Comparative Experimental Study on Bearing Capacity of Roof Beneath Single Piles and Pile Groups in Karst Area
Abstract
1. Introduction
2. Indoor Model Test of Single Piles and Pile Groups
2.1. Test Materials
2.1.1. Model Piles and Caves
2.1.2. Bedrock and Soil
2.2. Loading and Monitoring System
2.3. Experimental Steps
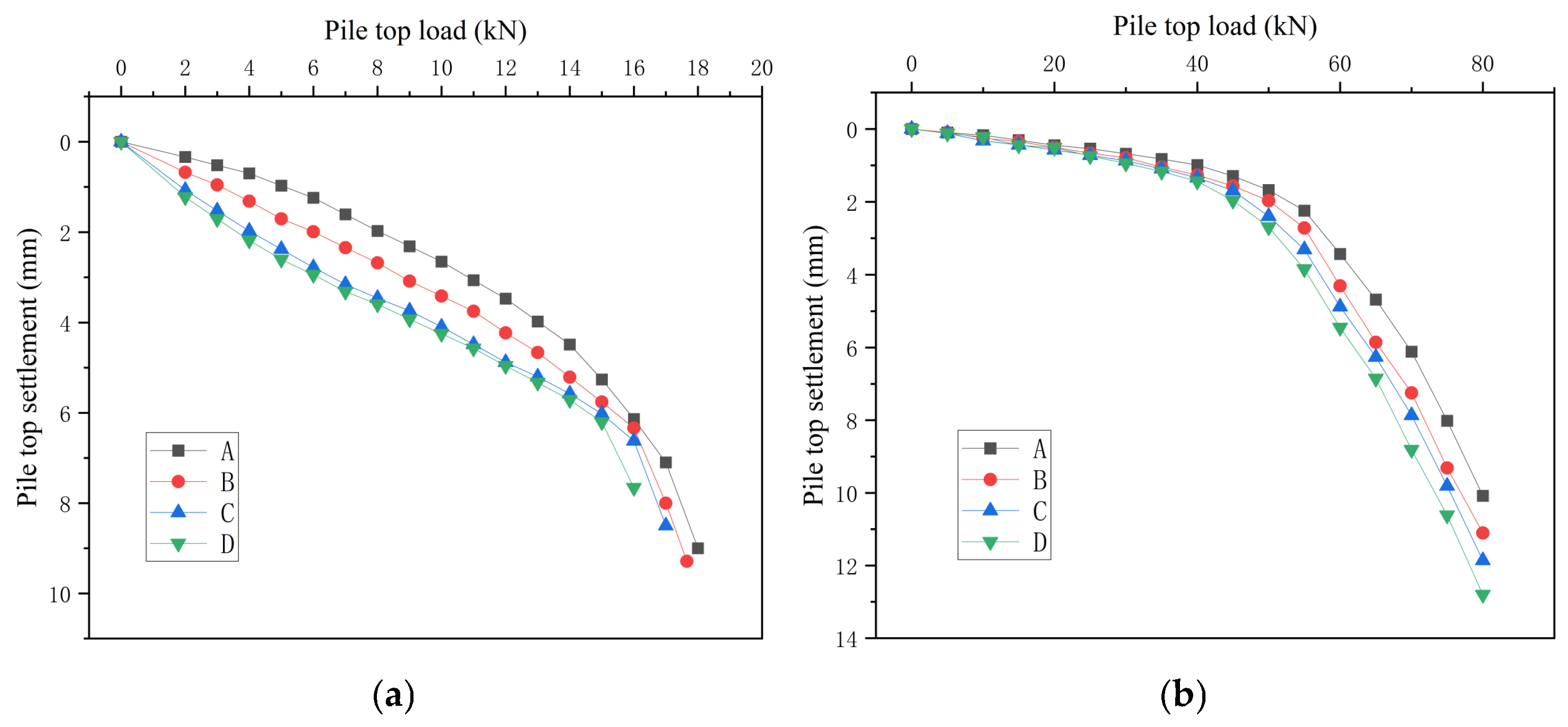
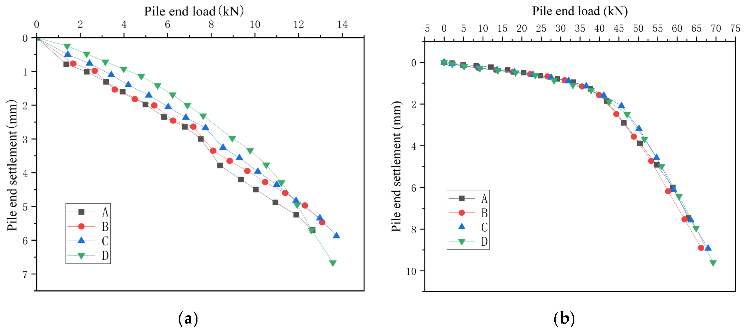
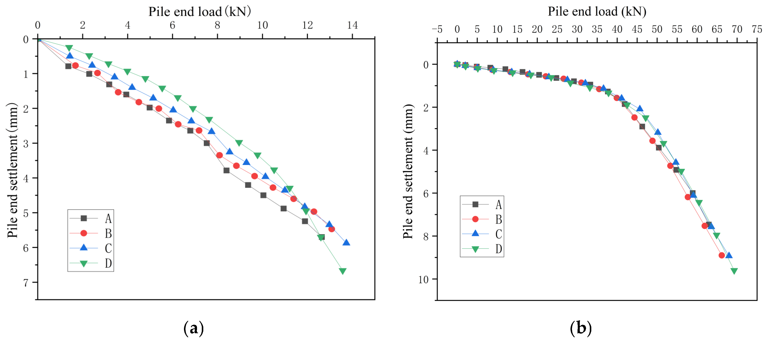
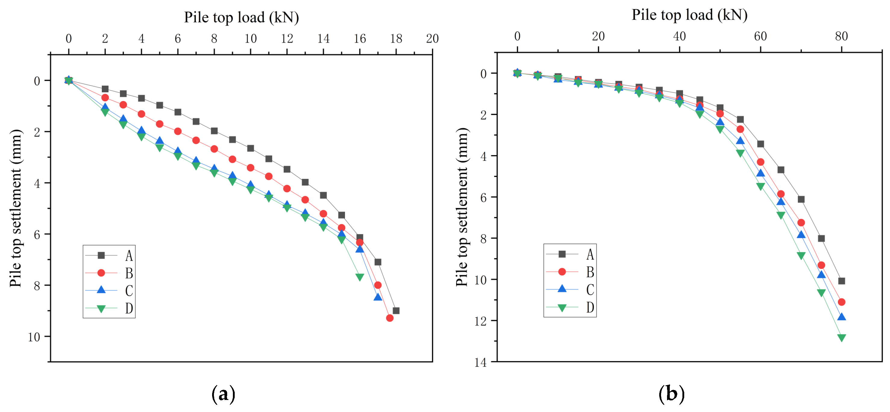
3. Model Test Results
3.1. Roof Failure Mode
3.2. Ultimate Bearing Capacity of Roof
3.3. Comparison of Single Pile and Pile Group Test Results
4. Three-Dimensional Numerical Simulation
4.1. Numerical Calculation Model
4.2. Comparison and Verification of Test Results
4.3. Comparison of Ultimate Bearing Capacity of Roof of Single Pile Groups Under Different Working Conditions
4.3.1. Different Roof Thicknesses
4.3.2. Different Roof Spans
4.3.3. Different Cave Heights
4.3.4. Different Cave Eccentricity Distances
4.3.5. Different Tilt Angles
4.4. Discussion
5. Conclusions
- (1)
- Both single piles and pile groups exhibit enhanced load-bearing performance with increasing roof thickness. The most substantial improvement occurs during the transition from 1d to 2d thickness, where single-pile capacity surges by approximately 230.9%—representing the most pronounced gain across all measured intervals. This is because single piles have a smaller contact area with the roof: under the same roof area and applied load, if the roof plate is too thin, force transmission becomes more difficult for single piles than for pile groups. Thus, increasing the roof thickness enhances the single-pile bearing capacity more significantly than it does for pile groups. The efficiency of improving the bearing capacity through the thickness of the roof should also be taken into account. Blindly increasing the thickness of the reserved roof may result in engineering waste.
- (2)
- With the increase in the roof span, the bearing capacity of single piles and pile groups decreases. The influence of the roof span on the bearing capacity of the pile foundation is not as great as that of the roof thickness. As the span decreases, the rock mass range affected by the pile end of the pile group remains unchanged. In smaller caves, more rock mass ranges at the pile end are provided with bearing capacity by the bearing layer. However, the influence range of the pile end of a single pile is limited. A smaller pile-end bearing area means that even if the cave span is small, it cannot transfer more load to the bearing layer. Therefore, the reduction in the roof span improves the pile group more than the single pile. In actual engineering, the efficiency of improving the bearing capacity through the span of the roof should also be taken into account. A smaller roof span may significantly increase its load-bearing capacity, and excessive reservation of roof thickness at this time can easily lead to engineering waste.
- (3)
- An inverse correlation exists between karst cave height and the bearing capacity of both single piles and pile groups. Specifically, greater cave heights correspond to diminished load-bearing performance in foundation piles. However, the influence of roof height on bearing capacity is less pronounced compared to other geometric parameters, such as roof thickness and span. This suggests that while roof height plays a role in foundation design, variations in roof thickness and span exert a stronger effect on the overall stability and load-bearing behavior of pile foundations in karst terrain. The increase in the height of the cave will make the path for load transfer to bearing layer longer, increasing the difficulty of load transfer; the contact surface between the pile end and the roof is wider, and the load transfer is easier to transfer to the bearing layer, while the contact surface between the single pile and the roof is small, and the force transfer is more concentrated in the roof. Therefore, the reduction in the height of the cave has a greater impact on the pile group than on the single pile.
- (4)
- Increasing pile-hole eccentricity significantly enhances the bearing capacity of both single piles and pile groups. Notably, eccentricity exerts a more pronounced influence on load-bearing performance than thickness, span, or cave height—with the most dramatic improvements occurring when eccentricity shifts the pile entirely away from the cave zone. This performance boost arises from reduced stress concentration on compromised (cave-affected) rock masses. However, even with optimal eccentricity, piles near subsurface cavities still exhibit lower bearing capacity than fully rock-embedded piles, as residual proximity to the cave introduces potential failure paths. The findings highlight eccentricity as a critical design lever—engineers should prioritize centering piles over intact rock formations when possible, though complete cave avoidance remains the gold standard for maximizing foundation stability in karst terrain.
- (5)
- Increasing the roof’s inclination angle reduces the bearing capacity of both single piles and pile groups, with this parameter exerting a more pronounced influence than either roof span or cave height. The sloped surface creates unstable load-transfer conditions at the pile tip, particularly compromising single piles—their limited rock-layer contact area leads to significantly diminished stability, preventing full utilization of the bearing capacity otherwise available for that plate thickness. Consequently, roof inclination weakens single piles more severely than pile groups. This differential response arises from the pile group’s ability to distribute stress across multiple contact points, partially offsetting the instability introduced by slope angles. In contrast, single piles concentrate all load at a single inclined interface, amplifying the risk of slippage and load redistribution failure. The finding that inclination outweighs span and height effects challenges conventional design priorities, suggesting that roof geometry—specifically planarity—may be the most critical factor in karst foundation performance after thickness. For engineering practice, these results emphasize the need for strict control over roof inclination during construction, especially when designing single-pile foundations in karst terrain.
- (6)
- Under different roof sensitivity factors, the bearing capacity increase of 2 × 2 pile groups relative to single piles is different. The bearing-capacity-increase coefficients for each pile group for the five roof sensitivity factors considered in this paper are summarized. According to the possible combination of multiple factors in actual working conditions, the bearing-capacity-increase coefficient of the pile group can be selected by interpolation.
Author Contributions
Funding
Data Availability Statement
Conflicts of Interest
References
- Xia, C.; Shi, Z.; Kou, H.; Meng, S.; Liu, M. Sensitivity analyses of random cave groups on karst tunnel stability based on water–rock interaction using a novel contact dynamic method. Undergr. Space 2024, 18, 162–186. [Google Scholar] [CrossRef]
- Feng, Z.; Xu, B.; Chen, H.; Xia, C.; Cai, J. Study on the influence of different treatment measures for karst caves on bearing characteristics of pile foundation. J. Archit. Civ. Eng. 2024, 41, 151–158. (In Chinese) [Google Scholar]
- Khalid, E.; Shuilong, S.; Yong, T.; Cheng, W.C. Investigation into performance of deep excavation in sand covered karst: A case report. Soils Found. 2018, 58, 1042–1058. [Google Scholar] [CrossRef]
- Kang, Y.; Geng, Z.; Lu, L.; Chen, L.; Liu, X.; Liu, B.; Huang, X. Compound Karst Cave Treatment and Waterproofing Strategy for EPB Shield Tunnelling in Karst Areas: A Case Study. Front. Earth Sci. 2021, 9, 761573. [Google Scholar] [CrossRef]
- Lu, W.; Yang, C.; Xianpeng, L.; Zhihua, C.; Zhichao, N. Experimental study on negative skin friction characteristics of double-sleeve pile. Sci. Rep. 2024, 14, 26194. [Google Scholar] [CrossRef]
- Cui, C.; Meng, K.; Xu, C.; Liang, Z.; Li, H.; Pei, H. Analytical solution for longitudinal vibration of a floating pile in saturated porous media based on a fictitious saturated soil pile model. Comput. Geotech. 2021, 131, 103942. [Google Scholar] [CrossRef]
- Li, L.; Wu, W.; Liu, H.; Lehane, B. DEM analysis of the plugging effect of open-ended pile during the installation process. Ocean Eng. 2021, 220, 108375. [Google Scholar] [CrossRef]
- Peng, Y.; Liu, H.; Li, C.; Ding, X.; Deng, X.; Wang, C. The detailed particle breakage around the pile in coral sand. Acta Geotech. 2021, 16, 1971–1981. [Google Scholar] [CrossRef]
- Moradshahi, A.; Faizal, M.; Bouazza, A.; McCartney, J.S. Effect of nearby piles and soil properties on thermal behaviour of a field-scale energy pile. Can. Geotech. J. 2021, 58, 1351–1364. [Google Scholar] [CrossRef]
- Pham, T.A.; Akan, R.; Tabaroei, A. A simplified soil-structure interaction model for load-settlement analysis of piles. Can. Geotech. J. 2025, 62, 1–24. [Google Scholar] [CrossRef]
- Feng, Z.; Hu, H.; Dong, Y.; Wang, F.; Jia, M.; Zhao, Y.; He, J. Effect of Steel Casing on Vertical Bearing Characteristics of Steel Tube-Reinforced Concrete Piles in Loess Area. Appl. Sci. 2019, 9, 2874. [Google Scholar] [CrossRef]
- Zhao, X.; Melentijevic, S.; Shen, Y.; Sun, Z.; Wang, K.; Xu, J.; Li, Z. Experimental study of the effects of the void located at the pile tip on the load capacity of rock-socketed piles. Sci. Rep. 2024, 14, 15795. [Google Scholar] [CrossRef]
- Li, L.; Liu, X.; Liu, H.; Wu, W.; Lehane, B.M.; Jiang, G.; Xu, M. Experimental and numerical study on the static lateral performance of monopile and hybrid pile foundation. Ocean Eng. 2022, 255, 111461. [Google Scholar] [CrossRef]
- Zhao, M.H.; Tang, X.L.; Xiao, X. Model tests on punching properties of karst cave roof under pile tip considering different thick-span ratios. Rock Soil Mech. 2018, 39, 1159–1167. [Google Scholar]
- Lei, Y.; Li, P.; Liu, Z.; Li, J.; Hu, W.; Chen, G.; Liu, S. Experimental study on ultimate bearing capacity and failure mode of pile foundation crossing karst cave in karst areas. Chin. J. Appl. Mech. 2023, 40, 1343–1353. [Google Scholar]
- Chen, H.; Feng, Z.; Wu, M.; Zhou, G.; Chen, L.; Zhang, C. Study on the vertical bearing performances of piles on karst cave. Sci. Rep. 2023, 13, 4944. [Google Scholar] [CrossRef]
- Asgari, A.; Ranjbar, F.; Bagheri, M. Seismic resilience of pile groups to lateral spreading in liquefiable soils: 3D parallel finite element modeling. Structures 2025, 74, 108578. [Google Scholar] [CrossRef]
- Zheng, C.; Kouretzis, G.; Ding, X.; Luan, L. Vertical vibration of end-bearing single piles in poroelastic soil considering threedimensional soil and pile wave effects. Comput. Geotech. 2022, 146, 104740. [Google Scholar] [CrossRef]
- Wu, W.; Yang, Z.; Liu, X.; Zhang, Y.; Liu, H.; El Naggar, M.H.; Xu, M.; Mei, G. Horizontal dynamic response of pile in unsaturated soil considering its construction disturbance effect. Ocean Eng. 2022, 245, 110483. [Google Scholar] [CrossRef]
- He, S.; Lai, J.; Li, Y.; Wang, K.; Wang, L.; Zhang, W. Pile group response induced by adjacent shield tunnelling in clay: Scale model test and numerical simulation. Tunn. Undergr. Space Technol. 2022, 120, 104039. [Google Scholar] [CrossRef]
- Li, R.; Yin, Z.-Y.; He, S.-H. 3D reconstruction of arbitrary granular media utilizing vision foundation model. Appl. Soft Comput. 2025, 169, 112599. [Google Scholar] [CrossRef]
- Sheng, M.; Lu, F.; Jiang, N.; Guo, P.; Li, X.; An, R.; Wang, Y. Bearing behavior of pile foundation in karst region: Physical model test and finite element analysis. Appl. Rheol. 2024, 34, 20230115. [Google Scholar] [CrossRef]
- Han, G.; Zhang, H.; Wang, Z.; Wang, Y.; Geng, N.; Guo, P.; Li, X.; Zhao, Y.; Lin, H.; Wang, Y. Bearing behavior of rock socketed pile in limestone stratum embedded with a karst cavity beneath pile tip. Case Stud. Constr. Mater. 2023, 18, e02203. [Google Scholar] [CrossRef]
- Cui, C.; Meng, K.; Xu, C.; Wang, B.; Xin, Y. Vertical vibration of a floating pile considering the incomplete bonding effect of the pile-soil interface. Comput. Geotech. 2022, 150, 104894. [Google Scholar] [CrossRef]
- Kong, G.; Fang, J.; Lv, Z.; Yang, Q. Effects of pile and soil properties on thermally induced mechanical responses of energy piles. Comput. Geotech. 2023, 154, 105176. [Google Scholar] [CrossRef]
- Lei, Y.; Chen, Y.S.; Tan, H.; Li, P.J.; Liu, Y.S.; Yu, Y.L. Calculation method of ultimate bearing capacity for rock layer of pile tip of bridge pile groups with underground karst cave. Rock Soil Mech. 2023, 44, 3339–3348. [Google Scholar]
- Jiang, C.; Liu, L.; Wu, J.P. A new method determining safe thickness of karst cave roof under pile tip. J. Central S. Univ. 2014, 21, 1190–1196. [Google Scholar] [CrossRef]
- Feng, Z.; Chen, H.; Xia, C.; Li, S.; Cai, J.; He, J. Prediction of bearing capacity of pile foundation in karst area based on model of metabolic GM (1, 1). IOP Conf. Ser. Earth Environ. Sci. 2018, 189, 042012. [Google Scholar] [CrossRef]
- Zhao, M.H.; Xiao, Y.; Xu, Z.J.; Yang, C.W.; Hu, Q.; Liu, J.H. Stability analysis of cavity under rock-socketed pile in karst areas based on Griffith criterion. China J. Highw. Transp. 2018, 31, 31–37. [Google Scholar]
- Wang, P.; Ding, H.; Zhang, P. Influence of Karst Caves at Pile Side on the Bearing Capacity of Super-Long Pile Foundation. Math. Probl. Eng. 2020, 2020, 4895735. [Google Scholar] [CrossRef]
- Jiang, C.; Zhao, M.-H.; Cao, W.-G. Stability analysis of subgrade cave roofs in karst region. J. Central S. Univ. Technol. 2008, 15, 38–44. [Google Scholar] [CrossRef]
- Gotman, N.Z.; Evdokimov, A.G. Calculation of Bridge-Support Pile Foundations Taking Karst Deformations Into Account in the Base. Soil Mech. Found. Eng. 2023, 60, 401–409. [Google Scholar] [CrossRef]
- He, J.; Feng, Z.; Dong, Y.; Chen, H.; Huang, Z.; Xia, C.; Zhao, Y.; Hu, H. Grey theory study on the influence of karst-pile-soil coupling on the ultimate bearing capacity of pile foundation in karst development area. IOP Conf. Ser. Earth Environ. Sci. 2019, 218, 012025. [Google Scholar] [CrossRef]
- Asgari, A.; Bagheri, M.; Hadizadeh, M. Advanced seismic analysis of soil-foundation-structure interaction for shallow and pile foundations in saturated and dry deposits: Insights from 3D parallel finite element modeling. Structures 2024, 69, 107503. [Google Scholar] [CrossRef]
- Qingke, N.; Xilai, L.; Wei, Y.; Anli, W.; Wei, W.; Xiangxin, J.; Weidong, S. Calculation Method for the Critical Thickness of a Karst Cave Roof at the Bottom of a Socketed Pile. Adv. Mater. Sci. Eng. 2021, 2021, 1669410. [Google Scholar] [CrossRef]
- Chen, J.; Wu, J.; Wu, Y.; Gao, Q.; Wu, B. Studying Bearing Characteristics and Calculation Models of Karst Cave Roof Utilizing Digital Modeling. Geotech. Test. J. 2025, 48, 399–416. [Google Scholar] [CrossRef]
- Lei, Y.; Yin, J.F.; Chen, Q.N. Experimental Study on Ultimate Bearing Capacity and Failure Modes of Pile-tip Bedrock in Karst Area. Chin. J. Appl. Mech. 2017, 34, 774–780+822. [Google Scholar]
- JGJ 106-2014; Technical Code for Testing of Building Foundation Piles. Architecture Building Press: Beijing, China, 2014.
- Bagheri, M.; Jamkhaneh, M.E.; Samali, B. Effect of Seismic Soil–Pile–Structure Interaction on Mid- and High-Rise Steel Buildings Resting on a Group of Pile Foundations. Int. J. Geomech. 2018, 18, 04018103. [Google Scholar] [CrossRef]
- Zhang, J. Study on Bearing Mechanism and Stability Evaluation of Pile Foundation in Karst Cave Areas with Inclined Roof. Ph.D. Thesis, Shandong University, Jinan, China, 2019. (In Chinese). [Google Scholar]
- Bagheri, M.; Malidarreh, N.R.; Ghaseminejad, V.; Asgari, A. Seismic resilience assessment of RC superstructures on long–short combined piled raft foundations: 3D SSI modeling with pounding effects. Structures 2025, 81, 110176. [Google Scholar] [CrossRef]



























Disclaimer/Publisher’s Note: The statements, opinions and data contained in all publications are solely those of the individual author(s) and contributor(s) and not of MDPI and/or the editor(s). MDPI and/or the editor(s) disclaim responsibility for any injury to people or property resulting from any ideas, methods, instructions or products referred to in the content. |
© 2025 by the authors. Licensee MDPI, Basel, Switzerland. This article is an open access article distributed under the terms and conditions of the Creative Commons Attribution (CC BY) license (https://creativecommons.org/licenses/by/4.0/).
Share and Cite
Wang, X.; Chen, H.; Hu, H.; Liu, C.; Tian, Y.; Hong, J. Comparative Experimental Study on Bearing Capacity of Roof Beneath Single Piles and Pile Groups in Karst Area. Buildings 2025, 15, 3809. https://doi.org/10.3390/buildings15213809
Wang X, Chen H, Hu H, Liu C, Tian Y, Hong J. Comparative Experimental Study on Bearing Capacity of Roof Beneath Single Piles and Pile Groups in Karst Area. Buildings. 2025; 15(21):3809. https://doi.org/10.3390/buildings15213809
Chicago/Turabian StyleWang, Xinquan, Haitao Chen, Haibo Hu, Chen Liu, Yongle Tian, and Jun Hong. 2025. "Comparative Experimental Study on Bearing Capacity of Roof Beneath Single Piles and Pile Groups in Karst Area" Buildings 15, no. 21: 3809. https://doi.org/10.3390/buildings15213809
APA StyleWang, X., Chen, H., Hu, H., Liu, C., Tian, Y., & Hong, J. (2025). Comparative Experimental Study on Bearing Capacity of Roof Beneath Single Piles and Pile Groups in Karst Area. Buildings, 15(21), 3809. https://doi.org/10.3390/buildings15213809

