Evaluation of the Visual Environment of Community Third Places Based on Emotional Perceptions
Abstract
1. Introduction
2. Materials and Methods
2.1. Selection of Visual Environment Factors
2.2. Evaluation Indicators
2.3. Subjects
2.4. Experimental Procedure
3. Results
3.1. Perception Evaluation in Different Visual Environment of Community Third Places
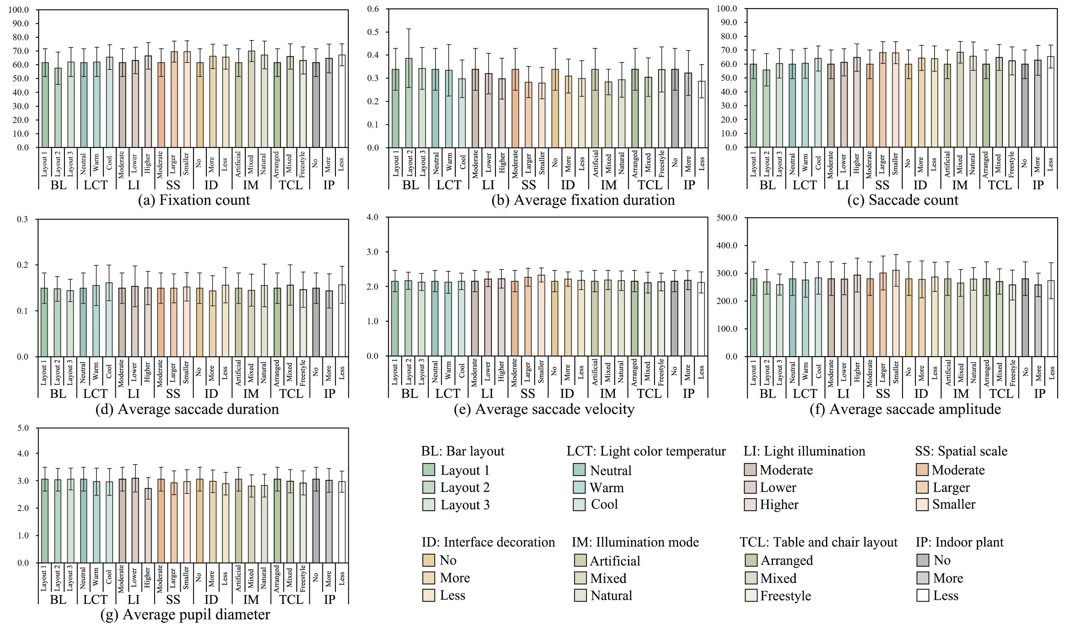
3.2. Physiological Feedback in Different Visual Environment of Community Third Places
3.3. Correlation Analysis Between Perception Evaluation and Physiological Feedback
4. Discussion
4.1. The Effect of Visual Environment of Community Third Places on Perception Evaluation
4.2. The Effect of Visual Environment of Community Third Places on Physiological Feedback
4.3. Optimization Strategies for Visual Environment of Community Third Places Based on Emotional Perception
4.4. Limitations and Further Research
5. Conclusions
Author Contributions
Funding
Data Availability Statement
Acknowledgments
Conflicts of Interest
Abbreviations
| BL | Bar layout |
| LCT | Light color temperature |
| LI | Light illumination |
| SS | Spatial scale |
| ID | Interface decoration |
| IM | Illumination mode |
| TCL | Table and chair layout |
| IP | Indoor plant |
Appendix A
| Visual Environmental Factor | Principal Constituent | |||||
| 1 | 2 | 3 | 4 | 5 | 6 | |
| Space length–width ratio | 0.779 | |||||
| Spatial height–width ratio | 0.738 | |||||
| Spatial shape | 0.649 | |||||
| Spatial enclosure | 0.644 | |||||
| Spatial curvature | 0.600 | |||||
| Spatial scale | 0.567 | |||||
| Window position | 0.780 | |||||
| Window size | 0.772 | |||||
| Window shading mode | 0.649 | |||||
| Window shape | 0.638 | |||||
| Door size | 0.533 | |||||
| Door position | 0.531 | |||||
| Light illumination | 0.823 | |||||
| Light color temperature | 0.669 | |||||
| Illumination mode | 0.654 | |||||
| Interface decoration | 0.769 | |||||
| Interface color | 0.747 | |||||
| Bar layout | 0.455 | |||||
| Table and chair type | 0.630 | |||||
| Table and chair layout | 0.583 | |||||
| Table and chair color | 0.557 | |||||
| Table and chair number | 0.512 | |||||
| Window plant | 0.831 | |||||
| Indoor plant | 0.717 | |||||
References
- Cai, M.; Xiang, L.; Ng, E. How does the visual environment influence pedestrian physiological stress? Evidence from high-density cities using ambulatory technology and spatial machine learning. Sustain. Cities Soc. 2023, 96, 104695. [Google Scholar] [CrossRef]
- Shahidi, R.; Golmohammadi, R.; Babamiri, M.; Faradmal, J.; Aliabadi, M. Effect of warm/cool white lights on visual perception and mood in warm/cool color environments. EXCLI J. 2021, 20, 1379–1393. [Google Scholar] [PubMed]
- Oldenburg, R. The Great Good Place: Cafes, Coffee Shops, Community Centers, Beauty Parlors, General Stores, Bars, Hangouts, and How They Get You Through the Day; Paragon House: St. Paul, MN, USA, 1989. [Google Scholar]
- Project for Public Spaces. What Makes a Successful Place. Available online: http://www.pps.org/reference/grplacefeat/ (accessed on 30 December 2009).
- Glover, T.D.; Parry, D.C. A third place in the everyday lives of people living with cancer: Functions of Gilda’ s Club of Greater Toronto. Health Place 2009, 15, 97–106. [Google Scholar] [CrossRef]
- Chung, M.J. The Study of the Relationships among the Franchise Coffee Shops’ Servicescape, The Third Place Characteristics, Emotional Responses and Store Royalty. J. Tour. Leis. Res. 2016, 28, 217–237. [Google Scholar]
- Lee, N. Built Environment and Psychological Well-Being: The Role of The Third Place and Neighborhood Walkability. Ph.D. Thesis, University of California, Irvine, CA, USA, 2021. [Google Scholar]
- Biglin, J. Photovoice accounts of third places: Refugee and asylum seeker populations’ experiences of therapeutic space. Health Place 2021, 71, 102663. [Google Scholar] [CrossRef]
- Rosenbaum, M.S. Exploring the Social Supportive Role of Third Places in Consumers’ Lives. J. Tour. Leis. Res. 2006, 9, 59–72. [Google Scholar] [CrossRef]
- Fong, P.; Haslam, C.; Cruwys, T.; Haslam, S.A. “There’s a Bit of a Ripple-effect”: A Social Identity Perspective on the Role of Third-Places and Aging in Place. Environ. Behav. 2021, 53, 540–568. [Google Scholar] [CrossRef]
- Stave, K.S. In Search of a Third Place on Campus: An Exploration of the Effects of Built Space on Students’ Sense of Belonging. Ph.D. Thesis, Portland State University, Portland, OR, USA, 2020. [Google Scholar]
- Kim, S.; Park, H.; Choo, S. Effects of Changes to Architectural Elements on Human Relaxation-Arousal Responses: Based on VR and EEG. Int. J. Environ. Res. Public Health 2021, 18, 4305. [Google Scholar] [CrossRef]
- Presti, P.; Ruzzon, D.; Avanzini, P.; Caruana, F.; Rizzolatti, G.; Vecchiato, G. Measuring arousal and valence generated by the dynamic experience of architectural forms in virtual environments. Sci. Rep. 2022, 12, 13376. [Google Scholar] [CrossRef]
- Vartanian, O.; Navarrete, G.; Chatterjee, A.; Brorson Fich, L.; Gonzalez-Mora, J.L.; Leder, H.; Modroño, C.; Nadal, M.; Rostrup, N.; Skov, M. Architectural design and the brain: Effects of ceiling height and perceived enclosure on beauty judgments and approach-avoidance decisions. J. Environ. Psychol. 2015, 41, 10–18. [Google Scholar] [CrossRef]
- Mehaffy, M.W. The Impacts of Symmetry in Architecture and Urbanism: Toward a New Research Agenda. Buildings 2020, 10, 249. [Google Scholar] [CrossRef]
- Shemesh, A.; Leisman, G.; Bar, M.; Yasha, J.G. The emotional influence of different geometries in virtual spaces: A neurocognitive examination. J. Environ. Psychol. 2022, 81, 5–6. [Google Scholar] [CrossRef]
- Cha, S.H.; Zhang, S.; Kim, T.W. Effects of interior color schemes on emotion, task performance, and heart rate in immersive virtual environments. J. Inter. Des. 2020, 45, 51–65. [Google Scholar] [CrossRef]
- Küller, R.; Mikellides, B.; Janssens, J. Color, arousal, and performance—A comparison of three experiments. Color Res. Appl. 2009, 34, 141–152. [Google Scholar] [CrossRef]
- Xu, J.; Li, M.; Cao, K.; Zhou, F.; Lv, B.; Lu, Z.; Cui, Z.; Zhang, K. A VR Experimental Study on the Influence of Chinese Hotel Interior Color Design on Customers’ Emotional Experience. Buildings 2022, 12, 984. [Google Scholar] [CrossRef]
- Kotradyova, V.; Vavrinsky, E.; Kalinakova, B.; Petro, D.; Jansakova, K.; Boles, M.; Svobodova, H. Wood and Its Impact on Humans and Environment Quality in Health Care Facilities. Int. J. Environ. Res. Public Health 2019, 16, 3496. [Google Scholar] [CrossRef]
- Kim, H.; Hong, T. Emotional experience in uncomfortable indoor environments: A combined examination of personal factors. Build. Environ. 2023, 244, 110742. [Google Scholar] [CrossRef]
- Gou, Z.; Lau, S.S.-Y.; Qian, F. Comparison of mood and task performance in naturally-lit and artificially-lit environments. Indoor Built Environ. 2013, 24, 27–36. [Google Scholar] [CrossRef]
- Kaida, K.; Takahashi, M.; Otsuka, Y. A short nap and natural bright light exposure improve positive mood status. Ind. Health 2007, 45, 301–308. [Google Scholar] [CrossRef]
- Ergan, S.; Shi, Z.Y.; Yu, X.R. Towards quantifying human experience in the built environment: A crowdsourcing based experiment to identify influential architectural design features. J. Build. Eng. 2018, 20, 51–59. [Google Scholar] [CrossRef]
- Sylvester, K.E.; Bowler, J.L. Effects of Semi-Transparent Glazing on The Emotions of Office Workers. J. Green Build. 2012, 7, 87–99. [Google Scholar] [CrossRef]
- Yoo, E.; Jang, H.S.; Kim, K.J.; Zheng, X.H.; Jin, Y.Z. Effect of green interior home on emotional psychology of human. J. People Plants Environ. 2015, 18, 249–256. [Google Scholar] [CrossRef]
- Li, Z.; Zhang, W.; Cui, J.; Liu, H. Beneficial effects of short-term exposure to indoor biophilic environments on psychophysiological health: Evidence from electrophysiological activity and salivary metabolomics. Environ. Res. 2024, 15, 117843. [Google Scholar] [CrossRef] [PubMed]
- Kim, S.; Ha, M. A Systematic Review of the Attributes of Interior Design Affecting User’s Positive Emotions Measured via Bio-Signals. Dep. Inter. Archit. Built Environ. 2020, 36, 83–91. [Google Scholar]
- Yan, S.; Azmi, A.; Mansor, N.; Wang, Z.; Wang, Y. Healing Spaces as a Design Approach to Optimize Emotional Regulation for Patients with Mood Disorders. Buildings 2024, 14, 472. [Google Scholar] [CrossRef]
- Banaei, M.; Ahmadi, A.; Gramann, K.; Hatami, J. Emotional evaluation of architectural interior forms based on personality differences using virtual reality. Front. Archit. Res. 2020, 9, 138–147. [Google Scholar] [CrossRef]
- Sussman, A.; Hollander, J.B. Cognitive Architecture: Designing for How We Respond to the Built Environment; Routledge: New York, NY, USA, 2021. [Google Scholar]
- Kim, J.; Heo, W. Importance of Interior Design: An Environmental Mediator for Perceiving Life Satisfaction and Financial Stress. Environ. Res. Public Health 2021, 18, 10195. [Google Scholar] [CrossRef]
- Hsieh, M. Effects of Illuminance Distribution, Color Temperature and Illuminance Level on Positive and Negative Moods. J. Asian Archit. Build. 2015, 14, 709–716. [Google Scholar] [CrossRef]
- Kong, Z.; Liu, Q.; Li, X.; Hou, K.; Xing, Q. Indoor lighting effects on subjective impressions and mood states: A critical review. Build. Environ. 2022, 224, 109591. [Google Scholar] [CrossRef]
- Meyers-Levy, J.; Zhu, R. The Influence of Ceiling Height: The Effect of Priming on the Type of Processing that People Use. J. Consum. Res. 2007, 34, 174–186. [Google Scholar] [CrossRef]
- Mehrabian, A. Basic Dimensions for a General Psychological Theory: Implications for Personality, Social, Environmental, and Developmental Studies; Oelgeschlager, Gunn & Hain: Cambridge, UK, 1980. [Google Scholar]
- Li, X.M. PAD Three-dimensional Emotional Model. Computer World, 29 January 2007. [Google Scholar]
- Zhao, Y.; Xie, D.; Zhou, R.; Wang, N.; Yang, B. Evaluating Users’ Emotional Experience in Mobile Libraries: An Emotional Model Based on the Pleasure-Arousal-Dominance Emotion Model and the Five Factor Model. Front. Psychol. 2022, 13, 942198. [Google Scholar] [CrossRef] [PubMed]
- Liang, C.W.; Tsai, J.L.; Hsu, W.Y. Sustained visual attention for competing emotional stimuli in social anxiety: An eye tracking study. J. Behav. Ther. Exp. Psychiatry 2017, 54, 178–185. [Google Scholar] [CrossRef] [PubMed]
- Alshehri, M.; Alghowinem, S. An Exploratory Study of Detecting Emotion States Using Eye-Tracking Technology; Science and Information Conference: London, UK, 2013. [Google Scholar]
- Espigares-Jurado, F.; Muñoz-Leiva, F.; Correia, M.B.; Sousa, C.M.R.; Ramos, C.M.Q.; Faísca, L. Visual attention to the main image of a hotel website based on its position, type of navigation and belonging to Millennial generation: An eye tracking study. J. Retail. Consum. Serv. 2020, 52, 101906. [Google Scholar] [CrossRef]
- Simmonds, L.; Bellman, S.; Kennedy, R.; Nenycz-Thiel, M.; Bogomolova, S. Moderating effects of prior brand usage on visual attention to video advertising and recall: An eye-tracking investigation. J. Bus. Res. 2019, 111, 241–248. [Google Scholar] [CrossRef]
- He, X.; Wang, L.; Gao, X.H.; Chen, Y.H. The eye activity measurement of mental workload based on basic flight task. In Proceedings of the IEEE 10th International Conference on Industrial Informatics, Beijing, China, 25–27 July 2012; pp. 502–507. [Google Scholar]
- Borys, M.; Tokovarov, M.; Wawrzyk, M. An analysis of eye-tracking and electroencephalography data for cognitive load measurement during arithmetic tasks. In Proceedings of the 2017 10th International Symposium on Advanced Topics in Electrical Engineering (ATEE), Bucharest, Romania, 23–25 March 2017; pp. 287–292. [Google Scholar]
- DiGirolamo, G.J.; Patel, N.; Blaukopf, C.L. Arousal facilitates involuntary eye movements. Exp. Brain Res. 2016, 234, 1967–1976. [Google Scholar] [CrossRef]
- Dorr, M.; Martinetz, T.; Gegenfurtner, K.R.; Barth, E. Variability of eye movements when viewing dynamic natural scenes. J. Vis. 2010, 10, 28. [Google Scholar] [CrossRef]
- Keskin, M.; Ooms, K.; Dogru, A.O.; De Maeyer, P. Exploring the Cognitive Load of Expert and Novice Map Users Using EEG and Eye Tracking. ISPRS Int. J. 2020, 9, 429. [Google Scholar] [CrossRef]
- Partala, T.; Surakka, V. Pupil size variation as an indication of affective processing. Int. J. Hum.-Comput. Stud. 2003, 59, 185–198. [Google Scholar] [CrossRef]
- Guo, F.; Ding, Y.; Liu, W.; Liu, C.; Zhang, X.F. Can eye-tracking data be measured to assess product design?: Visual attention mechanism should be considered. Int. J. Ind. Ergon. 2016, 53, 229–235. [Google Scholar] [CrossRef]
- Ahmad, M.I.; Keller, I.; Robb, D.A.; Lohan, K.S. A framework to estimate cognitive load using physiological data. Pers. Ubiquit. Comput. 2020, 27, 2027–2041. [Google Scholar] [CrossRef]
- Basner, M.; Babisch, W.; Davis, A.; Brink, M.; Clark, C.; Janssen, S.; Stansfeld, S. Auditory and non-auditory effects of noise on health. Lancet 2014, 383, 1325–1332. [Google Scholar] [CrossRef] [PubMed]
- Clark, C.; Paunovic, K. WHO Environmental Noise Guidelines for the European Region: A Systematic Review on Environmental Noise and Quality of Life, Wellbeing and Mental Health. Environ. Res. Public Health 2018, 15, 2400. [Google Scholar] [CrossRef] [PubMed]
- Evans, G.W. The built environment and mental health. J. Urban Health 2003, 80, 536–555. [Google Scholar] [CrossRef] [PubMed]
- Vecchiato, G.; Tieri, G.; Jelic, A.; De Matteis, F.; Maglione, A.G.; Babiloni, F. Electroencephalographic Correlates of Sensorimotor Integration and Embodiment during the Appreciation of Virtual Architectural Environments. Front. Psychol. 2015, 6, 1944. [Google Scholar] [CrossRef] [PubMed]
- Pedrotti, M.; Mirzaei, M.A.; Tedesco, A.; Chardonnet, J.R.; Mérienne, F.; Benedetto, S.; Baccino, T. Automatic Stress Classification with Pupil Diameter Analysis. Int. J. Hum.-Comput. Int. 2014, 30, 220–236. [Google Scholar] [CrossRef]
- Alipour, H.; Namazi, H.; Azarnoush, N.; Jafari, S. Complexity-Based Analysis of The Relation Between Moving Visual Stimuli and Human Eye Movement. Fractals 2019, 27, 1950024. [Google Scholar] [CrossRef]
- Huelat, B.J. The Wisdom of Biophilia-Nature in Healing Environments. J. Green Build. 2008, 3, 23–35. [Google Scholar] [CrossRef]










| Number | Visual Environmental Factor | Average | Standard Deviation | Number | Visual Environmental Factor | Average | Standard Deviation |
|---|---|---|---|---|---|---|---|
| 1 | Bar layout | 5.833 | 1.079 | 13 | Window position | 5.429 | 1.293 |
| 2 | Light color temperature | 5.778 | 0.987 | 14 | Spatial enclosure | 5.405 | 1.322 |
| 3 | Light illumination | 5.754 | 1.086 | 15 | Window shading mode | 5.349 | 1.304 |
| 4 | Spatial scale | 5.738 | 1.154 | 16 | Spatial height–width ratio | 5.349 | 1.352 |
| 5 | Interface decoration | 5.690 | 1.113 | 17 | Spatial shape | 5.325 | 1.408 |
| 6 | Illumination mode | 5.651 | 1.119 | 18 | Window plant | 5.238 | 1.353 |
| 7 | Table and chair layout | 5.595 | 1.221 | 19 | Table and chair number | 5.198 | 1.290 |
| 8 | Indoor plant | 5.586 | 1.184 | 20 | Space length–width ratio | 5.159 | 1.347 |
| 9 | Interface color | 5.548 | 1.253 | 21 | Window shape | 5.119 | 1.383 |
| 10 | Table and chair color | 5.528 | 1.170 | 22 | Door position | 4.944 | 1.422 |
| 11 | Table and chair type | 5.528 | 1.184 | 23 | Spatial curvature | 4.817 | 1.399 |
| 12 | Window size | 5.484 | 1.257 | 24 | Door size | 4.762 | 1.388 |
| Number | Visual Environmental Factor | Level 1 | Level 2 | Level 3 |
|---|---|---|---|---|
| 1 | Bar layout | Layout 1 * (entrance corner arrangement) | Layout 2 (arrangement away from the entrance corners) | Layout 3 (middle arrangement) |
| 2 | Light color temperature | Neutral * (4500 k) | Warm (3000 k) | Cool (6000 k) |
| 3 | Light illumination | Moderate * (300 lx) | Lower (150 lx) | Higher (500 lx) |
| 4 | Spatial scale | Moderate (32 m2) * | Larger (40 m2) | Smaller (24 m2, 4 m × 6 m) |
| 5 | Interface decoration | No * | More (6 frames, accounting for about 6% of the picture) | Less (3 frames, accounting for about 3% of the picture) |
| 6 | Illumination mode | Artificial * | Mixed | Natural |
| 7 | Table and chair layout | Arranged * | Mixed | Freestyle |
| 8 | Indoor plants | No * | More (accounting for about 10% of the picture) | Fewer (accounting for about 5% of the picture) |
| Number | Emotional Words | Score | Emotional Words | ||||||||
|---|---|---|---|---|---|---|---|---|---|---|---|
| 1 | Annoyed | −4 | −3 | −2 | −1 | 0 | 1 | 2 | 3 | 4 | Pleased |
| 2 | Wide-awake | −4 | −3 | −2 | −1 | 0 | 1 | 2 | 3 | 4 | Sleepy |
| 3 | Controlled | −4 | −3 | −2 | −1 | 0 | 1 | 2 | 3 | 4 | Controlling |
| 4 | Contented | −4 | −3 | −2 | −1 | 0 | 1 | 2 | 3 | 4 | Melancholic |
| 5 | Calm | −4 | −3 | −2 | −1 | 0 | 1 | 2 | 3 | 4 | Excited |
| 6 | Dominant | −4 | −3 | −2 | −1 | 0 | 1 | 2 | 3 | 4 | Submissive |
| 7 | Despairing | −4 | −3 | −2 | −1 | 0 | 1 | 2 | 3 | 4 | Hopeful |
| 8 | Stimulated | −4 | −3 | −2 | −1 | 0 | 1 | 2 | 3 | 4 | Relaxed |
| 9 | Awed | −4 | −3 | −2 | −1 | 0 | 1 | 2 | 3 | 4 | Important |
| 10 | Satisfied | −4 | −3 | −2 | −1 | 0 | 1 | 2 | 3 | 4 | Unsatisfied |
| 11 | Sluggish | −4 | −3 | −2 | −1 | 0 | 1 | 2 | 3 | 4 | Frenzied |
| 12 | Influential | −4 | −3 | −2 | −1 | 0 | 1 | 2 | 3 | 4 | Influenced |
| Number | Emotional | p | A | D | Number | Emotional | p | A | D |
|---|---|---|---|---|---|---|---|---|---|
| 1 | Joy | 2.77 | 1.21 | 1.42 | 8 | Sadness | −0.89 | 0.17 | −0.7 |
| 2 | Optimism | 2.48 | 1.05 | 1.75 | 9 | Fear | −0.93 | 1.3 | −0.64 |
| 3 | Relaxation | 2.19 | −0.66 | 1.05 | 10 | Anxiety | −0.95 | 0.32 | −0.63 |
| 4 | Surprise | 1.72 | 1.71 | 0.22 | 11 | Contempt | −1.58 | 0.32 | 1.02 |
| 5 | Gentleness | 1.57 | −0.79 | 0.38 | 12 | Disgust | −1.8 | 0.4 | 0.67 |
| 6 | Dependence | 0.39 | −0.81 | −1.48 | 13 | Resentment | −1.98 | 1.1 | 0.6 |
| 7 | Boredom | −0.53 | −1.25 | −0.84 | 14 | Hostility | −2.08 | 1 | 1.12 |
| Eye Movement Index | Unit | Meaning | Relevance |
|---|---|---|---|
| Fixation count | count | Measuring the efficiency of information retrieval | Positive correlation with emotional arousal [39,40] Positively correlated with attention [41,42] Positive correlation with cognitive load43 |
| Average fixation duration | s | Measuring elemental attractiveness | Negative correlation with cognitive load [43,44] |
| Saccade count | count | Measuring elemental attractiveness | Positively associated with emotional arousal [45] Positively correlated with attention [42] Positive correlation with cognitive load [43] |
| Average saccade duration | s | Measuring search efficiency | - |
| Average saccade velocity | px/ms | Measuring of the speed of eye movement during eye hopping | Positively correlated with attention [42] Positive correlation with cognitive load [43] |
| Average saccade amplitude | px | Measuring meaningful cues for scenes | Positively correlated with attention [46] Correlation with cognitive load [45,47] |
| Average pupil diameter | mm | Measuring subjects’ cognitive, arousal changes | Positively associated with emotional arousal [40,48] Positively correlated with attention [49] Positive correlation with cognitive load [43,44,50] |
| Visual Environmental Factor | Levels | Emotional Tendencies | Distance | Visual Environmental Factor | Levels | Emotional Tendencies | Distance |
|---|---|---|---|---|---|---|---|
| Bar layout | Layout 1 | Relaxation | 1.732 | Interface decoration | More | Optimism | 2.21 |
| Layout 2 | Relaxation | 1.633 | Less | Gentleness | 1.896 | ||
| Layout 3 | Gentleness | 1.741 | Illumination mode | Mixed | Relaxation | 2.176 | |
| Light color temperature | Warm | Gentleness | 1.641 | Natural | Gentleness | 1.81 | |
| Cool | Gentleness | 2.063 | Table and chair layout | Mixed | Sadness | 2.275 | |
| Light illumination | Lower | Relaxation | 2.508 | Freestyle | Sadness | 2.221 | |
| Higher | Gentleness | 2.206 | Indoor plants | More | Relaxation | 2.137 | |
| Spatial scale | Larger | Relaxation | 2.003 | Fewer | Relaxation | 1.765 | |
| Smaller | Gentleness | 2.068 | - | - | - | - |
| Visual Environmental Factors | Emotional Tendencies | F | p | η2 | Visual Environmental Factors | Emotional Tendencies | F | p | η2 |
|---|---|---|---|---|---|---|---|---|---|
| Light color temperature | Joy | 5.633 | 0.005 | 0.111 | Interface decoration | Boredom | 9.405 | 0.000 | 0.173 |
| Optimism | 5.897 | 0.004 | 0.116 | Sadness | 5.677 | 0.005 | 0.112 | ||
| Relaxation | 5.204 | 0.007 | 0.104 | Fear | 3.275 | 0.042 | 0.068 | ||
| Dependence | 3.466 | 0.035 | 0.072 | Anxiety | 5.41 | 0.006 | 0.107 | ||
| Boredom | 3.469 | 0.035 | 0.072 | Contempt | 7.537 | 0.001 | 0.143 | ||
| Sadness | 3.28 | 0.042 | 0.068 | Disgust | 7.188 | 0.001 | 0.138 | ||
| Anxiety | 3.166 | 0.047 | 0.066 | Resentment | 5.122 | 0.008 | 0.102 | ||
| Light illumination | Relaxation | 4.958 | 0.009 | 0.099 | Hostility | 5.615 | 0.005 | 0.111 | |
| Spatial scale | Joy | 10.303 | 0.000 | 0.186 | Illumination mode | Surprise | 5.283 | 0.007 | 0.105 |
| Optimism | 10.103 | 0.000 | 0.183 | Boredom | 3.772 | 0.027 | 0.077 | ||
| Relaxation | 5.129 | 0.008 | 0.102 | Table and chair layout | Joy | 7.67 | 0.001 | 0.146 | |
| Dependence | 7.557 | 0.001 | 0.144 | Optimism | 8.199 | 0.001 | 0.154 | ||
| Boredom | 9.752 | 0.000 | 0.178 | Relaxation | 17.672 | 0.000 | 0.282 | ||
| Sadness | 6.323 | 0.003 | 0.123 | Gentleness | 9.283 | 0.000 | 0.171 | ||
| Fear | 4.288 | 0.017 | 0.087 | Dependence | 4.476 | 0.014 | 0.090 | ||
| Anxiety | 5.967 | 0.004 | 0.117 | Boredom | 3.319 | 0.041 | 0.069 | ||
| Contempt | 3.718 | 0.028 | 0.076 | Sadness | 8.62 | 0.000 | 0.161 | ||
| Disgust | 4.71 | 0.011 | 0.095 | Fear | 12.13 | 0.000 | 0.212 | ||
| Resentment | 3.98 | 0.022 | 0.081 | Anxiety | 9.048 | 0.000 | 0.167 | ||
| Hostility | 3.315 | 0.041 | 0.069 | Contempt | 3.834 | 0.025 | 0.079 | ||
| Interface decoration | Joy | 4.008 | 0.022 | 0.082 | Disgust | 6.321 | 0.003 | 0.123 | |
| Gentleness | 5.455 | 0.006 | 0.108 | Resentment | 9.117 | 0.000 | 0.168 | ||
| Dependence | 5.449 | 0.006 | 0.108 | Hostility | 6.745 | 0.002 | 0.130 |
| Visual Environmental Factors | Eye Movement Indexes | F | p | η2 | Visual Environmental Factors | Eye Movement Indexes | F | p | η2 |
|---|---|---|---|---|---|---|---|---|---|
| Light illumination | Average pupil diameter | 6.56 | 0.002 | 0.127 | Illumination mode | Average fixation duration | 4.582 | 0.013 | 0.092 |
| Spatial scale | Fixation count | 8.831 | 0.000 | 0.164 | Saccade count | 6.712 | 0.002 | 0.13 | |
| Average fixation duration | 5.803 | 0.004 | 0.114 | Average pupil diameter | 3.53 | 0.033 | 0.073 | ||
| Saccade count | 9.515 | 0.000 | 0.175 | Indoor plant | Fixation count | 3.273 | 0.042 | 0.068 | |
| Average saccade duration | 3.653 | 0.030 | 0.075 | Average fixation duration | 3.473 | 0.035 | 0.072 | ||
| Illumination mode | Fixation count | 6.513 | 0.002 | 0.126 | Saccade count | 3.087 | 0.049 | 0.064 |
Disclaimer/Publisher’s Note: The statements, opinions and data contained in all publications are solely those of the individual author(s) and contributor(s) and not of MDPI and/or the editor(s). MDPI and/or the editor(s) disclaim responsibility for any injury to people or property resulting from any ideas, methods, instructions or products referred to in the content. |
© 2025 by the authors. Licensee MDPI, Basel, Switzerland. This article is an open access article distributed under the terms and conditions of the Creative Commons Attribution (CC BY) license (https://creativecommons.org/licenses/by/4.0/).
Share and Cite
Liu, C.; Chen, S.; Jin, Y. Evaluation of the Visual Environment of Community Third Places Based on Emotional Perceptions. Buildings 2025, 15, 2063. https://doi.org/10.3390/buildings15122063
Liu C, Chen S, Jin Y. Evaluation of the Visual Environment of Community Third Places Based on Emotional Perceptions. Buildings. 2025; 15(12):2063. https://doi.org/10.3390/buildings15122063
Chicago/Turabian StyleLiu, Changchun, Shupan Chen, and Yumeng Jin. 2025. "Evaluation of the Visual Environment of Community Third Places Based on Emotional Perceptions" Buildings 15, no. 12: 2063. https://doi.org/10.3390/buildings15122063
APA StyleLiu, C., Chen, S., & Jin, Y. (2025). Evaluation of the Visual Environment of Community Third Places Based on Emotional Perceptions. Buildings, 15(12), 2063. https://doi.org/10.3390/buildings15122063

