Insights into Gamma-Ray Spectrometry of Building Stones in the North Temple of the Great Ball Court, Archaeological Zone of Chichen Itza, Mexico
Abstract
1. Introduction
2. Historical and Geologic Context of the Study Area
3. Materials and Methods
3.1. Gamma-Ray Spectrometry Data Acquisition
3.2. Lithologic Description, Deterioration Patterns, and Weathering Conditions
3.3. Sampling, Petrography, and X-Ray Diffraction
3.4. Major Elements and Chemical Parameters Calculation
3.5. Petrophysical Tests
4. Results
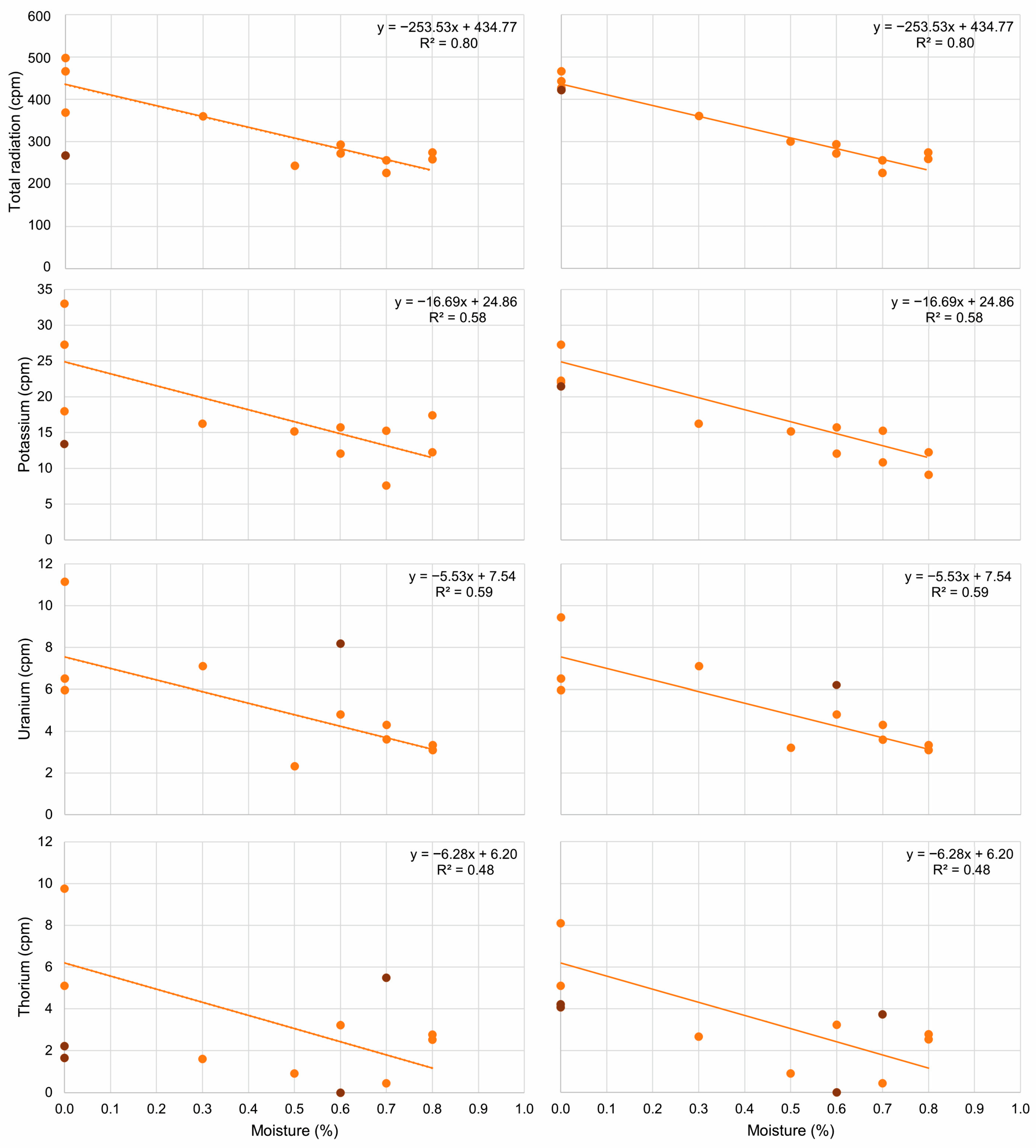
4.1. Gamma-Ray Spectrometry
4.2. Lithologic Description, Petrography, and Mineralogy
4.3. Stone Deterioration Patterns
4.4. Major Elements and Weathering
4.5. Petrophysical and Mechanical Properties
5. Discussion
6. Conclusions
Author Contributions
Funding
Data Availability Statement
Acknowledgments
Conflicts of Interest
Abbreviations
| NDT | Non-destructive test |
| GRS | Gamma-ray spectrometry |
| YP | Yucatan Platform |
| XRD | X-ray diffraction |
| MAW | Mean atomic weight |
| MFW | Mafic-felsic-weathering |
| DWL | Dry weight loss |
| cpm | Counts per minute |
| XRF | X-ray fluorescence |
References
- Fontaine, L.; Hendrickx, R.; De Clercq, H. Deterioration mechanisms of the compact clay-bearing limestone of Tournai used in the Romanesque portals of the Tournai Cathedral (Belgium). Environ. Earth Sci. 2015, 74, 3207–3221. [Google Scholar] [CrossRef]
- Wilhelm, K.; Viles, H.; Burke, O.; Mayaud, J. Surface hardness as a proxy for weathering behaviour of limestone heritage: A case study on dated headstones on the Isle of Portland, UK. Environ. Earth Sci. 2016, 75, 931. [Google Scholar] [CrossRef]
- Fais, S.; Cuccuru, F.; Ligas, P.; Casula, G.; Bianchi, M.G. Integrated ultrasonic, laser scanning and petrographical characterisation of carbonate building materials on an architectural structure of a historic building. Bull. Eng. Geol. Environ. 2017, 76, 71–84. [Google Scholar] [CrossRef]
- Orenday-Tapia, E.E.; Pacheco-Martínez, J.; Padilla-Ceniceros, R.; López-Doncel, R.A. In situ and nondestructive characterization of mechanical properties of heritage stone masonry. Environ. Earth Sci. 2018, 77, 286. [Google Scholar] [CrossRef]
- Hatır, M.E.; Korkanç, M.; Başar, M.E. Evaluating the deterioration effects of building stones using NDT: The Küçükköy Church, Cappadocia Region, central Turkey. Bull. Eng. Geol. Environ. 2019, 78, 3465–3478. [Google Scholar] [CrossRef]
- Theodoridou, M.; Török, Á. In situ investigation of stone heritage sites for conservation purposes: A case study of the Székesfehérvár Ruin Garden in Hungary. Prog. Earth Planet. Sci. 2019, 6, 15. [Google Scholar] [CrossRef]
- Williams-Thorpe, O.; Webb, P.C.; Thorpe, R.S. Non-destructive portable gamma ray spectrometry used in provenancing Roman granitoid columns from Leptis Magna, North Africa. Archaeometry 2000, 42, 77–99. [Google Scholar] [CrossRef]
- Monna, F.; Puertas, A.; Lévêque, F.; Losno, R.; Fronteau, G.; Marin, B.; Dominik, J.; Petit, C.; Forel, B.; Chateau, C. Geochemical records of limestone façades exposed to urban atmospheric contamination as monitoring tools? Atmos. Environ. 2008, 42, 999–1011. [Google Scholar] [CrossRef]
- Batista-Rodríguez, J.A.; López-Saucedo, F.J.; Almaguer-Carmenates, Y.; Motas-Ortíz, J.L.; Nerio-Rocha, J. Assessment by portable gamma spectrometry of the radiological hazard associated with built environments in northeastern Mexico. Int. J. Environ. Sci. Technol. 2022, 19, 8645–8660. [Google Scholar] [CrossRef]
- Righi, S.; Bruzzi, L. Natural radioactivity and radon exhalation in building materials used in Italian dwellings. J. Environ. Radioact. 2006, 88, 158–170. [Google Scholar] [CrossRef]
- Sonkawade, R.G.; Kant, K.; Muralithar, S.; Kumar, R.; Ramola, R.C. Natural radioactivity in common building construction and radiation shielding materials. Atmos. Environ. 2008, 42, 2254–2259. [Google Scholar] [CrossRef]
- Moharram, B.M.; Suliman, M.N.; Zahran, N.F.; Shennawy, S.E.; El Sayed, A.R. External exposure doses due to gamma emitting natural radionuclides in some Egyptian building materials. Appl. Radiat. Isot. 2012, 70, 241–248. [Google Scholar] [CrossRef] [PubMed]
- El-Nahal, M.A.; Alawy, M.K.; Elsafi, M. Evaluation of radiological hazards associated with some Egyptian marble and granite rocks. Sci. Rep. 2024, 14, 28838. [Google Scholar] [CrossRef]
- Ruffell, A.; Worden, R. Palaeoclimate analysis using spectral gamma-ray data from the Aptian (Cretaceous) of southern England and southern France. Palaeogeogr. Palaeoclimatol. Palaeoecol. 2000, 155, 265–283. [Google Scholar] [CrossRef]
- Chen, M.Q.F.; Chan, L.S. In-situ gamma-ray spectrometric study of weathered volcanic rocks in Hong Kong. Earth Surf. Process. Landf. 2002, 27, 613–625. [Google Scholar] [CrossRef]
- Carrier, F.; Bourdon, B.; Pili, É.; Truffert, C.; Wyns, R. Airborne gamma-ray spectrometry to quantify chemical erosion processes. J. Geochem. Explor. 2006, 88, 266–270. [Google Scholar] [CrossRef]
- Schnyder, J.; Ruffell, A.; Deconinck, J.-F.; Baudin, F. Conjunctive use of spectral gamma-ray logs and clay mineralogy in defining late Jurassic–early Cretaceous palaeoclimate change (Dorset, U.K.). Palaeogeogr. Palaeoclimatol. Palaeoecol. 2006, 229, 303–320. [Google Scholar] [CrossRef]
- Chan, L.S.; Wong, P.W.; Chen, Q.F. Abundances of radioelements (K, U, Th) in weathered igneous rocks in Hong Kong. J. Geophys. Eng. 2007, 4, 285–292. [Google Scholar] [CrossRef]
- Wilford, J. A weathering intensity index for the Australian continent using airborne gamma-ray spectrometry and digital terrain analysis. Geoderma 2012, 183–184, 124–142. [Google Scholar] [CrossRef]
- Ruffell, A. Do spectral gamma ray data really reflect humid–arid palaeoclimates? A test from Palaeogene interbasaltic weathered horizons at the Giant’s Causeway, N. Ireland. Proc. Geol. Assoc. 2016, 127, 18–28. [Google Scholar] [CrossRef]
- Holbrook, W.S.; Marcon, V.; Bacon, A.R.; Brantley, S.L.; Carr, B.J.; Flinchum, B.A.; Richter, D.D.; Riebe, C.S. Links between physical and chemical weathering inferred from a 65-m-deep borehole through Earth’s critical zone. Sci. Rep. 2019, 9, 4495. [Google Scholar] [CrossRef]
- Papadopoulos, A. 226Ra/238U and 228Th/228Ra disequilibrium as weathering indices in beach sand sediments associated with granitoids from Cyclades. Greece. Appl. Geochem. 2019, 100, 223–233. [Google Scholar] [CrossRef]
- Sanjurjo-Sánchez, J.; Arce-Chamorro, C.; Couto, M.; Alves, C. Non-destructive assessment of weathering in granite blocks of historical buildings: In situ gamma-ray spectrometry (GRS). In Conserving Cultural Heritage, 1st ed.; Mosquera, M.J., Almoraima-Gil, M.L., Eds.; CRC Press: London, UK, 2018; pp. 107–109. [Google Scholar]
- Méndez-Gaona, A. Medición de Rayos Gamma como Método para Evaluar el Deterioro en las Rocas de Construcción de Real de Catorce, San Luis Potosí. Master’s Thesis, Universidad Autónoma de San Luis Potosí, San Luis Potosí, México, 2020. [Google Scholar]
- Hernández-Santomé, A.C.; Sanjurjo-Sánchez, J.; Alves, C. Use of hand-held gamma-ray spectrometry to assess decay of granite ashlars in historical buildings of NW Spain (Barbanza, Galicia). J. Cult. Herit. 2025, 71, 20–29. [Google Scholar] [CrossRef]
- Méndez-Gaona, A.; Yutsis, V.; López-Doncel, R.A. In situ gamma-ray spectrometry as a non-destructive test for the assessment of building stones: Methodology, application, and interpretation. Environ. Earth Sci. 2025, 84, 380. [Google Scholar] [CrossRef]
- IAEA. Guidelines for Radioelement Mapping Using Gamma Ray Spectrometry Data; International Atomic Energy Agency: Vienna, Austria, 2003; pp. 114–136. [Google Scholar]
- UNESCO. World Heritage Convention. Available online: https://whc.unesco.org/document/541 (accessed on 17 June 2025).
- Chávez, R.E.; Tejero-Andrade, A.; Cifuentes-Nava, G.; Argote-Espino, D.L.; Hernández-Quintero, E. Karst detection beneath the pyramid of El Castillo, Chichen Itza, Mexico, by non-invasive ERT-3D methods. Sci. Rep. 2018, 8, 15391. [Google Scholar] [CrossRef]
- Tejero-Andrade, A.; Argote-Espino, D.L.; Cifuentes-Nava, G.; Hernández-Quintero, E.; Chávez, R.E.; García-Serrano, A. ‘Illuminating’ the interior of Kukulkan’s Pyramid, Chichén Itzá, Mexico, by means of a non-conventional ERT geophysical survey. J. Archaeol. Sci. 2018, 90, 1–11. [Google Scholar] [CrossRef]
- García-Solís, C.A.; Jáidar-Benavides, Y.; Quintana-Owen, P.; Reyes-Trujeque, J.; Escalante-Hernández, M.F. El deterioro de los elementos pétreos con color de la Subestructura de Guerreros en Chichén Itzá: Lineamientos prácticos para el control de sales. In Criterios de Conservación del Patrimonio en Piedra, 1st ed.; Jáidar-Benavides, Y., Magar-Meurs, V., Ruiz-Martín, M.C., Eds.; Secretaría de Cultura, INAH, UNAM-IIE, ICCROM: Ciudad de México, Mexico, 2025; pp. 349–371. [Google Scholar]
- Juárez-Rodríguez, O.; Argote-Espino, D.L.; Santos-Ramírez, M.; López-García, P. Portable XRF analysis for the identification of raw materials of the Red Jaguar sculpture in Chichén Itzá, Mexico. Quat. Int. 2018, 483, 148–159. [Google Scholar] [CrossRef]
- Evans, S.T. Postclassic cultures of Mesoamerica. In Encyclopedia of Archaeology, 1st ed.; Pearsall, D.M., Ed.; Elsevier: Amsterdam, The Netherlands, 2008; pp. 209–216. [Google Scholar]
- Baudez, C.-F. Una Historia de la Religión de los Antiguos Mayas; Centro de Estudios Mexicanos y Centroamericanos: Ciudad de México, Mexico, 2004; pp. 63–292. [Google Scholar]
- Bíró, P.; Pérez de Heredia, E. Los rituales de entronización de los príncipes “Turbante de Serpiente” de Chichén Itzá y Hunac Ceel de Mayapán. Lat. Am. Antiq. 2021, 32, 292–309. [Google Scholar] [CrossRef]
- Baudez, C.-F.; Latsanopoulos, N. Political structure, military training, and ideology at Chichen Itza. Anc. Mesoam. 2010, 21, 1–20. [Google Scholar] [CrossRef]
- Videla, H.A.; Guiamet, P.S.; Gómez de Saravia, S. Biodeterioration of Mayan archaeological sites in the Yucatan Peninsula, Mexico. Int. Biodeterior. Biodegrad. 2000, 46, 335–341. [Google Scholar] [CrossRef]
- Straulino-Mainou, L.; Sedov, S.; Michelet, D.; Balanzario-Granados, S. Weathering of carbonate materials in ancient Maya constructions (Río Bec and Dzibanché): Limestone and stucco deterioration patterns. Quat. Int. 2013, 315, 87–100. [Google Scholar] [CrossRef]
- Straulino Mainou, L.; Sedov, S.; Soler Arechalde, A.M.; Pi Puig, T.; Villa, G.; Balanzario Granados, S.; Doménech-Carbó, M.-T.; Osete-Cortina, L.; Leonard, D. Maya lime mortars—Relationship between archaeomagnetic dating, manufacturing technique, and architectural function—The Dzibanché case. Geosciences 2016, 6, 49. [Google Scholar] [CrossRef]
- Espinosa-Morales, Y.; Alarcón, A.L.; Domínguez-Carrasco, M.d.R.; Martínez-Miranda, V.; Arteaga-Arcos, J.C.; Silva-León, I.; Reyes, J. An approach to identify and understand the main processes of weathering that affect the pre-Hispanic stelae located in the Calakmul biosphere reserve in Campeche, Mexico. Archaeometry 2021, 63, 843–859. [Google Scholar] [CrossRef]
- García-Solís, C.A.; Quintana-Owen, P.; López-Doncel, R.A.; Illescas-Salinas, J.F. Microfacial analysis on the building stones of the Maya site of Calakmul. Environ. Earth Sci. 2023, 82, 299. [Google Scholar] [CrossRef]
- López-Torres, M.A. Mecanismos de Descomposición en la Roca Caliza del Templo Norte, Zona Arqueológica de Chichén Itzá, Yucatán. Master’s Thesis, Universidad Autónoma de San Luis Potosí, San Luis Potosí, Mexico, 2025. [Google Scholar]
- López-Ramos, E. Estudio geológico de la Península de Yucatán. Bol. Asoc. Mex. Geól. Pet. 1973, 25, 23–75. [Google Scholar]
- Ward, W.C.; Keller, G.; Stinnesbeck, W.; Adatte, T. Yucatán subsurface stratigraphy: Implications and constraints for the Chicxulub impact. Geology 1995, 23, 873–876. [Google Scholar] [CrossRef]
- Stinnesbeck, W.; Keller, G.; Adatte, T.; Harting, M.; Stüben, D.; Istrate, G.; Kramar, U. Yaxcopoil-1 and the Chicxulub impact. Int. J. Earth Sci. 2004, 93, 1042–1065. [Google Scholar] [CrossRef]
- Urrutia-Fucugauchi, J.; Arellano-Catalán, O.; Pérez-Cruz, L.; Romero-Galindo, I.A. Chicxulub crater joint gravity and magnetic anomaly analysis: Structure, asymmetries, impact trajectory and target structures. Pure Appl. Geophys. 2022, 179, 2735–2756. [Google Scholar] [CrossRef]
- Cardoso-Vázquez, E.A.; Sánchez-Garrido, E.; Rafael-Hernández, J.A. Carta Geológica-Minera Campeche E15-3 Escala 1:250,000 Estado de Campeche; Consejo de Recursos Minerales: Ciudad de México, Mexico, 2004; pp. 7–34.
- Zarate-Barradas, R.G.; Lemus-Bustos, O.; Miranda-Huerta, A.; Cureño-Suriano, R. Carta Geológico-Minera y Geoquímica Mérida F16-10 Escala 1:250,000 Estados de Yucatán, Campeche y Quintana Roo; Servicio Geológico Mexicano: Ciudad de México, Mexico, 2005; pp. 6–21.
- Servicio Geológico Mexicano. Available online: https://mapserver.sgm.gob.mx/Cartas_Online/geologia/116_F16-10_GM.pdf (accessed on 25 June 2025).
- Radiation Solutions Inc. RS-125/230 User Manual; Radiation Solutions Inc.: Mississauga, ON, Canada, 2021; pp. 71–73. [Google Scholar]
- Løvborg, L.; Wollenberg, H.; Sørensen, P.; Hansen, J. Field determination of uranium and thorium by gamma-ray spectrome-try, exemplified by measurements in the Ilímaussaq Alkaline Intrusion, South Greenland. Econ. Geol. 1971, 66, 368–384. [Google Scholar] [CrossRef]
- Myers, K.J.; Bristow, C.S. Detailed sedimentology and gamma-ray log characteristics of a Namurian deltaic succession II: Gamma-ray logging. In Deltas: Sites and Traps for Fossil Fuels; Whateley, M.K.G., Pickering, K.T., Eds.; Geological Society: London, UK, 1989; pp. 81–88. [Google Scholar]
- ICOMOS Open Archive. Available online: https://publ.icomos.org/publicomos/jlbSai?html=Pag&page=Pml/Not&base=technica&ref=CD7029A4212268603ABA998F3F471703 (accessed on 25 June 2025).
- Beach, T. Soil constraints on northwest Yucatán, Mexico: Pedoarchaeology and Maya subsistence at Chunchucmil. Geoarchaeology 1998, 13, 759–791. [Google Scholar] [CrossRef]
- Arnold, D.E. Maya blue and palygorskite: A second possible preColumbian source. Anc. Mesoam. 2005, 16, 51–62. [Google Scholar] [CrossRef]
- Dunham, R.J. Classification of carbonate rocks according to depositional textures. In Classification of Carbonate Rocks; Ham, W.E., Ed.; American Association of Petroleum Geologists (AAPG): Tulsa, OK, USA, 1962; pp. 108–121. [Google Scholar]
- Embry, A.F.; Klovan, J.E. A Late Devonian reef tract on northeastern Banks Island, N.W.T. Bull. Can. Pet. Geol. 1971, 19, 730–781. [Google Scholar]
- Lozano, R.; Bernal, J.P. Characterization of a new set of eight geochemical reference materials for XRF major and trace element analysis. Rev. Mex. Cienc. Geol. 2005, 22, 329–344. [Google Scholar]
- Birch, F. The velocity of compressional waves in rocks to 10 Kilobars: 2. J. Geophys. Res. 1961, 66, 2199–2224. [Google Scholar] [CrossRef]
- Ohta, T.; Arai, H. Statistical empirical index of chemical weathering in igneous rocks: A new tool for evaluating the degree of weathering. Chem. Geol. 2007, 240, 280–297. [Google Scholar] [CrossRef]
- Siegesmund, S.; Dürrast, H. Physical and mechanical properties of rocks. In Stone in Architecture: Properties, Durability, 5th ed.; Siegesmund, S., Snethlage, R., Eds.; Springer: Berlin, Germany, 2014; pp. 97–224. [Google Scholar]
- Siedel, H.; Siegesmund, S. Characterization of stone deterioration on buildings. In Stone in Architecture: Properties, Durability, 5th ed.; Siegesmund, S., Snethlage, R., Eds.; Springer: Berlin, Germany, 2014; pp. 349–414. [Google Scholar]
- Steiger, M.; Charola, A.E.; Sterflinger, K. Weathering and deterioration. In Stone in Architecture: Properties, Durability, 5th ed.; Siegesmund, S., Snethlage, R., Eds.; Springer: Berlin, Germany, 2014; pp. 225–316. [Google Scholar]
- González-Gómez, W.S.; Quintana, P.; Gómez-Cornelio, S.; García-Solis, C.A.; Sierra-Fernández, A.; Ortega-Morales, O.; De la Rosa-García, S.C. Calcium oxalates in biofilms on limestone walls of Maya buildings in Chichén Itzá, Mexico. Environ. Earth Sci. 2018, 77, 230. [Google Scholar] [CrossRef]
- Rider, M.H. The Geological Interpretation of Well Logs, 2nd ed.; Rider-French Consulting Ltd.: Sutherland, UK, 2002; pp. 67–90. [Google Scholar]
- Ceryan, Ş.; Tudes, S.; Ceryan, N. Influence of weathering on the engineering properties of Harsit granitic rocks (NE Turkey). Bull. Eng. Geol. Environ. 2008, 67, 97–104. [Google Scholar] [CrossRef]
- Langmuir, D.; Herman, J.S. The mobility of thorium in natural waters at low temperatures. Geochim. Cosmochim. Acta 1980, 44, 1753–1766. [Google Scholar] [CrossRef]
- Scheepers, R.; Rozendaal, A. Redistribution and fractionation of U, Th and rare-earth elements during weathering of subalkaline granites in SW Cape Province, South Africa. J. Afr. Earth Sci. 1993, 17, 41–50. [Google Scholar] [CrossRef]
- Gunn, P.J.; Minty, B.R.S.; Milligan, P.R. The airborne gamma-ray spectrometric response over arid Australian Terranes. In Fourth Decennial International Conference on Mineral Exploration; Gubins, A.G., Ed.; Prospectors and Developers Association of Canada: Toronto, ON, Canada, 1997; pp. 733–740. [Google Scholar]
- Bauluz, B.; Mayayo, M.J.; Fernández-Nieto, C.; González-López, J.M. Geochemistry of Precambrian and Paleozoic siliciclastic rocks from the Iberian Range (NE Spain): Implications for source-area weathering, sorting, provenance, and tectonic setting. Chem. Geol. 2000, 168, 135–150. [Google Scholar] [CrossRef]
- Ruffell, A.; McKinley, J.M.; Lloyd, C.D.; Graham, C. Th/K and Th/U ratios from spectral gamma-ray surveys improve the mapped definition of subsurface structures. J. Environ. Eng. Geophys. 2006, 11, 53–61. [Google Scholar] [CrossRef]
- Serra, O. Fundamentals of Well-Log Interpretation 2 the Interpretation of Logging Data; Elsevier: Amsterdam, The Netherlands, 1986; pp. 61–107. [Google Scholar]
- Rodríguez Pérez, I.; Vasconcelos, G.; Lourenço, P.B.; Quintana, P.; García-Solís, C.A.; Dionísio, A. Physical-mechanical characterization of limestones from Yucatan churches, Mexico. J. Build. Eng. 2021, 44, 102895. [Google Scholar] [CrossRef]
- Sanjurjo-Sánchez, J.; Arce-Chamorro, C.; Alves, C.; Sánchez-Pardo, J.C.; Blanco-Rotea, R.; Costa-García, J.M. Using in situ gamma ray spectrometry (GRS) exploration of buried archaeological structures: A case study from NW Spain. J. Cult. Herit. 2018, 34, 247–254. [Google Scholar] [CrossRef]












| Sample | Matrix | Allochems | Main Classification | Secondary Classification |
|---|---|---|---|---|
| B1 | Micrite | Clay intraclasts, quartz | Floatstone | Mudstone–wackestone |
| Dolosparite | Peloids | Grainstone | ||
| B2 | Micrite | Calcareous and clay intraclasts | Floatstone | Mudstone |
| Dolosparite | Peloids | Grainstone | ||
| C1 | Micrite | Coralline and green algae, benthic foraminifera, gastropods | Bindstone | Mudstone–packstone |
| C2 | Micrite | Coralline and green algae, benthic foraminifera, gastropods | Wackestone-packstone | Mudstone |
| C3 | Micrite | Coralline algae | Bindstone | Mudstone |
| CL1 | Micrite | Coralline algae | Bindstone | Mudstone |
| Sparite | Peloids, benthic foraminifera | Grainstone | ||
| CL2 | Micrite | Coralline and green algae, benthic foraminifera, gastropods, peloids | Bindstone | Mudstone–packstone |
| Micrite-sparite | Grainstone | |||
| L1 | Sparite | Calcareous intraclasts, peloids | Grainstone | Wackestone |
| Micrite | Coralline algae, benthic foraminifera | Mudstone | ||
| L2 | Sparite | Oncoids, peloids | Grainstone | Mudstone |
| Micrite | Coralline algae | |||
| CIAC | Sparite | Benthic foraminifera, peloids | Grainstone | Mudstone |
| Micrite |
| Sample | B1 | B2 | C1 | C2 | C3 | CL1 | CL2 | L1 | L2 | CIAC | CISAS | CISUE |
|---|---|---|---|---|---|---|---|---|---|---|---|---|
| SiO2 | 5.28 | 3.93 | <0.05 | <0.05 | <0.05 | <0.05 | <0.05 | 0.18 | 1.08 | 1.15 | 0.62 | 43.02 |
| TiO2 | 0.202 | 0.172 | 0.005 | <0.004 | <0.004 | 0.005 | <0.004 | 0.010 | 0.028 | 0.036 | 0.005 | 1.029 |
| Al2O3 | 4.01 | 2.82 | 0.13 | 0.02 | 0.19 | 0.10 | 0.02 | 0.41 | 0.99 | 1.16 | 0.50 | 29.07 |
| Fe2O3 | 1.307 | 1.111 | <0.006 | <0.006 | <0.006 | <0.006 | <0.006 | <0.006 | 0.218 | 0.132 | <0.006 | 7.943 |
| MgO | 0.070 | 0.172 | 0.004 | 0.004 | 0.003 | 0.003 | 0.004 | 0.005 | 0.005 | 0.011 | 0.004 | 0.086 |
| MnO | 0.577 | 0.295 | 0.363 | 0.185 | 0.588 | 0.322 | 0.228 | 0.402 | 0.955 | 0.221 | 0.244 | 0.817 |
| CaO | 48.776 | 51.456 | 57.127 | 58.131 | 56.393 | 56.998 | 57.852 | 56.752 | 54.805 | 55.679 | 56.842 | 1.512 |
| Na2O | <0.003 | <0.003 | 0.005 | 0.004 | <0.003 | 0.018 | 0.014 | <0.003 | <0.003 | <0.003 | <0.003 | 0.024 |
| K2O | 0.284 | 0.253 | 0.049 | 0.038 | 0.060 | 0.035 | 0.033 | 0.076 | 0.112 | 0.103 | 0.108 | 1.527 |
| P2O5 | 0.033 | 0.026 | 0.020 | 0.014 | 0.020 | 0.022 | 0.016 | 0.018 | 0.026 | 0.014 | 0.012 | 0.086 |
| LOI | 39.19 | 39.54 | 42.15 | 41.32 | 42.17 | 42.36 | 41.83 | 41.55 | 41.82 | 41.35 | 41.75 | 14.61 |
| Total | 99.729 | 99.775 | 99.853 | 99.716 | 99.424 | 99.863 | 99.997 | 99.403 | 100.039 | 99.856 | 100.085 | 99.727 |
| MAW 1 | 26.44 | 26.89 | 27.94 | 27.99 | 27.88 | 27.95 | 27.98 | 27.86 | 27.50 | 27.59 | 27.79 | 21.22 |
| MFW 2 | 99.63 | 99.51 | 32.07 | 18.97 | 52.52 | 6.91 | 4.04 | 77.78 | 96.47 | 97.25 | 79.42 | 99.66 |
| Sample | Matrix Density (g/cm3) | Bulk Density (g/cm3) | Porosity (%) | W Value X Axis (kg/m2t−1) | W Value Y Axis (kg/m2t−1) | Anisotropy (%) | DWL (%) |
|---|---|---|---|---|---|---|---|
| C1 | 2.67 | 2.39 | 10.48 | 1.21 | 1.02 | 15.70 | −0.78 |
| C2 | 2.71 | 2.33 | 13.93 | 0.83 | 1.31 | 36.64 | −1.40 |
| C3 | 2.66 | 2.01 | 24.41 | 2.70 | 4.62 | 41.56 | −2.15 |
Disclaimer/Publisher’s Note: The statements, opinions and data contained in all publications are solely those of the individual author(s) and contributor(s) and not of MDPI and/or the editor(s). MDPI and/or the editor(s) disclaim responsibility for any injury to people or property resulting from any ideas, methods, instructions or products referred to in the content. |
© 2025 by the authors. Licensee MDPI, Basel, Switzerland. This article is an open access article distributed under the terms and conditions of the Creative Commons Attribution (CC BY) license (https://creativecommons.org/licenses/by/4.0/).
Share and Cite
Méndez-Gaona, A.; Yutsis, V.; López-Doncel, R.A.; García-Solís, C.A.; Aguillón-Robles, A. Insights into Gamma-Ray Spectrometry of Building Stones in the North Temple of the Great Ball Court, Archaeological Zone of Chichen Itza, Mexico. Buildings 2025, 15, 2949. https://doi.org/10.3390/buildings15162949
Méndez-Gaona A, Yutsis V, López-Doncel RA, García-Solís CA, Aguillón-Robles A. Insights into Gamma-Ray Spectrometry of Building Stones in the North Temple of the Great Ball Court, Archaeological Zone of Chichen Itza, Mexico. Buildings. 2025; 15(16):2949. https://doi.org/10.3390/buildings15162949
Chicago/Turabian StyleMéndez-Gaona, Alejandro, Vsevolod Yutsis, Rubén Alfonso López-Doncel, Claudia Araceli García-Solís, and Alfredo Aguillón-Robles. 2025. "Insights into Gamma-Ray Spectrometry of Building Stones in the North Temple of the Great Ball Court, Archaeological Zone of Chichen Itza, Mexico" Buildings 15, no. 16: 2949. https://doi.org/10.3390/buildings15162949
APA StyleMéndez-Gaona, A., Yutsis, V., López-Doncel, R. A., García-Solís, C. A., & Aguillón-Robles, A. (2025). Insights into Gamma-Ray Spectrometry of Building Stones in the North Temple of the Great Ball Court, Archaeological Zone of Chichen Itza, Mexico. Buildings, 15(16), 2949. https://doi.org/10.3390/buildings15162949

