Seismic Demand Prediction in Laminated Bamboo Frame Structures: A Comparative Study of Intensity Measures for Performance-Based Design
Abstract
1. Introduction
2. Structural Model and Selection of Ground Motions
2.1. Laminated Bamboo Frame Structure
2.2. Selection of Far-Field and Near-Field Ground Motion Records
3. Seismic Response and Selection of Intensity Measures
3.1. Seismic Response
3.2. Selection of Intensity Measures and Its Evaluation Criteria
4. Intensity Measures Suitable for PFA
4.1. Efficiency of IMs in Estimating PFA
4.2. Sufficiency of IMs in Estimating PFA
5. Intensity Measures Suitable for PIDR
5.1. Efficiency of IMs in Estimating PIDR
5.2. Sufficiency of IMs in Estimating PIDR
6. Conclusions
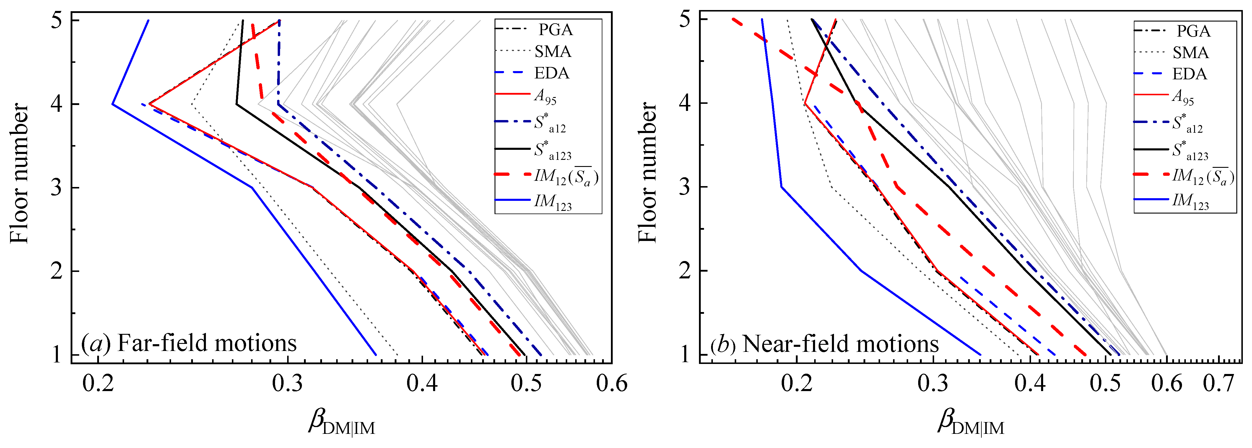
- The structural response of three bamboo frame structures under both near-field and far-field ground motions is primarily dominated by the first mode of vibration. The type of ground motion significantly influences the selection of seismic intensity measures for PFA and PIDR. Specific seismic intensity measures may become more prominent depending on the type of ground motion, and the building height also affects the performance of these seismic intensity measures. From an efficiency perspective, acceleration-related measures are more suitable for evaluating PFA, while spectral acceleration-related measures are better suited for assessing PIDR. Regarding sufficiency, the trends are not particularly distinct.
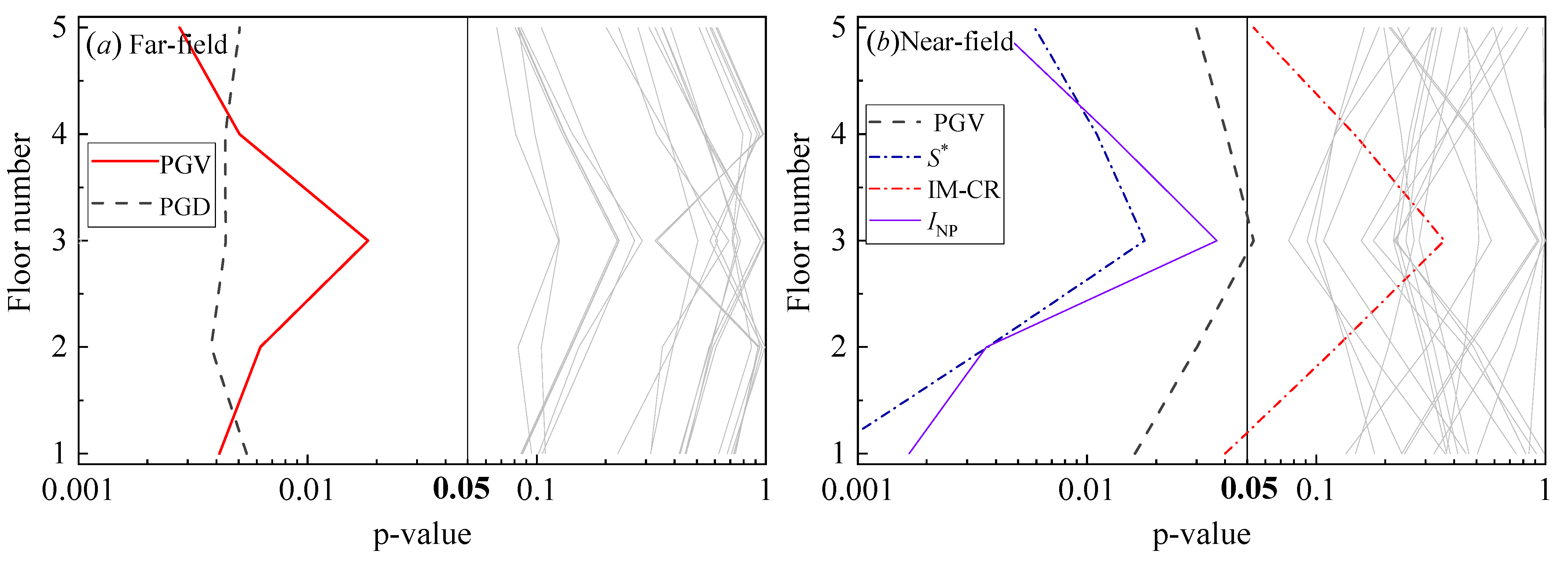
- In the case of PFA, efficiency evaluations highlighted substantial variations in the effectiveness of different intensity measures across different structural heights. Under the action of far-field ground motion and near-field pulse-type ground motion, IM123, SMA, PGA, A95 and EDA all maintain stable efficiency for PFA. From the sufficiency standpoint, for the epicentral distance R, all intensity measures maintain sufficiency throughout the height of the structure under far-field earthquake conditions, while under near-field seismic excitations, SMA, IM123, and IM12(), measures exhibit insufficiency in the mid-to-low floors of the structure. Additionally, IM12() demonstrates insufficiency with respect to epicentral distance R in the upper floors of the structure.
- The seismic intensity measures applicable to PIDR differ from those for PFA. In terms of efficiency, several measures, including Sa(T1), S12 and S123, demonstrate effectiveness for PIDR under both far-field and near-field pulse-type ground motions. Regarding sufficiency, the adequacy of many seismic intensity measures is closely related to the height of the structure. For epicentral distance R, under far-field ground motions, only Sv(T1) shows insufficiency, while many measures exhibit insufficiency for R under near-field ground motions. For magnitude M, under far-field seismic motion, PGV and PGD display a dependency on M, while under near-field seismic motion, PGV, IM-CR, INP, and S* all show insufficiency for M.
Author Contributions
Funding
Data Availability Statement
Conflicts of Interest
References
- China Association of Building Energy Efficiency. 2022 Research Report of China Building Energy Consumption and Carbon Emissions; China Association of Building Energy Efficiency: Beijing, China, 2022. (In Chinese) [Google Scholar]
- Xiao, Y.; Wu, R.J.; Chen, J.X. Research and application progress of multi-story tall engineered bamboo structures. Build. Struct. 2024, 54, 156–161. (In Chinese) [Google Scholar] [CrossRef]
- Huang, D.; Zhu, J.; Shen, Y. Design of a 3-storey frame building using engineered bamboo composite (EBC). Eng. Struct. 2024, 300, 117230. [Google Scholar] [CrossRef]
- Senel, S.M.; Kayhan, A.H.; Palanci, M.; Demir, A. Assessment of Damages in Precast Industrial Buildings in the Aftermath of Pazarcık and Elbistan Earthquakes. J. Earthq. Eng. 2024, 1–30. [Google Scholar] [CrossRef]
- Devin, A.; Fanning, P. Non-structural elements and the dynamic response of buildings: A review. Eng. Struct. 2019, 187, 242–250. [Google Scholar] [CrossRef]
- Ozmen, H.B.; Inel, M.; Cayci, B.T. Engineering implications of the RC building damages after 2011 Van earthquakes. Earthq. Struct. 2013, 5, 297–319. [Google Scholar] [CrossRef]
- GB50005-2017; Standard for Design of Timber Structures. China Architecture & Building Press: Beijing, China, 2017. (In Chinese)
- Taghavi, S.; Miranda, M.M. Response Assessment of Nonstructural Building Elements; Pacific Earthquake Engineering Research Center: Berkeley, CA, USA, 2003. [Google Scholar]
- Zhang, Y.; He, Z. Appropriate ground motion intensity measures for estimating the earthquake demand of floor acceleration-sensitive elements in super high-rise buildings. Struct. Infrastruct. Eng. 2019, 15, 467–483. [Google Scholar] [CrossRef]
- Reinoso, E.; Miranda, E. Estimation of floor acceleration demands in high-rise buildings during earthquakes. Struct. Des. Tall Spec. Build. 2005, 14, 107–130. [Google Scholar] [CrossRef]
- FEMA. Seismic Performance Assessment of Buildings: Volume 2—Implementation Guide (FEMA P-58-2); Applied Technology Council: Washington, DC, USA, 2012. [Google Scholar]
- Riddell, R. On ground motion intensity indices. Earthq. Spectra 2007, 23, 147–173. [Google Scholar] [CrossRef]
- Ye, L.; Ma, Q.; Miao, Z.; Guan, H.; Zhuge, Y. Numerical and comparative study of earthquake intensity indices in seismic analysis. Struct. Des. Tall Spec. Build. 2013, 22, 362–381. [Google Scholar] [CrossRef]
- Ebrahimian, H.; Jalayer, F.; Lucchini, A.; Mollaioli, F.; Manfredi, G. Preliminary ranking of alternative scalar and vector intensity measures of ground shaking. Bull. Earthq. Eng. 2015, 13, 2805–2840. [Google Scholar] [CrossRef]
- Zhang, Y.; Ouyang, X.; Sun, B.; Shi, Y.; Wang, Z. A comparative study on seismic fragility analysis of RC frame structures with consideration of modeling uncertainty under far-field and near-field ground motion excitation. Bull. Earthq. Eng. 2022, 20, 1455–1487. [Google Scholar] [CrossRef]
- Lu, X.; Ye, L.; Lu, X.; Li, M.; Ma, X. An improved ground motion intensity measure for super high-rise buildings. Sci. China Technol. Sci. 2013, 56, 1525–1533. [Google Scholar] [CrossRef]
- Muho, E.V.; Kalapodis, N.A.; Beskos, D.E. Multi-modal and multi-level structure-specific spectral intensity measures for seismic evaluation of reinforced concrete frames. Bull. Earthq. Eng. 2024, 22, 6955–6989. [Google Scholar] [CrossRef]
- Güneş, N. A vector-valued ground motion intensity measure for base-isolated buildings in far-field regions. Struct. Des. Tall Spec. Build. 2024, 33, e1940. [Google Scholar] [CrossRef]
- Sengar, K.K.; Saha, S.K.; Gade, M. Evaluation of appropriate intensity measures for seismic performance assessment of base-isolated liquid storage tanks. J. Loss Prev. Process Ind. 2025, 94, 105581. [Google Scholar] [CrossRef]
- Liu, J.; Meng, X.; Tian, L.; Yang, M.; Jin, Q.; Shao, G. Multi-metric evaluation of the optimal intensity measure for mainshock-aftershock fragility analysis of transmission towers. Eng. Struct. 2024, 308, 118020. [Google Scholar] [CrossRef]
- Shen, Y.; El Naggar, M.H.; Zhang, D.; Huang, Z.; Du, X. Optimal intensity measure for seismic performance assessment of shield tunnels in liquefiable and non-liquefiable soils. Undergr. Space 2025, 21, 149–163. [Google Scholar] [CrossRef]
- Wen, T.; Jiang, L.; Jiang, L.; Zhou, W.; Du, Y. Optimal intensity measure selection in incremental dynamic analysis: Methodology improvements and application to a high-speed railway bridge. Bull. Earthq. Eng. 2024, 22, 2059–2083. [Google Scholar] [CrossRef]
- Leng, Y.; Xu, Q.; Harries, K.A.; Chen, L.; Liu, K.; Chen, X. Experimental study on mechanical properties of laminated bamboo beam-to-column connections. Eng. Struct. 2020, 210, 110305. [Google Scholar] [CrossRef]
- T/CECS 1101-2022; Standard for Design of Engineered Bamboo Structures. China Planning Press: Beijing, China, 2022. (In Chinese)
- GB50068-2018; Unified Standard for Reliability Design of Building Structures. China Architecture & Building Press: Beijing, China, 2019. (In Chinese)
- GB 55002-2021; General Code for Seismic Precaution of Buildings and Municipal Engineering. China Architecture & Building Press: Beijing, China, 2021. (In Chinese)
- GB/T 51226-2017; Technical Standard for Multi-Story and High Rise Timber Buildings. China Architecture & Building Press: Beijing, China, 2017. (In Chinese)
- EN 1995-1-1:2003; Eurocode 5: Design of Timber Structures–Part 1-1: General Rules and Rules for Buildings. CEN: Brussels, Belgium, 2003.
- GB/T 50708-2012; Technical Code of Glued Laminated Timber Structures. China Architecture & Building Press: Beijing, China, 2012. (In Chinese)
- GB 50017-2017; Standard for Design of Steel Structures. China Architecture & Building Press: Beijing, China, 2017. (In Chinese)
- Zhang, Y.; Zhang, J.; Zhang, J.; Zheng, K.; Wei, Y. Comparative analysis of seismic response and vulnerability of laminated bamboo frame structure under near-field and far-field earthquake actions. Structures 2024, 69, 107321. [Google Scholar] [CrossRef]
- Mazzoni, S.; McKenna, F.; Scott, M.H.; Fenves, G.L. Open System for Earthquake Engineering Simulation (OpenSees) Command Language Manual; Pacific Earthquake Engineering Research Center: Berkeley, CA, USA, 2011; Available online: http://opensees.berkeley.edu/wiki/index.php/Command_Manual (accessed on 1 January 2024).
- Rinaldin, G.; Amadio, C.; Fragiacomo, M. A Component Approach for the Hysteretic Behaviour of Connections in Cross-laminated Wooden Structures. Earthq. Eng. Struct. Dyn. 2013, 42, 2023–2042. [Google Scholar] [CrossRef]
- Aloisio, A.; Alaggio, R.; Köhler, J.; Fragiacomo, M. Extension of Generalized Bouc-Wen Hysteresis Modeling of Wood Joints and Structural Systems. J. Eng. Mech. 2020, 146, 04020001. [Google Scholar] [CrossRef]
- Cao, J.; Xiong, H.; Cui, Y. Seismic Performance Analysis of Timber Frames Based on a Calibrated Simplified Model. J. Build. Eng. 2022, 46, 103701. [Google Scholar] [CrossRef]
- Baker, J.W. Quantitative classification of near-fault ground motions using wavelet analysis. Bull. Seismol. Soc. Am. 2007, 97, 1486–1501. [Google Scholar] [CrossRef]
- FEMA. Quantification of Building Seismic Performance Factors (FEMA P-695); Applied Technology Council: Washington, DC, USA, 2009. [Google Scholar]
- Ancheta, T.D.; Darragh, R.B.; Stewart, J.P.; Seyhan, E.; Silva, W.J.; Chiou, B.S.J.; Wooddell, K.E.; Graves, R.W.; Kottke, A.R.; Boore, D.M.; et al. NGA-West2 database. Earthq. Spectra 2014, 30, 989–1005. [Google Scholar] [CrossRef]
- Zhang, Y.; He, Z.; Yang, Y. A spectral-velocity-based combination-type earthquake intensity measure for super high-rise buildings. Bull. Earthq. Eng. 2018, 16, 643–677. [Google Scholar] [CrossRef]
- Sarma, S.; Yang, K. An evaluation of strong motion records and a new parameter A95. Earthq. Eng. Struct. Dyn. 1987, 15, 119–132. [Google Scholar] [CrossRef]
- Sucuoǧlu, H.; Nurtuǧ, A. Earthquake ground motion characteristics and seismic energy dissipation. Earthq. Eng. Struct. Dyn. 1995, 24, 1195–1213. [Google Scholar] [CrossRef]
- Nuttli, O.W. The Relation of Sustained Maximum Ground Acceleration and Velocity to Earthquake Intensity and Magnitude; Miscellaneous Paper S-71-1, Report 16; U.S. Army Corps of Engineers, Waterways Experiment Station: Vicksburg, MS, USA, 1979. [Google Scholar]
- Benjamin, J.R. A Criterion for Determining Exceedances of the Operating Basis Earthquake; EPRI Report NP-5930; Electric Power Research Institute: Palo Alto, CA, USA, 1988. [Google Scholar]
- Cordova, P.P.; Deierlein, G.G.; Mehanny, S.S.; Cornell, C.A. Development of a Two-Parameter Seismic Intensity Measure and Probabilistic Assessment Procedure. In Proceedings of the Second US-Japan Workshop on Performance-Based Earthquake Engineering Methodology for Reinforced Concrete Building Structures, Sapporo, Japan, 11–13 September 2000; pp. 187–206. [Google Scholar]
- Mehanny, S.S. A broad-range power-law form scalar-based seismic intensity measure. Eng. Struct. 2009, 31, 1354–1368. [Google Scholar] [CrossRef]
- Bojórquez, E.; Iervolino, I. Spectral shape proxies and nonlinear structural response. Soil Dyn. Earthq. Eng. 2011, 31, 996–1008. [Google Scholar] [CrossRef]
- Shome, N.; Cornell, C.A. Probabilistic Seismic Demand Analysis of Non-Linear Structures; Report No. RMS-35; Stanford University: Stanford, CA, USA, 1999. [Google Scholar]
- Vamvatsikos, D.; Cornell, C.A. Developing efficient scalar and vector intensity measures for IDA capacity estimation by incorporating elastic spectral shape information. Earthq. Eng. Struct. Dyn. 2005, 34, 1573–1600. [Google Scholar] [CrossRef]
- Lin, L.; Naumoski, N.; Saatcioglu, M.; Foo, S. Improved intensity measures for probabilistic seismic demand analysis. Part 2: Application of the improved intensity measures. Can. J. Civ. Eng. 2011, 38, 89–99. [Google Scholar] [CrossRef]
- Zhou, Y.; Su, N.; Lu, X. Study on intensity measure of incremental dynamic analysis for high-rise structures. J. Build. Struct. 2013, 34, 53–60. (In Chinese) [Google Scholar]
- Kazantzi, A.K.; Vamvatsikos, D. Intensity measure selection for vulnerability studies of building classes. Earthq. Eng. Struct. Dyn. 2015, 44, 2677–2694. [Google Scholar] [CrossRef]
- Jalayer, F.; Beck, J.; Zareian, F. Analyzing the sufficiency of alternative scalar and vector intensity measures of ground shaking based on information theory. J. Eng. Mech. 2012, 138, 307–316. [Google Scholar] [CrossRef]
- Padgett, J.E.; Nielson, B.G.; Desroches, R. Selection of optimal intensity measures in probabilistic seismic demand models of highway bridge portfolios. Earthq. Eng. Struct. Dyn. 2008, 37, 711–725. [Google Scholar] [CrossRef]
- Tothong, P.; Luco, N. Probabilistic seismic demand analysis using advanced ground motion intensity measures. Earthq. Eng. Struct. Dyn. 2007, 36, 1837–1860. [Google Scholar] [CrossRef]
- Giovenale, P.; Cornell, C.A.; Esteva, L. Comparing the adequacy of alternative ground motion intensity measures for the estimation of structural responses. Earthq. Eng. Struct. Dyn. 2004, 33, 951–979. [Google Scholar] [CrossRef]
- Mackie, K.; Stojadinović, B. Probabilistic seismic demand model for California highway bridges. J. Bridge Eng. 2001, 6, 468–481. [Google Scholar] [CrossRef]





























| Parameters | Definition | Parameters | Definition |
|---|---|---|---|
| $ePf1, $ePf2, $ePf3, $ePf4 | 21.0, 38.0, 43.0, 34.0 | $ePd1, $ePd2, $ePd3, $ePd4 | 0.017, 0.050, 0.076, 0.086 |
| $eNf1, $eNf2, $eNf3, $eNf4 | −32.0, −45.0, −53.0, −42.0 | $eNd1, $eNd2, $eNd3, $eNd4 | −0.035, −0.049, −0.067, −0.080 |
| $rDispP, $rDispN | 0.3 0.3 | $gK1, $gK2, $gK3, $gK4, $gKLim | 0.0 0.0 0.0 0.0 −2.0 |
| $fFoceP, $fFoceN | 0.2 0.2 | $gD1, $gD2, $gD3, $gD4, $gDLim | 0.5 0.5 1.0 1.0 0.25 |
| $uForceP, $uForceN | 0.001 0.05 | $gF1, $gF2, $gF3, $gF4, $gFLim | 0.0 0.0 0.0 0.0 0.0 |
| $gE | 10.0 | $dmgType | energy |
| Frame Structure | Vibration Periods | ||||
|---|---|---|---|---|---|
| T1 | T2 | T3 | T4 | T5 | |
| 3-story | 1.23 | 0.28 | 0.12 | 0.04 | 0.04 |
| 4-story | 1.41 | 0.29 | 0.11 | 0.06 | 0.04 |
| 5-story | 1.50 | 0.29 | 0.11 | 0.06 | 0.05 |
| No. | Near-Field Records | Far-Field Records | ||||||||
|---|---|---|---|---|---|---|---|---|---|---|
| Year | Earthquake | File Names | M | R (km) | Year | Earthquake | File Names | M | R (km) | |
| 1 | 1971 | San Fernando | SFERN/PUL164 | 6.61 | 1.81 | 1971 | San Fernando | SFERN/PEL090 | 6.61 | 22.77 |
| 2 | 1979 | Imperial Valley-06 | IMPVALL.H/H-EMO000 | 6.53 | 0.07 | 1979 | Imperial Valley-06 | IMPVALL.H/H-DLT262 | 6.53 | 22.03 |
| 3 | 1979 | Imperial Valley-06 | IMPVALL.H/H-E04140 | 6.53 | 7.05 | 1979 | Imperial Valley-06 | IMPVALL.H/H-E11140 | 6.53 | 12.56 |
| 4 | 1979 | Imperial Valley-06 | IMPVALL.H/H-E06140 | 6.53 | 1.35 | 1984 | Morgan Hill | MORGAN/G03090 | 6.19 | 13.02 |
| 5 | 1979 | Imperial Valley-06 | IMPVALL.H/H-E07140 | 6.53 | 0.56 | 1987 | Superstition Hills-02 | SUPER.B/B-ICC000 | 6.54 | 18.20 |
| 6 | 1992 | Cape Mendocino | CAPEMEND/PET000 | 7.01 | 8.18 | 1987 | Superstition Hills-02 | SUPER.B/B-IVW360 | 6.54 | 23.85 |
| 7 | 1994 | Northridge-01 | NORTHR/RRS228 | 6.69 | 6.50 | 1989 | Loma Prieta | LOMAP/A02043 | 6.93 | 43.23 |
| 8 | 1995 | Kobe | KOBE/KJM000 | 6.9 | 0.96 | 1989 | Loma Prieta | LOMAP/AND250 | 6.93 | 20.26 |
| 9 | 1999 | Kocaeli | KOCAELI/YPT060 | 7.51 | 4.83 | 1989 | Loma Prieta | LOMAP/OHW000 | 6.93 | 74.26 |
| 10 | 1999 | Chi-Chi | CHICHI/TCU052-E | 7.62 | 0.66 | 1989 | Loma Prieta | LOMAP/SFO000 | 6.93 | 58.65 |
| 11 | 1999 | Chi-Chi | CHICHI/TCU065-E | 7.62 | 0.57 | 1992 | Landers | LANDERS/CLW-LN | 7.28 | 19.74 |
| 12 | 1999 | Chi-Chi | CHICHI/TCU068-E | 7.62 | 0.32 | 1992 | Landers | LANDERS/YER270 | 7.28 | 23.62 |
| 13 | 1999 | Chi-Chi | CHICHI/TCU101-E | 7.62 | 2.11 | 1995 | Kobe | KOBE/ABN090 | 6.9 | 24.85 |
| 14 | 1999 | Chi-Chi | CHICHI/TCU102-E | 7.62 | 1.49 | 1995 | Kobe | KOBE/FKS090 | 6.9 | 17.85 |
| 15 | 1999 | Duzce | DUZCE/DZC180 | 7.14 | 6.58 | 1999 | Kocaeli | KOCAELI/ARE000 | 7.51 | 13.49 |
| 16 | 1989 | Loma Prieta | LOMAP/LEX000 | 6.93 | 5.02 | 1999 | Kocaeli | KOCAELI/DZC180 | 7.51 | 15.37 |
| 17 | 2003 | Bam | BAM/BAM-L | 6.6 | 1.70 | 1999 | Chi-Chi | CHICHI/CHY101-E | 7.62 | 9.94 |
| 18 | 2010 | Darfield | DARFIELD/GDLCN55W | 7 | 1.22 | 1999 | Chi-Chi | CHICHI/TCU045-E | 7.62 | 26.00 |
| 19 | 2010 | Darfield | DARFIELD/LINCN23E | 7 | 7.11 | 1999 | Duzce | DUZCE/BOL000 | 7.14 | 12.04 |
| 20 | 2010 | Darfield | DARFIELD/TPLCN27W | 7 | 6.11 | 1999 | Hector Mine | HECTOR/HEC000 | 7.13 | 11.66 |
| 21 | 1979 | Imperial Valley-06 | IMPVALL.H/H-ECC002 | 6.53 | 7.31 | 1989 | Loma Prieta | LOMAP/WAH000 | 6.93 | 17.47 |
| 22 | 1979 | Imperial Valley-06 | IMPVALL.H/H-E10050 | 6.53 | 8.60 | 1994 | Northridge-01 | NORTHR/TAR360 | 6.69 | 15.60 |
| 23 | 1979 | Imperial Valley-06 | IMPVALL.H/H-E05140 | 6.53 | 3.95 | 1999 | Chi-Chi | CHICHI/TCU088-E | 7.62 | 18.16 |
| 24 | 1979 | Imperial Valley-06 | IMPVALL.H/H-EDA270 | 6.53 | 5.09 | 1999 | Chi-Chi | CHICHI/TCU095-E | 7.62 | 45.18 |
| 25 | 1979 | Imperial Valley-06 | IMPVALL.H/H-HVP225 | 6.53 | 7.50 | 2004 | Niigata | NIIGATA/NIG023EW | 6.63 | 25.82 |
| 26 | 1992 | Landers | LANDERS/LCN260 | 7.28 | 2.19 | 2007 | Chuetsu-oki | CHUETSU/65005EW | 6.8 | 22.74 |
| 27 | 1999 | Chi-Chi | CHICHI/CHY024-E | 7.62 | 9.62 | 2007 | Chuetsu-oki | CHUETSU/65025EW | 6.8 | 11.09 |
| 28 | 1999 | Chi-Chi | CHICHI/TCU049-E | 7.62 | 3.76 | 2007 | Chuetsu-oki | CHUETSU/65056EW | 6.8 | 20.03 |
| 29 | 1999 | Chi-Chi | CHICHI/TCU075-E | 7.62 | 0.89 | 2007 | Chuetsu-oki | CHUETSU/65057EW | 6.8 | 20.00 |
| 30 | 1999 | Chi-Chi | CHICHI/TCU082-E | 7.62 | 5.16 | 2007 | Chuetsu-oki | CHUETSU/6CB51EW | 6.8 | 11.48 |
| No. | IM | Reference |
|---|---|---|
| 1 | Peak ground acceleration, PGA | N.A. |
| 2 | Peak ground velocity, PGV | N.A. |
| 3 | Peak ground displacement, PGD | N.A. |
| 4 | PGV/PGA, V/A | Sucuoǧlu and Nurtuǧ, 1995 [41] |
| 5 | Sustained maximum acceleration, SMA | Nuttli, 1979 [42] |
| 6 | Sustained maximum velocity, SMV | |
| 7 | Effective design acceleration, EDA | Benjamin J. R., & Associates, 1988 [43] |
| 8 | A95 | Sarma & Yang, 1987 [40] |
| 9 | Sa(T1) | N.A. |
| 10 | Sv(T1) | N.A. |
| 11 | Sd(T1) | N.A. |
| 12 | Cordova et al., 2001 [44] | |
| 13 | Mehanny, 2009 [45] | |
| 14 | ||
| 15 | Bojórquez and Iervolino, 2011 [46] | |
| 16 | Shome and Cornell, 1999 [47] | |
| 17 | ||
| 18 | Vamvatsikos and Cornell, 2005 [48] | |
| 19 | ||
| 20 | Lin et al., 2011 [49] | |
| 21 | ||
| 22 | Zhou et al., 2013 [50] | |
| 23 | ||
| 24 | Lu et al., 2013 [16] | |
| 25 | Kazantzi and Vamvatsikos, 2015 [51] |
Disclaimer/Publisher’s Note: The statements, opinions and data contained in all publications are solely those of the individual author(s) and contributor(s) and not of MDPI and/or the editor(s). MDPI and/or the editor(s) disclaim responsibility for any injury to people or property resulting from any ideas, methods, instructions or products referred to in the content. |
© 2025 by the authors. Licensee MDPI, Basel, Switzerland. This article is an open access article distributed under the terms and conditions of the Creative Commons Attribution (CC BY) license (https://creativecommons.org/licenses/by/4.0/).
Share and Cite
Zhang, Y.; Zhang, J.; Gu, Y.; Zhang, J.; Zheng, K. Seismic Demand Prediction in Laminated Bamboo Frame Structures: A Comparative Study of Intensity Measures for Performance-Based Design. Buildings 2025, 15, 2039. https://doi.org/10.3390/buildings15122039
Zhang Y, Zhang J, Gu Y, Zhang J, Zheng K. Seismic Demand Prediction in Laminated Bamboo Frame Structures: A Comparative Study of Intensity Measures for Performance-Based Design. Buildings. 2025; 15(12):2039. https://doi.org/10.3390/buildings15122039
Chicago/Turabian StyleZhang, Yantai, Jingpu Zhang, Yujie Gu, Jinglong Zhang, and Kaiqi Zheng. 2025. "Seismic Demand Prediction in Laminated Bamboo Frame Structures: A Comparative Study of Intensity Measures for Performance-Based Design" Buildings 15, no. 12: 2039. https://doi.org/10.3390/buildings15122039
APA StyleZhang, Y., Zhang, J., Gu, Y., Zhang, J., & Zheng, K. (2025). Seismic Demand Prediction in Laminated Bamboo Frame Structures: A Comparative Study of Intensity Measures for Performance-Based Design. Buildings, 15(12), 2039. https://doi.org/10.3390/buildings15122039

