Research on Configuration Optimization and Control Methods for Mid-Deep Geothermal Heat Pumps Coupled with Air-Source Heat Pump Systems for Space Heating in Residential Buildings
Abstract
1. Introduction
2. Methodology
2.1. Simulation Models Description
2.2. Evaluation Indexes
- (1)
- The calculation of the heat supply Qc and heat extraction Qe of the heat pump unit is shown in Equations (1) and (2).
- (2)
- The heating efficiency of heat pump units can be evaluated through the following aspects, as shown in Equations (3)–(5).
- (3)
- The water transport coefficient (WTF) of water pumps represents the amount of heat capacity transferred under the same power consumption. During operation, the quantities and frequency of water pumps should be regulated to achieve better energy performance. And the WTF of water distribution systems could be set at 50 [20], thereby allowing for the calculation of pump power consumption through Equation (6).
- (4)
- The heating efficiency coefficient of the overall system (COPs) is defined by Equation (7).
- (5)
- The principles for calculating the economic energy-saving and emission-reduction benefits are defined in Equations (8)–(11).
2.3. Medium-Deep Borehole Heat Exchanger Model
2.4. Models of Heat Pump Systems
2.5. Control Strategies for Coupled Model Systems
- (1)
- Figure 4a shows the load distribution logic of MD-GHPs and ASHPs for the series mode. The installed capacity and quantities of MD-GHPs and ASHPs are set by the heating load in different cities. Then, during the whole heating season, the transient space heating load is divided between the MD-GHPs (Qc,m) and the ASHPs (Qc,a) according to the same ratio as their installation capacity. Moreover, with the fixed user-side supply and return water temperature difference, the intermediate temperature (Tim) and the outlet water temperatures of the ASHPs (Tc,o,a) are determined by the load distribution ratio.
- (2)
- Figure 4b shows the heat extraction capacity distribution logic of MDBHEs and ASHPs for the cascade mode. The installed heating capacity of water-to-water heat pumps equals the designed maximum heating demand. Different from series mode, the hybrid system in cascade mode primarily allocates the evaporator-side heat extraction capacity of water-to-water heat pumps to the MDBHEs and ASHPs with a specific ratio. Then, the condenser-side inlet and outlet water temperatures of ASHPs remain the same as the values of the MDBHEs.
- (3)
- Figure 4c shows the control logic of the series and cascade modes. User-side supply water temperature varies with heating demand. The temperature is 50 °C when the load ratio (PLR) is greater than 0.8, 45 °C when PLR is between 0.6 and 0.8, and 42 °C otherwise. Then, the supply and return water temperature difference is fixed at 5 °C for the user side, and the water flow rate is fixed at 30m3/h per MDBHE for the ground side. During combined operation, the heating load or the heat extraction capacity is shared between the MD-GHPs and the ASHPs at a specific ratio.
3. Results and Interpretation
3.1. Analysis of Typical Regions
3.1.1. Analysis of Heat Demand in Different Regions
3.1.2. Analysis of Geothermal Resource Endowment in Different Regions
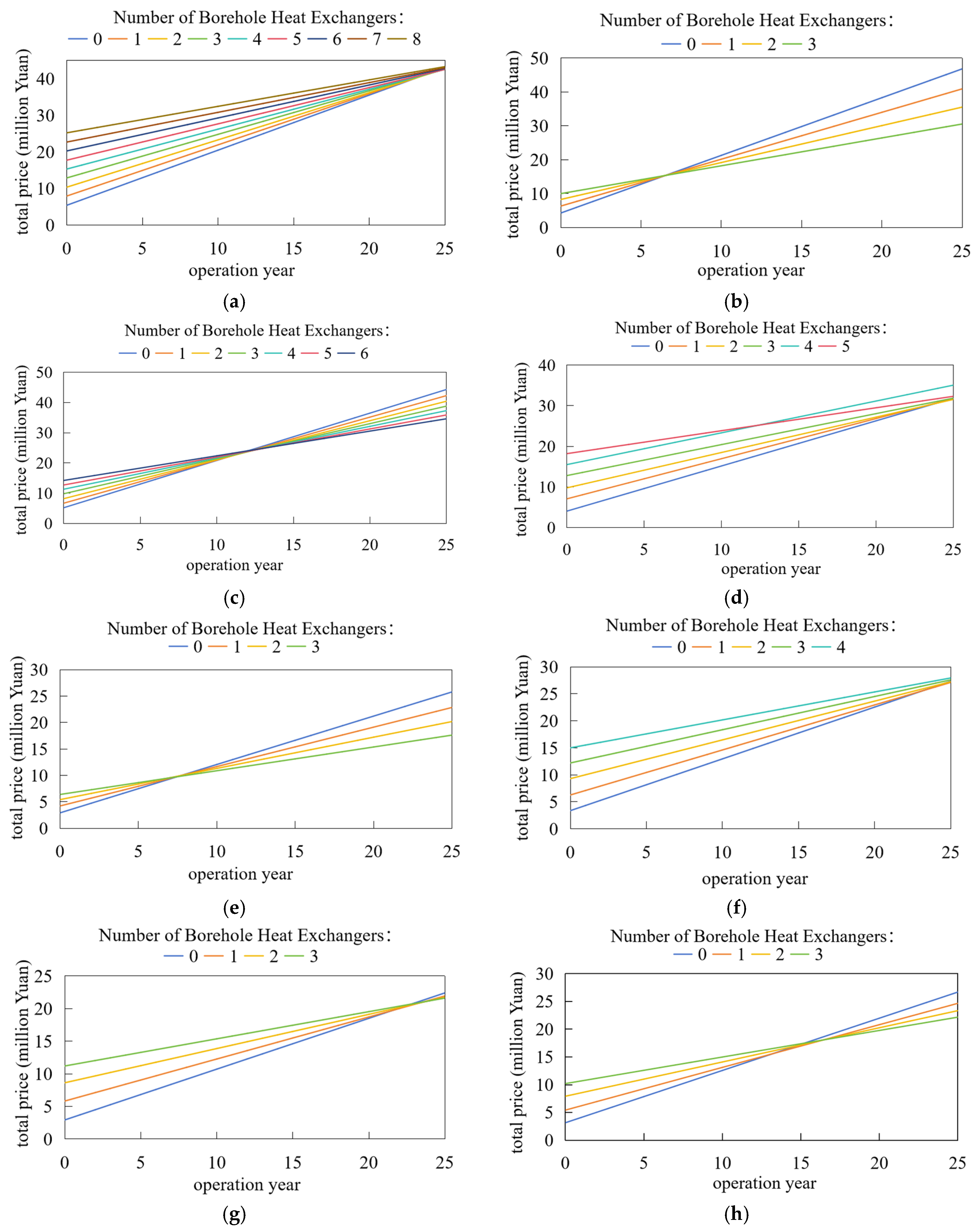
3.1.3. Configuration of Medium-Deep Borehole Heat Pump Systems
3.2. Analysis on Heating Performance and Economic Benefits of MD-GHPs
3.2.1. Heat Exchange Performance of MD-GHPs During the Heating Season
3.2.2. Energy Performance of MD-GHPs During the Heating Season
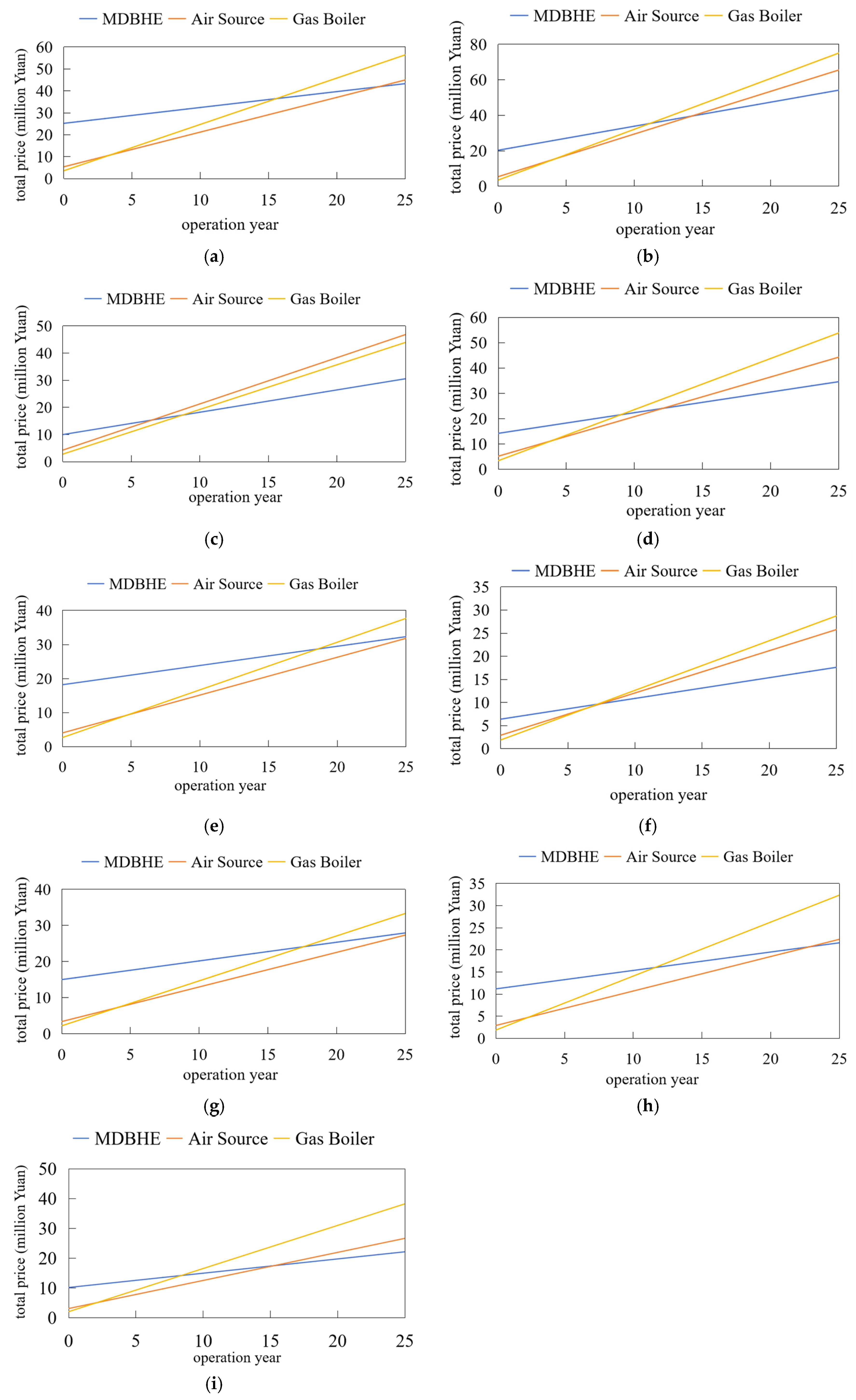
3.3. Analysis on Operational Performance and Economic Benefits of Different Heat Source Systems
4. Discussion
4.1. Performance Analysis of Different Combination Modes
4.1.1. Typical Operating Condition Single-Point Performance Analysis
4.1.2. Comparison of Performance of Different Combination Modes
4.1.3. Comparison of Economic Benefits of Different Combination Modes
4.2. Adaptability Analysis of Series Mode Systems in Different Climate Zones
5. Conclusions
- The series-coupled mode demonstrates superior performance among the three hybrid configurations. By implementing intermediate temperature control, it reduces the user-side supply water temperature of the ASHPs during heating seasons, thereby lowering condensation temperatures. Compared to cascade systems, it achieves lower source-side pump energy consumption and higher seasonal energy efficiency, with a COP of 3.52 in Urumqi. Its advantages in energy allocation optimization and thermal regulation establish it as the optimal integration strategy for MD-GHP and ASHP systems.
- Regional adaptability of heat source configurations depends on geothermal resource endowment, climatic conditions, and electricity price dynamics. Cities with abundant geothermal resources and favorable geology (e.g., Xining, Xi’an) favor pure MD-GHPs systems, while regions with limited geothermal potential and challenging geology (e.g., Tsingdao, Hangzhou) show better suitability for pure ASHPs systems. Intermediate-resource areas require customized configurations balancing operational demands and energy market fluctuations.
- The hybrid system synergistically combines the advantages of both heat sources, offering relatively low initial investments and operational costs. However, economic superiority varies temporally across cities due to electricity price influences: the series mode configuration generally achieves optimal cost–benefit equilibrium between initial and operational expenses during the 20th–25th operational years, as exemplified by Urumqi, Tsingdao, and Hefei, where it effectively balances capital expenditures with long-term energy savings.
Supplementary Materials
Author Contributions
Funding
Data Availability Statement
Conflicts of Interest
References
- Nie, Y.Z.; Deng, M.S.; Shan, M.; Yang, X.D. Clean and low-carbon heating in the building sector of China: 10-Year development review and policy implications. Energy Policy 2023, 179, 113659. [Google Scholar] [CrossRef]
- Yuan, M.; Mathiesen, B.V.; Schneider, N.; Xia, J.; Zheng, W.; Sorknæs, P.; Lund, H.; Zhang, L. Renewable energy and waste heat recovery in district heating systems in China: A systematic review. Energy 2024, 294, 130788. [Google Scholar] [CrossRef]
- Cui, P.; Yang, W.; Zhang, W.; Zhu, K.; Spitler, J.D.; Yu, M. Advances in ground heat exchangers for space heating and cooling: Review and perspectives. Energy Built Environ. 2024, 5, 255–269. [Google Scholar] [CrossRef]
- Deng, J.; Wei, Q.; He, S.; Liang, M.; Zhang, H. What is the main difference between medium-depth geothermal heat pump systems and conventional shallow-depth geothermal heat pump systems? Field tests and comparative study. Appl. Sci. 2019, 9, 5120. [Google Scholar] [CrossRef]
- Deng, J.; Ma, M.; Wei, Q.; Liu, J.; Zhang, H.; Li, M. A specially-designed test platform and method to study the operation performance of medium-depth geothermal heat pump systems (MD-GHPs) in newly-constructed project. Energy Build. 2022, 272, 112369. [Google Scholar] [CrossRef]
- Yishuo, X.; Yukun, S.; Sumin, Z. Heat extraction by deep coaxial borehole heat exchanger for clean space heating near Beijing, China: Field test, model comparison and operation pattern evaluation. Renew. Energy 2022, 199, 803–815. [Google Scholar]
- Wang, Z.; Wang, F.; Liu, J.; Ma, Z.; Han, E.; Song, M. Field test and numerical investigation on the heat transfer characteristics and optimal design of the heat exchangers of a deep borehole ground source heat pump system. Energy Convers. Manag. 2017, 153, 603–615. [Google Scholar] [CrossRef]
- Holmberg, H.; Acuna, J.; Næss, E.; Sønju, O.K. Thermal evaluation of coaxial deep borehole heat exchangers. Renew. Energy 2016, 97, 65–76. [Google Scholar] [CrossRef]
- Beier, R.A.; Fossa, M.; Morchio, S. Models of thermal response tests on deep coaxial borehole heat exchangers through multiple ground layers. Appl. Therm. Eng. 2021, 184, 116241. [Google Scholar] [CrossRef]
- Moreira, D.; Macias, J.; Hidalgo-Leon, R.; Jervis, F.X.; Soriano, G. Performance of a borehole heat exchanger: The influence of thermal properties estimation under tidal fluctuation. Eng. Sci. Technol. Int. J. 2022, 30, 101057. [Google Scholar]
- Beier, R.A. Thermal response tests on deep borehole heat exchangers with geothermal gradient. Appl. Therm. Eng. 2020, 178, 115447. [Google Scholar] [CrossRef]
- Luo, Y.Q.; Cheng, N.; Xu, G.Z. Analytical modeling and thermal analysis of deep coaxial borehole heat exchanger with stratified-seepage-segmented finite line source method (S3-FLS). Energy Build. 2022, 257, 111795. [Google Scholar] [CrossRef]
- Al-Kbodi, B.H.; Rajeh, T.; Li, Y.; Zhao, J.; Zhao, T.; Zayed, M.E. Heat extraction analyses and energy consumption characteristics of novel designs of geothermal borehole heat exchangers with elliptic and oval double U-tube structures. Appl. Therm. Eng. 2023, 235, 121418. [Google Scholar] [CrossRef]
- Lund, A.E.D. Effect of heat and mass transfer related parameters on the performance of deep borehole heat exchangers. Appl. Therm. Eng. 2024, 253, 123764. [Google Scholar] [CrossRef]
- Gola, G.; Sipio, E.D.; Facci, M.; Galgaro, A.; Manzella, A. Geothermal deep closed-loop heat exchangers: A novel technical potential evaluation to answer the power and heat demands. Renew. Energy 2022, 198, 1193–1209. [Google Scholar] [CrossRef]
- Deng, J.; Peng, C.; Su, Y.; Qiang, W.; Cai, W.; Wei, Q. Research on the heat storage characteristic of deep borehole heat exchangers under intermittent operation mode: Simulation analysis and comparative study. Energy 2023, 282, 128938. [Google Scholar] [CrossRef]
- Huang, S.; Zhu, K.; Dong, J.; Li, J.; Kong, W.; Jiang, Y.; Fang, Z. Heat transfer performance of deep borehole heat exchanger with different operation modes. Renew. Energy 2022, 193, 645–656. [Google Scholar] [CrossRef]
- Deng, J.; Peng, C.; Su, Y.; Qiang, W.; Wei, Q. Research on the long-term operation performance of deep borehole heat exchangers array: Thermal attenuation and maximum heat extraction capacity. Energy Build. 2023, 298, 113511. [Google Scholar] [CrossRef]
- Wang, C.; Ma, M.; Su, Y.; Wang, Y.; Wang, Y.; Chen, Y.; Deng, J. Research on the operation features and optimization methods of heat pumps coupled with mid-deep borehole heat exchangers: On-site measurements and comparative study. Energy Build. 2025, 328, 115239. [Google Scholar] [CrossRef]
- Deng, J.; Su, Y.; Peng, C.; Qiang, W.; Cai, W.; Wei, Q.; Zhang, H. How to improve the energy performance of mid-deep geothermal heat pump systems: Optimization of heat pump, system configuration and control strategy. Energy 2023, 285, 129537. [Google Scholar] [CrossRef]
- Wang, Z.; Wang, F.; Liu, J.; Li, Y.; Wang, M.; Luo, Y.; Ma, L.; Zhu, C.; Cai, W. Energy analysis and performance assessment of a hybrid deep borehole heat exchanger heating system with direct heating and coupled heat pump approaches. Energy Convers. Manag. 2023, 276, 116484. [Google Scholar] [CrossRef]
- He, W.; Ren, B.; Jin, H.; Liu, R.; Luo, H.; Luo, Y.; Zhou, C. Geothermal cascade utilization for low-carbon building cooling and heating via collaboration of shallow and deep borehole heat exchanger array. J. Build. Eng. 2025, 101, 111870. [Google Scholar] [CrossRef]
- Li, J.; Bao, L.; Niu, G.; Miao, Z.; Guo, X.; Wang, W. Research on renewable energy coupling system based on medium-deep ground temperature attenuation. Appl. Energy 2024, 353, 122187. [Google Scholar] [CrossRef]
- Deng, J.; Qiang, W.; Peng, C.; Wei, Q.; Cai, W.; Zhang, H. Can deep borehole heat exchangers operate stably in long-term operation? Simulation analysis and design method. J. Build. Eng. 2022, 62, 105358. [Google Scholar] [CrossRef]
- GB/T 51161-2016; Standard for Building Energy Consumption of Urban Buildings. China Architecture & Building Press: Beijing, China, 2016.
- Ministry of Ecology and Environment of the People’s Republic of China. Announcement on Releasing the 2022 Electricity Carbon Dioxide Emission Factors (Annex: 2022 Electricity Carbon Dioxide Emission Factors). Available online: https://www.mee.gov.cn (accessed on 26 December 2024).






















| Parameters | Unit | Detail |
|---|---|---|
| Pr | Yuan/W | MD-GHPs and Boiler 1 Yuan/W; ASHPs 1.5 Yuan/W |
| Pb | Yuan/unit | Based on the local conditions |
| Pw | Yuan/kWh | Based on the local electricity price |
| Pv | Yuan/m3 | Based on the local gas price |
| Ee | kgCO2/kWh | Based on the local conditions |
| Parameters | Numerical Value | |
|---|---|---|
| H of DBHE (m) | 2500 | |
| Outer pipe | External diameter (doo, mm) | 178 |
| Inner diameter (doo, mm) | 160 | |
| Material | Petroleum casing pipe (J55) | |
| , W/(m·K)) | 54 | |
| Specific heat capacity (Co, kJ/(kg·K)) | 0.47 | |
| , kg/m3) | 7820 | |
| Inner pipe | External diameter (dio, mm) | 110 |
| Inner diameter (dii, mm) | 94 | |
| Material | High-density polyethylene | |
| , W/(m·K)) | 0.40 | |
| Specific heat capacity (Ci, kJ/(kg·K)) | 2.1 | |
| , kg/m3) | 930 | |
| Climate Zone | Cities | Peak Load (kW) | Peak Load Index (W/m2) | Cumulative Heat Supply (GJ) | Cumulative Heat Supply Index (GJ/m2) |
|---|---|---|---|---|---|
| Severe Cold Region | Urumqi | 3508.35 | 35.08 | 29,105.70 | 0.29 |
| Shenyang | 3490.28 | 34.90 | 27,028.01 | 0.27 | |
| Xining | 2793.23 | 27.93 | 24,060.71 | 0.24 | |
| Cold Region | Tianjin | 3359.86 | 33.60 | 20,002.20 | 0.20 |
| Tsingdao | 2668.16 | 26.68 | 14,018.71 | 0.14 | |
| Xi’an | 1831.69 | 18.32 | 12,000.35 | 0.12 | |
| Hot Summer and Cold Winter Region | Nanjing | 2190.05 | 21.90 | 12,843.26 | 0.13 |
| Hangzhou | 1893.10 | 18.93 | 10,717.91 | 0.11 | |
| Hefei | 2004.46 | 20.04 | 12,075.28 | 0.12 |
| Parameters | Values |
|---|---|
| Heating capacity (kW) | 1055 |
| Electric power (kW) | 206.1 |
| Supply and return condenser-side water temperature (°C) | 55/45 |
| Inlet and outlet evaporator-side water temperature (°C) | 30/15 |
| Rated condition COP | 5.12 |
| Regions | Severe Cold Region | Cold Region | Hot Summer and Cold Winter Region | ||||||
|---|---|---|---|---|---|---|---|---|---|
| Urumqi | Shenyang | Xining | Tianjin | Tsingdao | Xi’an | Nanjing | Hangzhou | Hefei | |
| Building Area (104 m2) | 10 | ||||||||
| Heat Supply (MWh) | 8084.92 | 7507.78 | 6683.53 | 5556.17 | 3894.09 | 3333.43 | 3567.57 | 2977.20 | 3354.25 |
| Peak Heating Load (kW) | 3508.35 | 3490.28 | 2793.23 | 3359.86 | 2668.16 | 1831.69 | 2190.05 | 1893.10 | 2004.46 |
| Number of Borehole Heat Exchangers | 8 | 6 | 3 | 6 | 5 | 3 | 4 | 3 | 3 |
| Heat Pump Installed Capacity (kW) | 1800 | 1750 | 1400 | 1700 | 1350 | 950 | 1100 | 950 | 1050 |
| Total Initial Investment (million Yuan) | 25.20 | 20.30 | 10.00 | 14.20 | 18.20 | 6.40 | 15.00 | 11.20 | 10.20 |
| Total Power Consumption (MWh) | 1523.19 | 1694.43 | 1214.18 | 1033.05 | 666.41 | 562.10 | 624.63 | 496.88 | 553.29 |
| COP of Heat Pumps | 6.74 | 5.39 | 7.06 | 6.85 | 7.63 | 7.77 | 7.40 | 7.88 | 8.00 |
| COPs of the System | 5.31 | 4.43 | 5.50 | 5.38 | 5.84 | 5.93 | 5.71 | 5.99 | 6.06 |
| Operation Costs (million Yuan/year) | 0.72 | 0.80 | 0.58 | 0.49 | 0.32 | 0.27 | 0.30 | 0.24 | 0.26 |
| Total Costs Over 20 Years (million Yuan) | 39.67 | 36.40 | 21.53 | 24.01 | 24.53 | 11.74 | 20.93 | 15.92 | 15.46 |
| CO2 emission (tCO2/year) | 949.10 | 953.29 | 190.26 | 727.37 | 427.17 | 368.63 | 373.41 | 256.04 | 375.24 |
| Cities | Number of Units and Installed Capacity of Air-Source Heat Pump (Unit × kW) | Initial Investment Air-Source Heat Pump (Million Yuan) | Number of Units and Installed Capacity of Natural Gas Boiler (Unit × kW) | Initial Investment Natural Gas Boiler (Million Yuan) |
|---|---|---|---|---|
| Urumqi | 24 × 150 | 5.40 | 2 × 1800 | 3.60 |
| Shenyang | 24 × 150 | 5.40 | 2 × 1750 | 3.50 |
| Xining | 19 × 150 | 4.28 | 2 × 1400 | 2.80 |
| Tianjin | 23 × 150 | 5.18 | 2 × 1700 | 3.40 |
| Tsingdao | 18 × 150 | 4.05 | 2 × 1350 | 2.70 |
| Xi’an | 13 × 150 | 2.93 | 2 × 950 | 1.90 |
| Nanjing | 15 × 150 | 3.38 | 2 × 1100 | 2.20 |
| Hanzhou | 13 × 150 | 2.93 | 2 × 950 | 1.90 |
| Hefei | 14 × 150 | 3.15 | 2 × 1050 | 2.10 |
Disclaimer/Publisher’s Note: The statements, opinions and data contained in all publications are solely those of the individual author(s) and contributor(s) and not of MDPI and/or the editor(s). MDPI and/or the editor(s) disclaim responsibility for any injury to people or property resulting from any ideas, methods, instructions or products referred to in the content. |
© 2025 by the authors. Licensee MDPI, Basel, Switzerland. This article is an open access article distributed under the terms and conditions of the Creative Commons Attribution (CC BY) license (https://creativecommons.org/licenses/by/4.0/).
Share and Cite
Wang, Y.; Deng, J.; Su, Y.; Peng, C.; Ma, M.; Chen, Y.; Fan, L.; Chen, M.; Wei, Q.; Zhang, H. Research on Configuration Optimization and Control Methods for Mid-Deep Geothermal Heat Pumps Coupled with Air-Source Heat Pump Systems for Space Heating in Residential Buildings. Buildings 2025, 15, 1938. https://doi.org/10.3390/buildings15111938
Wang Y, Deng J, Su Y, Peng C, Ma M, Chen Y, Fan L, Chen M, Wei Q, Zhang H. Research on Configuration Optimization and Control Methods for Mid-Deep Geothermal Heat Pumps Coupled with Air-Source Heat Pump Systems for Space Heating in Residential Buildings. Buildings. 2025; 15(11):1938. https://doi.org/10.3390/buildings15111938
Chicago/Turabian StyleWang, Yanhui, Jiewen Deng, Yangyang Su, Chenwei Peng, Minghui Ma, Yin Chen, Lei Fan, Min Chen, Qingpeng Wei, and Hui Zhang. 2025. "Research on Configuration Optimization and Control Methods for Mid-Deep Geothermal Heat Pumps Coupled with Air-Source Heat Pump Systems for Space Heating in Residential Buildings" Buildings 15, no. 11: 1938. https://doi.org/10.3390/buildings15111938
APA StyleWang, Y., Deng, J., Su, Y., Peng, C., Ma, M., Chen, Y., Fan, L., Chen, M., Wei, Q., & Zhang, H. (2025). Research on Configuration Optimization and Control Methods for Mid-Deep Geothermal Heat Pumps Coupled with Air-Source Heat Pump Systems for Space Heating in Residential Buildings. Buildings, 15(11), 1938. https://doi.org/10.3390/buildings15111938

