Finite Element Analysis of Horizontal Bearing Capacity for the Composite Diaphragm Wall Anchor Foundation
Abstract
1. Introduction
2. Finite Element Model
2.1. Calculation Model
2.2. Calculation Scheme
3. Analysis of the Bearing Behavior of the CDWAF Under Horizontal Loads
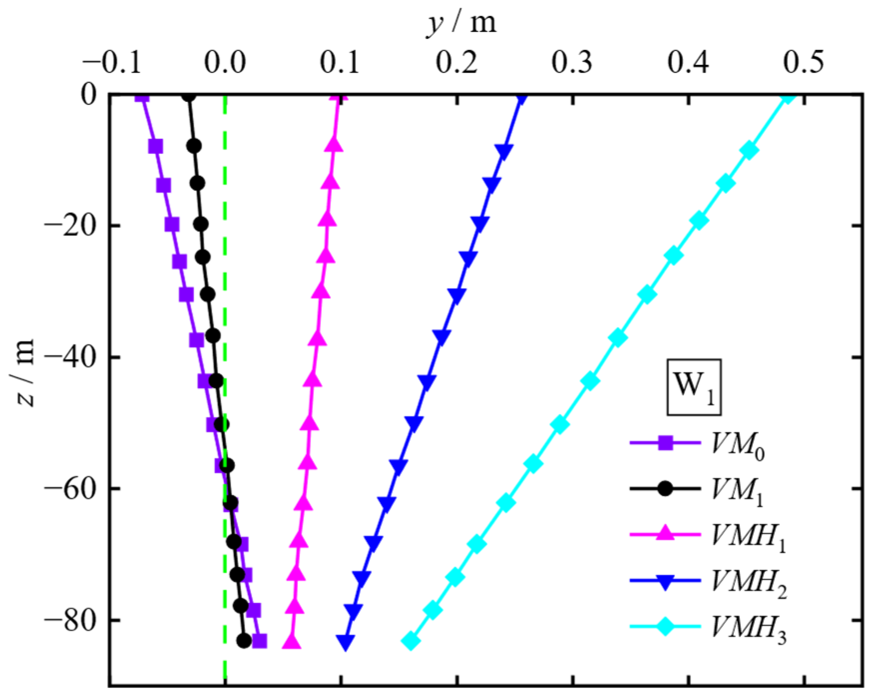
3.1. Displacement Characteristics of the Foundation Under Horizontal Loads
3.2. Bearing Behavior of the Foundation Under Horizontal Loads
3.3. Failure Modes of the Foundation Under Horizontal Loads
4. Analysis of the Bearing Behavior of the CDWAF Under Combined Loads
4.1. Displacement Characteristics of the Foundation Under Combined Loads
4.2. Bearing Behavior of the Foundation Under Combined Loads
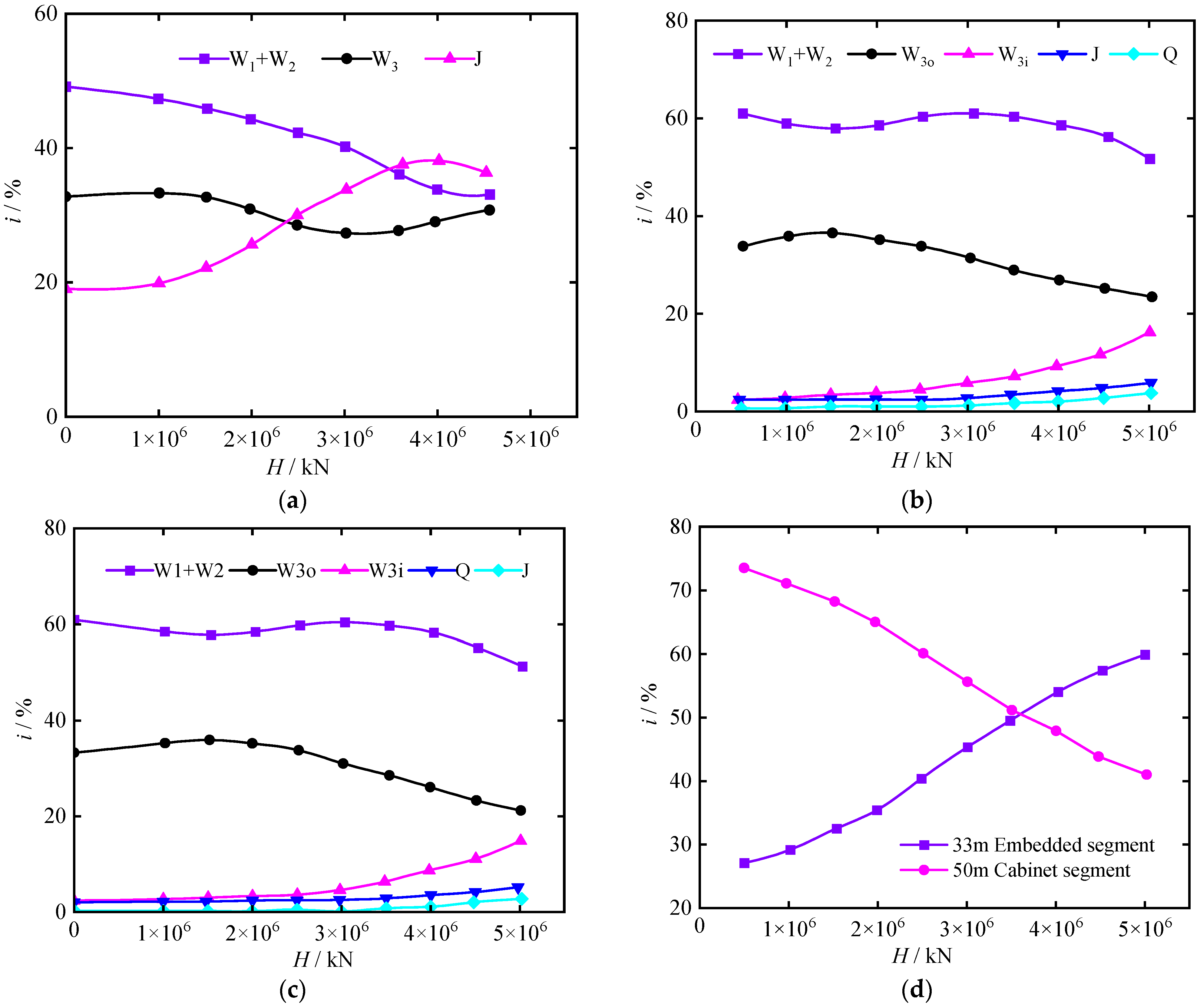
4.3. Load Distribution Ratio of the Foundation Under Combined Loads
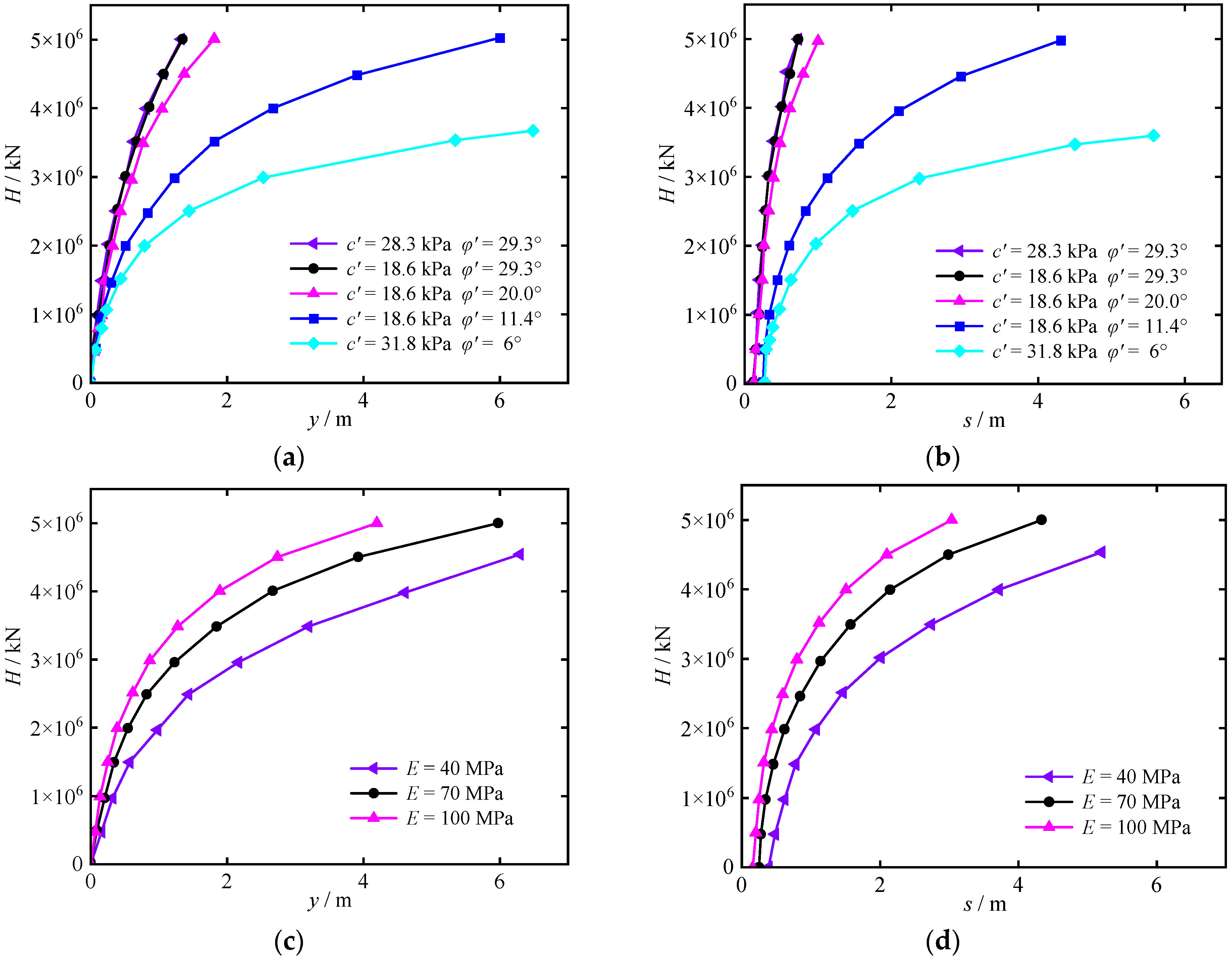
5. Analysis of Sensitive Parameters of Horizontal Bearing Behavior
5.1. Soil Property
5.2. Soil Parameters
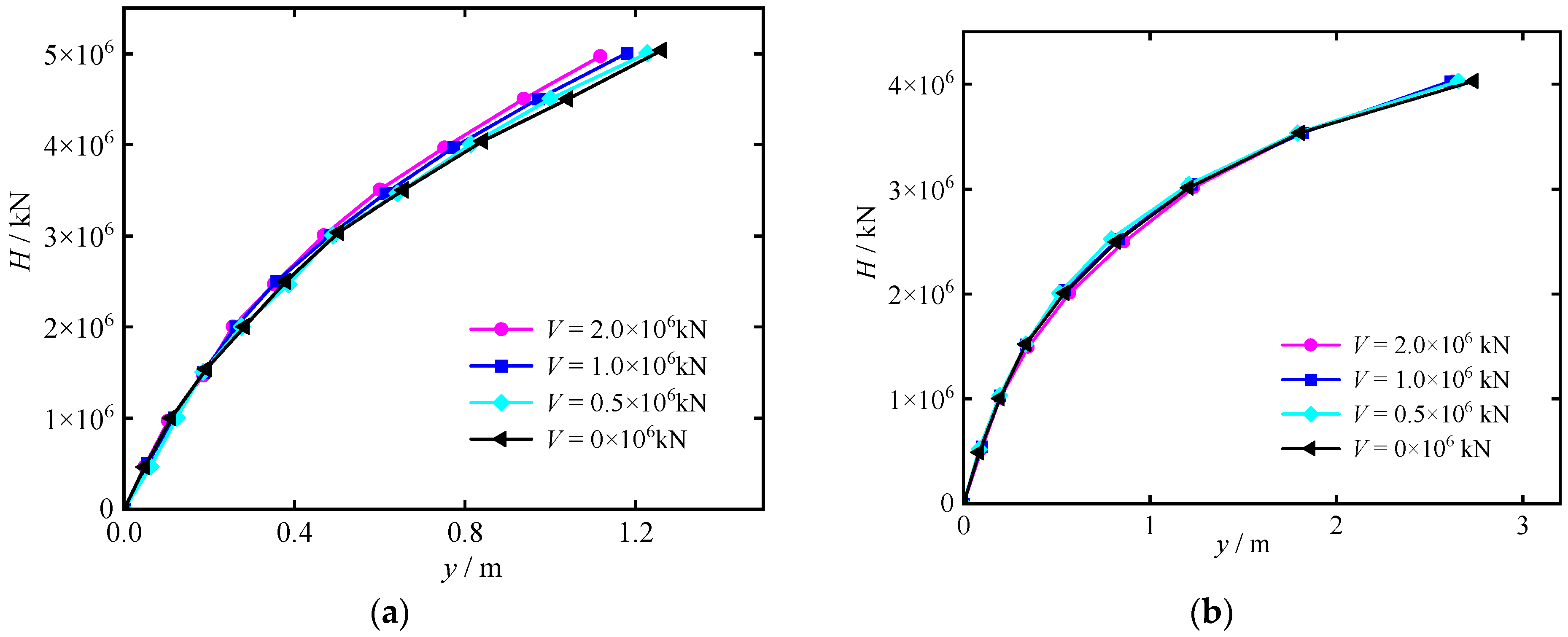
5.3. The Influence of Vertical Load on Horizontal Bearing Characteristics
5.4. The Influence of Foundation Type on Horizontal Bearing Characteristics
6. Conclusions
- Under horizontal and combined loads, the CDWAF exhibits rigid body translation and rotational displacement, resulting in an overall tilt with the front wall, W1, sinking and the back wall, W2, rising. The rotation center moves dynamically to the upper right with the increase in load. The soil in front of the foundation is compressed, forming a passive failure wedge before the front wall, while there is an active failure wedge behind the back wall. Foundation displacement and rotation angle increase nonlinearly with load. As the load grows, passive soil pressure on the front wall increases, while active soil pressure on the back wall decreases. Frictional resistance from the surrounding soil is determined by the soil’s resistance limit and the relative shear deformation between the foundation and soil. The frictional resistance on the front and back walls is mainly influenced by the vertical shear deformation, while the frictional resistance of the side wall is influenced by both vertical and horizontal shear deformations. The distribution of soil pressure and frictional resistance with depth is linked to the critical depth, which increases as the load increases.
- The overall distribution of soil reaction at the bottom of the foundation shows that both the base and wall soil resistance increase in the direction of the load, reaching a peak of 1400 kPa at the bottom corner of the front wall. The surrounding soil’s plastic zone primarily develops below the bottom of the front wall and outer sides of the front and back walls, expanding outward as the load increases. Once the load reaches a certain threshold, a diaphragm plastic zone forms below the foundation’s base and along the outer sides of the front and back walls. The embedded section in the CDWAF significantly reduces the soil’s plastic failure below the bottom of the foundation.
- A parameter sensitivity analysis of the foundation’s horizontal bearing capacity reveals that the influence of cohesion, c′, on the bearing characteristics is almost negligible, and the elastic modulus, E, of soil has a direct impact on the horizontal bearing performance, while the internal friction angle, φ′, only affects the horizontal bearing performance once displacement reaches a certain threshold. For the CDWAF, when c′ increases from 18.6 kPa to 28.3 kPa, the horizontal bearing capacity of the foundation is almost no change; when φ′ increases from 11.4° to 29.3°, the horizontal bearing capacity of the foundation is increased by 67%; when E increases from 40 MPa to 100 MPa, the horizontal bearing capacity of the foundation is increased by 47%. Furthermore, within the load range considered in this study, the vertical load, V, has minimal influence on the foundation’s horizontal bearing capacity.
- By analyzing the bearing capacity of different types of foundations, it is found that compared to the traditional gravity cabinet foundation, the embedded section of the CDWAF effectively enhances its horizontal bearing capacity by 30%. The internal partition has a minor effect on the improvement of the bearing capacity by 6%, but it can substantially reduce the deformation of the wall and improve the stiffness and stability of the foundation.
- By comparing the load distribution ratios under the designed horizontal load, it is found that in cabinet foundations, the horizontal load is mainly borne by the soil resistance on the front and back walls, side friction resistance, and base friction, where the proportions are 45%, 32%, 23%, respectively. In contrast, for the CDWAF, the horizontal load is primarily carried by the soil resistance on the front and back walls and side friction resistance, where the proportions are 58% and 38%, while the distribution ratio of base friction decreases to 5%. Moreover, the embedded section of the CDWAF accounts for 27% of the load distribution, and this proportion increases with the applied load. This embedded section significantly improves the foundation’s horizontal bearing capacity, and at the same time, it changes the load-sharing mechanism of the foundation, shifting the load distribution from the base to the outer sides of the front and the back walls.
Author Contributions
Funding
Data Availability Statement
Conflicts of Interest
References
- Liu, M.H. Development and prospect of bridge underground diaphragm wall foundation. J. Chongqing Jiaotong Univ. Nat. Sci. 2021, 40, 41–51. [Google Scholar]
- Li, X.J.; Zhu, M.X.; Dai, G.L.; Wang, L.; Liu, J. Interface mechanical behavior of flexible piles under lateral loads in OWT systems. China Ocean Eng. 2023, 37, 484–494. [Google Scholar] [CrossRef]
- Li, X.J.; Dai, G.L.; Yin, Q.; Yang, X.Y.; Gong, W.M. A continuum-based model for a laterally loaded steel pipe pile in layered soils in offshore wind farms. Arab. J. Geosci. 2021, 14, 1–10. [Google Scholar] [CrossRef]
- Li, X.J.; Dai, G.L.; Zhu, M.X.; Wang, L.; Liu, J. A Simplified method for estimating the initial stiffness of monopile-soil interaction under lateral loads in offshore wind turbine systems. China Ocean Eng. 2023, 37, 165–174. [Google Scholar] [CrossRef]
- Li, X.J.; Dai, G.L.; Zhu, M.X.; Zhu, W.B.; Zhang, F. Investigation of the soil deformation around laterally loaded deep foundations with large diameters. Acta Geotechnica. 2024, 19, 2293–2314. [Google Scholar] [CrossRef]
- Li, X.J.; Dai, G.L. Closure to energy-based analysis of laterally loaded caissons with large diameters under small-strain conditions. Int. J. Geomech. 2023, 23, 07023008. [Google Scholar] [CrossRef]
- Wu, G.G. Key technology research and countermeasures of Yueyang Dongting Lake bridge. China Foreign Highw. 2013, 33, 110–111. [Google Scholar]
- Alessio, P. Innovative Bridge Design Handbook Construction, Rehabilitation and Maintenance, 2nd ed.; Butterworth-Heinemann: Oxford, UK, 2021. [Google Scholar] [CrossRef]
- Ya, G.; Wang, X.D.; Xian, R.; Yuan, Y. Analysis of collaborative bearing characteristics of the underground continuous wall-anchorage composite foundation of suspension bridge. Highway 2017, 62, 106–112. [Google Scholar]
- Luo, L.G.; Cui, L.C.; Shi, H.Y.; Guo, C.; Yi, S.P. Experimental study of bearing capacity of underground diaphragm wall-gravity anchorage composite foundation. Rock Soil Mech. 2019, 40, 1049–1058. [Google Scholar]
- Yin, Q.; Zhao, Y.; Gong, W.; Dai, G.; Zhu, M.; Zhu, W.; Xu, F. A fractal order creep-damage constitutive model of silty clay. Acta. Geotech. 2023, 18, 3997–4016. [Google Scholar] [CrossRef]
- Da, Z.Y.L.; Hai, Y.L.Z. Underground continuous wall shaft design method of field horizontal load test. Civ. Eng. Technol. 1980, 36, 48–57. (In Japanese) [Google Scholar]
- Masato, I.T.O.; Michio, O.; KAZUO, K. Load test on foundation. Horizontal load test on foundation of cast-in-site diaphragms wall of outer ring road in Tokyo. Found. Eng. Equip. 1996, 24, 67–71. (In Japanese) [Google Scholar]
- Lisan, D.F. Horizontal loading test on foundation. Found. Eng. Equip. 1996, 24, 27–33. (In Japanese) [Google Scholar]
- The Japan Public Works Research Institute. Underground Continuous Wall Foundation Engineering (Design Method); Kajima Institute Publishing: Tokyo, Japan, 1993. [Google Scholar]
- Japan Association of Diaphragm Wall. Outlook of underground continuous wall foundation. Found Eng. 2001, 29, 60–65. (In Japanese) [Google Scholar]
- Japan Railway Company Limited. Design Standards for Railway Structures-Elementary Structures; Maruzen Publishing: Tokyo, Japan, 2012. [Google Scholar]
- Li, Y.S. Model test study on north anchorage foundation of Jiangyin Yangtze River Highway Bridge. J. Tongji Univ. Nat. Sci. 1995, 2, 134–140. [Google Scholar]
- Li, T. Study on design method of bridge excavation foundation in loess area. Chin. J. Geotech. Eng. 1997, 19, 47–54. [Google Scholar]
- Poh, T.Y.; Wong, I.H. Effects of construction of diaphragm wall panels on adjacent ground: Field Trial. J. Geotech. Geoenvironmental. Eng. 1998, 124, 749–756. [Google Scholar] [CrossRef]
- Wen, H.; Cheng, Q.G.; Meng, F.C.; Cheng, X.D. Diaphragm wall-soil-cap interaction in rectangular closed diaphragm wall bridge foundations. Front. Struct. Civ. Eng. 2009, 3, 93–100. [Google Scholar]
- Song, Z. Study on Bearing Mechanism of Closed Diaphragm Wall as Bridge Foundation. Ph.D. Thesis, Southwest Jiaotong University, Chengdu, China, 2008. [Google Scholar]
- Song, Z.; Cheng, Q.G.; Gong, W.M.; Chen, X.D. In-situ vertical loading test on rectangular diaphragm wall in loess subgrade. Rock Soil Mech. 2008, 29, 2713–2718. [Google Scholar]
- Zuo, Y.Z.; Xu, W.; Xu, Z.Y. Centrifugal model tests on mechanical property of gridding continuous diaphragm wall in sand. Chin. J. Geotech. Eng. 2010, 32, 473–477. [Google Scholar]
- Liang, S.J.; Xu, W.; Chen, Y. Lateral deformation of cellular diaphragm wall at excavation stage. J. Southwest Jiaotong Univ. 2015, 50, 150–155+172. [Google Scholar]
- Luo, F.Y.; Ou, Y.P.; Zhang, X.Y. Sensitivity analysis of factors affecting horizontal displacement of circular diaphragm wall. West. Transp. Technol. 2019, 4, 1–3+193. [Google Scholar]
- Dai, G.L.; Zhou, X.Q.; Liu, Y.Z.; Liu, L.J.; Gong, W.M. Model test research on horizontal bearing capacity of closed diaphragm wall. Rock Soil Mech. 2011, 32, 185–189+197. [Google Scholar]
- Zhou, X.Q. Experiment on Closed Rectangular Diaphragm Wall Foundation Under Lateral Load. Master’s Thesis, Southeast University, Nanjing, China, 2011. [Google Scholar]
- Dai, G.L.; Gong, W.M.; Zhou, X.Q.; Liu, Y.Z.; Liu, L.J. Experiment and analysis on horizontal bearing capacity of single-chamber closed diaphragm wall. J. Build. Struct. 2012, 33, 67–73. [Google Scholar]
- Liu, Y.Z. Research on Bearing Mechanism of Closed Rectangular Diaphragm Wall Foundation Under Lateral Load. Master’s Thesis, Southeast University, Nanjing, China, 2012. [Google Scholar]
- Cao, G. Research on Displacement and Bearing Capacity of Rectangular Closed Diaphragm Walls Bridge Foundation. Ph.D. Thesis, Southeast University, Nanjing, China, 2021. [Google Scholar]
- Wang, Y.R. Research on Horizontal Bearing Characteristics of Split Shaft Diaphragm Wall Anchorage Foundation. Master’s Thesis, Southeast University, Nanjing, China, 2022. [Google Scholar]
- Peng, S.K. Research on Horizontal Bearing Characteristics of Multi-Chamber Diaphragm Wall Anchorage Foundation in Soft Soil. Master’s Thesis, Southeast University, Nanjing, China, 2022. [Google Scholar]
- Lin, Q.; Zhang, S.; Liu, H.; Shao, Z. Water saturation effects on the fracturing mechanism of sandstone excavating by TBM disc cutters. Arch. Civ. Mech. Eng. 2024, 24, 154. [Google Scholar] [CrossRef]
- Qin, W.; Li, X.; Dai, G.; Hu, P. Analytical penetration solutions of large-diameter open-ended piles subjected to hammering loads. J. Mar. Sci. Eng. 2022, 10, 885. [Google Scholar] [CrossRef]
- Qin, W.; Cai, S.; Dai, G.; Wang, D.; Chang, K. Soil resistance during driving of offshore large-diameter open-ended thin-wall pipe piles driven into clay by impact hammers. Comput. Geotech. 2023, 153, 105085. [Google Scholar] [CrossRef]
- Qin, W.; Cai, S.; Dai, G.; Wei, H. Analytical solutions of soil plug behaviors in open-ended pile driven by impact load. Acta Geotech. 2023, 18, 4183–4194. [Google Scholar] [CrossRef]
- Qin, W.; Gao, J.; Chang, K.; Dai, G.; Wei, H. Set-up effect of large-diameter open-ended thin-walled pipe piles driven in clay. Comput. Geotech. 2023, 159, 105459. [Google Scholar] [CrossRef]
- Wu, J.J. Vertical Bearing Behavior of Lattice-Shaped Diaphragm Wall as Bridge Foundations in soft Soil. Ph.D. Thesis, Southwest Jiaotong University, Chengdu, China, 2015. [Google Scholar]
- Prasad, Y.V.; Chari, T.R. Lateral capacity of model rigid piles in cohesionless soils. Soils Found. 1999, 39, 21–29. [Google Scholar] [CrossRef]
- Liu, M.M.; Yang, M.; Wang, H.J. Bearing behavior of wide-shallow bucket foundation for offshore wind turbines in drained silty sand. Ocean. Eng. 2014, 82, 169–179. [Google Scholar] [CrossRef]
- Faizi, K.; Faramarzi, A.; Dirar, S.; Chapman, D. Development of an analytical model for predicting the lateral bearing capacity of caisson foundations in cohesionless soils. Ocean. Eng. 2020, 218, 108112. [Google Scholar] [CrossRef]
- Design Standard and Explanation of Superstructure of Four-Country Liaison Bridge in Honshu, Japan; Bridge and Structure Engineering Society of China Highway Society: Beijing, China, 1989.
- Zhukov, N.V.; Balov, I.L. Investigation of the effect of a vertical surcharge on horizontal displacements and resistance of pile columns to horizontal loads. Soil Mech. Found. Eng. 1978, 15, 16–22. [Google Scholar] [CrossRef]
- Karapiperis, K.; Gerolymos, N. Combined loading of caisson foundations in cohesive soil: Finite element versus Winkler modeling. Comput. Geotech. 2014, 56, 100–120. [Google Scholar] [CrossRef]
- Karthigeyan, S.; Ramakrishna, V.; Rajagopal, K. Numerical investigation of the effect of vertical load on the lateral response of piles. J. Geotech. Geoenviron. Eng. 2007, 133, 512–521. [Google Scholar] [CrossRef]
- Anagnostopoulos, C.; Georgiadis, M. Interaction of axial and lateral pile responses. J. Geotech. Eng. 1993, 119, 793–798. [Google Scholar] [CrossRef]


























| Loading | Model | Soil | Natural Unit Weight γ/kN·m−3 | Cohesion c′/kPa | Internal Friction Angle φ′/° | Compression Modulus Es/MPa | Poison Ration v |
|---|---|---|---|---|---|---|---|
| Horizontal load H | Homogeneous soil | Silty clay | 18.10 | 18.6 | 11.4 | 14 | 0.35 |
| Composite loads VHM | Multi-layered soil | Sand | 19.10 | 7.2 | 31.5 | 5.6 | 0.33 |
| Silty clay | 18.10 | 18.6 | 11.4 | 14 | 0.35 | ||
| Dense sand | 19.40 | 7.9 | 32.2 | 18 | 0.30 |
| Loading Strategies | V/kN | M/kN·m | H/kN |
|---|---|---|---|
| VM0 | 5.35 × 105 | −8.80 × 107 | 0 |
| VM1 | 5.35 × 105 | −4.80 × 107 | 0 |
| VMH1 | 5.35 × 105 | −4.80 × 107 | 1.35 × 106 |
| VMH2 | 5.35 × 105 | −4.80 × 107 | 2.70 × 106 |
| VMH3 | 5.35 × 105 | −4.80 × 107 | 4.05 × 106 |
| Loading | In the Vertical Direction | Ratio | In the Horizontal Direction | Ratio |
|---|---|---|---|---|
| Component | i-V/% | Component | i-H/% | |
| VMH1 | Q | 43 | Q | 12 |
| J | 34 | J | 2 | |
| W1 | 8 | W1 + W2 | 53 | |
| W2 | 3 | W3o | 24 | |
| W3 | 15 | W3i | 13 |
| Item | Variables | c′/kPa | φ′/° | E/MPa |
|---|---|---|---|---|
| 1~2 | c′ | 28.3, 18.6 | 29.3 | 70 |
| 2~4 | φ′ | 18.6 | 29.3, 20, 11.4 | 70 |
| 4~6 | E | 18.6 | 11.4 | 70, 40, 100 |
| 7 | c′, φ′ | 31.8 | 6 | 70 |
Disclaimer/Publisher’s Note: The statements, opinions and data contained in all publications are solely those of the individual author(s) and contributor(s) and not of MDPI and/or the editor(s). MDPI and/or the editor(s) disclaim responsibility for any injury to people or property resulting from any ideas, methods, instructions or products referred to in the content. |
© 2025 by the authors. Licensee MDPI, Basel, Switzerland. This article is an open access article distributed under the terms and conditions of the Creative Commons Attribution (CC BY) license (https://creativecommons.org/licenses/by/4.0/).
Share and Cite
Yin, Q.; Wei, L.; Li, X.; Gong, W.; Yang, X.; Dai, G.; Peng, S. Finite Element Analysis of Horizontal Bearing Capacity for the Composite Diaphragm Wall Anchor Foundation. Buildings 2025, 15, 251. https://doi.org/10.3390/buildings15020251
Yin Q, Wei L, Li X, Gong W, Yang X, Dai G, Peng S. Finite Element Analysis of Horizontal Bearing Capacity for the Composite Diaphragm Wall Anchor Foundation. Buildings. 2025; 15(2):251. https://doi.org/10.3390/buildings15020251
Chicago/Turabian StyleYin, Qian, Leyong Wei, Xiaojuan Li, Weiming Gong, Xueying Yang, Guoliang Dai, and Shunkai Peng. 2025. "Finite Element Analysis of Horizontal Bearing Capacity for the Composite Diaphragm Wall Anchor Foundation" Buildings 15, no. 2: 251. https://doi.org/10.3390/buildings15020251
APA StyleYin, Q., Wei, L., Li, X., Gong, W., Yang, X., Dai, G., & Peng, S. (2025). Finite Element Analysis of Horizontal Bearing Capacity for the Composite Diaphragm Wall Anchor Foundation. Buildings, 15(2), 251. https://doi.org/10.3390/buildings15020251

