Characteristics and Deformation Mechanisms of Neogene Red-Bed Soft Rock Tunnel Surrounding Rock: Insights from Field Monitoring and Experimental Analysis
Abstract
1. Introduction
2. Experimental Materials and Methods
2.1. Study Objects
2.2. Surrounding Rock Deformation Monitoring
3. Experimental Results and Analysis
3.1. Temporal Characteristics of Surrounding Rock Deformation
3.2. Spatial Distribution of Surrounding Rock Deformation
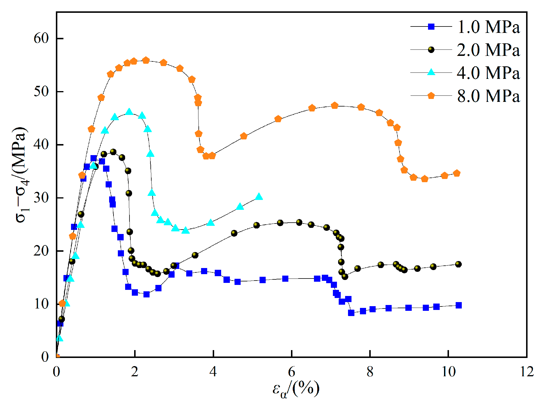
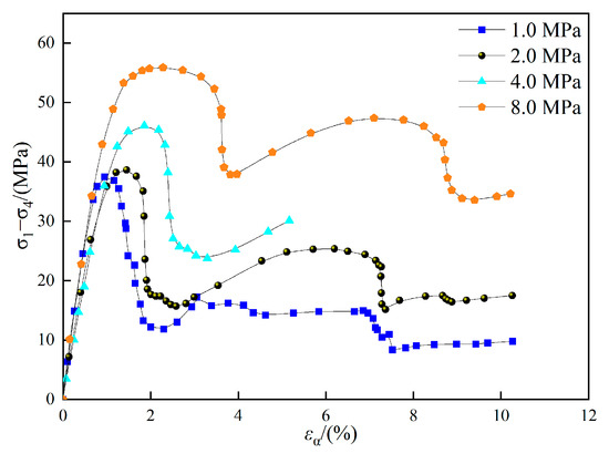
3.3. Mechanical Behavior of Surrounding Rock
4. Discussion
4.1. Factors Influencing Surrounding Rock Deformation
- Engineering properties of surrounding rock.
- 2.
- Temporal–Spatial Effects.
- 3.
- Construction methods and techniques.
- 4.
- Support timing.
- Invert measurement points exhibit faster pressure growth rates compared to upper and middle bench points.
- The vault experiences the highest surrounding rock pressure, followed by the spandrel, though the spandrel shows the fastest stress release rate. This aligns with surface strain monitoring results.
- Under subsequent construction disturbances, stress redistribution occurs, manifesting as a sudden drop in the previously stable pressure curve termed “platform”, followed by a repetition of the three-phase evolution.
4.2. Limitations and Shortcomings of the Study
5. Conclusions
Author Contributions
Funding
Data Availability Statement
Acknowledgments
Conflicts of Interest
References
- Huang, W.T.; Jackson, M.J.; Dekkers, M.J.; Solheid, P.; Zhang, Y.; Li, S.H.; Guo, Z.J.; Ding, L. Remagnetization of Red Beds on the Tibetan Plateau: Mechanism and Diagnosis. J. Geophys. Res.-Solid. Earth 2020, 125, e2020JB020068. [Google Scholar] [CrossRef]
- Lucero, D.; Bailey, L.; Kim, J.H.; Voller, V.; Hughes, A.; Krantz, R.; Lingrey, S.; Barton, M.D.; Barton, I.; Reiners, P.; et al. Influence of internal fluid driving mechanisms on red bed bleaching in the Paradox Basin (Colorado Plateau, Utah and Colorado, USA). Geol. Soc. Am. Bull. 2025, 137, 2765–2783. [Google Scholar] [CrossRef]
- Bábek, O.; Vodrázková, S.; Kumpan, T.; Kalvoda, J.; Holá, M.; Ackerman, L. Geochemical record of the subsurface redox gradient in marine red beds: A case study from the Devonian Prague Basin, Czechia. Sedimentology 2021, 68, 3523–3548. [Google Scholar] [CrossRef]
- Rasmussen, B.; Muhling, J.R.; Zi, J.W.; Tsikos, H.; Fischer, W.W. A 1.25 Ga depositional age for the “Paleoproterozoic” Mapedi red beds, Kalahari manganese field, South Africa: New constraints on the timing of oxidative weathering and hematite mineralization. Geology 2020, 48, 44–48. [Google Scholar] [CrossRef]
- Retallack, G.J.; Broz, A.P. Ediacaran and Cambrian paleosols from central Australia. Paleogeogr. Paleoclimatol. Paleoecol. 2020, 560, 110047. [Google Scholar] [CrossRef]
- Wu, Y.Z.; Wang, H.L.; Zhang, Y.J.; Lyu, C.H.; Liu, Y.X.; Wang, W.X. Deterioration Mechanism and Statistical Damage Constitutive Model of Red-Bed Soft Rock with Different Moisture Content. Pure Appl. Geophys. 2025, 182, 189–208. [Google Scholar] [CrossRef]
- He, J.L.; Niu, F.J.; Luo, F.; Jiang, H.Q.; He, P.F.; Ju, X. Mechanical properties and modified binary-medium constitutive model for red-bed soft rock subjected to freeze-thaw cycles. Cold Reg. Sci. Tech. 2023, 209, 103803. [Google Scholar]
- Qin, Y.G.; Yang, G.L.; Liu, B.Y.; Xu, J.X. Study on deformation and failure mechanism of low-dip red bed slope with soft-hard interbedded structure: A case study of Chishui, China. Nat. Hazards 2024, 120, 10539–10557. [Google Scholar]
- Wu, K.; Jin, B.; Hong, S.P.; Chen, J.; Nie, Q.Q.; Liu, H.L.; Cai, H.; Gao, X. Analysis of macroscopic, microcosmic, and microscopic characteristics of red-bed soft rock in Central Yunnan and its mechanical response in construction. Phys. Fluids 2024, 36, 106607. [Google Scholar] [CrossRef]
- Yan, J.S.; Xue, X.W.; Gong, C.F.; Zhang, K.X. Study on the Characteristics and Mechanism of Shield Tunnel Mud Cake Disintegration in Complex Red-Bed Geology. Coatings 2024, 14, 567. [Google Scholar] [CrossRef]
- Allen, W.K.; Ridgway, K.D.; Benowitz, J.A.; Waldien, T.S.; Roeske, S.M.; Fitzgerald, P.G.; Gillis, R.J. Neogene sedimentary record of the evolution of a translated strike-slip basin along the Denali fault system: Implications for timing of displacement, composite basin development, and regional tectonics of southern Alaska. Geosphere 2022, 18, 585–615. [Google Scholar] [CrossRef]
- Li, S.Q.; Yang, Z.P.; Gao, Y.H.; Li, H.M.; Xu, W.J.; Jin, X.G. Study on deformation characteristics and damage mechanisms of soil-red stratum soft rock mixture undergoing tunnel excavation unloading considering wetting. Transp. Geotech. 2025, 50, 101468. [Google Scholar] [CrossRef]
- Liu, D.X.; Huang, S.L.; Ding, X.L.; Chi, J.J.; Zhang, Y.T. Characteristics and Mechanism of Large Deformation of Tunnels in Tertiary Soft Rock: A Case Study. Buildings 2023, 13, 2262. [Google Scholar] [CrossRef]
- Asadzadeh, S.; Souza Filho, C.R. Characterization of microseepage-induced diagenetic changes in the Upper-Red Formation, Qom region, Iran. Part II: A new insight using reflectance spectroscopic analysis. Mar. Pet. Geol. 2020, 117, 104387. [Google Scholar] [CrossRef]
- Wang, J.; Cao, Y.C.; Liu, K.Y.; Costanzo, A.; Feely, M. Diagenesis and evolution of the lower Eocene red-bed sandstone reservoirs in the Dongying Depression, China. Mar. Pet. Geol. 2018, 94, 230–245. [Google Scholar] [CrossRef]
- Liao, Y.; Cao, J.; Wu, Z.; Luo, S.; Wang, Z. Near Infrared Spectroscopy of the Cretaceous Red Beds in Inner Mongolia Dongshengmiao. Spectrosc. Spectr. Anal. 2015, 35, 2521–2525. [Google Scholar]
- Hillier, S.; Wilson, M.J.; Merriman, R.J. Clay mineralogy of the Old Red Sandstone and Devonian sedimentary rocks of Wales, Scotland and England. Clay Min. 2006, 41, 433–471. [Google Scholar] [CrossRef]
- Quandt, D.; Schmidt, B.B.C.; Schmidt, C. Diagenesis and controls on reservoir quality of Lower Triassic red bed sandstones (Buntsandstein) from a marginal basin facies, southwest Germany. Mar. Pet. Geol. 2022, 142, 105744. [Google Scholar] [CrossRef]
- Han, Z.E.A.; Hu, X.; Ji, J.; Huang, Y.; Huang, Z. View Correspondence. Origin of the Aptian Albian high cyclic oceanic red beds in the ODP hole 1049C, north Atlantic: Mineralogical evidence(Article). Acta Geol. Sin.-Engl. Ed. 2008, 82, 124–132. [Google Scholar]
- Wang, R.-Z.; Zhang, X.-C.; Gu, H.-H.; Li, K.-S.; Wen, J.-F.; Miura, H.; Suzuki, K.; Tu, S.-T. Oxidation-involved life prediction and damage assessment under generalized creep-fatigue loading conditions based on engineering damage mechanics. J. Mater. Res. Technol. 2023, 23, 114–130. [Google Scholar] [CrossRef]
- Li, J.; Shao, L.Y.; Chang, L.L.; Xing, J.P.; Wang, W.H.; Li, W.J.; Zhang, D.Z. Physicochemical Characteristics and Possible Sources of Individual Mineral Particles in a Dust Storm Episode in Beijing, China. Atmosphere 2018, 9, 269. [Google Scholar] [CrossRef]
- He, W.; Yang, Z.; Du, H.; Hu, J.; Zhang, K.; Hou, W.; Li, H. Micro-Mechanisms and Implications of Continental Red Beds. Minerals 2022, 12, 934. [Google Scholar] [CrossRef]
- Grygar, T.; Dedecek, J.; Kruiver, P.P.; Dekkers, M.J.; Bezdicka, P.; Schneeweiss, O. Iron oxide mineralogy in late Miocene red beds from La Gloria, Spain: Rock-magnetic, voltammetric and Vis spectroscopy analyses. Catena 2003, 53, 115–132. [Google Scholar] [CrossRef]
- Symons, D.T.A.; Kawasaki, K.; Diehl, J.F. Magnetization age from paleomagnetism of the Copper Harbor red beds, Northern Michigan, USA, and its Keweenawan geologic consequences. Can. J. Earth Sci. 2019, 56, 1–15. [Google Scholar] [CrossRef]
- Zhang, G.; Ling, S.; Xiao, C.; Liao, Z.; Wu, X. Crack evolution of soft red-bed rock under drying-wetting cycles. J. Rock Mech. Geotech. Eng. 2025, in press. [CrossRef]
- Wen, T.; Wang, Y.K.; Tang, H.M.; Zhang, J.R.; Hu, M.Y. Damage Evolution and Failure Mechanism of Red-Bed Rock under Drying-Wetting Cycles. Water. 2023, 15, 2684. [Google Scholar] [CrossRef]
- Xia, C.; Zhou, C.Y.; Zhu, F.X.; Liu, Z.; Cui, G.J. The Critical Indicator of Red-Bed Soft Rocks in Deterioration Process Induced by Water Basing on Renormalization Group Theory. Appl. Sci. 2021, 11, 7968. [Google Scholar] [CrossRef]
- Verstrynge, E.; Adriaens, R.; Elsen, J.; Van Balen, K. Multi-scale analysis on the influence of moisture on the mechanical behavior of ferruginous sandstone. Constr. Build. Mater. 2014, 54, 78–90. [Google Scholar] [CrossRef]
- Yu, C.; Zhong, W.W.; Zhang, X.; Li, T.; Fei, Z. Study on the Damage Characteristics of Red Sandstone Foundation Under Rainfall Infiltration in the Red-Bed Area of the Sichuan Basin-Taking Zhongjiang County as an Example. Buildings 2024, 14, 3406. [Google Scholar] [CrossRef]
- Zhang, W.G.; Chang, Z.G.; Bai, J.B.; Wang, R. Study on the Evolution Laws of Anchoring Property of Surrounding Rock of Argillaceous Weakly Cemented Roadway in Water Environment. Geofluids 2022, 2022, 7571371. [Google Scholar] [CrossRef]
- Guo, S.T.; Wen, S.J.; Guo, H.Y.; Fu, H.L. The Creep Test Study and Macro-Detail Analysis of Argillaceous Red Sandstone in Different Water-Containing States. Adv. Civ. Eng. 2022, 2022, 9698675. [Google Scholar] [CrossRef]
- Zhang, H.; Hu, Z.Q.; Ma, B.; Chen, X.Z. Stability analysis of a red bed slope reservoir bank considering water-rock interaction characteristics. Desalination Water Treat. 2021, 239, 289–300. [Google Scholar] [CrossRef]
- Ma, J.Y.; Tu, S.H.; Tu, H.S.; Miao, K.J.; Tang, L.; Zhao, H.B.; Guo, B.H. Classification Support Technology for Roadways in Deep Broken Soft Rock: A Case Study. Mining Metall. Explor. 2024, 41, 1859–1872. [Google Scholar] [CrossRef]
- Thum, L.; De Paoli, R. 2D and 3D GIS-based geological and geomechanical survey during tunnel excavation. Eng. Geol. 2015, 192, 19–25. [Google Scholar] [CrossRef]
- Li, S.Q.; Yang, Z.P.; Gao, Y.H.; Liu, X.R.; Jin, X.G. The effect of clay swelling on crack generation in red stratum soft rock during water-induced disintegration: A matrix-based discrete element simulation study. Bull. Eng. Geol. Environ. 2024, 83, 489. [Google Scholar] [CrossRef]
- Sun, Y.P.; Xu, N.W.; Xiao, P.W.; Sun, Z.Q.; Li, H.L.; Liu, J.; Li, B. Characterizing large deformation of soft rock tunnel using microseismic monitoring and numerical simulation. J. Rock. Mech. Geotech. Eng. 2025, 17, 309–322. [Google Scholar] [CrossRef]
- Chen, L.; Liu, T.Y.; Jia, B.X.; Tang, J.P.; Liu, J.S. Acoustic emission and fractal characteristics of red beds soft rock under water-force coupling. Sci. Rep. 2024, 14, 4424. [Google Scholar] [CrossRef]
- Zhang, Z.S.; Fan, Y.K.; Xu, Q.; Li, K.; Han, M.K.; Fei, L.X. Deformation and Failure Mechanism and Control of Water-Rich Sandstone Roadways in the Huaibei Mining Area. Appl. Sci. 2025, 15, 1177. [Google Scholar] [CrossRef]
- Lu, Y.L.; Wang, L.G.; Sun, X.K.; Wang, J. Experimental study of the influence of water and temperature on the mechanical behavior of mudstone and sandstone. Bull. Eng. Geol. Environ. 2017, 76, 645–660. [Google Scholar] [CrossRef]
- Zhang, G.D.; Ling, S.X.; Liao, Z.X.; Xiao, C.J.; Wu, X.Y. Mechanism and influence on red-bed soft rock disintegration durability of particle roughness based on experiment and fractal theory. Constr. Build. Mater. 2024, 419, 135504. [Google Scholar] [CrossRef]
- Woods, A.; Hendry, M.T.; Macciotta, R.; Stewart, T.; Marsh, J. GB-InSAR monitoring of vegetated and snow-covered slopes in remote mountainous environments. Landslides 2020, 17, 1713–1726. [Google Scholar] [CrossRef]
- Wu, Y.Z.; Wang, H.L.; Guo, X.Y. Inversion of Surrounding Red-Bed Soft Rock Mechanical Parameters Based on the PSO-XGBoost Algorithm for Tunnelling Operation. Appl. Sci. 2023, 13, 13341. [Google Scholar] [CrossRef]
- Zhou, Z.L.; Zhao, Y.Q.; Zhang, H.; Chen, S.G.; Chen, L.; Wang, L. Analysis of Rheological Factors of Soft Rock Tunnel Based on Constitutive Model of Rock Parameters Attenuation with Equivalent Effect. Symmetry 2022, 14, 2432. [Google Scholar] [CrossRef]
- JTG/T 3660-2020; Technical Specifications for Highway Tunnel Construction. Ministry of Transport of the People’s Republic of China: Beijing, China, 2020.
- Tang, H.; Ji, X.; Zhang, H.Y.; Li, T.B. Numerical Simulation of Large Compression Deformation Disaster and Supporting Behavior of Deep Buried Soft Rock Tunnel with High In Situ Stress Based on CDEM. Adv. Civ. Eng. 2022, 2022, 5985165. [Google Scholar] [CrossRef]
- Aydan, Ö.; Ulusay, R.; Tokashiki, N. A New Rock Mass Quality Rating System: Rock Mass Quality Rating (RMQR) and Its Application to the Estimation of Geomechanical Characteristics of Rock Masses. Rock. Mech. Rock. Eng. 2014, 47, 1255–1276. [Google Scholar] [CrossRef]
- Chen, X.J.; Fang, P.P.; Chen, Q.N.; Hu, J.; Yao, K.; Liu, Y. Influence of cutterhead opening ratio on soil arching effect and face stability during tunnelling through non-uniform soils. Undergr. Space 2024, 17, 45–59. [Google Scholar] [CrossRef]
- Kou, H.; Yang, W.B.; He, C.; Nie, J.C.; Zhang, H.; Yang, L.L.; Xiao, L.G. Model test of excavation and double primary support time for soft rock tunnel considering creep characteristics. Acta Geotech. 2024, 19, 2775–2803. [Google Scholar] [CrossRef]
- Liu, Y.Q.; Yao, C.F.; Luo, W.; He, C.; Sun, M.H.; Wang, E.R.; Yuan, F.Y. Deformations and damages of tunnels subjected to strike-slip faulting: Effects of tectonic stress and cross-sectional shape. Eng. Fail. Anal. 2024, 160, 108159. [Google Scholar] [CrossRef]
- Bizjak, K.F.; Petkovsek, B. Displacement analysis of tunnel support in soft rock around a shallow highway tunnel at Golovec. Eng. Geol. 2004, 75, 89–106. [Google Scholar] [CrossRef]










| Monitoring Projects | Monitoring Instrument | Monitoring Location | Number of Measurement Points |
|---|---|---|---|
| Surrounding rock pressure | Earth pressure cells | 1.2 MPa at the crown | 1 |
| 0.8 MPa at the spandrel | 2 | ||
| 0.8 MPa at the haunch | 2 | ||
| 1.2 MPa at the invert corner | 2 | ||
| 1.2 MPa at the mid-invert | 1 | ||
| Pressure between primary support and secondary lining | Earth pressure cells | 1.2 MPa at the crown | 1 |
| 0.8 MPa at the spandrel | 2 | ||
| 0.8 MPa at the haunch | 2 | ||
| Internal and external forces of steel frames | Surface stress gauges | Crown | 1 |
| Spandrel | 2 | ||
| Haunch | 2 | ||
| Invert corner | 2 | ||
| Mid-invert | 1 | ||
| Stress in secondary lining | Reinforcement meters | Crown | 1 |
| Spandrel | 2 | ||
| Haunch | 2 | ||
| Invert corner | 2 | ||
| Mid-invert | 1 | ||
| Stress in initial shotcrete support | Embedded strain gauge | Crown | 1 |
| Spandrel | 2 | ||
| Haunch | 2 | ||
| Displacement | Displacement meter | Crown | 1 |
| Spandrel | 2 | ||
| Haunch | 2 | ||
| Temperature and humidity of rock mass | Hygro-thermometers | Crown | 1 |
| Spandrel | 1 | ||
| Haunch | 1 | ||
| Internal force measurement of anchor bolts | Load-measuring anchor bolt | Crown | 1 |
| Spandrel | 2 | ||
| Haunch | 2 |
Disclaimer/Publisher’s Note: The statements, opinions and data contained in all publications are solely those of the individual author(s) and contributor(s) and not of MDPI and/or the editor(s). MDPI and/or the editor(s) disclaim responsibility for any injury to people or property resulting from any ideas, methods, instructions or products referred to in the content. |
© 2025 by the authors. Licensee MDPI, Basel, Switzerland. This article is an open access article distributed under the terms and conditions of the Creative Commons Attribution (CC BY) license (https://creativecommons.org/licenses/by/4.0/).
Share and Cite
Wu, J.; Cheng, G.; Jin, Z.; Han, Z.; Peng, F.; Jia, J. Characteristics and Deformation Mechanisms of Neogene Red-Bed Soft Rock Tunnel Surrounding Rock: Insights from Field Monitoring and Experimental Analysis. Buildings 2025, 15, 1820. https://doi.org/10.3390/buildings15111820
Wu J, Cheng G, Jin Z, Han Z, Peng F, Jia J. Characteristics and Deformation Mechanisms of Neogene Red-Bed Soft Rock Tunnel Surrounding Rock: Insights from Field Monitoring and Experimental Analysis. Buildings. 2025; 15(11):1820. https://doi.org/10.3390/buildings15111820
Chicago/Turabian StyleWu, Jin, Geng Cheng, Zhiyi Jin, Zhize Han, Feng Peng, and Jiaxin Jia. 2025. "Characteristics and Deformation Mechanisms of Neogene Red-Bed Soft Rock Tunnel Surrounding Rock: Insights from Field Monitoring and Experimental Analysis" Buildings 15, no. 11: 1820. https://doi.org/10.3390/buildings15111820
APA StyleWu, J., Cheng, G., Jin, Z., Han, Z., Peng, F., & Jia, J. (2025). Characteristics and Deformation Mechanisms of Neogene Red-Bed Soft Rock Tunnel Surrounding Rock: Insights from Field Monitoring and Experimental Analysis. Buildings, 15(11), 1820. https://doi.org/10.3390/buildings15111820

