Finite Element Modeling of the Behaviors of Concrete-Filled Steel Tube (CFT) Columns at Elevated Temperatures
Abstract
1. Introduction
2. Finite Element Modeling
2.1. General Details
2.2. Procedure of the Analysis
2.3. Heat Transfer Analysis
2.4. Structural Model Analysis
2.5. Interactions and Constraints Between Steel and Concrete
3. Verification of the Model
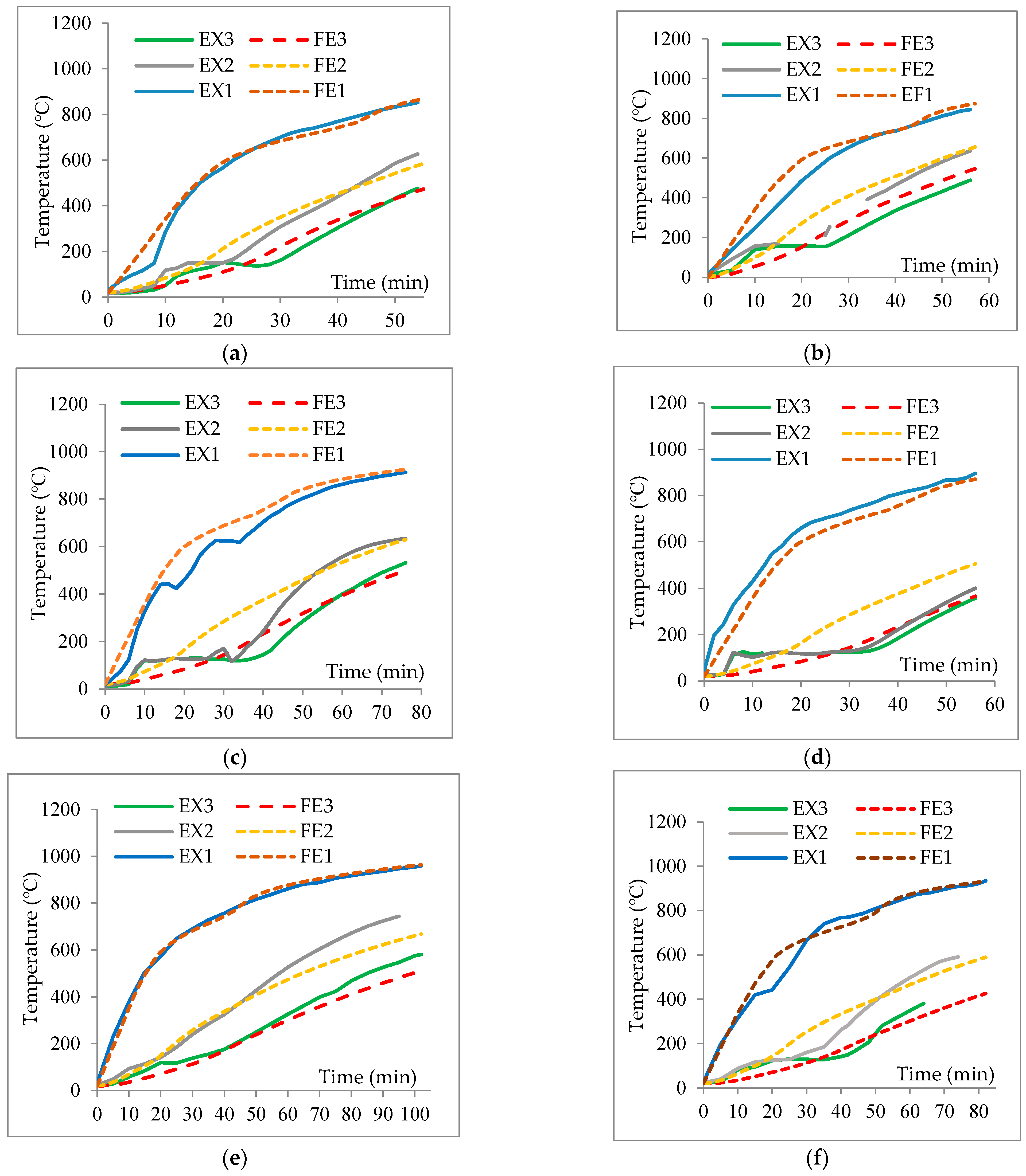
3.1. Temperatures
3.2. Axial Displacements
4. Comparison of the Material Properties in Eurocodes 2 and 3 and AISC 360-22
5. Initial Geometric Imperfections
5.1. Material Properties Recommended in the Eurocode Standards and the Thermal Expansion Coefficient of Concrete Suggested by Hong and Varma
5.2. Material Properties Recommended in AISC 360-22
6. Conclusions
- The simulation results obtained using parameters such as a friction coefficient of 0.3, a thermal conductivity of 200 W/m2K, a recommended maximum moisture content of 3% for siliceous aggregates in concrete, and a concrete thermal expansion coefficient of 6 × 10−6 °C−1, along with values from the Eurocode standards, provide reliable predictions for the fire resistances of the CFT columns;
- A comparison of the material properties stipulated in the Eurocode parts (including the thermal expansion coefficient of concrete proposed by Hong and Varma) and AISC 360-22 shows that the differences in the ultimate axial displacements range from 2.02% to 9.48%, indicating that AISC 360-22 provides a less conservative prediction of fire resistance than the Eurocode parts;
- For column C-08, with an initial geometric imperfection of L/500, the fire resistance times were 54.55 min (in AISC 360-22) and 47.50 min (in the Eurocode parts), with a deviation of 12.9% compared to the experimental result. This finding suggests that predicting fire resistance according to the AISC 360-22 standard may not be as safe as using the Eurocode standard;
- This study also showed that the larger the amplitude of the initial geometric defect, the lower the fire resistance. For the CFT columns in this study, where amplitudes of L/500 and L/1000 were considered, the difference ranged from 0% to 3.3% for Eurocode parts and from 2.6% to 2.63% for AISC 360-22. Therefore, when designing fire-resistant structures for CFT columns, it is essential to consider initial geometric imperfections;
- These results highlight the importance for considering initial geometric defects and material properties in fire resistance design and underscore the need for further research on residual stresses and the concrete damage plasticity (CDP) model to improve the fire resistance performance of CFT columns.
Author Contributions
Funding
Data Availability Statement
Conflicts of Interest
References
- Ibañez, C.; Aguado, J.V.; Romero, M.L.; Espinos, A.; Hospitaler, A. Fire design method for concrete filled tubular columns based on equivalent concrete core cross-section. Fire Saf. J. 2015, 78, 13–23. [Google Scholar] [CrossRef]
- CEN. EN 1994-1-2 Eurocode 4 Design of Composite Steel and Concrete Structures—Part 1-2: General Rules-Structural Fire Design; European Committee for Standardization (CEN): Brussels, Belgium, 2005. [Google Scholar]
- Hu, X.; Guo, H.; Yao, Y. Interaction approach for concrete filled steel tube columns under fire conditions. J. Build. Eng. 2015, 3, 144–154. [Google Scholar] [CrossRef]
- Albero, V.; Espinos, A.; Romero, M.L.; Hospitaler, A.; Bihina, G.; Renaud, C. Proposal of a new method in EN 1994-1-2 for the fire design of concrete-filled steel tubular columns. Eng. Struct. 2016, 128, 237–255. [Google Scholar] [CrossRef]
- Ukanwa, K.U.; Sharma, U.; Hicks, S.J.; Abud, A.; Lim, J.B.P.; Clifton, G.C. Behaviour of continuous concrete filled steel tubular columns loaded concentrically in fire. J. Constr. Steel Res. 2017, 136, 101–109. [Google Scholar] [CrossRef]
- Kingsley, U.; Ukanwa, G.; Clifton, C.; Lim, J.B.P.; Hicks, S.J.; Sharm, U.; Abud, A. Design of a continuous concrete filled steel tubular column in fire. Thin-Walled Struct. 2018, 131, 192–204. [Google Scholar]
- Ukanwa, K.U.; Clifton, G.C.; Lim, J.B.P.; Hicks, S.J.; Sharma, U.; Abu, A. Simple design procedure for concrete filled steel tubular columns in fire. Eng. Struct. 2018, 155, 144–156. [Google Scholar] [CrossRef]
- DR AS/NZS 2327; Composite Steel-Concrete Construction for Buildings. Standards Australia: Sydney, Australia; Standards New Zealand: Wellington, New Zealand, 2016.
- Rodrigues, J.P.C.; Laím, L.M.S. Behavior of concrete-filled circular, square rectangular, and elliptical hollow columns subjected to fire. J. Struct. Eng. 2018, 144, 04018040. [Google Scholar] [CrossRef]
- Yu, M.; Hua, X.; Chi, Y.; Ye, J. A unified method for calculating the fire resistance of concrete-filled steel tube with fire protection under combined loading. J. Constr. Steel Res. 2020, 168, 106003. [Google Scholar] [CrossRef]
- Ghannam, M. Fire resistance design of concrete-filled steel tube stub columns. Fire Technol. 2021, 57, 911–942. [Google Scholar] [CrossRef]
- Rabi, M.; Abarkan, I.; Shamass, R. Buckling resistance of hot-finished CHS beam-columns using FE modelling and machine learning. Steel Constr. 2023, 17, 93–103. [Google Scholar] [CrossRef]
- Rabi, M.; Ferreira, F.P.V.; Abarkan, I.; Limbachiya, V.; Shamass, R. Prediction of the cross-sectional capacity of cold-formed CHS using numerical modeling and machine learning. Results Eng. 2023, 17, 100902. [Google Scholar] [CrossRef]
- Rabi, M.; Jweihan, Y.S.; Abarkan, I.; Ferreira, F.P.V.; Shamass, R.; Limbachiya, V.; Tsavdaridis, K.D.; Santos, L.F.P. Machine learning-driven web-post buckling resistance prediction for high-strength steel beams with elliptically-based web openings. Results Eng. 2024, 21, 101749. [Google Scholar] [CrossRef]
- Abarkan, I.; Rabi, M.; Ferreira, F.P.V.; Shamass, R.; Limbachiya, V.; Jweihan, Y.S.; Pinho Santos, L.F.P. Machine learning for optimal design of circular hollow section stainless steel stub columns: A comparative analysis with Eurocode 3 predictions. Eng. Appl. Artif. Intell. 2024, 132, 107952. [Google Scholar] [CrossRef]
- Lie, T.; Chabot, M. Experimental Studies on the Fire Resistance of Hollow Steel Columns Filled with Plain Concrete; Internal Report, No. 611; National Research Council Canada: Ottawa, ON, Canada, 1992.
- ABAQUS. ABAQUS Analysis User’s Manual; SIMULIA: Providence, RI, USA, 2024. [Google Scholar]
- AISC 360-22; Specification for Structural Steel Buildings. American Institute of Steel Construction (AISC): Chicago, IL, USA, 2022.
- CEN. EN 1992-1-2 Eurocode 2 Design of Concrete Structures—Part 1.2 General Rules—Structural Fire Design; European Committee for Standardization (CEN): Brussels, Belgium, 2004. [Google Scholar]
- CEN. EN 1993-1-2 Eurocode 3 Design of Steel Structures—Part 1.2 General Rule—Structural Fire Design; European Committee for Standardization (CEN): Brussels, Belgium, 2005. [Google Scholar]
- GB 50936-2014; Technical Code for Concrete Filled Steel Tubular Structures. Ministry of Housing and Urban-Rural Construction of the People’s Republic of China (MOHURD): Beijing, China, 2014.
- Association of New Urban Housing Technology (ANUHT). Fire Resistance Design of Non-Insulated CFT Columns—Guidelines, Technical Explanations and Design Examples; ANUHT: Tokyo, Japan, 2004. (In Japanese) [Google Scholar]
- Canadian Commission on Building and Fire Codes. National Building Code of Canada (NBCC); National Research Council of Canada (NRCC): Ottawa, ON, Canada, 2022.
- Espinos, A.; Romero, M.L.; Hospitaler, A. Advanced model for predicting the fire response of concrete filled tubular columns. J. Constr. Steel Res. 2010, 66, 1030–1046. [Google Scholar] [CrossRef]
- Capilla, A. Numerical Analysis of the Fire Resistance Circular and Elliptical Slender Concrete Filled Tubular Columns. Ph.D. Thesis, Technical University of Valencia, Valencia, Spain, 2012. [Google Scholar]
- Park, M.J.; Alemayehu, R.W.; Ju, Y.K. Fire resistance performance of steel–polymer prefabricated composite floors using standard fire tests. Polymers 2022, 14, 1488. [Google Scholar] [CrossRef]
- Park, M.J.; Ju, Y.K. Finite element model for the steel-polymer composite floor filled with phase-change amorphous polymers at elevated temperatures. Constr. Build. Mater. 2022, 319, 126059. [Google Scholar] [CrossRef]
- Park, M.J.; Bae, J.; Ryu, J.; Ju, Y.K. Fire design equation for steel–polymer composite floors in thermal fields via finite element analysis. Materials 2020, 13, 5573. [Google Scholar] [CrossRef]
- ASTM. ASTM E119-88 Standard Methods of Fire Test of Building Construction and Materials; American Society for Testing and Materials (ASTM): West Conshohocken, PA, USA, 1990. [Google Scholar]
- CEN. EN 1991-1-2 Eurocode 1: Actions on Structures—Part 1.2: General Actions—Actions on Structures Exposed to Fire; European Committee for Standardization (CEN): Brussels, Belgium, 2002. [Google Scholar]
- Ghojel, J. Experimental and analytical technique for estimating interface thermal conductance in composite structural elements under simulated fire conditions. Exp. Therm. Fluid Sci. 2004, 28, 347–354. [Google Scholar] [CrossRef]
- Ding, J.; Wang, Y.C. Realistic modelling of thermal and structural behaviour of unprotected concrete filled tubular columns in fire. J. Constr. Steel Res. 2008, 64, 1086–1102. [Google Scholar] [CrossRef]
- Hong, S.; Varma, A.H. Analytical modeling of the standard fire behavior of loaded DFT, columns. J. Constr. Res. 2009, 65, 54–69. [Google Scholar] [CrossRef]
- Talebi, E.; Korzen, M.; Hothan, S. The performance of concrete filled steel tube columns under post-earthquake fires. J. Constr. Steel Res. 2018, 150, 115–218. [Google Scholar] [CrossRef]
- Al-Wsabi, E.; Falah, N. Behavior of concrete—Filled steel tube columns under fire. J. Sci. Technol. 2015, 20, 1–21. [Google Scholar] [CrossRef]
- Lu, H.; Zhao, X.-L.; Han, L.-H. FE modelling and fire resistance design of concrete filled double skin tubular columns. J. Constr. Steel Res. 2011, 67, 1733–1748. [Google Scholar] [CrossRef]
- Shashank, T. Behavior and Design of Concrete Filled Tubular Columns Exposed to Fire. Master’s Thesis, Indian Institute of Technology, Hyderabad, India, 2016. [Google Scholar]
- Arrayago, I.; Rasmussen, K.J.R. System-based reliability analysis of stainless steel frames under gravity loads. J. Constr. Steel Res. 2022, 231, 111775. [Google Scholar] [CrossRef]
- AISC 360; Specification for Structural Steel Buildings. American Institute of Steel Construction (AISC): Chicago, IL, USA, 2016.
- AISC 370; Specification for Structural Stainless Steel Buildings. American Institute of Steel Construction (AISC): Chicago, IL, USA, 2021.
- Working Group 22 for Eurocode 3 CEN/TC 250/SC3/WG22, prEN 1993-1-14. Eurocode 3: Design of Steel Structures—Part 1–14: Design Assisted by Finite Element Analysis; European Committee for Standardization (CEN): Brussels, Belgium, 2021. [Google Scholar]
- AS 4100; Steel Structures. Standards Australia: Sydney, Australia, 2020.
- AS/NZS 4600; Cold-formed Structures. Standards Australia: Sydney, Australia, 2018.










| Part(s) | Interaction Form | Interactive Part |
|---|---|---|
| Steel tubes | Surface-to-surface contact | Concrete core |
| Steel tubes | Tie | Steel load plate |
| Concrete core | Surface-to-surface contact | Steel load plate |
| Column | Outside Diameter (Steel Tube) | Wall Thickness (Steel Tube) | Yield Strength (fy) | Concrete Strength (f’c) | Aggregate | End Condition | Test Load | Fire Resistance Time |
|---|---|---|---|---|---|---|---|---|
| (mm) | (mm) | (MPa) | (MPa) | (kN) | (min) | |||
| C-02 | 141.3 | 6.55 | 350 | 33.1 | Siliceous | F-F | 110 | 55 |
| C-04 | 141.3 | 6.55 | 350 | 31.0 | Siliceous | F-F | 131 | 57 |
| C-05 | 168.3 | 4.78 | 350 | 32.7 | Siliceous | F-F | 150 | 76 |
| C-08 | 168.3 | 4.78 | 350 | 35.5 | Siliceous | F-F | 218 | 56 |
| C-13 | 219.1 | 4.78 | 350 | 32.3 | Siliceous | F-F | 383 | 102 |
| C-17 | 219.1 | 8.18 | 350 | 31.7 | Siliceous | F-F | 525 | 82 |
| Column | Experiment | Eurocode Standard | AISC 360-22 Standard | FR Rating Estimated According to Appendix 4 and According to AISC 360-22 Standard |
|---|---|---|---|---|
| (mm) | (mm) | (mm) | (min) | |
| C-05 | 23 | 20.71 | 19.90 | 75 |
| C-08 | 20 | 20.43 | 19.20 | 65 |
| C-13 | 19 | 14.18 | 13.80 | 90 |
| C-17 | 20 | 17.80 | 15.87 | 76 |
| Column | Experimental Fire Resistance | Model Prediction of Fire Resistance (L/500) | Model Prediction of Fire Resistance (L/1000) | Comparison of the Deviation in L/500 Fire Resistance with Experimental Results | Comparison of the Deviation in L/1000 Fire Resistance with Experimental Results |
|---|---|---|---|---|---|
| (min) | (min) | (min) | (%) | (%) | |
| C-02 | 55 | 55.00 | 55.00 | 0.0 | 0.0 |
| C-04 | 55 | 42.20 | 43.65 | 23.3 | 20.6 |
| C-05 | 76 | 76.00 | 76.00 | 0.0 | 0.0 |
| C-08 | 56 | 47.50 | 49.13 | 15.2 | 12.3 |
| C-13 | 102 | 72.52 | 74.55 | 28.9 | 26.9 |
| C-17 | 82 | 58.75 | 60.93 | 28.4 | 25.7 |
Disclaimer/Publisher’s Note: The statements, opinions and data contained in all publications are solely those of the individual author(s) and contributor(s) and not of MDPI and/or the editor(s). MDPI and/or the editor(s) disclaim responsibility for any injury to people or property resulting from any ideas, methods, instructions or products referred to in the content. |
© 2024 by the authors. Licensee MDPI, Basel, Switzerland. This article is an open access article distributed under the terms and conditions of the Creative Commons Attribution (CC BY) license (https://creativecommons.org/licenses/by/4.0/).
Share and Cite
Le, V.L.; Lee, C.-H.; Alemayehu, R.W.; Park, M.J. Finite Element Modeling of the Behaviors of Concrete-Filled Steel Tube (CFT) Columns at Elevated Temperatures. Buildings 2025, 15, 11. https://doi.org/10.3390/buildings15010011
Le VL, Lee C-H, Alemayehu RW, Park MJ. Finite Element Modeling of the Behaviors of Concrete-Filled Steel Tube (CFT) Columns at Elevated Temperatures. Buildings. 2025; 15(1):11. https://doi.org/10.3390/buildings15010011
Chicago/Turabian StyleLe, Van Lanh, Chang-Hwan Lee, Robel Wondimu Alemayehu, and Min Jae Park. 2025. "Finite Element Modeling of the Behaviors of Concrete-Filled Steel Tube (CFT) Columns at Elevated Temperatures" Buildings 15, no. 1: 11. https://doi.org/10.3390/buildings15010011
APA StyleLe, V. L., Lee, C.-H., Alemayehu, R. W., & Park, M. J. (2025). Finite Element Modeling of the Behaviors of Concrete-Filled Steel Tube (CFT) Columns at Elevated Temperatures. Buildings, 15(1), 11. https://doi.org/10.3390/buildings15010011

