor Spaces.
No. 1234567Remarks
HBR (%)0510203050Pure Hydrogen
1Ventilation ConditionClose
2Window Open Kitchen
3Window Open Room 2
4Diffusion SpaceKitchen
5Entire Space
6Ventilation Opening PositionPosition1 Central (5.6, 0, 2.3)
7Position2 Central (6.5, 0, 2.3)
8Position3 Central (7.4, 0, 2.3)
9Position4 Central (6.5, 0, 1.5)
10Position5 Central (6.5, 0, 0.7)
11Ventilation AreaArea 1 Area 0.5 m × 0.4 m
12Area 2 Area 0.5 m × 0.8 m
13Area 3 Area 0.5 m × 1.2 m
14Ventilation RateRate 1
15Rate 2
16Rate 3
17Rate 4
18Rate 5 Rate 5–10
Table 5. Location of monitoring points.
Table 5. Location of monitoring points.
No.Location (m)No.Location (m)
P1(6.50, 0.90, 2.70)P8(6.50, 1.50, 1.70)
P2(7.0, 1.75, 2.70)P9(6.50, 0.90, 1.70)
P3(5.30, 1.50, 2.20)P10(6.50, 0.90, 0.30)
P4(7.70, 1.50, 2.20)P11(10.0, 2.0, 2.70)
P5(6.50, 0.30, 2.20)P12(6.0, 2.90, 2.70)
P6(5.30, 0.30, 1.70)P13(2.0, 2.0, 2.70)
P7(7.70, 0.30, 1.70)
Table 6. Mesh Element Counts with error.
Table 6. Mesh Element Counts with error.
MeshNo. of ElementsAverage Error (%)
Coarse456,2497.9
Relatively coarse761,8045.4
Fine1,067,3974.5
Extra-Fine1,501,8924.3
Over-refined1,915,4162.1
Table 7. Safe ventilation rate of HBNG.
Table 7. Safe ventilation rate of HBNG.
HBR (%)0102050
Safe ventilation rate (m3/h)90790711341304
Disclaimer/Publisher’s Note: The statements, opinions and data contained in all publications are solely those of the individual author(s) and contributor(s) and not of MDPI and/or the editor(s). MDPI and/or the editor(s) disclaim responsibility for any injury to people or property resulting from any ideas, methods, instructions or products referred to in the content.

Share and Cite

MDPI and ACS Style

Deng, B.; Huang, X.; Lyu, S.; Aimaieraili, D. Numerical Investigation on the Diffusion and Ventilation Characteristics of Hydrogen-Blended Natural Gas Leakage in Indoor Spaces. Buildings 2025, 15, 3833. https://doi.org/10.3390/buildings15213833

AMA Style

Deng B, Huang X, Lyu S, Aimaieraili D. Numerical Investigation on the Diffusion and Ventilation Characteristics of Hydrogen-Blended Natural Gas Leakage in Indoor Spaces. Buildings. 2025; 15(21):3833. https://doi.org/10.3390/buildings15213833

Chicago/Turabian Style

Deng, Bofan, Xiaomei Huang, Shan Lyu, and Dulikunjiang Aimaieraili. 2025. "Numerical Investigation on the Diffusion and Ventilation Characteristics of Hydrogen-Blended Natural Gas Leakage in Indoor Spaces" Buildings 15, no. 21: 3833. https://doi.org/10.3390/buildings15213833

APA Style

Deng, B., Huang, X., Lyu, S., & Aimaieraili, D. (2025). Numerical Investigation on the Diffusion and Ventilation Characteristics of Hydrogen-Blended Natural Gas Leakage in Indoor Spaces. Buildings, 15(21), 3833. https://doi.org/10.3390/buildings15213833

Note that from the first issue of 2016, this journal uses article numbers instead of page numbers. See further details here.

Article Metrics

Back to TopTop