Next Article in Journal
Structural Analysis Methods and Key Influencing Factors on the Performance of Segmented Steel–Concrete Hybrid Wind Turbine Towers
Previous Article in Journal
Resilient Renewal of Aging Parks in High-Density Cities: Integrating Performance-Based Design and the Environmental Overlay Method in the Wuxi Case
Previous Article in Special Issue
Multi-Agent Deep Reinforcement Learning-Based HVAC and Electrochromic Window Control Framework
 
 
Font Type:
Arial Georgia Verdana
Font Size:
Aa Aa Aa
Line Spacing:
Column Width:
Background:
Article

Multi-Objective Comparative Analysis of Various Ventilation–Radiant Coupled Heating Systems

1
College of Aerospace Engineering, Nanjing University of Aeronautics & Astronautics, Nanjing 210016, China
2
School of Energy and Power, Jiangsu University of Science and Technology, Zhenjiang 212003, China
*
Author to whom correspondence should be addressed.
Buildings 2025, 15(20), 3784; https://doi.org/10.3390/buildings15203784
Submission received: 23 September 2025 / Revised: 14 October 2025 / Accepted: 16 October 2025 / Published: 20 October 2025

Abstract

This paper conducts a multi-objective comparative study on various ventilation–radiant coupled heating systems that combine mixing ventilation (MV) and displacement ventilation (DV) with ceiling, side wall, and floor radiant heating. The aim is to explore the differences in indoor environmental quality (IEQ) and human thermal comfort under different system configurations, as well as the impact of the radiant temperature in the radiant modules and the supply air temperature in the ventilation module on system performance. The research results show that the combination of displacement ventilation and floor radiant heating (DV-F) performs the best in terms of thermal comfort and energy efficiency. In this configuration, the Predicted Mean Vote (PMV) for the indoor environment and human thermal comfort is close to neutral (−0.15 to 0.35), the Draught Rate (DR) is significantly lower than in other systems (3.7% to 4.4%), and the ventilation efficiency is relatively high. In addition, a comprehensive evaluation of different system configurations using the CRITIC weight method further verified that the DV-F configuration with a radiant temperature of 26.2 °C to 28.2 °C and a supply air temperature of 26 °C to 28 °C is superior. This study provides theoretical guidance for the design and optimization of heating systems.

1. Introduction

In the context of rapid globalization and urbanization, buildings constitute essential spaces for daily living and work, where indoor environmental quality significantly affects occupants’ health, comfort, and work efficiency. However, conventional heating systems, whether standalone radiant systems or common ventilation systems, exhibit distinct limitations. Although standalone radiant heating systems can achieve uniform temperature distribution, high thermal comfort, and superior energy efficiency in space heating [1,2], their insufficient fresh air supply during operation results in poor indoor air quality, while failing to adequately address discomfort from thermal stratification and asymmetry [3,4]. In contrast, conventional ventilation systems provide thermal comfort and acceptable indoor air quality [5,6] but demonstrate relatively low ventilation efficiency and high energy consumption [7,8]. To address these limitations, an innovative coupled ventilation and radiant heating system has been developed. This hybrid system integrates radiant and convective heat transfer through mutual interaction and regulation. It effectively addresses the fresh air deficiency of standalone radiant systems, substantially improving indoor air quality. Additionally, it effectively mitigates discomfort caused by thermal stratification and asymmetry.
In specific studies of coupled radiant and ventilation systems, Do and Cetin [9] demonstrated that combining sidewall radiant heating with diffuse ceiling ventilation systems achieved a neutral temperature level closer to “0”, improving radiant heating asymmetry while reducing local draft discomfort. From the PMV perspective, Dong et al. [10] found that in displacement ventilation combined with radiant heating systems, reducing the temperature difference between radiant panels and supply air could simultaneously maintain overall thermal comfort of the radiant heating system while appropriately controlling temperatures of overheated surfaces. Riccardi et al. [11] adjusted the temperature difference between the ceiling radiant panel and the floor. They found that the participants’ discomfort shifted from thermal sensations in the upper body to cold sensations in the lower limbs. This effect became more pronounced when the supply air temperature was reduced. This finding reveals the significant impact of the interaction between radiant asymmetry and supply air temperature on local thermal comfort in actual non-uniform environments. To offset this asymmetry as much as possible, Wei et al. [12] proposed an integrated ‘radiant floor heating + air curtain’ system to achieve localized temperature control in museum visitor corridors. The radiant floor provided uniform heating, resulting in a mere 1.3 °C vertical temperature differential. Meanwhile, the air curtain effectively blocked cold air infiltration through its ventilation mechanism, reducing heat loss and maintaining a stable corridor average temperature of 18.6 °C. Kong et al. [13] addressed traditional heating in northern China by combining the advantages of radiant heating and stratum ventilation, achieving 81.77% energy efficiency while creating more uniform operative temperature distribution and overall thermal sensation. The system enhanced air mixing without generating additional draft risk. Chen et al. [14], addressing the drawbacks of ceiling radiant heating systems, combined ceiling fans with upward airflow. By controlling the operational speed of the ceiling fans, they increased the overall heat transfer coefficient of the radiant panels by 36–106%, significantly improving comfort. At the level of personalized control, Evren [15], focusing specifically on open-plan offices, developed a hybrid heating system integrating radiant and convective components. This system rapidly increased and maintained a uniformly distributed operative temperature within cubicles, while saving approximately 30% energy compared to traditional central convective systems, providing a feasible path towards personalized micro-environment control and energy efficiency improvement. For extreme or specialized environments characterized by high-intensity radiation and complex convective coupling, Zhong et al. [16] verified the predictability of the temperature field inside a cabin under the combined effects of ventilation and wall heating. They confirmed the dominant role of radiant heat in the cabin’s temperature distribution and provided a reliable analytical method for such environments.
Furthermore, with the diversification of coupling configurations, current research on emerging radiant–ventilation coupled systems has demonstrated notable performance improvements. However, optimization of system performance parameters remains limited when considering only a single specific coupling configuration. Consequently, Kong et al. [13] further compared a low-temperature radiant floor system coupled with intermittent stratum ventilation against conventional radiant floor heating with mixing ventilation. The former system better satisfied both high indoor air quality and thermal comfort requirements, providing a reference for energy-efficient utilization of low-grade energy sources in space heating. Kazanci et al. [17] compared the human thermal comfort of the chilled ceiling and mixing ventilation system (CCMV) and the radiant diffuse ceiling ventilation system (RDCV). The results show that under both systems, whole-body thermal sensation was between slightly warm and neutral, and the overall thermal acceptability was almost the same for both systems. The satisfaction of the human subjects with the thermal environment was very close under the two systems, between satisfactory and slightly satisfactory. However, the RDCV system was closer to neutral. Olwsen et al. [18] and Krajčík et al. [19] investigated indoor air distribution and ventilation performance for floor heating combined with displacement and mixing ventilation. They found that integrating displacement ventilation with floor heating resulted in a smaller vertical air temperature difference and higher ventilation effectiveness. Moreover, the introduction of relatively cooler supply air produced very uniform conditions with a ventilation effectiveness approaching 1, nearly achieving complete mixing. Rahmanparast et al. [20] concluded that the application of radiant heating and displacement systems can enhance thermal comfort performance, except in specific cases that require high heat load or ventilation rates.
In previous studies, although the performance of specific ventilation–radiation coupling forms has been partially explored, most focus on single coupling forms such as displacement ventilation combined with floor heating, failing to cover all possible combinations. Parameter sensitivity analysis has also been limited to specific operating conditions, unable to reveal the synergistic mechanism between the radiation and ventilation modules. Furthermore, the evaluation systems rely on single metrics, such as PMV or ventilation effectiveness, lacking a comprehensive assessment framework that integrates thermal comfort, ventilation efficiency, and radiant efficiency. To address this, this study proposes a systematic multi-dimensional comparative framework, coupling mixing ventilation (MV) and displacement ventilation (DV) with ceiling, sidewall, and floor radiant systems, respectively, to establish six novel heating combination modes for comparison. Through computational fluid dynamics (CFD) numerical simulation, this study investigates variations in indoor environmental quality and human thermal comfort across different system configurations, while examining the influence of parameters from both the radiant and ventilation modules on system performance. A comprehensive quantitative analysis of thermal comfort indicators (PMV and DR), radiant efficiency parameters (operative temperature Top), and ventilation efficiency indicators (ventilation effectiveness Et) under 42 operating conditions was achieved, revealing the synergistic mechanism between radiant temperature and supply air temperature on system performance. Innovatively employing the CRITIC multi-objective weighting method, this study breaks through the limitations of traditional single-metric evaluation and establishes a comprehensive assessment system encompassing environmental comfort, human thermal perception, and energy efficiency.

2. Methodology

2.1. Physical Model

Figure 1 illustrates the physical model of the ventilation–radiant system investigated in this study. The radiant system features radiant panels with dimensions of 1.6 m × 2.95 m. Additionally, considering the different ventilation modes, the room’s ventilation system includes an upper-supply, lower-return mixing ventilation mode and a lower-supply, upper-return displacement ventilation mode.
Room heating is primarily provided by the ventilation system and the radiant heating system. Fresh air is delivered into the room through the supply air outlet and, after undergoing convective heat exchange indoors, exits through the exhaust outlet on the opposite wall. Meanwhile, the radiant surfaces adjust their temperatures via water circulation to form heated or cooled panels that radiate energy into the room, exchanging heat with occupants, furniture, and other surfaces to achieve indoor heating.

2.2. Numerical Simulation Methodology

In this numerical study, based on steady-state CFD simulations and aiming to reveal the flow and heat transfer patterns under specific conditions, the simulations do not consider the impact of dynamic loads or seasonal variations on system performance. The following model simplifications and assumptions have been made accordingly:
(1)
The airflow from the inlet and outlet is assumed to be uniformly distributed.
(2)
The effects of external radiation through windows and radiation from lighting fixtures in the room are neglected.
(3)
The model ignores air scattering effects; air is treated as non-participating in radiation, with near-zero optical depth.
(4)
The flow is assumed to be single-phase, steady, and continuous. The obstruction of airflow by small non-heat-emitting objects in the space is neglected, and the complex structures of major objects have been simplified.
Furthermore, it should be noted that this study will focus on investigating the thermal comfort performance of this coupled system, aiming to reveal the physical mechanisms behind its thermal environment formation. For this purpose, in the subsequent analysis, we assume that the ventilation system has effectively controlled indoor humidity and pollutant concentrations, allowing us to concentrate on studying its thermodynamic synergies.

2.2.1. Basic Governing Equations

The laws of mass conservation, momentum conservation, and energy conservation are collectively termed the governing equations, which form the theoretical foundation for CFD simulations. The numerical analysis of the radiant–ventilation coupled heating systems investigated in this study is fundamentally based on these three conservation principles.
(1)
The law of conservation of mass
The law of conservation of mass, also termed the continuity equation, can be simplified for incompressible fluids in Cartesian coordinates as:
div ( ρ u ) = 0
where ρ represents the density of the gas, kg·m−3, and u denotes the velocity vector field in the room, m·s−1.
For an incompressible fluid, where the density is constant, the equation simplifies to:
div ( u x ) + div ( u y ) + div ( u z ) = 0
where u x   u y   u z represent the velocity components in the x, y, and z directions, respectively, in units of m·s−1.
(2)
The law of conservation of momentum
The law of conservation of momentum, also known as the equation of motion, according to Newton’s law for an incompressible constant-density fluid, is given by:
𝜕 ( ρ u x ) 𝜕 t + div ( ρ u x u ) = div ( μ grad u x ) + S x 𝜕 p 𝜕 x 𝜕 ( ρ u y ) 𝜕 t + div ( ρ u y u ) = div ( μ grad u y ) + S y 𝜕 p 𝜕 y 𝜕 ( ρ u z ) 𝜕 t + div ( ρ u z u ) = div ( μ grad u z ) + S z 𝜕 p 𝜕 z
where p represents the pressure on the fluid element, Pa; μ denotes the dynamic viscosity of the fluid, N·s·m−2; S x , S y , S z is the source term in the momentum equation, J.
(3)
The law of conservation of energy
The law of conservation of energy is essentially the first law of thermodynamics. Accordingly, the energy conservation equation for an incompressible fluid is:
div ( ρ T u ¯ ) = div ( k c p g r a d T ) + S T
where T represents the fluid temperature, K; cp is the specific heat capacity of air, J·(kg·K)−1; k is the thermal conductivity of the fluid, W·(m·K)−1; and ST is the amount of fluid mechanical energy that transforms to the internal energy, J.

2.2.2. Turbulence and Radiation Models

Turbulence is a complex and irregular type of flow. It involves constant changes in velocity and pressure over time and space. This study focuses on exactly such flow conditions, which appear in environments with both ventilation and radiative heating. This study chose the Realizable k-ε model because it accurately predicts indoor airflow. It performs well in ventilation systems with moderate Reynolds numbers and mixed convection. In our case, heat sources in the occupied zone create convective currents that increase turbulence. This model is especially suitable for such situations. Additionally, it showed very good convergence in the residuals, which further supports our choice for later analysis.
In the computational modeling of the ventilated radiant heating system, the radiant panels serve as the main heating elements. Without considering air scattering, the surfaces are assumed to be diffuse gray and the zone is enclosed. Considering the building surface coatings addressed in this study, the surface emissivity of the radiant panels is set to 0.9 [21]. The surface-to-surface (S2S) model was used to calculate radiative transfer between surfaces. This method is one of the most fundamental approaches for radiation heat transfer. All simulations were performed under steady state conditions [10].

2.3. Initial and Boundary Conditions

Based on the selection mechanism described above, the numerical simulation of the established room model and the setting of the boundary conditions in this study are detailed as follows:
(1)
Numerical Simulation Settings
The physical model enables the energy equation and employs the k-ε model along with the S2S radiation model. Based on the aerodynamic characteristics of indoor air, the fluid medium in this study is treated as an incompressible gas, and the velocity-pressure coupling is solved using the SIMPLE algorithm.
(2)
Boundary Condition Settings
The inlet and outlet boundary conditions are set as shown in Table 1.
All interior surfaces are set as no-slip walls. The roof, floor, and walls are configured using the third-type boundary conditions [22] as shown in Table 1. Indoor occupants are assigned a heat flux of 45.4 W·m−2, and the radiant panels are defined as constant-temperature walls according to the specified conditions, while the remaining inactive supply and return air outlets and the floor are set as adiabatic boundaries. Additionally, to enhance computational accuracy, this study employs the SIMPLE algorithm for pressure-velocity coupling. The pressure term is discretized using a standard scheme, while the momentum, energy, and other terms are computed using a second-order upwind discretization scheme.

2.4. Design Cases

To examine the differences in environmental comfort, ventilation efficiency, and radiant efficiency among various ventilation–radiation coupling modes under identical operating conditions, while also assessing the performance variations between ventilation and radiation systems within fresh air radiant heating configurations, this study compares six ventilation–radiation modes (MV-C, MV-S, MV-F, DV-C, DV-S, DV-F) under 42 controlled cases (Table 2). Based on the settings of radiant temperature and supply air temperature by Dong et al. [10] and Zhang et al. [23], this study uses a radiant temperature of 28.2 °C and a ventilation temperature of 28 °C as the baseline. Variations are made around this range to cover typical winter indoor conditions from slightly cold to neutral and even slightly warm, achieving a comprehensive evaluation of the system’s performance under different requirements.

2.5. Comprehensive Performance Evaluation Indexes

2.5.1. The Predicted Mean Vote (PMV)

The Predicted Mean Vote (PMV) index, which treats the human body as an integrated whole, is employed as the primary indicator of whole-body thermal sensation. This index incorporates six physiological and environmental parameters (e.g., air temperature, radiant temperature, humidity), making it particularly suitable for predicting occupant responses in steady-state conditioned environments like those examined in this study [24]. Therefore, this study adopts the widely used PMV to evaluate the indoor environment and human thermal comfort in the ventilation–radiant coupled heating system. The PMV was proposed by Fanger based on the ASHRAE 7-point scale and the human heat balance equation [25]. Its theoretical calculation formula is given as follows:
PMV = 0.303 e ( 0.036 M ) + 0.028 L
where the human heat load L is calculated by the following equation:
L = M W 3.96 10 8 f c l T c l + 273 4 T r + 273 4 f c l h c T c l T a 3.05 10 3 5733 6.96 M W P a 0.42 M W 58.15 1.7 10 5 M 5876 P a 0.0014 M 34 T a
where M represents the metabolic rate, W·m−2; W denotes the external work output, W·m−2; fcl is the ratio of the clothed surface area to the nude surface area; Tcl is the clothing surface temperature, °C; Tr is the mean radiant temperature, °C; hc represents the convective heat transfer coefficient between clothing and air, W·(m2·K)−1; Ta is the air temperature, °C; and Pa denotes the partial pressure of water vapor, Pa.
Ultimately, the PMV is divided into seven levels [24], when the PMV value is 0, the human body feels most comfortable. When the PMV is +1 or −1, the sensation is slightly warm or slightly cool. When the PMV reaches +2 or −2, the sensation is warm or cool. When the PMV reaches +3 or −3, the sensation is hot or cold, which is the most uncomfortable feeling.
The use of PMV to describe and evaluate thermal comfort was proposed in the new ISO 7730 standard for indoor thermal environment evaluation and measurement by the International Organization for Standardization [26]. This standard clearly specifies that the optimal PMV range for indoor thermal comfort is −0.5 ≤ PMV ≤ +0.5.

2.5.2. Draught Rate (DR)

DR quantifies local draft discomfort in mechanical ventilation. This study observes that high air velocities trigger draft perceptions, directly increasing dissatisfaction probabilities [27]. To predict discomfort caused by drafts, Fanger et al. established a functional model relating the draft rate (DR) to air temperature, velocity, and turbulence intensity [28], as shown below:
DR = 34 T a u 0.05 0.62 0.37 u T u + 3.14
where Tu is the turbulence intensity of the air.
According to ASHRAE standards, DR should be less than 15%.

2.5.3. Operative Temperature (Top)

The principle of radiant heating systems lies in the radiative heat exchange between high-temperature radiant panels and room occupants. Consequently, the evaluation of human thermal comfort cannot be solely based on indoor air temperature as a singular parameter. Instead, it necessitates the incorporation of the operative temperature (Top) concept, defined as the uniform temperature of a hypothetical enclosure with which an occupant would exchange the same heat via radiation and convection as in the actual environment. This metric integrates both mean radiant temperature (Tr) and air temperature (Ta) through the equation [29]:
T o p = h c T a + h r T r h c + h r = a c T a + a r T r
where hc and hr denote the convective and radiative heat transfer coefficients, W·(m2·K)−1; ar and ac represent the radiant fraction and convective fraction, respectively, with ar + ac = 1. The value of ac depends directly on the air velocity, while ar depends mainly on the surface temperature and emissivity, and is indirectly related to airflow through its influence on the mean radiant temperature.
ASHRAE proposed the relationship between ac and air velocity [30], as shown in Table 3.
According to ISO 7730, the desired thermal environment for a space may be selected from among three categories, A, B, and C, each of which prescribes a maximum percentage dissatisfied for the body. For the indoor thermal environment design of an office building, ISO 7730 recommends an operative range of 24.5 °C ± 1.5 °C for Category B and 24.5 °C ± 2.5 °C for Category C. Therefore, the upper limits of the acceptable operative temperature of Categories B and C are 26 °C and 27 °C, respectively [29].

2.5.4. Ventilation Effectiveness (Et)

The measurement system evaluates the capacity to deliver fresh air to occupied zones, a critical metric for low-carbon building design. The ventilation effectiveness represents the effective use of energy based on the organization of airflow within a building space and can be applied to evaluating the energy efficiency [31], which is defined as below:
E t = ( T e T s ) / ( T o T s )
where Ts is the supply air temperature, °C; Te stands for the exhaust air temperature, °C; To is the air temperature of the occupied zone, °C. It directly reflects the temperature changes around the human body and at the final exhaust under coupled effects. Its value reflects the impact on energy utilization efficiency within the overall coupled system.

3. Numerical Validation

3.1. Model Validation

To validate the accuracy of the numerical simulation method used in this study, a test platform for thermal radiation characteristics was constructed based on the model. This platform was designed to simulate changes in the surrounding thermal comfort during single-person office work in a small space, as shown in Figure 2. The experiment was conducted in a room equipped with a ventilation–radiant coupled heating system, where radiant panels were installed on the side walls. The room was furnished with a desk and a manikin model. Four measurement trees were uniformly distributed within the room, with measurement points arranged vertically from top to bottom on each tree. All walls and the ceiling of the building were constructed using wood and insulating materials as part of the external envelope, making it a lightweight structure.
Limitations in the use and accuracy of the measurement instruments introduced some uncertainty into the calculations. Specifically, this experiment used a handheld impeller anemometer to monitor the supply air speed. This anemometer has a wind speed measurement range of 0.4–20 m/s, a wind speed measurement accuracy of ±(0.2 m/s +2% of reading), and a resolution of 0.1 m/s. Two multi-channel temperature recorders were used to monitor the indoor temperature, with a measurement range of −50 °C to 1300 °C and a measurement accuracy of ±0.2 °C. Additionally, an infrared thermal imager was used to monitor the wall surface temperature. Its temperature measurement range is −40 °C to 1200 °C, with a measurement accuracy of ±1.5 °C within 0–100 °C and ±2% outside this range.
To investigate the temperature distribution within the room, six test points were selected on each of the 4 measurement trees, resulting in a total of 24 test points. The temperature distribution at these 24 points was used to represent the overall spatial temperature distribution in the room. The test point locations are shown in Figure 3. The measurement points were grouped into four sets based on the measurement trees and were selected along the height Z-axis. The coordinates of the test points are provided in Table 4.
In this experiment, only the inlet and outlet of the mixing ventilation system were activated. The supply air velocity was set to 2 m·s−1, the supply air temperature to 20 °C, and the temperature of the sidewall radiant heating surface to 23 °C, while the ambient temperature was maintained at 5 °C. During the measurement period, the building was in a stable and normal operational process, with occupants engaged in sedentary office work. A simulation verification was conducted based on the experimental platform, and the test and calculation values for each measurement point are presented in Figure 4.
As shown in Figure 4, both the test measurements and calculation results indicate that the overall room temperature increases with height, exhibiting a noticeable thermal stratification phenomenon, which aligns with the distribution characteristics of warm and cold air in an enclosed space. The deviations between the measured and simulated values at each test point are within 5%, suggesting that the simulation method closely approximates the actual experimental results.
The deviations between the measured and simulated temperatures at each test point may arise from the following factors:
(1)
Non-uniform radiation across different envelope surfaces in actual conditions.
(2)
Slight temperature variations in walls with different orientations within the envelope.
(3)
Assumptions and simplifications in the simulation process, such as setting the radiant wall as a constant-temperature surface and neglecting wall thickness, which introduce discrepancies compared to the real experimental room.
(4)
Unaccounted external and internal radiation effects, including radiation through windows and the impact of lighting fixtures.

3.2. Grid Independence Verification

When conducting numerical simulations, the spatial resolution of CFD simulations is directly shaped by the grid discretization accuracy, which in turn affects the accuracy of the simulation results. The computational precision of grid discretization is a key consideration; if the grid is too sparse, it may lead to poor grid quality, resulting in inaccurate simulation outcomes. Conversely, an excessively dense grid may significantly increase computation time and waste server resources. Therefore, to balance computational accuracy and time efficiency in CFD simulations, it is crucial to select an appropriate grid scale through grid independence verification.
To more accurately simulate the room temperature distribution, this study employs ICEM CFD 2021 R1 software to generate a tetrahedral unstructured grid for the model. The generated grid is then imported into Fluent Meshing to create a polyhedral mesh. As shown in Figure 5, local grid refinement is applied to key surfaces, including the air inlet, air outlet, person, desk, and Sidewall radiant heating surface, to further enhance grid quality and computational accuracy.
To obtain a numerical solution where further grid refinement has minimal impact on the simulation results under a sufficiently fine mesh, a grid independence verification is conducted based on the boundary conditions established in the previous chapter. The temperature values along four vertical detection lines at the locations of the test trees are selected as reference points for grid validation. The computational results are presented in Figure 6 and Figure 7.
As shown in Figure 6 and Figure 7, comparative analysis of simulation results across different grid scales reveals that the case with 400,000 grids exhibits significantly different temperature and velocity distribution trends compared to those obtained with 1.2 million and 2.5 million grids. In contrast, the 1.2 million and 2.5 million grid cases demonstrate consistent temperature and velocity profiles along all four monitoring lines, with maximum deviations limited to 0.2 °C for temperature and 0.04 for velocity—both considered negligible. Based on a comprehensive consideration of computational efficiency and solution accuracy, the 1.2 million grid configuration was adopted for all subsequent numerical simulations in this study.

4. Results and Discussion

In this study, the indoor air temperature, air velocity, and exhaust temperature were measured as the radiant temperature increased from 26.2 °C to 29.2 °C and the supply air temperature increased from 26 °C to 29 °C. The evaluation of airflow organization, thermal environment, and their impact on both environmental and human comfort, as well as energy efficiency, was conducted using the Predicted Mean Vote (PMV), draught rate (DR), operative temperature (Top), and ventilation effectiveness (Et).
To comprehensively consider the impact of the indoor environment in both vertical and horizontal directions, as well as the effect of human thermal plumes on thermal comfort, this study analyzes two large spatial planes, as shown in Figure 8a. The comparison focuses on the average PMV and DR for each condition at the horizontal plane located at the top of the person (Z = 1.45 m) and the vertical plane positioned 0.1 m behind the person (Y = 2.9 m). The spatially averaged PMV and DR calculated on this large plane are denoted as ‘R-PMV’ and ‘R-DR’. Additionally, this study investigates the impact of the surrounding environment on human comfort. Therefore, a small enclosing surface around the person, as shown in Figure 8b, is utilized to observe the PMV and DR distribution contours. Similarly, all subsequent ‘P-PMV’ and ‘P-DR’ values are spatial averages calculated on this enclosing surface. This analysis helps assess the advantages and disadvantages of the six different systems in terms of thermal comfort around the person.

4.1. Performance Comparison Under Different Systems

Since different systems generate varying temperature and velocity distributions, this study conducts simulations under the same operating conditions, where the Tr is 28.2 °C and Ts is 28 °C. Figure 9, Figure 10 and Figure 11 present the velocity and DR distribution diagrams for the indoor spatial planes, while Figure 12 and Figure 13 illustrate the temperature and PMV distribution diagrams, respectively.
By comparing the velocity distributions across vertical planes, it is evident that in the mixing ventilation heating system, fresh air enters the room from the supply vents and forms an attached flow along the opposite wall, accompanied by significant vortices with maximum velocities. A ‘low-velocity lake’ is observed above the person region. In contrast, under displacement ventilation heating systems, the airflow exhibits an upward trend only in the region behind the person, where a distinct high-velocity zone, or ‘high-velocity lake’, is observed. However, it is important to note that when the radiant system is configured in ‘floor heating’, the combined effect of low-level air supply from displacement ventilation and heat emission from the radiant floor creates a stable stratified flow. This allows the warm air in the lower part of the room to extend further, preventing significant upward airflow and high-velocity zones in the region behind the person. Thus, it is evident that the configuration of the radiant system significantly influences the performance of displacement ventilation. A low-level heat source enhances the natural buoyancy effect of displacement ventilation, reducing the need for mechanical mixing [32].
From the DR distribution contour plots, it is evident that the intensity of indoor draft sensation is positively correlated with air velocity. Furthermore, in the mixing ventilation heating room, the wall-attached flow induces significant draft sensations near the wall surfaces, and the overall indoor draft sensation is notably higher than that in the displacement ventilation heating room. Furthermore, the type of radiant system configuration influences the distribution of low-draft regions [33] and causes fluctuations in the average indoor DR value. As shown in Figure 11, in the MV-C mode, the overall indoor DR is higher than in other modes, and the cooling distribution is more dispersed, with no distinct low-draft regions observed in the room corners. In contrast, under DV mode, the airflow driven by thermal buoyancy results in a significantly different DR distribution in the lower part of the DV-F room compared to the other two modes, with a notably higher DR in this region.
From Figure 10 and Figure 11, the DV-F configuration’s greater effectiveness in reducing DR compared to MV systems is also related to the inherent physical mechanisms of DV and floor heating. Compared to MV, DV itself uses a low-velocity air supply, fundamentally reducing the initial kinetic energy of the airflow. Coupled with the coordinating effect of floor radiation, a stable heated air layer is formed in the foot region, strengthening the upward force of the human thermal plume. This causes the indoor flow field to be dominated by natural convection from thermal plumes, rather than the forced convection driven by jets in MV systems. Moreover, the air velocity generated by natural convection is far below the threshold that can cause a draught sensation. Finally, in DV-F, the area above the occupant is covered by a very low-velocity and uniform ‘low-velocity lake’, with air flowing smoothly upward; whereas in the MV system, due to the entrainment and mixing of the supply air jet, larger areas of higher-velocity turbulence are generated indoors, leading to higher DR values.
Therefore, both the ventilation mode and the radiant system configuration jointly influence the distribution of indoor DR, resulting in significantly different phenomena depending on the specific mode combination.
From Figure 12, it is evident that in displacement ventilation systems, the distribution of warm air primarily flows from the inlet to the outlet, with insufficient heat exchange occurring within the room. Additionally, the minimum temperature in rooms with DV-radiant systems is lower than that in MV-radiant systems, accompanied by the presence of low-temperature zones near the room perimeter. However, the distribution of these low-temperature zones varies depending on the radiant system configuration. Specifically, under DV mode, both ceiling and sidewall heating create low-temperature zones in the lower part of the room. In contrast, the DV-F system aligns the heat source with the airflow direction, maintaining stable temperature stratification. The floor radiant system directly heats the near-floor air, enhancing the thermal buoyancy effect and perfectly complementing the ‘low-level supply + natural rise’ [6] characteristics of DV. This results in uniform upward movement of warm air from the floor, establishing a vertical temperature gradient and minimizing the occurrence of low-temperature zones around occupants.
From Figure 13, it is evident that the two ventilations have distinct impacts on the indoor environment. The overall PMV in rooms with DV-radiant systems is slightly higher than that in MV-radiant systems, with localized thermal discomfort observed near the DV inlet. In contrast, the PMV distribution in MV rooms exhibits a ‘high in the center, low at the periphery’ pattern. Regarding the influence of different radiant system configurations, the impact on thermal sensation in MV rooms is relatively minor. However, for DV systems, the conflict between the heat source location and airflow direction in DV-C and DV-S leads to insufficient local dilution in the lower room region. In contrast, the DV-F system aligns the heat source with the airflow direction (floor heating + vertical mixing), resulting in more uniform heat distribution. However, attention must be paid to localized heat accumulation in the lower room region.
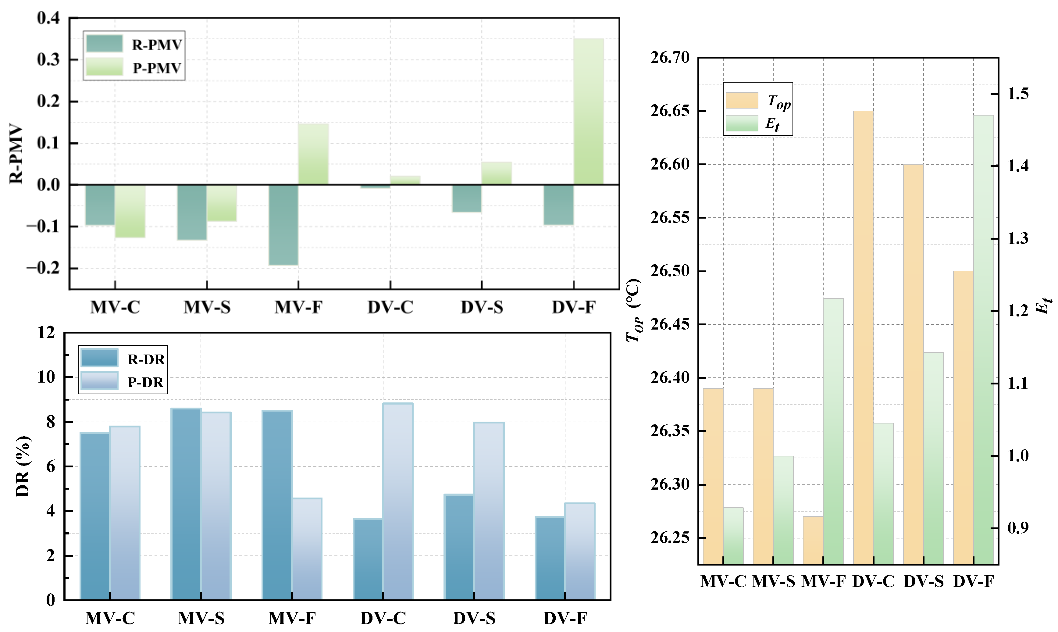
Additionally, Table 5 summarizes the average PMV and DR values for the indoor environment and person, as well as the Top and Et for each system. From Table 5 and Figure 14, it can be observed that, with the radiant system configuration held constant, the average indoor and person PMV values in DV systems are closer to neutral (−0.1 to 0.1) compared to MV systems. Furthermore, the average indoor DR values are significantly lower in DV systems (DV-C: 3.647%; DV-F: 3.740%) than in MV systems (MV-C: 7.505%; MV-F: 8.502%), indicating that displacement ventilation effectively reduces draft sensations in large indoor spaces. However, the impact of DV on person DR is only marginally better than that of MV, suggesting limited direct improvement in human thermal comfort. When the ventilation mode is held constant, it is evident that the ‘floor heating’ radiant configuration results in lower DR values for both the indoor environment and person, as well as relatively lower Top and higher Et. However, it should be noted that under the combined effect of the higher radiant temperature of 28.2 °C and supply air temperature of 28 °C, the ‘floor heating’ configuration may create a relatively warmer sensation around the human body compared to other radiant configurations. Therefore, the operating temperature settings for the ‘floor heating’ configuration require more careful consideration.
Based on the comprehensive analysis of different systems, it is evident that the relationship between comfort and functional performance is nonlinear. Therefore, a joint evaluation of all systems is necessary to identify the optimal solution.

4.2. Impact of the Radiant Temperature (Tr)

This section provides a detailed analysis of the radiant temperature in the hybrid system to determine its impact and further explore the role of the radiant system (Tr.) within the hybrid system. Figure 15 presents the variations in indoor and human comfort, as well as the effects on energy consumption, under different hybrid systems when the Tr ranges from 26.2 °C to 29.2 °C.
As shown in Figure 15, the increase in Tr exhibits a nearly linear upward trend in both PMV and Top across all systems. Moreover, the rising trend of PMV remains nearly consistent across different systems. Notably, compared to other coupled heating systems, the DV-C maintains an average indoor PMV (R-PMV) value closest to zero, indicating superior thermal comfort in the indoor environment. Regarding the PMV values around the person, both DV-C and DV-S provide better thermal comfort under DV. However, due to the direct contact between the floor radiant heating system and the foot, the DV-F results in the poorest thermal sensation for occupants. Furthermore, as the Tr increases, the rise in Top under the MV is smaller than that under the DV. This indicates that in DV, the combined effect of air temperature and mean radiant temperature on the person is more pronounced compared to the MV.
The variation in DR across different systems exhibits an inconsistent pattern. As the Tr increases, the average R-DR gradually decreases, with the DV-C showing the most significant downward trend. Additionally, the average R-DR in DV is consistently lower than that in MV, indicating that even with changes in radiant temperature, DV can still maintain a superior R-DR. Furthermore, as the Tr increases, the average P-DR in DV shows an upward trend, whereas in MV, the P-DR generally exhibits a downward trend. As illustrated in Figure 16, using MV-S and DV-S as examples, this difference primarily stems from the distinct air supply strategies of the two systems. The MV adopts an “upper supply and lower return” airflow pattern, causing the overall airflow velocity around the person to gradually decrease from the head to the lower body as the Tr rises. In contrast, in the DV, the increased Tr generates a “high-speed zone” behind the person, leading to a significant increase in airflow velocity on the windward side, thereby contributing to the rising DR trend.
This indicates that P-DR responds differently to increasing Tr depending on the ventilation system, highlighting that the ventilation strategy plays a crucial role in shaping the perceived draft sensation and comfort. From the perspective of Et, although changes in radiant temperature lead to an overall increase in ventilation efficiency across all coupled heating systems, the impact remains limited due to the constant supply air temperature and relatively minor variations in the thermal environment around the human body. Notably, compared to other hybrid systems, the DV-C exhibits a more significant improvement in ventilation efficiency at higher radiant temperatures, as shown in Figure 17. This is because, with TS = 28 °C, an elevated radiant temperature enhances heat exchange in the occupant zone, raising the local air temperature closer to the supply air temperature [34], thereby improving Et.
Overall, an increase in Tr exhibits a positive correlation with PMV and Top, indicating that special attention should be given to potential thermal discomfort caused by elevated radiant temperatures. While changes in Tr have a relatively minor impact on indoor airflow, the DR variations in the small spatial region surrounding the person are significantly influenced by the ventilation system, leading to different changing trends.

4.3. Impact of the Supply Air Temperature (Ts)

Besides the influence of the radiant system, the coupled heating system is also affected by the ventilation system. Therefore, this section focuses on a detailed investigation of the supply air temperature (Ts) by varying it from 26 °C to 29 °C to examine its impact on different indicators across the coupled heating system. Figure 18 presents a comparative analysis of the variations in system indicators under different supply air temperatures.
As shown in Figure 18, the increase in Ts exhibits a near-linear upward trend in its effect on PMV and Top, with a nearly identical rate of increase. Especially, for the same 1 °C increase in temperature, changing the Ts. results in an increase of approximately 0.7 in both R-PMV and P-PMV, whereas in Figure 15, changing the Tr led to an increase of only about 0.2 in PMV. This indicates that, compared to the radiant system, the increase in Ts within the ventilation system has a more significant impact on thermal conditions in medium-to-small-sized rooms.
Unlike the variations in PMV and Top, as the Ts increases, both DR and Et exhibit an overall downward trend across all systems. However, in DV-C, the increase in Ts causes inconsistent changes in the R-DR. Specifically, when Ts = 27 °C, P-DR increases, leading to an improvement in Et. This phenomenon is mainly due to the expansion of the high-velocity region behind the person as Ts rises, which increases the airflow velocity around the occupant, particularly in the upper person region, as illustrated in Figure 19. When Ts = 29 °C, a noticeable airflow vortex forms near the walls close to the air inlet. This leads to a more concentrated velocity distribution in the horizontal plane, causing an increase in R-DR and a corresponding rise in Et.
Overall, an increase in Ts leads to a near-linear rise in both the PMV and the Top of the indoor environment and the area surrounding the person, with the PMV increase being more significant compared to changes in Tr. Additionally, a higher Ts results in a gradual decline in DR and Et in DV, as well as a slow decrease in Et in MV.

4.4. Multi-Objective Analysis

4.4.1. CRITIC Weighting Method

To comprehensively evaluate the performance of different ventilation–radiant coupled heating systems, this study employs the CRITIC weighting method (Criteria Importance Through Intercriteria Correlation) to objectively assign weights to the evaluation metrics (PMV, DR, Top, and Et). The CRITIC weighting method determines weights by analyzing the contrast intensity and conflict between indicators, reflecting the inherent variability of the data while avoiding information redundancy caused by high inter-indicator correlations. This provides a systematic approach for assigning weights to evaluation criteria [35,36]. The evaluation process is illustrated in Figure 20.
The CRITIC weighting method model is constructed as follows [36]:
(1)
Construct the raw data matrix
X = x 11 x 1 m x n 1 x n m
where n is the number of programs to be evaluated, m is the number of evaluation indexes; xij denotes the j-th evaluation index of the i-th program.
(2)
Data standardization
To eliminate the influence of dimensional units, the raw data are normalized. For indicators where a higher value represents better performance (positive indicators), the normalization formula is as follows:
x i j * = x i j min x j max x j min x j
For indicators where a lower value represents better performance (negative indicators), the normalization formula is as follows:
x i j * = max x j x i j max x j min x j
(3)
Calculate contrast intensity (standard deviation)
x ¯ j * = 1 n i = 1 n x i j * S j = i = 1 n x i j * x ¯ j * 2 n 1
where Sj represents the standard deviation of the j-th index.
(4)
Calculate conflict (correlation coefficient)
Conflict is measured by the correlation coefficient between indicators. A lower correlation coefficient indicates higher conflict, resulting in a greater weight.
r j k = i = 1 n x i j * x ¯ j * x i k * x ¯ k * i = 1 n x i j * x ¯ j * 2 i = 1 n x i k * x ¯ k * 2 R j = k = 1 m 1 r j k
where rjk denotes the correlation coefficient between evaluation indexes j and k. The greater the correlation coefficient between the two indexes, the more consistently the information is reflected in the results of the comprehensive evaluation, and the less weight each index should be given in the evaluation. Rj is the correlation coefficient between the indexes.
(5)
Calculate information content
The information content is determined by integrating contrast intensity and conflict, as follows:
C j = S j × R j
where Cj is the amount of information contained in the j-th index. The larger Cj indicates that the j-th evaluation index should be given more weight as it has a larger impact on the overall evaluation index system.
Based on the above calculation, the objective weight of the j-th index is calculated as:
ω j = C j k = 1 m C k
Based on the aforementioned weighting mechanism, this study evaluates the PMV, DR, Top of the radiant system, and Et of the ventilation system for the 42 system configurations under different Tr and Ts. During data standardization, Et is processed as a positive indicator (higher values are better), while the remaining indicators are treated as negative indicators (lower values are better).

4.4.2. System Weight Evaluation Results

By evaluating 42 cases, the weight aggregations of each indicator are shown in Table 6. Regarding self-variability, the variability aggregation of DR is relatively large, indicating significant differences in this indicator among different samples, with the most pronounced data fluctuation. This suggests that DR contains a higher amount of information and can better differentiate between samples. The conflict level is calculated based on the correlation between each indicator and others. A higher conflict level of Top in the table indicates a lower correlation with other indicators, meaning it provides more independent information. From the perspective of information entropy, which integrates both variability and conflict, Top demonstrates significantly higher information content than other indicators. This implies that Top contributes the most to the overall evaluation system.
The final weight distribution indicates that PMV has a relatively weak influence on the evaluation results. Although the DR indicator shows high variability, its low conflict level results in a moderate weight, reflecting that while DR exhibits significant data fluctuations, its information independence is insufficient. Especially, the Top indicator holds the highest weight proportion, suggesting that Top is the most sensitive to variations in different influencing factors, making it the most influential indicator in the evaluation system.
The analysis of Table 7 reveals that the DV-F achieves the highest score and ranks first when Tr = 26.2 °C and Ts = 26 °C. Combined with Figure 21, it can be observed that the DV-F consistently ranks among the top under varying Tr and Ts. This is primarily because DV with downward supply and upward return, combined with floor radiant heating, effectively compensates for the long-standing thermal stratification in office rooms that typically causes a cold lower and warm upper zone. This system enhances air circulation efficiency, allowing warmer air to circulate more effectively throughout the room, thereby achieving better thermal comfort.
In contrast, the lower-ranked systems are generally the “upper supply and lower return” MV combined with non-floor radiant heating. Additionally, in these lower-ranked systems, the Tr is generally higher than Ts. This results in warm air accumulating near the air outlet and adjacent walls, without being effectively distributed to the person or the central activity area, thereby leading to reduced overall thermal comfort and lower energy efficiency.
However, it is important to note that when both Tr and Ts reach extremely high levels, the thermal comfort of DV-C tends to deteriorate, indicating a mutual restriction effect between the radiant system and the ventilation system. Therefore, to better balance thermal comfort and energy efficiency, DV-F should be prioritized under conditions where Ts > Tr, and particular attention should be given to carefully optimizing both the radiant temperature and supply air temperature.

5. Conclusions

This study systematically compared six ventilation–radiant coupling modes. By investigating the effects of Tr and Ts on indoor environmental and human thermal comfort, it revealed the synergistic mechanism between the radiant and ventilation modules in system performance. Furthermore, a multi-indicator comprehensive evaluation system was established, employing the CRITIC weighting method for multi-objective comparative assessment. The main findings of this study can be summarized as follows:
(1)
Under the same working temperature, when comparing the performance of different systems, the change in the ventilation system has a more significant impact on larger space areas.
(2)
The mixing ventilation system (MV) has limitations, especially when high Ts (>27 °C) are used. In this case, the R-DR distribution becomes uneven, and the PMV value deviates from the neutral range (−0.6 to 0.1), resulting in poorer thermal comfort. This issue is particularly noticeable in non-floor radiant heating (e.g., MV-C and MV-S), where the attached flow leads to higher DR in the wall regions (>8%).
(3)
Although not all DV-F systems perform excellently, under lower radiant temperatures or supply air temperatures, the overall performance of the DV-F system is superior to other systems. Specifically, in DV-F, both the R-PMV and P-PMV are close to neutral (−0.15 to 0.35), with DR significantly lower than other systems (3.7% to 4.4%). This is due to the synergy between the “downward supply and upward return” ventilation system and the floor radiant heating system, which effectively alleviates the issue of vertical thermal stratification and enhances the thermal comfort of the lower part of the space.
(4)
In practical applications, it is recommended to prioritize the use of the DV-F and control the radiant temperature within 26.2 °C to 28.2 °C and the supply air temperature within 26 °C to 28 °C to achieve a balance between thermal comfort and energy efficiency. It is also advisable to avoid the overlap of high supply air temperature and high radiant temperature. Specifically, when Ts ≥ 29 °C or Tr ≥ 29.2 °C, the PMV in DV tends to exceed +0.5, which can easily cause thermal discomfort. Therefore, dynamic regulation should be implemented to prevent overheating.
This study provides a theoretical basis for the design and optimization of ventilation–radiant coupled heating systems, demonstrating the effectiveness of the multi-objective weighting method in comprehensive performance evaluation. However, this study is based on a steady-state model and does not account for dynamic loads or seasonal variations. Therefore, future work could extend the analysis to transitional and summer conditions to evaluate the system’s annual performance. Additionally, it is important to emphasize that this study was conducted under an ideal air quality premise. The advantages of the coupled system demonstrated in this research not only indicate a stronger ability to remove excess heat but also suggest potentially higher efficiency in removing pollutants from the occupied zone. Therefore, future research could further introduce IAQ indicators such as CO2 concentration and VOCs to establish a more comprehensive indoor environmental evaluation system.

Author Contributions

Writing—original draft, Y.J. (Yingying Jiang); Writing—review & editing, Y.J. (Yingying Jiang); Data curation, Y.J. (Yingying Jiang); Validation, X.Q.; Investigation, X.Q.; Methodology, B.K.; Software, B.K.; Formal analysis, H.S.; Conceptualization. H.S.; Project administration, Y.J. (Yanlong Jiang); Visualization, Y.J. (Yanlong Jiang). All authors have read and agreed to the published version of the manuscript.

Funding

This research received no external funding.

Data Availability Statement

The original contributions presented in this study are included in the article. Further inquiries can be directed to the corresponding author.

Conflicts of Interest

The authors declare no conflicts of interest.

References

  1. Krajčík, M.; Šimko, M.; Šikula, O.; Szabó, D.; Petráš, D. Thermal Performance of a Radiant Wall Heating and Cooling System with Pipes Attached to Thermally Insulating Bricks. Energy Build. 2021, 246, 111122. [Google Scholar] [CrossRef]
  2. Xie, X.; Xia, F.; Zhao, Y.; Xu, B.; Wang, Y.; Pei, G. Parametric Study on the Effect of Radiant Heating System on Indoor Thermal Comfort with/without External Thermal Disturbance. Energy 2022, 249, 123708. [Google Scholar] [CrossRef]
  3. Conceição, E.Z.E.; Lúcio, M.M.J.R. Evaluation of Thermal Comfort Conditions in a Classroom Equipped with Radiant Cooling Systems and Subjected to Uniform Convective Environment. Appl. Math. Model. 2011, 35, 1292–1305. [Google Scholar] [CrossRef]
  4. Safizadeh, M.; Schweiker, M.; Wagner, A. Experimental Evaluation of Radiant Heating Ceiling Systems Based on Thermal Comfort Criteria. Energies 2018, 11, 2932. [Google Scholar] [CrossRef]
  5. Lu, Y.; Huang, J.; Wagner, D.N.; Lin, Z.; Jung, N.; Boor, B.E. The Influence of Displacement Ventilation on Indoor Carbon Dioxide Exposure and Ventilation Efficiency in a Living Laboratory Open-Plan Office. Build. Environ. 2024, 256, 111468. [Google Scholar] [CrossRef]
  6. An, I.-H.; Park, S.-H.; Lee, Y.-H.; Lee, C.-H.; Seo, S.-B.; Cho, S.-H.; Lee, H.-W.; Yook, S.-J. Comparison of Local Mean Age of Air between Displacement Ventilation System and Mixing Ventilation System in Office Heating Conditions during Winter. Buildings 2024, 14, 115. [Google Scholar] [CrossRef]
  7. Wu, S.; Li, T.; Zhang, J. Ventilation Performance Study of a High-Speed Train Cabin Based on Displacement Ventilation and Mixed Ventilation. Phys. Fluids 2024, 36, 077108. [Google Scholar] [CrossRef]
  8. Zhao, W.; Mustakallio, P.; Lestinen, S.; Kilpeläinen, S.; Jokisalo, J.; Kosonen, R. Numerical and Experimental Study on the Indoor Climate in a Classroom with Mixing and Displacement Air Distribution Methods. Buildings 2022, 12, 1314. [Google Scholar] [CrossRef]
  9. Do, H.; Cetin, K.S. Mixed-Mode Ventilation in HVAC System for Energy and Economic Benefits in Residential Buildings. Energies 2022, 15, 4429. [Google Scholar] [CrossRef]
  10. Dong, Q.; Li, S.; Han, C. Numerical and Experimental Study of the Effect of Solar Radiation on Thermal Comfort in a Radiant Heating System. J. Build. Eng. 2020, 32, 101497. [Google Scholar] [CrossRef]
  11. Riccardi, B.; Marigo, M.; Tognon, G.; De Carli, M.; Zarrella, A. Investigation of the Localized Discomfort Due to Vertical Radiant Asymmetry in a Test Room with Radiant and Mechanical Ventilation Systems. Appl. Therm. Eng. 2025, 274, 126787. [Google Scholar] [CrossRef]
  12. Wei, T.; Li, J.; Sun, L.; Rao, Y.; Luo, X. Localized Heating for Visitors’ Corridor within Site Museum Using a Radiant Floor Heating System with an Air Curtain. Energy Build. 2025, 345, 116039. [Google Scholar] [CrossRef]
  13. Kong, X.; Chang, Y.; Fan, M.; Li, H. Analysis on the Thermal Performance of Low-Temperature Radiant Floor Coupled with Intermittent Stratum Ventilation (LTR-ISV) for Space Heating. Energy Build. 2023, 278, 112623. [Google Scholar] [CrossRef]
  14. Chen, W.; Pei, G.; Zhang, H.; Guo, X. Numerical Simulation of Heating Performance of Radiant Ceiling System Interacting with a Ceiling Fan. Indoor Built Environ. 2025, 1420326X251363631. [Google Scholar] [CrossRef]
  15. Evren, F. Thermal and Energy Performance of an Integrated Hybrid Radiant-Convective Heating System in Office Cubicles. Case Stud. Therm. Eng. 2025, 73, 106622. [Google Scholar] [CrossRef]
  16. Zhong, Y.; Lan, Y.; Luo, H.; Zhang, J.; Zeng, Y. Experimental Design and Verification of Heat Transfer Flow in a Scaled Cabin Model under the Influence of Convective and Radiative Coupling. J. Phys. Conf. Ser. 2024, 2756, 012016. [Google Scholar] [CrossRef]
  17. Kazanci, O.B.; Khovalyg, D.; Iida, T.; Uno, Y.; Ukiana, T.; Olesen, B.W. Human Response to the Thermal Indoor Environment Created by a Radiant, and a Combined Radiant and Convective Cooling System. E3S Web Conf. 2019, 111, 02060. [Google Scholar] [CrossRef]
  18. Olesen, B.W.; Simone, A.; KrajcÍik, M.; Causone, F.; Carli, M.D. Experimental Study of Air Distribution and Ventilation Effectiveness in a Room with a Combination of Different Mechanical Ventilation and Heating/Cooling Systems. Int. J. Vent. 2011, 9, 371–383. [Google Scholar] [CrossRef]
  19. Krajčík, M.; Simone, A.; Olesen, B.W. Air Distribution and Ventilation Effectiveness in an Occupied Room Heated by Warm Air. Energy Build. 2012, 55, 94–101. [Google Scholar] [CrossRef]
  20. Rahmanparast, A.; Bacak, A.; Camci, M.; Karakoyun, Y.; Acikgoz, O.; Dalkilic, A.S. A Comparison of Heating and Cooling Systems Having Radiant and Ventilation Systems Regarding Thermal Comfort. J. Therm. Anal. Calorim. 2024, 149, 13551–13579. [Google Scholar] [CrossRef]
  21. De Carli, M.; Tonon, M. Effect of Modelling Solar Radiation on the Cooling Performance of Radiant Floors. Solar Energy 2011, 85, 689–712. [Google Scholar] [CrossRef]
  22. Fan, M.; Wang, J.; Zhang, L.; Li, H.; Kong, X.; Zheng, C. Thermal Environment Investigation of Asymmetric Radiation Coupled with Convection Heating. Build. Simul. 2022, 15, 1309–1321. [Google Scholar] [CrossRef]
  23. Zhang, Y.; Yu, W.; Li, Y.; Li, H. Comparative Research on the Air Pollutant Prevention and Thermal Comfort for Different Types of Ventilation. Indoor Built Environ. 2021, 30, 1092–1105. [Google Scholar] [CrossRef]
  24. Enescu, D. A Review of Thermal Comfort Models and Indicators for Indoor Environments. Renew. Sustain. Energy Rev. 2017, 79, 1353–1379. [Google Scholar] [CrossRef]
  25. Wu, X.; Fang, L.; Olesen, B.W.; Zhao, J.; Wang, F. Comparison of Indoor Air Distribution and Thermal Environment for Different Combinations of Radiant Heating Systems with Mechanical Ventilation Systems. Build. Serv. Eng. Res. Technol. 2018, 39, 81–97. [Google Scholar] [CrossRef]
  26. Olesen, B.W.; Parsons, K.C. Introduction to Thermal Comfort Standards and to the Proposed New Version of EN ISO 7730. Energy Build. 2002, 34, 537–548. [Google Scholar] [CrossRef]
  27. Song, C.; Kong, B.; Cheng, M.; Li, Y.; Shi, H. Optimizing Ventilation Systems for Dual Objectives: Enhancing Thermal Comfort and Controlling Droplet Dispersion. Aerosol Sci. Eng. 2024, 1–18. [Google Scholar] [CrossRef]
  28. Fanger, P.O.; Melikov, A.K.; Hanzawa, H.; Ring, J. Air Turbulence and Sensation of Draught. Energy Build. 1988, 12, 21–39. [Google Scholar] [CrossRef]
  29. Hao, X.; Xing, Q.; Long, P.; Lin, Y.; Hu, J.; Tan, H. Influence of Vertical Greenery Systems and Green Roofs on the Indoor Operative Temperature of Air-Conditioned Rooms. J. Build. Eng. 2020, 31, 101373. [Google Scholar] [CrossRef]
  30. ISBN 1041-2336; Thermal Environmental Conditions for Human Occupancy. ASHRAE Standards: Peachtree Corners, GA, USA, 2004.
  31. Kong, X.; Chang, Y.; Li, N.; Li, H.; Li, W. Comparison Study of Thermal Comfort and Energy Saving under Eight Different Ventilation Modes for Space Heating. Build. Simul. 2022, 15, 1323–1337. [Google Scholar] [CrossRef]
  32. Bae, S.; Nam, Y.; Choi, J.-H. Comparative Analysis of System Performance and Thermal Comfort for an Integrated System with PVT and GSHP Considering Two Load Systems: Convective Heating and Radiant Floor Heating. Energies 2020, 13, 5524. [Google Scholar] [CrossRef]
  33. Imanari, T.; Omori, T.; Bogaki, K. Thermal Comfort and Energy Consumption of the Radiant Ceiling Panel System.: Comparison with the Conventional All-Air System. Energy Build. 1999, 30, 167–175. [Google Scholar] [CrossRef]
  34. Fang, Z.; Guo, Z.; Chen, W.; Wu, H.; Zheng, Z. Experimental Investigation of Indoor Thermal Comfort under Different Heating Conditions in Winter. Buildings 2022, 12, 2232. [Google Scholar] [CrossRef]
  35. Song, C.; Liu, Z.; Yuan, N.; Liu, J.; Zeng, Z.; Shi, H. Performance Study of Infrared Suppression Devices with Efficient Air Mixing Using Streamlined Horn-Shaped Deflector. Energy 2024, 313, 133963. [Google Scholar] [CrossRef]
  36. Qiu, C.; Kong, B.; Zou, Y.; Zheng, R.; Shi, H. Multi-Objective Optimization with PCM Integration and Delayed Cooling Strategy for High-Rate Discharge Applications. Int. J. Heat Mass Transf. 2024, 218, 124763. [Google Scholar] [CrossRef]
Figure 1. Schematic diagram of the ventilation–radiant system.
Figure 1. Schematic diagram of the ventilation–radiant system.
Buildings 15 03784 g001
Figure 2. Experimental equipment and procedure.
Figure 2. Experimental equipment and procedure.
Buildings 15 03784 g002
Figure 3. Experimental measurement point arrangement.
Figure 3. Experimental measurement point arrangement.
Buildings 15 03784 g003
Figure 4. Comparison of test and calculation values at measurement points.
Figure 4. Comparison of test and calculation values at measurement points.
Buildings 15 03784 g004
Figure 5. Room structural grid model.
Figure 5. Room structural grid model.
Buildings 15 03784 g005
Figure 6. Temperature comparison for different grids.
Figure 6. Temperature comparison for different grids.
Buildings 15 03784 g006
Figure 7. Velocity comparison for different grids.
Figure 7. Velocity comparison for different grids.
Buildings 15 03784 g007
Figure 8. Section selection diagram.
Figure 8. Section selection diagram.
Buildings 15 03784 g008
Figure 9. Velocity vector diagram of indoor horizontal plane for different systems.
Figure 9. Velocity vector diagram of indoor horizontal plane for different systems.
Buildings 15 03784 g009
Figure 10. Velocity vector diagram of indoor vertical plane for different systems.
Figure 10. Velocity vector diagram of indoor vertical plane for different systems.
Buildings 15 03784 g010
Figure 11. R-DR distribution contour plots for different systems.
Figure 11. R-DR distribution contour plots for different systems.
Buildings 15 03784 g011
Figure 12. Temperature contour plots for different systems.
Figure 12. Temperature contour plots for different systems.
Buildings 15 03784 g012
Figure 13. PMV distribution contour plots for different systems.
Figure 13. PMV distribution contour plots for different systems.
Buildings 15 03784 g013
Figure 14. Performance comparison charts for different systems.
Figure 14. Performance comparison charts for different systems.
Buildings 15 03784 g014
Figure 15. Performance comparison of different systems under different Tr.
Figure 15. Performance comparison of different systems under different Tr.
Buildings 15 03784 g015
Figure 16. Comparison of airflow velocity distribution around the person under MV-S and DV-S.
Figure 16. Comparison of airflow velocity distribution around the person under MV-S and DV-S.
Buildings 15 03784 g016
Figure 17. Comparison of indoor and person temperature distribution under high Tr in DV-C.
Figure 17. Comparison of indoor and person temperature distribution under high Tr in DV-C.
Buildings 15 03784 g017
Figure 18. Performance comparison of different systems under different Ts.
Figure 18. Performance comparison of different systems under different Ts.
Buildings 15 03784 g018
Figure 19. Comparison of Airflow Velocity Distribution Under Different Ts in DV-C.
Figure 19. Comparison of Airflow Velocity Distribution Under Different Ts in DV-C.
Buildings 15 03784 g019
Figure 20. CRITIC weighting method.
Figure 20. CRITIC weighting method.
Buildings 15 03784 g020
Figure 21. Comparison of velocity and temperature fields between DV-F and MV-S (Tr = 28.2 °C, Ts = 27 °C).
Figure 21. Comparison of velocity and temperature fields between DV-F and MV-S (Tr = 28.2 °C, Ts = 27 °C).
Buildings 15 03784 g021
Table 1. Main boundary condition settings.
Table 1. Main boundary condition settings.
Boundary ConditionBoundary Types and Parameter Settings
Air inletBoundary TypesVelocity Inlet
Airflow DirectionNormal
Air outletBoundary TypesPressure Outlet
Pressure1000 Pa
WallBoundary TypesWall
Heat Transfer Coefficient0.81 W·(K·m2)−1
CeilingBoundary TypesWall
Heat Transfer Coefficient0.81 W·(K·m2)−1
WindowBoundary TypesWall
Heat Transfer Coefficient5.07 W·(K·m2)−1
Table 2. Design Conditions.
Table 2. Design Conditions.
SystemCaseRadiant Temperature (°C)Supply Air Temperature (°C)
Mixing ventilation + ceiling radiant heating
(MV-C)
MV-C028.228
MV-C1, MV-C2, MV-C326.2, 27.2, 29.228
MV-C4, MV-C5, MV-C628.226, 27, 29
Mixing ventilation + sidewall radiant heating
(MV-S)
MV-S028.228
MV-S1, MV-S2, MV-S326.2, 27.2, 29.228
MV-S4, MV-S5, MV-S628.226, 27, 29
Mixing ventilation + floor radiant heating
(MV-F)
MV-F028.228
MV-F1, MV-F2, MV-F326.2, 27.2, 29.228
MV-F4, MV-F5, MV-F628.226, 27, 29
Displacement ventilation + ceiling radiant heating
(DV-C)
DV-C028.228
DV-C1, DV-C2, DV-C326.2, 27.2, 29.228
DV-C4, DV-C5, DV-C628.226, 27, 29
Displacement ventilation + sidewall radiant heating
(DV-S)
DV-S028.228
DV-S1, DV-S2, DV-S326.2, 27.2, 29.228
DV-S4, DV-S5, DV-S628.226, 27, 29
Displacement ventilation + floor radiant heating
(DV-F)
DV-F028.228
DV-F1, DV-F2, DV-F326.2, 27.2, 29.228
DV-F4, DV-F5, DV-F628.226, 27, 29
Table 3. Relationship between ac and Air Velocity.
Table 3. Relationship between ac and Air Velocity.
u (m·s−1)<0.20.2~0.60.6~1.0
ac0.50.60.7
Table 4. Experimental measurement point coordinates (m).
Table 4. Experimental measurement point coordinates (m).
Measurement TreesMeasurement PointCoordinates (X, Y, Z)
CH1CH1-11.25, 2.55, 0.25
CH1-21.25, 2.55, 0.65
CH1-31.25, 2.55, 1.05
CH1-41.25, 2.55, 1.45
CH1-51.25, 2.55, 1.85
CH1-61.25, 2.55, 2.25
CH2CH2-11.25, 1.25, 0.25
CH2-21.25, 1.25, 0.65
CH2-31.25, 1.25, 1.05
CH2-41.25, 1.25, 1.45
CH2-51.25, 1.25, 1.85
CH2-61.25, 1.25, 2.25
CH3CH3-13.55, 2.55, 0.25
CH3-23.55, 2.55, 0.65
CH3-33.55, 2.55, 1.05
CH3-43.55, 2.55, 1.45
CH3-53.55, 2.55, 1.85
CH3-63.55, 2.55, 2.25
CH4CH4-13.55, 1.25, 0.25
CH4-23.55, 1.25, 0.65
CH4-33.55, 1.25, 1.05
CH4-43.55, 1.25, 1.45
CH4-53.55, 1.25, 1.85
CH4-63.55, 1.25, 2.25
Table 5. Performance comparison of different systems.
Table 5. Performance comparison of different systems.
SystemIndoor PMVPerson PMVIndoor DR (%)Person DR (%)Top (°C)Et
MV-C−0.097−0.1277.5057.79926.390.929
MV-S−0.133−0.0878.5978.42526.391.000
MV-F−0.1930.1468.5024.56926.271.217
DV-C−0.0080.0213.6478.82626.651.045
DV-S−0.0660.0544.7377.97126.601.143
DV-F−0.0970.3503.7404.35126.501.471
Table 6. Indicator weight aggregations.
Table 6. Indicator weight aggregations.
IndicatorsSelf-VariabilityConflictInformation EntropyIndex Weight
R-PMV0.2694.8711.3116.02%
P-PMV0.2644.8241.27215.56%
R-DR0.3144.4851.4117.25%
P-DR0.3064.481.3716.76%
Top0.36.0331.80922.13%
Et0.2214.5481.00412.28%
Table 7. Weight evaluation results of systems.
Table 7. Weight evaluation results of systems.
CaseTrTsR-PMVP-PMVR-DRP-DRTopEtScoreRank
DV-F26.228−0.1550.2643.7384.43425.4001.3500.7981
DV-F27.228−0.1270.3223.7094.38725.9501.4440.7382
DV-F28.227−0.3570.1214.0754.83626.1001.7140.7273
DV-F28.226−0.614−0.1244.4365.29525.7502.0000.7194
DV-C26.228−0.067−0.0464.2828.72725.6001.0830.6915
MV-F26.228−0.2630.0058.7095.13925.3501.1480.6816
DV-C28.2290.2610.3504.1807.84427.0501.1300.43337
DV-S28.226−0.491−0.4595.27210.21025.9501.2670.40838
MV-C28.227−0.350−0.3758.1938.41325.9700.9600.40239
MV-S28.227−0.389−0.2939.3618.76525.9701.0910.39040
MV-C28.226−0.608−0.6308.9299.17025.4900.9130.29141
MV-S28.226−0.689−0.53510.4909.35125.4901.1580.28142
Disclaimer/Publisher’s Note: The statements, opinions and data contained in all publications are solely those of the individual author(s) and contributor(s) and not of MDPI and/or the editor(s). MDPI and/or the editor(s) disclaim responsibility for any injury to people or property resulting from any ideas, methods, instructions or products referred to in the content.

Share and Cite

MDPI and ACS Style

Jiang, Y.; Qiao, X.; Kong, B.; Shi, H.; Jiang, Y. Multi-Objective Comparative Analysis of Various Ventilation–Radiant Coupled Heating Systems. Buildings 2025, 15, 3784. https://doi.org/10.3390/buildings15203784

AMA Style

Jiang Y, Qiao X, Kong B, Shi H, Jiang Y. Multi-Objective Comparative Analysis of Various Ventilation–Radiant Coupled Heating Systems. Buildings. 2025; 15(20):3784. https://doi.org/10.3390/buildings15203784

Chicago/Turabian Style

Jiang, Yingying, Xin Qiao, Benben Kong, Hong Shi, and Yanlong Jiang. 2025. "Multi-Objective Comparative Analysis of Various Ventilation–Radiant Coupled Heating Systems" Buildings 15, no. 20: 3784. https://doi.org/10.3390/buildings15203784

APA Style

Jiang, Y., Qiao, X., Kong, B., Shi, H., & Jiang, Y. (2025). Multi-Objective Comparative Analysis of Various Ventilation–Radiant Coupled Heating Systems. Buildings, 15(20), 3784. https://doi.org/10.3390/buildings15203784

Note that from the first issue of 2016, this journal uses article numbers instead of page numbers. See further details here.

Article Metrics

Back to TopTop