Analysis of Dynamic Response of Composite Reinforcement Concrete Square Piles Under Multi-Directional Seismic Excitation
Abstract
1. Introduction
2. Shake Table Test Design
2.1. Test Overview
2.2. Similarity Design and Model Pile Fabrication
2.3. Model Soil Preparation
2.4. Test Instruments
2.5. Input Motion and Test Protocol
3. Experimental Results and Analysis
3.1. Dynamic Characteristics of the System
3.2. Seismic Response of Foundation Soil
3.3. Dynamic Soil Pressure at the Pile–Soil Interface
3.4. Response of Outer Longitudinal Reinforcement
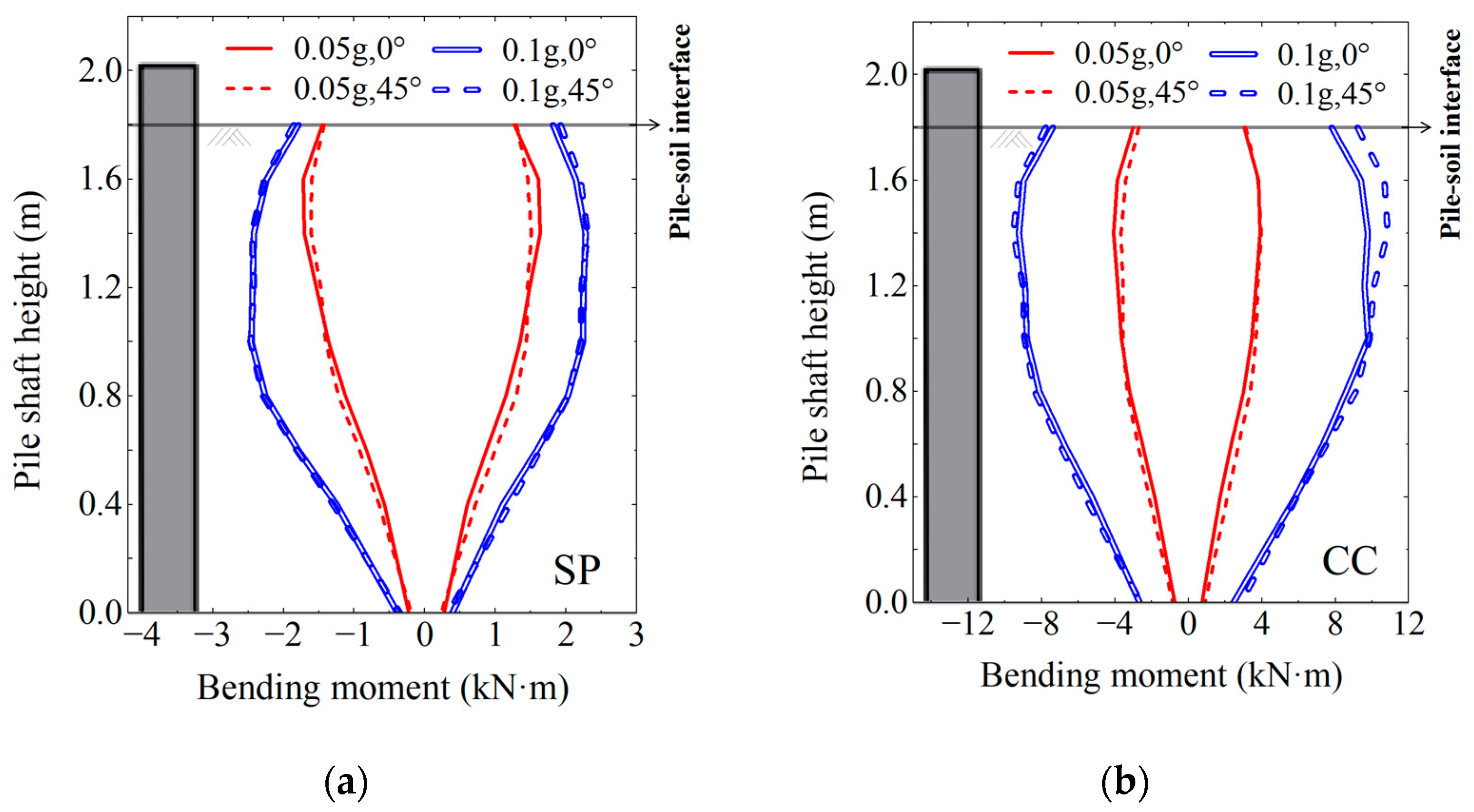
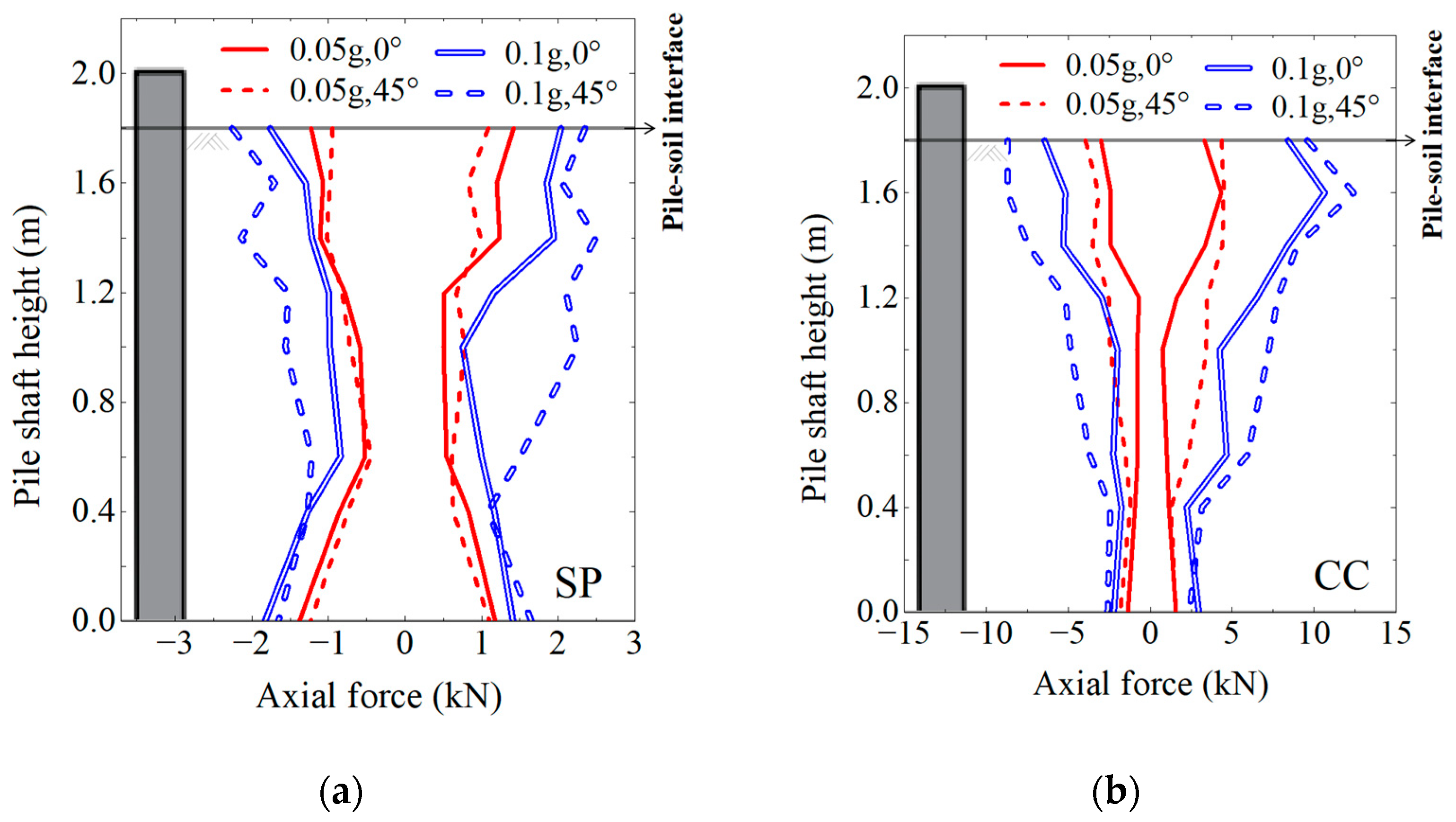
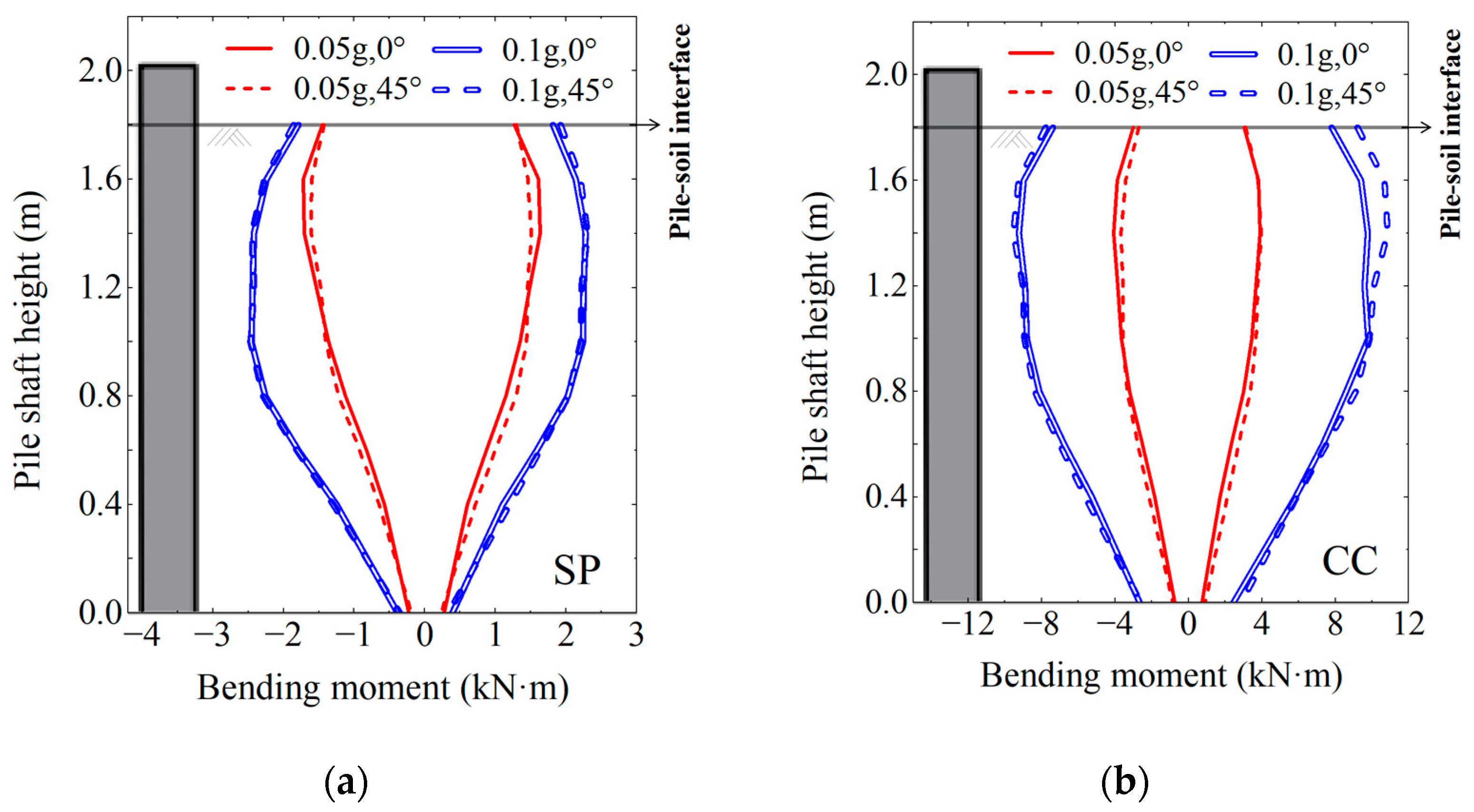
3.5. Internal Force Response of the Pile
4. Conclusions
- Amplification and filtering effects exist in clay foundations under seismic excitation. The surface acceleration is amplified compared to the base input, particularly enhancing components near its natural frequency;
- Under horizontal seismic loading, dynamic earth pressure along the pile exhibits a ‘large at the top, small at the bottom’ distribution pattern. Near the ground surface, due to the intermittent contact and separation between the pile and soil, the time history of dynamic earth pressure fluctuates periodically between zero and positive values. Furthermore, under 45° seismic excitation, the intensity of pile–soil compressive interaction is marginally weakened by approximately 20% to 30%;
- The 45° loading direction is more sensitive to the deformation of the outer reinforcement bars at the pile corners. Compared to the 0° direction, the dynamic strain response of the outer longitudinal reinforcement under 45° seismic excitation increased by approximately 30% to 60%;
- Considering soil–structure interaction (SSI), the seismic bending envelopes along the pile exhibit a distribution pattern of ‘larger at the upper-middle section, smaller at both ends’, with peak values occurring at a location 3–5 times the pile diameter from the top. Additionally, the bending moment responses are generally consistent between 0° and 45° due to the pile’s symmetric shape and reinforcement layout;
- Considering SSI, the maximum axial force occurs near the pile top. Additionally, compared to 0°, 45° seismic excitation results in a larger axial force response (less than 50%), indicating more significant pile deformation and the reduced stability of the superstructure mass under diagonal excitation;
- The internal force response of the pile is influenced by the input ground motion type: the Chi-Chi (CC) ground motion, with a predominant frequency closer to the natural frequency of the pile, induces significantly greater internal forces than the Songpan (SP) motion. For instance, under the 0.1 g PGA, the bending moment of the pile induced by the CC ground motion was approximately four times greater than that induced by the SP ground motion.
Author Contributions
Funding
Data Availability Statement
Acknowledgments
Conflicts of Interest
References
- Wang, Y.; Sang, S.; Zhang, M. Investigation on in-situ test of penetration characteristics of open and closed PHC pipe piles. Soils Found. 2021, 61, 960–973. [Google Scholar] [CrossRef]
- Ding, X.; Gao, J.; Li, S. Application analysis of PHC pile and CFG pile on sandy ground in Xi’an area. J. Ground Improv. 2023, 5, 498–505. [Google Scholar]
- Hou, Z.; Liu, Y.; Han, Z. Experimental study of the bearing characteristics of a novel energy-saving and environmentally friendly pile: Drilling with prestressed concrete pipe cased piles. Int. J. Geomech. 2024, 24, 04024035. [Google Scholar] [CrossRef]
- Li, Y.; Chen, Y.; Liu, K. Seismic performance of prestressed high-intensity concrete pile. J. Hebei Univ. Technol. 2013, 42, 99–103. [Google Scholar]
- Xu, Q.B. Composite Reinforced Concrete Prefabricated Square Pile; Zhejiang University Architectural Design and Research Institute Co., Ltd.: Hangzhou, China, 27 April 2016. [Google Scholar]
- Budek, A.; Benzoni, G.; Priestley, M. Experimental Investigation of Ductility of In-Ground Hinges in Solid and Hollow Prestressed Piles; Structural Systems Research Project: San Diego, CA, USA, 1997. [Google Scholar]
- Gong, S.; Zhao, Y.; Fan, H. Experimental study on seismic performance of prestressed concrete solid square piles. Adv. Struct. Eng. 2024, 27, 2444–2462. [Google Scholar] [CrossRef]
- Ni, G.; Yang, J.; Pan, P. Quasi-static Tests of Pile-cap Connections for the prestressed Spun Concrete square piles. China Earthq. Eng. J. 2013, 35, 246–251. [Google Scholar]
- LIU, C.; HU, Q.; ZHENG, G. Experimental study on seismic performance of hollow square concrete pile with combined prestressed and non-prestressed steel bar. J. Build. Struct. 2020, 41, 166–175. [Google Scholar]
- Zheng, G.; Liu, C.; Liu, Y. Experimental study on horizontal bearing behaviors of different pile types of full-scale piles under reciprocating horizontal loads. Chin. J. Geotech. Eng. 2019, 41, 32–40. [Google Scholar]
- Xu, Q.B.; Chen, G.; He, J.F.; Gong, S.F.; Xiao, Z.B. Flexural performance experiment of connection joint for composite reinforcement concrete prefabricated square piles. J. Zhejiang Univ. Eng. Sci. 2017, 51, 1300–1308. [Google Scholar]
- Xu, Q.B.; Chen, G.; Gong, S.F. Experimental research on shear behavior of composite reinforcement concrete prefabricated square piles. Ind. Constr. 2017, 47, 102–108+165. [Google Scholar]
- Wang, H.Y.; Gan, G.; Zeng, K.; Chen, K.P.; Yu, X.D. Study on Flexural Performance of Prestressed Concrete Steel Strand Square Piles with Reinforcement. Buildings 2022, 12, 1801. [Google Scholar] [CrossRef]
- Du, H.B. Seismic performance of biaxially loaded reinforced concrete columns. J. Harbin Univ. Civ. Eng. Archit. 1999, 4, 47–52. [Google Scholar]
- Qiu, F.W.; Li, W.F. Bidirectional quasi-static test study on reinforced concrete columns. J. Build. Struct. 2001, 22, 26–31. [Google Scholar]
- Pham, T.P.; Li, B. Seismic behavior of reinforced concrete columns with light transverse reinforcement under different lateral loading directions. ACI Struct. J. 2013, 110, 833–843. [Google Scholar]
- Zhang, H.Y.; Qu, B.W.; Mao, C.X. Experimental study on seismic performance of reinforced concrete columns under horizontally bidirectional cyclic loading. China Civ. Eng. J. 2019, 52, 49–61+71. [Google Scholar]
- Çetindemir, O. A review of modeling issues on the seismic soil-pile-structure interaction. KSCE J. Civ. Eng. 2025, 28, 3359–3377. [Google Scholar] [CrossRef]
- Tokimatsu, K.; Suzuki, H.; Sato, M. Effects of inertial and kinematic interaction on seismic behavior of pile with embedded foundation. Soil Dyn. Earthq. Eng. 2005, 25, 753–762. [Google Scholar] [CrossRef]
- Wang, X.; Ye, A.; Shang, Y.; Zhou, L. Shake-table investigation of scoured RC pile-group-supported bridges in liquefiable and nonliquefiable soils. Earthq. Eng. Struct. Dyn. 2019, 48, 1217–1237. [Google Scholar] [CrossRef]
- Xu, C.S.; Jia, K.M.; Du, X.L.; Wang, Z.H.; Song, J.; Zhang, X.L. Review on seismic behavior of pile foundation subjected to liquefaction-induced lateral spreading. J. Disaster Prev. Mitig. Eng. 2021, 41, 768–791. [Google Scholar]
- Feng, Z.J.; Zhang, C.; He, J.B. Shaking table test on time-history response of rock-socketed single pile under strong earthquake. Rock Soil Mech. 2021, 42, 3227–3237. [Google Scholar]
- Zhao, X.G.; Gao, W.S. Experimental study on seismic response of pile group foundation with high-cap by shaking table. Build. Struct. 2019, 49, 120–129. [Google Scholar]
- Zhang, H.; Wang, F.; Lyu, Z.; Zhao, Z.; Liu, Z.; Mao, Z. Shake-table test on dynamic response of prestressed high-strength concrete pipe piles under soil-structure interaction. Soil Dyn. Earthq. Eng. 2023, 174, 108159. [Google Scholar] [CrossRef]
- Lin, G.; Zhu, T.; Lin, B. Similarity techniques for dynamic model tests of structures. J. Dalian Univ. Technol. 2000, 1, 1–8. [Google Scholar]
- Yang, J.; Lu, Z.; Li, P. Large-scale shaking table test on tall buildings with viscous dampers considering pile-soil-structure interaction. Eng. Struct. 2020, 220, 110960. [Google Scholar] [CrossRef]
- GB 50010-2010; Code for Design of Concrete Structures. China Standards Press: Beijing, China, 2015.
- GB/T 50123-2019; Standard for Geotechnical Testing Method. China Standards Press: Beijing, China, 2019.
- GB 50007-2011; Code for Design of Building Foundation. China Standards Press: Beijing, China, 2011.

















| Physical Quantity | Similar Relationship | Similarity Ratio |
|---|---|---|
| Length, | 0.5 | |
| Elastic modulus, | 1 | |
| Density, | 1 | |
| Mass, | 0.125 | |
| Shear force, | 0.25 | |
| Stress, σ | SE | 1 |
| Bending moment, | 0.125 | |
| Period, | 0.5 | |
| Velocity, | 1 | |
| Acceleration, | 2 |
| Water Content (%) | Density (g/cm3) | Plastic Limit (%) | Liquid Limit (%) | Cohesion (kPa) | Angle of Internal Friction (°) |
|---|---|---|---|---|---|
| 23.12 | 2.01 | 19.4 | 35.0 | 23.48 | 16.56 |
| Case | Seismic Record | PGA | |
|---|---|---|---|
| X | Y | ||
| WN-1 | WN | 0.03 g | |
| SP-1 (0°) | SP | 0.05 g | |
| CC-1 (0°) | CC | 0.05 g | |
| WN-2 | WN | 0.03 g | |
| SP-1 (45°) | SP | 0.0353 g | 0.0353 g |
| CC-1 (45°) | CC | 0.0353 g | 0.0353 g |
| WN-3 | WN | 0.03 g | |
| SP-2 (45°) | SP | 0.707 g | 0.707 g |
| CC-2 (45°) | CC | 0.707 g | 0.707 g |
| WN-4 | WN | 0.03 g | |
| SP-2 (0°) | SP | 0.1 g | |
| CC-2 (0°) | CC | 0.1 g | |
| WN-5 | WN | 0.03 g | |
Disclaimer/Publisher’s Note: The statements, opinions and data contained in all publications are solely those of the individual author(s) and contributor(s) and not of MDPI and/or the editor(s). MDPI and/or the editor(s) disclaim responsibility for any injury to people or property resulting from any ideas, methods, instructions or products referred to in the content. |
© 2025 by the authors. Licensee MDPI, Basel, Switzerland. This article is an open access article distributed under the terms and conditions of the Creative Commons Attribution (CC BY) license (https://creativecommons.org/licenses/by/4.0/).
Share and Cite
Fu, C.; Gan, G.; Chen, K.; Fan, K. Analysis of Dynamic Response of Composite Reinforcement Concrete Square Piles Under Multi-Directional Seismic Excitation. Buildings 2025, 15, 1874. https://doi.org/10.3390/buildings15111874
Fu C, Gan G, Chen K, Fan K. Analysis of Dynamic Response of Composite Reinforcement Concrete Square Piles Under Multi-Directional Seismic Excitation. Buildings. 2025; 15(11):1874. https://doi.org/10.3390/buildings15111874
Chicago/Turabian StyleFu, Chenxi, Gang Gan, Kepeng Chen, and Kai Fan. 2025. "Analysis of Dynamic Response of Composite Reinforcement Concrete Square Piles Under Multi-Directional Seismic Excitation" Buildings 15, no. 11: 1874. https://doi.org/10.3390/buildings15111874
APA StyleFu, C., Gan, G., Chen, K., & Fan, K. (2025). Analysis of Dynamic Response of Composite Reinforcement Concrete Square Piles Under Multi-Directional Seismic Excitation. Buildings, 15(11), 1874. https://doi.org/10.3390/buildings15111874

