Abstract
This study conducted 1-G shaking table tests to compare methods of reducing liquefaction damage during earthquakes. The sheet pile and grouting methods were selected as applicable to existing structures. Model structures were manufactured for two-story buildings. A sine wave with an acceleration of 0.6 g and a frequency of 10 Hz was applied to the input wave. Certain experiments determined the effect of various sheet pile embedded depth ratios and grouting cement mixing ratios on reducing structural damage. The results confirmed that when the sheet pile embedded depth ratio was 0.75, the structure’s settlement decreased by approximately 79% compared to the control model. When the grouting cement mixing ratio was 0.45, the structure’s settlement decreased by approximately 85% compared to the untreated ground. In addition, the sheet pile method suppressed the increase in pore water pressure compared to the grouting method but tended to interfere with the dissipation of pore water pressure after liquefaction occurred. Additionally, comparing the effect of each method on reducing liquefaction damage revealed that the grouting method resulted in less settlement, rotation of the structure, and pore-water-pressure dissipation than the sheet pile method. Overall, the grouting method is more effective in reducing liquefaction damage than the sheet pile method. This study forms a basis for developing a liquefaction-damage reduction method applicable to existing structures in the future.
1. Introduction
Over the last five years, approximately 460 strong earthquakes with magnitudes (M) greater than 6.0 have occurred worldwide []. In particular, earthquakes with magnitudes of 7.0 or higher occur regularly, including the Fukushima (2021, M = 7.3), Haiti (2021, M = 7.2), Turkey–Syria (2023, M = 7.8), Sichuan (2024, M = 7.1), Ishikawa (2024, M = 7.6), and Hualien (2024, M = 7.2) earthquakes. Such large earthquakes cause various types of natural damage (such as landslides, tsunamis, ground deformation, and liquefaction) and physical damage (such as settlement, overturning, and shear failure of structures). In particular, the liquefaction phenomenon, where the ground exhibits liquid-like behavior, causes significant structural damage.
Typical earthquakes that have caused major damage due to liquefaction include the Niigata, Tohoku, and Ishikawa earthquakes (Japan; 1964, 2011, and 2024), the Loma Prieta and Northridge earthquakes (United States; 1989 and 1994), the Christchurch earthquakes (New Zealand; 2010 and 2011), and the Sulawesi earthquake (Indonesia; 2018).
Liquefaction primarily causes damage by increasing the amount of settlement of the structure’s foundation due to the loss of ground strength. To prevent such damage to structures, many researchers have conducted numerous numerical analysis studies on the interaction between the ground and structures. These studies have established a dynamic system between the structure and the ground, estimating the correlation between potential liquefaction-prone strata and the structure’s foundation. This has provided basic data for the development of liquefaction reinforcement methods [,,,,].
As a result, various liquefaction damage prevention methods have been studied in many countries, including the United States and Japan. In particular, many studies have focused on using sheet piles and grouting to effectively mitigate changes in pore water pressure, which significantly impact liquefaction during earthquakes.
First, the sheet pile method is primarily effective in suppressing groundwater flow and preventing soil shear failure by stopping the rise of groundwater levels and lateral displacement of the ground.
This method has the advantage of mitigating structural settlement caused by liquefaction by addressing both the lateral displacement of the ground and the reduction in ground strength [].
Additionally, the sheet pile method can be applied not only to flat land but also to slopes. When reinforcing slopes, combining sheet piles with other types of piles is generally more effective at reducing settlement and damage to the structure’s foundation due to liquefaction than using sheet piles alone [,,].
In the event of liquefaction, various 1-G shaking table tests and centrifuge tests have been conducted to verify the effectiveness of different sheet pile installation conditions, their applicability, and their characteristics. These tests aim to assess how well the sheet pile method reinforces the foundation of a structure and suppresses settlement. Many studies have focused on the interaction between the width of the sheet pile and the depth and density of the liquefiable layer, which are key factors influencing the effectiveness of both sheet piles and single piles in reinforcing layers prone to liquefaction during earthquakes. The studies have confirmed that installing a sheet pile in conjunction with a single pile is more effective in reducing lateral displacement and pile moment than using a single pile alone. Additionally, it was found that the depth of the liquefiable layer does not significantly affect the settlement of the structure due to liquefaction. Moreover, it was suggested that increasing the length of the sheet pile improves its effectiveness in reducing structural settlement. Combining the sheet pile method with groundwater level reduction is more effective in preventing liquefaction than using either method individually [,,,,,,].
In addition, ref. [] presented results from a study on the effectiveness of preventing liquefaction damage using sheet piles installed to the floor in 1-G shaking table tests, and compared this to installations where the piles were placed in only half of the ground.
Further research into methods for reinforcing the foundations of old structures confirmed that the sheet pile method, unlike other techniques, effectively prevents liquefaction damage by suppressing lateral movement and ground flow [,].
The grouting method, used for ground improvement, involves increasing ground strength by injecting grouting chemicals into the soil. Many studies have focused on the application of the grouting method to prevent liquefaction damage, mainly on the method of injecting the grouting chemical and the effect of preventing liquefaction damage due to the grouting method.
A significant amount of research has been conducted on the grouting method, focusing on both grouting materials and injection techniques. Recently, with increasing interest in energy efficiency and environmental protection, many studies have explored the use of geopolymers as alternatives to traditional Portland cement and colloidal silica. These studies have confirmed that grouting chemicals made from geopolymers and colloidal silica reduce ground permeability compared to ground reinforced with conventional cement and enhance mechanical properties compared to standard Portland cement [,,].
Many studies have focused on the low-pressure permeation grouting method, which differs from the high-pressure injection method used to introduce grouting chemicals into the ground.
The low-pressure permeation grouting method addresses the limitations of high-pressure injection, such as the need for large equipment and difficulties in applying the method to small spaces. Research into the liquefaction prevention effects of the low-pressure permeation grouting method has confirmed its effectiveness in reinforcing the ground, preventing liquefaction, and improving ground shear resistance. Additionally, it has been found that injecting grouting chemicals using a permeation and compaction packer enhances ground reinforcement, even in areas with high water levels. The development of advanced permeation and compaction packers could further improve the performance of this grouting method [,,,,,,,].
The effectiveness of the low-pressure permeation grouting method in ground reinforcement and liquefaction damage prevention can vary based on the type of grouting chemicals used, the injection time, and the injection location. To assess these differences, many studies have employed 1-G shaking table tests and centrifuge tests. These tests have confirmed that ground reinforcement using the low-pressure permeation grouting method can delay increases in ground acceleration and excessive pore water pressure, as well as reduce structural settlement. It was also found that if the depth at which the grouting chemicals permeate is greater than the depth of the liquefiable layer, the method is more effective in suppressing structural settlement. Additionally, the sheet pile method can be applied to both flat land and slopes. When reinforcing slopes, combining sheet piles with other types of piles is more effective at reducing settlement and structural damage due to liquefaction than using sheet piles alone [,,,,,].
Investigation into the effect of various grouting chemical mixing ratios on preventing liquefaction damage confirmed that a water-to-cement ratio of 0.45 was effective in suppressing structural settlement [].
However, previous studies have limitations, such as difficulties in applying the sheet pile and grouting methods to existing structures and a lack of variety in sheet piles and grouting chemical types. To address these limitations, this study reinforced existing structure foundations using both the sheet pile method and the grouting method, and compared and analyzed their effectiveness in reducing liquefaction damage during earthquakes. A 1-G shaking table test was conducted for each method. Based on the experimental results, the study proposed an optimal approach for reducing liquefaction damage, taking into account groundwater level conditions and construction factors.
2. Ground and Structure Construction
2.1. 1-G Shaking Table Equipment
The 1-G shaking table test equipment used in this study comprised an actuator with a maximum output of 500 kg, a rigid soil box, and a steel frame that connected the rigid soil box to the actuator (Figure 1).
Figure 1.
Component elements of shaking table test equipment: (a) actuator; (b) steel frame; (c) acrylic rigid soil box.
The rigid soil box, which formed the ground model, was constructed from acrylic with dimensions of 800 mm in length, 400 mm in width, and 700 mm in height. To absorb the impact caused by the input wave, Styrofoam, approximately 50 mm thick and made from woodlock material, was attached to two walls of the rigid soil box.
2.2. Model Ground
In this study, loosely saturated sandy soil was prepared using Jumunjin standard sand. The basic physical properties of Jumunjin standard sand are listed in Table 1.
Table 1.
Soil properties of Jumunjin standard sand.
The model ground was constructed with five layers, each 50 mm thick. The relative density varied between layers to differentiate between those where liquefaction occurred and those where it did not.
The research methodology of this study is shown in Figure 2.
Figure 2.
Flow chart of research.
Ref. [] proposed a relationship between the cyclic stress ratio and the number of cycles that cause liquefaction at varying relative densities. The study found that liquefaction occurred at a cyclic stress ratio of less than 0.2 for loose sandy ground with a relative density below 45%, whereas liquefaction occurred at a cyclic stress ratio of 0.4 for dense sand with a relative density above 70%. Based on Hakam’s results, this study set the relative density of the liquefied layer at 45% and that of the non-liquefied layer at 85%.
2.3. Sheet Pile and Grouting
2.3.1. Sheet Pile
Towhata (2015) reported that if the thickness of the model sheet pile is less than 2 mm, the strain in the sheet pile increases without providing significant ground reinforcement. Effective ground reinforcement was observed when the thickness of the sheet pile was at least 2 mm.
In this study, the model sheet pile was made of stainless steel with dimensions of 2 mm in thickness, 260 mm in width, and 110 mm in depth. To analyze the effect of the embedded depth of the sheet pile on preventing liquefaction damage, the embedded depth ratio of the model sheet pile was categorized into seven types (see Figure 3). For ground reinforcement using the sheet pile method, three displacement meters, three pore water pressure meters, and six accelerometers were installed to measure the vertical settlement of the model structure, differential settlement, changes in water pressure inside and outside the sheet pile, and variations in acceleration (see Figure 4). The embedded depth ratio of the sheet pile is calculated as the length of the sheet pile divided by 150 mm, the depth of the liquefaction-prone layer in the model ground, as shown in Equation (1). This ratio is expressed as , where () is the length of the sheet pile and () is the depth of the layer where liquefaction can occur.
Figure 3.
Embedded depth ratio of sheet pile (1.0, 0.85, 0.75, 0.7, 0.65, 0.6, 0.55).
Figure 4.
Schematic of the sheet pile method. (a) Plan view; (b) front view.
2.3.2. Grouting
In general, grouting chemicals are prepared using a blend of cement powder, chemical mixtures, and water to control the injection and solidification rates in the ground. However, in this study, grouting chemicals were manufactured using ultrafast cement without any additional chemical mixtures. Ultrafast cement has the advantage of a much shorter setting time compared to conventional cement, achieving a compressive strength of over 20 MPa within 3 h. Additionally, its finer particle size allows for effective low-pressure penetration (see Figure 5).
Figure 5.
The ultrafast cement and grouting chemical: (a) The ultrafast cement; (b) grouting chemical.
To analyze the effect of the grouting cement mixing ratio (defined as the weight of ultrafast cement powder divided by 1000 g of water, as shown in Equation (2)) on preventing liquefaction damage, five mixing ratios were tested: 0.4, 0.45, 0.475, 0.5, and 0.55.
Additionally, to assess the impact of the separation distance between the grouting injection point and the structure (as illustrated in Figure 6), tests were conducted with grouting chemicals injected at varying points. The separation distance refers to the distance between the structure and the location where the grouting chemicals are injected. The purpose of varying the separation distance was to determine how the reinforcement effect on the structure changes depending on the injection location (see Figure 6). Figure 7 provides a schematic diagram of the grouting setup.
Figure 6.
Schematic diagram showing separation distance.
Figure 7.
Schematic of the grouting method: (a) Plan view; (b) front view.
2.4. Input Wave
Testing with various input waves showed that ground liquefaction occurred at an acceleration of 0.6 g and a frequency of 10 Hz, which were applied as the input wave conditions (Figure 8).
Figure 8.
Input motion at 0.6 g, 10 Hz, 1000 cycles: (a) the whole vibration test; (b) input wave.
2.5. Similitude Law
In this study, a model structure was created using the law of similitude (Iai, 1989) (Table 2) []. Type 3 (strain-softening) was chosen because the model ground used in this study is loosely formed, and the ground deformation is characterized by strain-softening, which persists even after the cyclic load ceases. The scale factor of the model structure relative to the prototype structure is denoted by λ, and is the scale factor for strain and is the scale factor for density.
Table 2.
Similitude law for 1-G shaking table model test (Iai, 1989) [].
The prototype structure for this study was a two-story building with dimensions of 12 m in length and 7 m in width. To conduct a model test on this prototype, the model structure was scaled down to 1/50 (Table 3).
Table 3.
Law of simulation based on Iai (1989) [].
Jean (2006) noted that if the scaled ratio is less than 1/50, discrepancies may arise between the results of shaking table tests and numerical analyses. Therefore, this study selected a scaling ratio of 1/50 to facilitate a direct comparison between shaking table test results and numerical analysis. The model structure was constructed with a width, depth, and height of 250 mm, 100 mm, and 100 mm, respectively, and had a weight of 8 kg. The effective stress of the model structure was 3.136 kPa (Figure 9).
Figure 9.
Model geometry: (a) plan view; (b) perspective view.
3. Results and Analysis
In this study, a 1-G shaking table test was conducted to evaluate various embedded depth ratios of sheet piles and grouting cement mixing ratios. The characteristics and applicability of each method were assessed by comparing and analyzing their effectiveness in reducing liquefaction damage.
3.1. Results of None Prevent Ground without Application of Prevention Method
Figure 10 compares the control ground model, which had no prevention method applied, before and after liquefaction. The test results revealed that when a cyclic load was applied to the model ground, the pore water pressure increased, as shown in Figure 10b. This led to a loss of effective stress and subsequent liquefaction of the ground. The model structure experienced rapid vertical settlement and rotation due to differential settlement.
Figure 10.
Ground state in none prevent ground (without prevention method).
Measurements indicated that the model structure began to settle significantly about 10 s after the cyclic load was applied, reaching a maximum vertical settlement of 162 mm. During this period, the pore water pressure in the ground was also at its peak (Figure 11). This suggests that the rapid rise in excess pore water pressure, caused by cyclic loads acting on the saturated loose sand layer is the primary factor in the loss of effective stress and liquefaction. As the pore water pressure rises swiftly, the ground strength diminishes. The pore water pressure ratio, calculated from the effective stress of the structure and the measured pore water pressure, exceeded 1, indicating that the rapid increase in pore water pressure was the primary cause of liquefaction (Figure 12).
Figure 11.
None prevent ground (without prevention method); (a) settlement and (b) pore water pressure over time.
Figure 12.
None prevent ground (without prevention method); pore water pressure ratio over time.
3.2. Results for Sheet Pile Embedding Ratio of 0.75
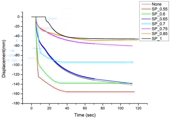
A study conducted a 1-G shaking table test, varying the embedded depth ratio of the sheet pile from 0.55 to 1 []. When the embedded depth ratio was 0.7, the settlement of the structure decreased by approximately 41% compared to the control ground with no prevention method. When the embedded depth ratio was increased to 0.75, the settlement decreased by approximately 63% compared to the control ground. Additionally, a comparison of the settlement at an embedded depth ratio of 0.75 and 0.85 revealed only a 10% difference, which is considered not significant. Based on these results, the optimal embedded depth ratio for the sheet pile to effectively reduce structural damage in the event of liquefaction was determined to be 0.75 (Figure 13).
Figure 13.
Comparison of settlement in all sheet pile cases (Yoon, 2023).
Additionally, when ground reinforcement was performed using a sheet pile with an embedded depth ratio of 0.75, both vertical and differential settlements of the structure decreased significantly compared to the control ground with no prevention method (Figure 14b). These results suggest that the sheet pile effectively reduced vertical and differential settlements by limiting the spread of the ground within the sheet pile.
Figure 14.
Ground state for embedded depth ratio 0.75.
As shown in Figure 15, the settlement of the structure was triggered by the input wave acting on the model ground. After approximately 10 s, the model structure experienced rapid settlement, reaching a final value of 60 mm. This represents a reduction of approximately 79% compared to the control ground with no prevention method.
Figure 15.
Time history of settlement and pore water pressure for embedded depth ratio 0.75; (a) settlement; (b) pore water pressure.
When ground reinforcement was performed using a sheet pile, the pore water pressure ratio was less than 1 at the depth where the sheet pile was embedded, and greater than 1 at the depth where it was not embedded. This method appears to suppress the increase in pore water pressure due to cyclic loads in the early stages of liquefaction by acting as a barrier to changes in pore water pressure within the ground. However, after liquefaction, the pore water pressure in the upper layer exceeded that at the time of liquefaction, and the rate of pore water pressure dissipation inside the sheet pile tended to decrease. This trend suggests that the sheet pile with an embedded depth ratio of 0.75 does not effectively suppress the increase in pore water pressure inside the sheet pile after liquefaction and delays its dissipation. Additionally, analysis of the effect of pore water pressure on the structure’s settlement indicates that rapid increases in pore water pressure are associated with increased settlement, suggesting a significant impact of pore water pressure on the settlement of the structure (Figure 16).

Figure 16.
Time history of pore water pressure ratio for embedded depth ratio 0.75.
3.3. Grouting Cement Mixing Ratio 0.45
Yoon (2023) investigated the effect of the grouting cement mixing ratio on reducing liquefaction damage using a 1-G shaking table test. The mixing ratio was varied from 0.4 to 0.55. At a mixing ratio of 0.4, the structure’s settlement decreased by approximately 79% compared to the untreated ground, but the test specimen tended to be damaged by the cyclic load. In contrast, at a mixing ratio of 0.45, the settlement was reduced by about 85% compared to the untreated ground, with no damage to the test specimen. Additionally, ground reinforcement using the grouting method showed that vertical settlement of the model structure decreased rapidly with a grouting cement mixing ratio of 0.4. However, increasing the ratio beyond 0.4 did not result in significant changes in vertical settlement. Post-test examination revealed that the grouting specimen was damaged inside the ground at a mixing ratio of 0.4. Based on these results, a grouting cement mixing ratio greater than 0.4 is recommended. Therefore, the most effective mixing ratio, which minimizes vertical settlement and prevents damage to the grouting specimen while using the least amount of cement, was found to be 0.45 (Figure 17).
Figure 17.
Comparison of settlement in all grouting cases (Yoon, 2023).
When ground reinforcement was performed with a grouting cement mixing ratio of 0.45, liquefaction occurred due to an increase in pore water pressure. However, compared to the untreated ground, there was no significant deformation of the structure from vertical or differential settlement (Figure 18). Additionally, the grouting cement specimen was not damaged by cyclic loading, with the thickness and width of the grouting cement measuring approximately 45 mm and 65 mm, respectively. Based on these results, the effective permeation depth of the grouting was approximately 45 mm with a grouting cement mixing ratio of 0.45.
Figure 18.
Ground state for cement mixing ratio 0.45.
Approximately 5–7 s after the cyclic load began acting on the ground, the structure rapidly settled to a final depth of 23 mm. This represents an 85% reduction compared to the untreated ground, demonstrating that grouting is effective in suppressing structural settlement (Figure 19).
Figure 19.
Time history of (a) settlement and (b) pore water pressure for cement mixing ratio 0.45.
When ground reinforcement was performed using grouting, the pore water pressure ratio was greater than 1 in both the bottom and middle layers where the grouting cement did not permeate. In contrast, the pore water pressure ratio was less than 1 in the layer where the grouting cement had permeated. Liquefaction occurred because the increase in pore water pressure in the non-permeated layers could not be suppressed. Additionally, when pore water pressure rises rapidly, the settlement of the structure also increases rapidly, indicating that the increase in pore water pressure significantly influences structural settlement (Figure 20).

Figure 20.
Time history of pore water pressure ratio for cement mixing ratio 0.45.
3.4. Selection of Optimal Conditions by Method and Comparison of Results
In this study, a model test using a 1-G shaking table was conducted to assess the effects of the embedded depth ratio of the sheet pile and the grouting cement mixing ratio on reducing liquefaction damage (Table 4).
Table 4.
Effect of ground reinforcement by method.
Based on the results from the 1-G shaking table tests for both methods, the conditions that provided the best reduction in liquefaction damage were identified for each method. The effectiveness of these optimal conditions in reducing liquefaction damage was then compared and analyzed.
Test results indicate that the grouting method reduces settlement by approximately 30% compared to the sheet pile method (Figure 21). This reduction can be attributed to the increased ground strength achieved through grouting, which effectively suppresses structural settlement. However, during liquefaction, the sheet pile method recorded a maximum pore water pressure of approximately 1.25 kPa, while the grouting method recorded a maximum of approximately 2.6 kPa. This represents a 52% reduction, suggesting that the sheet pile method was more effective in mitigating increases in pore water pressure compared to the grouting method (Figure 22). This difference is likely because the grouting method requires a smaller area for ground reinforcement than the sheet pile method.
Figure 21.
Comparison of sheet pile and grouting methods: settlement.
Figure 22.
Comparison of sheet pile and grouting methods: pore water pressure.
Comparison of the pore water pressure dissipation after liquefaction revealed that the sheet pile method tended to increase pore water pressure by approximately 0.45 kPa, while the grouting method tended to decrease it by approximately 1.26 kPa. Thus, the grouting method was more effective in dissipating pore water pressure than the sheet pile method. This is likely due to the excellent water resistance of the sheet pile, which hinders the dissipation of pore water pressure inside it. Additionally, the rotation of the structure was approximately 4.62° with the sheet pile method and 1.73° with the grouting method, resulting in a reduction of approximately 2.89° with the grouting method. For differential settlement, the grouting method resulted in structural settlement ranging from 2 to 28 mm, while the sheet pile method resulted in a range of 55 to 66 mm, indicating a larger differential settlement compared to the grouting method (Figure 23). During liquefaction, the sheet pile method caused the structure to rotate or overturn inside the ground, leading to increased rotation and differential settlement (Figure 24). Based on these results, the grouting method is more effective in suppressing the vertical settlement, rotation, and differential settlement of structures than the sheet pile method. Conversely, the sheet pile method appears to be more effective in mitigating increases in pore water pressure compared to the grouting method.
Figure 23.
Comparison of (a) sheet pile method and (b) grouting method: rotation.
Figure 24.
Relationship between settlement and rotation by each method.
Additionally, a relationship equation for each method was proposed using settlement data corresponding to the embedded depth ratio of the sheet pile and the grouting chemical mixing ratio.
First, a sigmoid function—a mathematical function with an S-shaped curve used in deep learning—was employed to propose the correlation equation between the embedded depth ratio of the sheet pile and the amount of settlement of the structure.
In the above equation, a affects the slope of the curve, b affects the position of the x-axis of the function, c affects the peak position of the curve, and d affects the length of the y-axis of the curve. Based on Figure 25, the following relationship equation for the embedded depth ratio and settlement of the sheet pile was derived.
Figure 25.
Relationship between settlement and embedded depth ratio.
Additionally, the relationship between the grouting chemical mixing ratio and the settlement of the structure was proposed as a Log function using Figure 26.
Figure 26.
Relationship between settlement and grouting mixing ratio.
Based on the correlation between each method and the settlement, it was confirmed that both the sheet pile method and the grouting method are highly effective in reducing liquefaction damage. For ground reinforcement using sheet piles, it was determined that the sheet pile must be installed to a depth of up to 75% of the total ground layer depth to effectively reduce ground settlement and liquefaction damage.
Additionally, for ground reinforcement using the permeation grouting method, the grouting mixing ratio must be at least 40% to reduce settlement effectively. Considering the strength of the grouting chemical as it hardens, the mixing ratio should be at least 45% to be effective in reinforcing the ground and reducing liquefaction damage.
The R-squared values for the relationships between the sheet pile embedded depth ratio and settlement, and the grouting mixing ratio and settlement, are 0.647 and 0.602, respectively. These values indicate a reliable correlation for both methods.
However, the two methods have distinctly different reinforcement effects. The sheet pile method, known for its high-water resistance and capability for deep reinforcement, is most suitable for reducing liquefaction damage at sites with a deep sandy soil layer, a large reinforcement area, and a high surrounding groundwater level. In contrast, the grouting method, which improves ground strength at specific locations, is more effective for sites with a shallow sandy soil layer, a small reinforcement area, and a low surrounding groundwater level.
4. Conclusions
In this study, a model test using a 1-G shaking table was conducted. The ground with no reinforcement served as the control (None prevent ground), while ground reinforced using both the sheet pile and grouting methods was tested. The study analyzed the effect of the embedded depth ratio on reducing liquefaction damage for the sheet pile method and the impact of the grouting cement mixing ratio for the grouting method. The results for each reinforcement method were compared, leading to the following conclusions:
1. Reinforcement using the sheet pile method with an embedded depth ratio of 0.75 resulted in a structural settlement of approximately 33 mm, representing about a 79% reduction compared to the None prevent ground. This reduction is attributed to the sheet pile acting as a water barrier, which mitigates lateral ground spreading due to liquefaction and thereby decreases structural settlement during liquefaction events.
2. When the ground was reinforced using the sheet pile method, the dissipation of pore water pressure was delayed, likely leading to secondary settlement of the structure. This effect should be considered when determining the appropriate embedded depth ratio for the sheet pile.
3. Reinforcing the ground using the grouting method resulted in a structural settlement of approximately 23 mm, representing about an 85% reduction compared to the None prevent ground. This significant reduction is due to the increase in ground strength and the foundation area of the structure achieved by permeating the grouting cement into the ground, which effectively suppresses settlement during liquefaction events.
4. When the ground was reinforced using the grouting method, the dissipation of pore water pressure after liquefaction occurred more rapidly than with the sheet pile method. This is likely because the grouting method has a smaller impact on changes in groundwater levels compared to the sheet pile method.
5. Analysis of the sheet pile and grouting methods revealed that while both are effective for ground reinforcement, they each have distinct advantages. The sheet pile method is particularly effective in suppressing the rapid increase in pore water pressure during the early stages of liquefaction. In contrast, the grouting method offers a higher rate of pore water pressure dissipation after liquefaction.
6. Compared to the sheet pile method, the grouting method resulted in less rotation and differential settlement of the structure. This is likely because sheet piles tend to rotate and overturn within the ground during liquefaction. In contrast, the grouting method suppresses deformation of the ground around the structure by increasing the robustness of the ground due to the grouting cement.
7. Considering factors such as structural settlement, pore water pressure increase, pore water pressure dissipation, structure rotation, and differential settlement, the grouting method appears to be more effective in reducing liquefaction damage than the sheet pile method. However, due to the distinct functions and reinforcement effects of each method, it is advisable to assess field conditions and the specific requirements of ground reinforcement to select the most suitable method based on their respective advantages.
Author Contributions
Conceptualization, J.-C.Y. and J.-M.K.; methodology, J.-C.Y.; formal analysis, J.-C.Y. and S.-W.S.; investigation, J.-C.Y. and S.-W.S.; writing—original draft, J.-C.Y.; writing—review and editing, J.-C.Y., S.-W.S. and J.-M.K.; supervision, J.-M.K. All authors have read and agreed to the published version of the manuscript.
Funding
This paper was financially supported by the National Research Foundation of Korea (NRF-2021R1I1A30522451 4621 82065600104) and the Brain Korea 21 FOUR Project in the Education and Research Center for Infrastructure of Smart Ocean City (i-SOC Center) (4120240614905).
Data Availability Statement
The original content presented in the study in the included in the object, the other requirements can be directed to the corresponding author.
Conflicts of Interest
The authors declare no conflict of interest.
References
- Korea Meteorological Administration Weather Nuri. Available online: https://www.weather.go.kr/w/eqk-vol/archive/stat/trend.do (accessed on 18 April 2024).
- Lu, C.-W.; Chu, M.-C.; Ge, L.; Peng, K.-S. Estimation of settlement after soil liquefaction for structures built on shallow foundation. Soil Dyn. Earthq. Eng. 2020, 129, 105916. [Google Scholar] [CrossRef]
- Tsai, C.-C.; Hwang, Y.-W.; Lu, C.-C. Liquefaction, building settlement, and residual strength of two residual areas during the 2016 southern Taiwan earthquake. Acta Geotech. 2020, 15, 1363–1379. [Google Scholar] [CrossRef]
- Bazaios, K.N.; Papadimitriou, A.G.; Bouckovalas, G.D.; Tsiapas, Y.Z. Effect of structural inertia on liquefaction-induced settlements of shallow foundations. Soil Dyn. Earthq. Eng. 2023, 164, 107546. [Google Scholar] [CrossRef]
- Forcellini, D. Soil-structure interaction analyses of shallow-foundation structures on a potential-liquefaction soil deposit. Soil Dyn. Earthq. Eng. 2020, 133, 106108. [Google Scholar] [CrossRef]
- Ghannadi, P.; Kourehli, S.S.; Nguyen, A. The Differential Evolution Algorithm: An Analysis of More than Two Decades of Application in Structural Damage Detection (2001–2022). In Data Driven Methods for Civil Structural Health Monitoring and Resilience; CRC Press: Boca Raton, FL, USA, 2024; pp. 14–57. [Google Scholar]
- Tanaka, H.; Murata, H.; Kita, H.; Okamoto, M. Study on sheet pile wall method as a remediation against liquefaction. In Proceedings of the WCEE12, Auckland, New Zealand, 30 January–4 February 2000; Volume 535, pp. 1–8. [Google Scholar]
- Yasuda, S.; Ishihara, K.; Morimoto, I.; Orense, R.; Ikeda, M.; Tamura, S. Large-scale shaking table tests on pile foundations in liquefied ground. In Proceedings of the WCEE12, Auckland, New Zealand, 30 January–4 February 2000. [Google Scholar]
- Finn, W.D.L.; Fujita, N. Piles in liquefiable soils: Seismic analysis and design issues. Soil Dyn. Earthq. Eng. 2002, 22, 731–742. [Google Scholar] [CrossRef]
- Zhang, C.; Feng, Z.; Guan, Y.; Chen, H.; Wang, F.; Xu, B. Study on Liquefaction Resistance of Pile Group by Shaking Table Test. Adv. Civ. Eng. 2022, 2022, 5074513. [Google Scholar] [CrossRef]
- Hiroyuki, T.; Hiroshi, K.; Takeshi, L.; Yukio, S.; Yoshiaki, T. Liquefaction Countermeasure Using Steel Sheet Pile with Drain Capability. Sumitomo Search 1996, 58, 72–81. [Google Scholar]
- Brandenberg, S.J.; Boulanger, R.W.; Kutter, B.L.; Chang, D. Behavior of Pile Foundations in Laterally Spreading Ground during Centrifuge Tests. J. Geotech. Geoenviron. Eng. 2005, 131, 11. [Google Scholar] [CrossRef]
- Motamed, R.; Towhata, I.; Honda, T.; Yasuda, S.; Tabata, K.; Nakazawa, H. Behaviour of pile group behind a sheet pile quay wall subjected to liquefaction-induced large ground deformation observed in shaking test in E-defense project. Soils Found. 2009, 49, 459–475. [Google Scholar] [CrossRef]
- Motohashi, Y.; Yasuhara, K.; Komine, H.; Murakami, S. Mitigation of Existing Structure Settlement by Sheet Pile Walls When Liquefaction. In Proceedings of the Geo-Frontiers 2011, Dallas, TX, USA, 13–16 March 2011; 2011; pp. 1815–1820. [Google Scholar]
- Rasouli, R.; Hayashida, T.; Towhata, I. Experimental study on subsidence of structures due to liquefaction and its mitigation. In Proceedings of the International Symposium on Earthquake Engineering (JAEE 2012), Tokyo, Japan, 8–10 November 2012; pp. 99–208. [Google Scholar]
- Dashti, S.; Bray, J.D.; Pestana, J.M.; Riemer, M.; Wilson, D. Centrifuge Testing to Evaluate and Mitigate Liquefaction-Induced Building Settlement Mechanisms. J. Geotech. Geoenviron. Eng. 2010, 136, 918–929. [Google Scholar] [CrossRef]
- Rasouli, R.; Akima, T.; Awad, V.; Tan, S.; Towhata, I. A Comparison between Performance of Sheet-Pile Walls against Liquefaction Settlement of Structures in 2-D and 3-D Experiments; ISEE, JAEE: Yokohama, Japan, 2013; Volume 2. [Google Scholar]
- Rasouli, R.; Towhata, I.; Hayashida, T. Mitigation of seismic settlement of light surface structures by installation of sheet-pile walls around the foundation. Soil Dyn. Earthq. Eng. 2015, 72, 108–118. [Google Scholar] [CrossRef]
- Saha, P.; Horikoshi, K.; Takahashi, A. Performance of sheet pile as a seismic retrofit for old piled abutment subjected to liquefaction-induced lateral spreading. Soil Dyn. Earthq. Eng. 2021, 141, 106507. [Google Scholar] [CrossRef]
- Saha, P.; Horikoshi, K.; Takahashi, A. Performance of sheet pile to mitigate liquefaction-induced lateral spreading of loose soil layer under the embankment. Soil Dyn. Earthq. Eng. 2020, 139, 106410. [Google Scholar] [CrossRef]
- Albidah, A.; Alghannam, M.; Abbas, H.; Almusallam, T.; Al-Salloum, Y. Characteristics of metakaolin-based geopolymer concrete for different mix design parameters. J. Mater. Res. Technol. 2021, 10, 84–98. [Google Scholar] [CrossRef]
- Fraccica, A.; Spagnoli, G.; Romero, E.; Arroyo, M.; Gomez, R. Exploring the mechanical response of low-carbon soil improvement mixture. J. Can. Geotech. 2022, 59, 726–742. [Google Scholar] [CrossRef]
- Sikora, P.; Cendrowski, K.; Elrahman, M.A.; Chung, S.-Y.; Mijowska, E.; Stephan, D. The effects of seawater on the hydration, microstructure and strength development of Portland cement pastes incorporating colloidal silica. Appl. Nanosci. 2020, 10, 2627–2638. [Google Scholar] [CrossRef]
- Kawamura, K.; Yamazaki, H.; Sugano, T.; Hayashi, K. Proof Experiment Using Artificial Earthquake Concerning Effect of Permeable Grouting Method as Measures Against Liquefaction. In Proceedings of the 13th World Conference on Earthquake Engineering, Vancouver, BC, Canada, 1–6 August 2004. [Google Scholar]
- Yasuda, S. Remediation methods against liquefaction which can be applied to existing structures. Earthq. Geotech. Eng. 2007, 6, 385–406. [Google Scholar]
- Sitar, N.; Hausler, E. Influence of Ground Improvement on Liquefaction Induced Settlement: Observations from Case Histories and Centrifuge Experiments. Invited Lecture Presented to the Korean Geotechnical Society Seoul, Korea. Int. J. Geo-Eng. 2012, 4, 5–15. [Google Scholar]
- Rasouli, R.; Hayashi, K. Liquefaction resistance and residual shear strength of soil improved by permeable grouting method. In Proceedings of the Conference of Japanese Geotechnical Society Symposium on Practical Design of Chemical Grouting, Tokyo, Japan, 5 June 2015. [Google Scholar]
- Rasouli, R.; Hayashi, K.; Zen, K. Controlled permeation grouting method for mitigation of liquefaction. J. Geotech. Geoenviron. Eng. 2016, 142, 04016052. [Google Scholar] [CrossRef]
- Park, S.Y.; Shim, H.G.; Kang, H.J.; Lim, O.B.; Kim, Y.S. Grouting injection effectiveness of a permeable compacting grout using permeable compaction type packer. J. Korean Geosynth. Soc. 2017, 16, 149–158. [Google Scholar]
- Wang, W.; Hashimoto, K.; Hyodo, T.; Tsukamoto, Y.; Oji, S.; Nishihara, S.; Kanazawa, T. Examining efficient assisting geotechnology for permeation grouting of ultra microfine cement for soil liquefaction countermeasure. In Proceedings of the 6th Japan-Korea Geotechnical Workshop, Okayama, Japan, 12 September 2016. [Google Scholar]
- Nabeshima, Y. Permeation of ultra-fine particle cement grout into sandy ground. Int. J. Struct. Civ. Eng. 2021, 10, 3. [Google Scholar] [CrossRef]
- Nabeshima, Y. Permeation of Ultra-Fine Particle Cement to Sandy Ground and Cement Stabilization. In Proceedings of the International Ocean and Polar Engineering Conference, Shanghai, China, 11–16 October 2020. [Google Scholar]
- Kobayashi, M.; Zen, K.; Chen, G.; Kasama, K. Shaking Table Test on the Improvement Dimension of Permeable Grouting Method for Liquefaction Countermeasure. In Proceedings of the ASME 2009 28th International Conference on Ocean, Off-shore and Arctic Engineering (OMAE 2009), Honolulu, HI, USA, 31 May–6 June 2009. [Google Scholar]
- Mitrani, H.; Madabhushi, S.P.G. Cementation liquefaction remediation for existing buildings. Ground Improv. 2010, 163, 81–94. [Google Scholar] [CrossRef]
- Yoon, J.C.; Son, S.W.; Kim, J.M. Method for Prevention of Liquefaction Caused by Earthquake Using Grouting Applicable to Existing Structure. Appl. Sci. 2023, 13, 1871. [Google Scholar] [CrossRef]
- Hakam, A. Laboratory liquefaction test of sand based on grain size and relative density. J. Eng. Technol. Sci. 2016, 3, 334–344. [Google Scholar] [CrossRef]
- Iai, S. Similitude for Shaking table on Soil-Structure-Fluid Model In 1G gravitational field. Soil Found. 1989, 29, 105–118. [Google Scholar] [CrossRef]
- Yoon, J.C.; Son, S.W.; Park, J.H.; Moon, J.S.; Kim, J.M. A Study on the Prevention of Liquefaction Damage of the Sheet File Method Applicable to the Foundation of Existing Structures Using the 1-G Shaking Table Experiment. J. Korean Geo-Environ. Soc. 2023, 24, 5–14. [Google Scholar]
Disclaimer/Publisher’s Note: The statements, opinions and data contained in all publications are solely those of the individual author(s) and contributor(s) and not of MDPI and/or the editor(s). MDPI and/or the editor(s) disclaim responsibility for any injury to people or property resulting from any ideas, methods, instructions or products referred to in the content. |
© 2024 by the authors. Licensee MDPI, Basel, Switzerland. This article is an open access article distributed under the terms and conditions of the Creative Commons Attribution (CC BY) license (https://creativecommons.org/licenses/by/4.0/).