Digital Design Quality Management: The Theory of Faults
Abstract
1. Introduction
2. Methods and Methodology
3. Materials
3.1. Data Mining and Sorting Rules
- ✓
- Issue reports—DPM audit reports.
- ✓
- Publish—version updates, model revisions.
- ✓
- Clash reports—machine generated directed and processed.
- ✓
- Meetings’ minutes—sorted by expert participation.
3.2. Morphology, Traits, and Trending
3.3. Ubiquity and Inflation
4. Results
4.1. Fault Statistics
4.2. Timeline
4.3. System Morphology
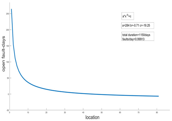
4.4. Information Constraint (IC)
4.5. Avalanche
4.6. Design Process
5. Summary and Discussion
6. Conclusions
Author Contributions
Funding
Data Availability Statement
Acknowledgments
Conflicts of Interest
Abbreviations
| BCB | Building control bodies |
| BIM | Building information modeling |
| DPM | Design project manager |
| DSP | Digital signal processing |
| IC | Information constraint |
| IVT | Internal variable theory |
| LN | Log-normal distribution |
| Probability distribution function | |
| QC | Quality control |
| ToF | The Theory of Faults |
| WBS | Work breakdown structure |
Appendix A

References
- Rodrigues, A.; Bowers, J. System dynamics in project management: A comparative analysis with traditional methods. Syst. Dyn. Rev. J. Syst. Dyn. Soc. 1996, 12, 121–139. [Google Scholar] [CrossRef]
- Kahneman, D.; Tversky, A. Choices, values, and frames. In Handbook of the Fundamentals of Financial Decision Making: Part I Choices, Values, and Frames; World Scientific: Singapore, 2013; pp. 269–278. [Google Scholar]
- Tiwana, A.; Konsynski, B.; Bush, A.A. Research commentary—Platform evolution: Coevolution of platform architecture, governance, and environmental dynamics. Inf. Syst. Res. 2010, 21, 675–687. [Google Scholar] [CrossRef]
- Mryyian, M.; Tzortzopoulos, P. Identifying sources of design error in the design of residential buildings. In Proceedings of the 23rd Annual Conference of the International Group for Lean Construction, Fortaleza, Brazil, 29 July–2 August 2013. [Google Scholar]
- Ependi, U.; Rochim, A.F.; Wibowo, A. An Assessment Model for Sustainable Cities Using Crowdsourced Data Based on General System Theory: A Design Science Methodology Approach. Smart Cities 2023, 6, 3032–3059. [Google Scholar] [CrossRef]
- Rebolj, D. Integrated Information System Supporting Road Design, Evaluation, and Construction. Comput. Aided Civ. Infrastruct. Eng. 1998, 13, 179–187. [Google Scholar] [CrossRef]
- Mills, A.; Love, P.E.; Williams, P. Defect Costs in Residential Construction. J. Constr. Eng. Manag. 2009, 135, 12–16. [Google Scholar] [CrossRef]
- Lopez, R.; Love, P.E.; Edwards, D.J.; Davis, P.R. Design error classification, causation, and prevention in construction engineering. J. Perform. Constr. Facil. 2010, 24, 399–408. [Google Scholar] [CrossRef]
- Love, P.E.; Irani, Z.; Edwards, D.J. Learning to reduce rework in projects: Analysis of firm’s organizational learning and quality practices. Proj. Manag. J. 2003, 34, 13–25. [Google Scholar] [CrossRef]
- Love, P.E.; Lopez, R.; Edwards, D.J.; Goh, Y.M. Error begat error: Design error analysis and prevention in social infrastructure projects. Accid. Anal. Prev. 2012, 48, 100–110. [Google Scholar] [CrossRef]
- Reason, J. The contribution of latent human failures to the breakdown of complex systems. Philos. Trans. R. Soc. Lond. B Biol. Sci. 1990, 327, 475–484. [Google Scholar]
- Jiao, Y.; Cao, P. Research on optimization of project design management process based on BIM. Buildings 2023, 13, 2139. [Google Scholar] [CrossRef]
- Parsamehr, M.; Perera, U.S.; Dodanwala, T.C.; Perera, P.; Ruparathna, R. A review of construction management challenges and BIM-based solutions: Perspectives from the schedule, cost, quality, and safety management. Asian J. Civ. Eng. 2023, 24, 353–389. [Google Scholar] [CrossRef]
- Mesároš, P.; Mandičák, T. Exploitation and benefits of BIM in construction project management. IOP Conf. Ser. Mater. Sci. Eng. 2017, 245, 062056. [Google Scholar] [CrossRef]
- Lee, H.W.; Oh, H.; Kim, Y.; Choi, K. Quantitative analysis of warnings in building information modeling (BIM). Autom.Constr. 2015, 51, 23–31. [Google Scholar] [CrossRef]
- Wong, J.K.; Zhou, J.X.; Chan, A.P. Exploring the linkages between the adoption of BIM and design error reduction. Build. Inf. Syst. Constr. Ind. 2018, 113, 108–120. [Google Scholar] [CrossRef]
- Pärn, E.A.; Edwards, D.J.; Sing, M.C.P. Origins and probabilities of MEP and structural design clashes within a federated BIM model. Autom. Constr. 2018, 85, 209–219. [Google Scholar] [CrossRef]
- Reason, J. Understanding adverse events: Human factors. BMJ Qual. Saf. 1995, 4, 80–89. [Google Scholar] [CrossRef]
- Lee, G.; Eastman, C.M.; Zimring, C. Avoiding design errors: A case study of redesigning an architectural studio. Des. Stud. 2003, 24, 411–435. [Google Scholar] [CrossRef]
- Grilo, A.; Jardim-Goncalves, R. Value proposition on interoperability of BIM and collaborative working environments. Autom.Constr. 2010, 19, 522–530. [Google Scholar] [CrossRef]
- Gomes, A.M.; Azevedo, G.; Sampaio, A.Z.; Lite, A.S. BIM in structural project: Interoperability analyses and data management. Appl. Sci. 2022, 12, 8814. [Google Scholar] [CrossRef]
- Lin, W.Y.; Huang, Y. Filtering of irrelevant clashes detected by BIM software using a hybrid method of rule-based reasoning and supervised machine learning. Appl. Sci. 2019, 9, 5324. [Google Scholar] [CrossRef]
- Chen, L.; Whyte, J. Understanding design change propagation in complex engineering systems using a digital twin and design structure matrix. Eng. Constr. Archit. Manag. 2022, 29, 2950–2975. [Google Scholar] [CrossRef]
- Ouchi, W.G.; Johnson, J.B. Types of organizational control and their relationship to emotional well being. Adm. Sci. Q. 1978, 23, 293–317. [Google Scholar] [CrossRef]
- Cooper, K.G. The rework cycle: How it really works … and reworks. PM Netw. 1993, 7, 25–28. [Google Scholar]
- Reason, J. Human error: Models and management. BMJ 2000, 320, 768–770. [Google Scholar] [CrossRef]
- Tabilo Alvarez, J.; Ramírez-Correa, P. A brief review of systems, cybernetics, and complexity. Complexity 2023, 2023, 8205320. [Google Scholar] [CrossRef]
- Gidado, K.; Wood, H. An overview of complexity theory and its application to the construction industry. In 24th Annual ARCOM Conference. Cardiff, UK, Association of Researchers in Construction Management; Association of researchers in Construction Management: Glasgow, UK, 2008; pp. 677–686. [Google Scholar]
- Yonat, N.; Shohet, I.M. CPM Stability in Complex Projects and Systems. engrXiv 2022. [Google Scholar] [CrossRef]
- Yonat, N.; Isaac, S.; Shohet, I.M. Complex infrastructure systems analysis and management: The theory of faults. Smart Sustain. Built Environ. 2023. [Google Scholar] [CrossRef]
- Yonat, N.; Shohet, I.M. Theory of Faults (ToF): Digital Statistic Quality Control in Complex Systems. engrXiv 2022. [CrossRef]
- Pichler, F. On Modeling Complex Systems by Means of System Theory. In International Conference on Computer Aided Systems Theory; Springer Nature: Cham, Switzerland, 2022; pp. 629–634. [Google Scholar]
- Maugine, G. The Thermonechrnics of Nonlinear Irreversible Behrviors an Introduction; World Scientific Publishing, Co. Pte. Ltd.: Singapore; Hackensack, NJ, USA; London, UK; Hong Kong, 1999. [Google Scholar]
- Brooks, R.A. Intelligence without representation. Artif. Intell. 1991, 47, 139–159. [Google Scholar] [CrossRef]
- Heron, J.; Reason, P. A participatory inquiry paradigm. Qual. Inq. 1997, 3, 274–294. [Google Scholar] [CrossRef]
- Sun, W.; Tang, M.; Zhang, L.; Huo, Z.; Shu, L. A survey of using swarm intelligence algorithms in IoT. Sensors 2020, 20, 1420. [Google Scholar] [CrossRef] [PubMed]
- Albert, R.; Barabasi, A. Statistical mechanics of complex networks. Rev. Mod. Phys. 2001, 74, 47–97. [Google Scholar] [CrossRef]
- Monod, J. Chance and Necessity: An Essay on the Natural Philosophy of Modern Biology; Vintage Books; Random Housse: New York, NY, USA, 1971. [Google Scholar]
- Shin, M.; Jung, J.; Kim, H. Quantitative and Qualitative Analysis of Applying Building Information Modeling (BIM) for Infrastructure Design Process. Buildings 2022, 12, 1476. [Google Scholar] [CrossRef]
- Love, P.; Irani, Z.; Edwards, D.J. A rework reduction model for construction projects. IEEE Trans. Eng. Manag. 2004, 51, 426–440. [Google Scholar] [CrossRef]
- Horvath, W.J. Applicability of the lognormal distribution to servicing times in congestion problems. Oper. Res. 1959, 7, 126–128. [Google Scholar] [CrossRef]
- Love, P.; Smith, J.; Li, H. The propagation of rework benchmark metrics for construction. Int. J. Qual. Reliab. Manag. 1999, 16, 638–658. [Google Scholar] [CrossRef]
- Busemeyer, J.R.; Kvam, P.D.; Pleskac, T.J. Comparison of Markov versus quantum dynamical models of human decision making. Wiley Interdiscip. Rev. Cogn. Sci. 2020, 11, e1526. [Google Scholar] [CrossRef]
- Rosenfeld, Y. Root cause analysis of construction cost overruns. J. Constr. Eng. Manag. 2014, 140, 04013039. [Google Scholar] [CrossRef]
- Castellano-Román, M.; Garcia-Martinez, A.; Pérez López, M.L. Social housing life cycle management: Workflow for the enhancement of digital management based on building information modelling (bim). Sustainability 2022, 14, 7488. [Google Scholar] [CrossRef]
- Faraji, A.; Rashidi, M.; Meydani Haji Agha, T.; Rahnamayiezekavat, P.; Samali, B. Quality management framework for housing construction in a design-build project delivery system: A BIM-UAV approach. Buildings 2022, 12, 554. [Google Scholar] [CrossRef]

















Disclaimer/Publisher’s Note: The statements, opinions and data contained in all publications are solely those of the individual author(s) and contributor(s) and not of MDPI and/or the editor(s). MDPI and/or the editor(s) disclaim responsibility for any injury to people or property resulting from any ideas, methods, instructions or products referred to in the content. |
© 2024 by the authors. Licensee MDPI, Basel, Switzerland. This article is an open access article distributed under the terms and conditions of the Creative Commons Attribution (CC BY) license (https://creativecommons.org/licenses/by/4.0/).
Share and Cite
Yonat, N.; Shohet, I.M. Digital Design Quality Management: The Theory of Faults. Buildings 2024, 14, 2921. https://doi.org/10.3390/buildings14092921
Yonat N, Shohet IM. Digital Design Quality Management: The Theory of Faults. Buildings. 2024; 14(9):2921. https://doi.org/10.3390/buildings14092921
Chicago/Turabian StyleYonat, Niv, and Igal M. Shohet. 2024. "Digital Design Quality Management: The Theory of Faults" Buildings 14, no. 9: 2921. https://doi.org/10.3390/buildings14092921
APA StyleYonat, N., & Shohet, I. M. (2024). Digital Design Quality Management: The Theory of Faults. Buildings, 14(9), 2921. https://doi.org/10.3390/buildings14092921

