Investigation of the Innovative Combined Reuse of Phosphate Mine Waste Rock and Phosphate Washing Sludge to Produce Eco-Friendly Bricks
Abstract
1. Introduction
2. Materials and Methods
2.1. General Methodology
2.2. Raw Material Sampling and Preparation
2.3. Raw Materials Characterization
2.3.1. Environmental Behavior and Health Condition of Raw Materials
2.3.2. Physical and Geotechnical Characterization
2.3.3. Chemical and Mineralogical Characterization
2.4. Mixtures Definition and Characterization
2.5. Laboratory Tests on Pilot Scale Bricks
2.5.1. Pilot Scale Bricks Manufacturing
2.5.2. Uniaxial Compressive Strength (UCA)
2.5.3. Water Absorption (WA)
2.5.4. Thermal Conductivity (TC)
2.5.5. Microstructural Analysis (SEM)
3. Results and Discussion
3.1. Raw Materials Characterization
3.1.1. Environmental Behavior and Health Condition of Raw Materials
3.1.2. Physical and Geotechnical Characterization
3.1.3. Chemical and Mineralogical Characterization
3.2. Mixtures Characterization
3.3. Laboratory Tests on Pilot Scale Bricks
3.3.1. Uniaxial Compressive Strength (UCA)
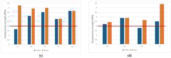
- Reference 5: Comprising 60% PWS and 40% PWR, these bricks displayed variable compressive strengths, ranging from 3 to 4.7 MPa after 14 days and 3.5 to 5.3 MPa after 28 days. This variability suggests inconsistencies in the material’s behavior.
- Reference 8: With a mix of 45% PWS, 50% PWR, and 5% conventional cement, these bricks showed more consistent and higher compressive strengths. After 14 days, strengths ranged from 4.4 to 5.6 MPa, and after 28 days, from 5.8 to 7.1 MPa. The addition of cement significantly improved the compressive strength and its development over time.
- Reference 17: Containing 97.5% PWS and 2.5% conventional cement, these bricks exhibited the lowest compressive strengths, between 3.4 and 3.7 MPa after 14 days and 4.2 to 5.3 MPa after 28 days. The high sludge content likely contributed to the reduced strength.
- Despite these variations, all formulations exceed the requirements of the standard [56] for dry uniaxial compressive strength. This indicates that each mixture, regardless of the differences in composition and resulting strength, is suitable for practical applications. The compliance with the standard requirements suggests that these bricks can be effectively used in construction, ensuring safety and durability. This finding is crucial for the utilization of alternative materials like PWS and PWR, promoting sustainable practices in the construction industry.
3.3.2. Water Absorption (WA)
3.3.3. Thermal Conductivity (TC) Properties
3.3.4. Microstructural Analysis
4. Conclusions
- The PWS and PWR leaching characteristic test (TCLP) conducted in this study demonstrate no existence of contaminant. Despite being made with phosphate waste, compressed earth bricks (CEBs) do not pose any threats to the environment or human health;
- Following a preliminary study including seventeen distinct formulations, three best formulations were developed to meet the specified requirements, namely 5 (S60-R40-C0), 8 (S45-R50-C5) and 17 (S97.5-R0-C2.5);
- The effect of scale-up, marking the transition from laboratory preliminary characterization to laboratory pilot-scale on real products, was also studied;
- All laboratory pilot-scale formulations achieved dry compressive strength values exceeding 2 MPa after 28 days;
- Related to water absorption, they exhibited very low to low capillary absorption and are within the requirements indicated by international standards;
- The thermal conductivity of the scaled up best three mixtures was about 0.6 W m−1 K−1 at laboratory scale;
- The SEM analyses of the elaborated bricks confirmed the formation of Calcium Silicate Hydrates (C-S-H) and Portlandite, which allowed to improve the mechanical properties of the elaborated CEBs.
Author Contributions
Funding
Data Availability Statement
Acknowledgments
Conflicts of Interest
References
- Sekisov, G.V.; Cheban, A.Y. Low-Waste Mining Technology for Structurally Complex Deposits with Mixed-Type Process Flows of Ore Extraction and Processing. J. Min. Sci. 2021, 57, 978–985. [Google Scholar] [CrossRef]
- Norgate, T.; Jahanshahi, S. Low Grade Ores—Smelt, Leach or Concentrate? Miner. Eng. 2010, 23, 65–73. [Google Scholar] [CrossRef]
- Watson, J.H.P.; Beharrell, P.A. Extracting Values from Mine Dumps and Tailings. Miner. Eng. 2006, 19, 1580–1587. [Google Scholar] [CrossRef]
- Walan, P.; Davidsson, S.; Johansson, S.; Höök, M. Phosphate Rock Production and Depletion: Regional Disaggregated Modeling and Global Implications. Resour. Conserv. Recycl. 2014, 93, 178–187. [Google Scholar] [CrossRef]
- Othman, I.; Al-Masri, M.S. Impact of Phosphate Industry on the Environment: A Case Study. Appl. Radiat. Isot. 2007, 65, 131–141. [Google Scholar] [CrossRef] [PubMed]
- Yang, Y.-Y.; Wu, H.-N.; Shen, S.-L.; Horpibulsuk, S.; Xu, Y.-S.; Zhou, Q.-H. Environmental Impacts Caused by Phosphate Mining and Ecological Restoration: A Case History in Kunming, China. Nat. Hazards 2014, 74, 755–770. [Google Scholar] [CrossRef]
- Wang, K.; Lin, Z.; Zhang, R. Impact of Phosphate Mining and Separation of Mined Materials on the Hydrology and Water Environment of the Huangbai River Basin, China. Sci. Total Environ. 2016, 543, 347–356. [Google Scholar] [CrossRef]
- Tayibi, H.; Choura, M.; López, F.A.; Alguacil, F.J.; López-Delgado, A. Environmental Impact and Management of Phosphogypsum. J. Environ. Manag. 2009, 90, 2377–2386. [Google Scholar] [CrossRef]
- Vandenhove, H.; Vives I Batlle, J.; Sweeck, L. Potential Radiological Impact of the Phosphate Industry on Wildlife. J. Environ. Radioact. 2015, 141, 14–23. [Google Scholar] [CrossRef]
- Al-Masri, M.S.; Mamish, S.; Budeir, Y. The Impact of Phosphate Loading Activities on near Marine Environment: The Syrian Coast. J. Environ. Radioact. 2002, 58, 35–44. [Google Scholar] [CrossRef]
- Zhang, J.; Liu, M.; Song, Y. Human-Dominated Land Use Change in a Phosphate Mining Area and Its Impact on the Water Environment. Water 2022, 14, 1074. [Google Scholar] [CrossRef]
- Zhang, H.; Wang, Y.; Yang, R.; Ye, R. Modeling the Effects of Phosphate Mining on Groundwater at Different Stages of Mine Development. Mine Water Environ. 2018, 37, 604–616. [Google Scholar] [CrossRef]
- Das, B.K. Environmental Pollution of Udaisagar Lake and Impact of Phosphate Mine, Udaipur, Rajasthan, India. Environ. Geol. 1999, 38, 244–248. [Google Scholar] [CrossRef]
- Chen, M.; Graedel, T.E. The Potential for Mining Trace Elements from Phosphate Rock. J. Clean. Prod. 2015, 91, 337–346. [Google Scholar] [CrossRef]
- Toama, H.Z. World Phosphate Industry. Iraqi Bull. Geol. Min. 2017, 7, 5–23. [Google Scholar]
- El Bamiki, R.; Raji, O.; Ouabid, M.; Elghali, A.; Khadiri Yazami, O.; Bodinier, J.-L. Phosphate Rocks: A Review of Sedimentary and Igneous Occurrences in Morocco. Minerals 2021, 11, 1137. [Google Scholar] [CrossRef]
- Lamghari, K.; Taha, Y.; Ait-Khouia, Y.; Elghali, A.; Hakkou, R.; Benzaazoua, M. Sustainable Phosphate Mining: Enhancing Efficiency in Mining and Pre-Beneficiation Processes. J. Environ. Manag. 2024, 358, 120833. [Google Scholar] [CrossRef]
- Taha, Y.; Elghali, A.; Hakkou, R.; Benzaazoua, M. Towards Zero Solid Waste in the Sedimentary Phosphate Industry: Challenges and Opportunities. Minerals 2021, 11, 1250. [Google Scholar] [CrossRef]
- Houssini, K.; Geng, Y.; Liu, J.-Y.; Zeng, X.; Hohl, S.V. Measuring Anthropogenic Phosphorus Cycles to Promote Resource Recovery and Circularity in Morocco. Resour. Policy 2023, 81, 103415. [Google Scholar] [CrossRef]
- Derhy, M.; Taha, Y.; Ait-khouia, Y.; Elghali, A.; Benzaazoua, M.; Hakkou, R. Enhancing Selective Calcite and Dolomite Flotation in the Phosphate Ores: Investigation, Modeling, and Automated Mineralogy Assessment. Miner. Eng. 2024, 207, 108569. [Google Scholar] [CrossRef]
- Amar, H.; Benzaazoua, M.; Elghali, A.; Taha, Y.; El Ghorfi, M.; Krause, A.; Hakkou, R. Mine Waste Rock Reprocessing Using Sensor-Based Sorting (SBS): Novel Approach toward Circular Economy in Phosphate Mining. Miner. Eng. 2023, 204, 108415. [Google Scholar] [CrossRef]
- Hamraoui, L.; Bergani, A.; Ettoumi, M.; Aboulaich, A.; Taha, Y.; Khalil, A.; Neculita, C.M.; Benzaazoua, M. Towards a Circular Economy in the Mining Industry: Possible Solutions for Water Recovery through Advanced Mineral Tailings Dewatering. Minerals 2024, 14, 319. [Google Scholar] [CrossRef]
- Aarab, I.; Derqaoui, M.; Amari, K.E.; Yaacoubi, A.; Abidi, A.; Etahiri, A.; Baçaoui, A. Flotation Tendency Assessment Through DOE: Case of Low-Grade Moroccan Phosphate Ore. Min. Metall. Explor. 2022, 39, 1721–1741. [Google Scholar] [CrossRef]
- Elyaziji, A.; Khalil, A.; Hakkou, R.; Benzaazoua, M.; Alansari, A. Assessment of Trace Elements in Soils and Mine Water Surrounding a Closed Manganese Mine (Anti Atlas, Morocco). Mine Water Environ. 2016, 35, 486–496. [Google Scholar] [CrossRef]
- Hakkou, R.; Benzaazoua, M.; Bussière, B. Laboratory Evaluation of the Use of Alkaline Phosphate Wastes for the Control of Acidic Mine Drainage. Mine Water Environ. 2009, 28, 206. [Google Scholar] [CrossRef]
- Khalil, A.; Taha, Y.; Benzaazoua, M.; Hakkou, R. Applied Methodological Approach for the Assessment of Soil Contamination by Trace Elements around Abandoned Coal Mines—A Case Study of the Jerada Coal Mine, Morocco. Minerals 2023, 13, 181. [Google Scholar] [CrossRef]
- Loutou, M.; Hajjaji, M.; Mansori, M.; Favotto, C.; Hakkou, R. Phosphate Sludge: Thermal Transformation and Use as Lightweight Aggregate Material. J. Environ. Manag. 2013, 130, 354–360. [Google Scholar] [CrossRef]
- Bayoussef, A.; Loutou, M.; Taha, Y.; Mansori, M.; Benzaazoua, M.; Manoun, B.; Hakkou, R. Use of Clays By-Products from Phosphate Mines for the Manufacture of Sustainable Lightweight Aggregates. J. Clean. Prod. 2021, 280, 124361. [Google Scholar] [CrossRef]
- Benarchid, Y.; Taha, Y.; Argane, R.; Benzaazoua, M. Application of Quebec Recycling Guidelines to Assess the Use Feasibility of Waste Rocks as Construction Aggregates. Resour. Policy 2018, 59, 68–76. [Google Scholar] [CrossRef]
- Loutou, M.; Taha, Y.; Benzaazoua, M.; Daafi, Y.; Hakkou, R. Valorization of Clay By-Product from Moroccan Phosphate Mines for the Production of Fired Bricks. J. Clean. Prod. 2019, 229, 169–179. [Google Scholar] [CrossRef]
- Mouih, K.; Hakkou, R.; Taha, Y.; Benzaazoua, M. Performances of Compressed Stabilized Bricks Using Phosphate Waste Rock for Sustainable Construction. Constr. Build. Mater. 2023, 388, 131577. [Google Scholar] [CrossRef]
- Oubaha, S.; Hakkou, R.; Taha, Y.; Mghazli, M.O.; Benzaazoua, M. Elaboration of Compressed Earth Blocks Based on Phosphogypsum and Phosphate Mining By-Products. J. Build. Eng. 2022, 62, 105423. [Google Scholar] [CrossRef]
- Lamrani Alaoui, A.; Amrani, A.-I.; Mousavi Ajarostaghi, S.S.; Saffari Pour, M.; Salhi, J.-E.; Daoudia, A.; Halimi, M. An Investigation towards Optimizing the Construction Materials and Configurations of Buildings for Improving Energy Efficiency and Consumption in Morocco. Buildings 2023, 13, 1705. [Google Scholar] [CrossRef]
- Mabroum, S.; Garcia-Lodeiro, I.; Blanco-Varela, M.T.; Taha, Y.; Chhaiba, S.; Indris, S.; Benzaazoua, M.; Mansori, M.; Hakkou, R. Formation of C S H and M S H Gels in Alkali-Activated Materials Based on Marl by-Products from Phosphate Mines. Constr. Build. Mater. 2023, 365, 130029. [Google Scholar] [CrossRef]
- Moukannaa, S.; Nazari, A.; Bagheri, A.; Loutou, M.; Sanjayan, J.G.; Hakkou, R. Alkaline Fused Phosphate Mine Tailings for Geopolymer Mortar Synthesis: Thermal Stability, Mechanical and Microstructural Properties. J. Non-Cryst. Solids 2019, 511, 76–85. [Google Scholar] [CrossRef]
- Sbi, S.; Aboulayt, A.; Borja, W.; Mansouri, S.; El Boudour El Idrissi, H.; Samih, Y.; Semlal, N.; Hannache, H.; Tamraoui, Y.; Alami, J. An Advance Understanding of the Alkali Activation of Cover Layers Waste Rocks from Phosphate Mines: Mechanical, Structure and Microstructure Studies. Constr. Build. Mater. 2022, 346, 128472. [Google Scholar] [CrossRef]
- Segui, P.; Safhi, A.E.M.; Amrani, M.; Benzaazoua, M. Mining Wastes as Road Construction Material: A Review. Minerals 2023, 13, 90. [Google Scholar] [CrossRef]
- Chlahbi, S.; Belem, T.; Elghali, A.; Rochdane, S.; Zerouali, E.; Inabi, O.; Benzaazoua, M. Geological and Geomechanical Characterization of Phosphate Mine Waste Rock in View of Their Potential Civil Applications: A Case Study of the Benguerir Mine Site, Morocco. Minerals 2023, 13, 1291. [Google Scholar] [CrossRef]
- Amrani, M.; Taha, Y.; El Haloui, Y.; Benzaazoua, M.; Hakkou, R. Sustainable Reuse of Coal Mine Waste: Experimental and Economic Assessments for Embankments and Pavement Layer Applications in Morocco. Minerals 2020, 10, 851. [Google Scholar] [CrossRef]
- Chlahbi, S.; Elghali, A.; Inabi, O.; Belem, T.; Zerouali, E.; Benzaazoua, M. Integrated Approach to Sustainable Utilization of Phosphate Waste Rock in Road Embankments: Experimental Insights, Stability Analysis, and Preliminary Economic Evaluation. Case Stud. Constr. Mater. 2024, 20, e03222. [Google Scholar] [CrossRef]
- Amrani, M.; Taha, Y.; Kchikach, A.; Benzaazoua, M.; Hakkou, R. Valorization of Phosphate Mine Waste Rocks as Materials for Road Construction. Minerals 2019, 9, 237. [Google Scholar] [CrossRef]
- Amrani, M.; Taha, Y.; Kchikach, A.; Benzaazoua, M.; Hakkou, R. Phosphogypsum Recycling: New Horizons for a More Sustainable Road Material Application. J. Build. Eng. 2020, 30, 101267. [Google Scholar] [CrossRef]
- Amrani, M.; Taha, Y.; Kchikach, A.; Benzaazoua, M.; Hakkou, R. Field and Economic Studies on Mine Waste: Sustainable Reuse as Aggregates for Low Traffic Pavement Structure. Sustainability 2022, 14, 12540. [Google Scholar] [CrossRef]
- Hakkou, R.; Benzaazoua, M.; Bussière, B. Valorization of Phosphate Waste Rocks and Sludge from the Moroccan Phosphate Mines: Challenges and Perspectives. Procedia Eng. 2016, 138, 110–118. [Google Scholar] [CrossRef]
- Murmu, A.L.; Patel, A. Towards Sustainable Bricks Production: An Overview. Constr. Build. Mater. 2018, 165, 112–125. [Google Scholar] [CrossRef]
- Deboucha, S.; Hashim, R. A Review on Bricks and Stabilized Compressed Earth Blocks. Sci. Res. Essays 2011, 6, 499–506. [Google Scholar]
- Maillard, P.; Aubert, J.E. Effects of the Anisotropy of Extruded Earth Bricks on Their Hygrothermal Properties. Constr. Build. Mater. 2014, 63, 56–61. [Google Scholar] [CrossRef]
- Touré, P.M.; Sambou, V.; Faye, M.; Thiam, A.; Adj, M.; Azilinon, D. Mechanical and Hygrothermal Properties of Compressed Stabilized Earth Bricks (CSEB). J. Build. Eng. 2017, 13, 266–271. [Google Scholar] [CrossRef]
- Ashour, T.; Korjenic, A.; Korjenic, S.; Wu, W. Thermal Conductivity of Unfired Earth Bricks Reinforced by Agricultural Wastes with Cement and Gypsum. Energy Build. 2015, 104, 139–146. [Google Scholar] [CrossRef]
- Boussaa, N.; Kheloui, F.; Chelouah, N. Mechanical, Thermal and Durability Investigation of Compressed Earth Bricks Stabilized with Wood Biomass Ash. Constr. Build. Mater. 2023, 364, 129874. [Google Scholar] [CrossRef]
- Chaib, H.; Kriker, A.; Mekhermeche, A. Thermal Study of Earth Bricks Reinforced by Date Palm Fibers. Energy Procedia 2015, 74, 919–925. [Google Scholar] [CrossRef]
- Gouny, F.; Fouchal, F.; Pop, O.; Maillard, P.; Rossignol, S. Mechanical Behavior of an Assembly of Wood–Geopolymer–Earth Bricks. Constr. Build. Mater. 2013, 38, 110–118. [Google Scholar] [CrossRef]
- Ouedraogo, K.A.J.; Aubert, J.-E.; Tribout, C.; Escadeillas, G. Is Stabilization of Earth Bricks Using Low Cement or Lime Contents Relevant? Constr. Build. Mater. 2020, 236, 117578. [Google Scholar] [CrossRef]
- Dulal, P.; Maharjan, S.; Timalsina, M.P.; Maharjan, Y.; Giri, A.; Tamang, A. Engineering Properties of Cement-Stabilized Compressed Earth Bricks. J. Build. Eng. 2023, 77, 107453. [Google Scholar] [CrossRef]
- Paula Junior, A.C.; Teixeira, E.; Mateus, R. Improving the Mechanical, Thermal and Durability Properties of Compressed Earth Blocks by Incorporating Industrial Waste and by-Products: A Systematic Literature Review. Constr. Build. Mater. 2024, 438, 137063. [Google Scholar] [CrossRef]
- Norme XP P13-901; Blocs de Terre Comprimée Pour Murs et Cloisons: Définitions-Spécifications-Méthodes déssais-Conditions de Réception. AFNOR: La Plaine Saint-Denis, France, 2001.
- El Ghorfi, M.; Inabi, O.; Amar, H.; Taha, Y.; Elghali, A.; Hakkou, R.; Benzaazoua, M. Design and Implementation of Sampling Wells in Phosphate Mine Waste Rock Piles: Towards an Enhanced Composition Understanding and Sustainable Reclamation. Minerals 2024, 14, 286. [Google Scholar] [CrossRef]
- US-EPA Hazardous Waste Characteristics. A User-Friendly Reference Document; AFNOR Editions; AFNOR: La Plaine Saint-Denis, France, 2009. [Google Scholar]
- NF P 94-041; Soils: Investigation and Testing—Granulometric Description—Wet Sieving Method. AFNOR: La Plaine Saint-Denis, France, 1995.
- ISO 17892-12; Geotechnical Investigation and Testing-Laboratory Testing of Soil-Part 12: Determination of Liquid and Plastic Limits. ISO: Geneva, Switzerland, 2018.
- EN NF 933-9; Essais Pour Déterminer Les Caractéristiques Géométriques Des Granulats—Partie 9: Qualification Des Fines—Essais Au Bleu de Méthylène. Française de Normalisation (AFNOR): La Plaine Saint-Denis, France, 2022.
- NF P94-093; Soils: Investigation and Testing—Determination of the Compaction Reference Values of a Soil Type—Standard Proctor Test—Modified Proctor Test—Sols: Reconnaissance et Essais—Détermination Des Références de Compactage d’un Matériau—Essai Proctor Normal—Essai Proctor Modifié. AFNOR: La Plaine Saint-Denis, France, 2014.
- NF EN 933-8+ A1; Essais Pour Déterminer Les Caractéristiques Géométriques Des Granulats—Partie 8: Évaluation Des Fines—Équivalent de Sable. AFNOR: La Plaine Saint-Denis, France, 2015.
- International Atomic Energy Agency. Regulations for the Safe Transport of Radioactive Material; International Atomic Energy Agency: Vienna, Austria, 2018; ISBN 92-0-101909-2. [Google Scholar]
- Houben, H.; Guillard, H. Prelims-Earth Construction. Earth Constr. 1989, i–xiv. [Google Scholar]
- Craterre-Eag, C.D.I. Compressed Earth Blocks: Standards–Technology Series No. 11; CDI: Brussels, Belgium, 1998; p. 519. [Google Scholar]
- Adam: Compressed Stabilised Earth Block Manufacture in Sudan—Google Scholar. Available online: https://scholar.google.com/scholar_lookup?title=Compressed%20Stabilised%20Earth%20Block%20Manufacture%20in%20Sudan&author=E.%20Adam&publication_year=2001#d=gs_cit&t=1720878140074&u=%2Fscholar%3Fq%3Dinfo%3AB5pxZk8SWcYJ%3Ascholar.google.com%2F%26output%3Dcite%26scirp%3D0%26hl%3Dfr (accessed on 13 July 2024).
- Asha Sapna, A.P.; Anbalagan, C. Sustainable Eco-Friendly Building Material—A Review Towards Compressed Stabilized Earth Blocks and Fire Burnt Clay Bricks. IOP Conf. Ser. Earth Environ. Sci. 2023, 1210, 012023. [Google Scholar] [CrossRef]
- Lahdili, M.; El Abbassi, F.-E.; Sakami, S.; Aamouche, A. Mechanical and Thermal Behavior of Compressed Earth Bricks Reinforced with Lime and Coal Aggregates. Buildings 2022, 12, 1730. [Google Scholar] [CrossRef]
- Zhu, X.; Richardson, I.G. Morphology-Structural Change of C-A-S-H Gel in Blended Cements. Cem. Concr. Res. 2023, 168, 107156. [Google Scholar] [CrossRef]
- Hou, X.; Struble, L.J.; Kirkpatrick, R.J. Formation of ASR Gel and the Roles of C-S-H and Portlandite. Cem. Concr. Res. 2004, 34, 1683–1696. [Google Scholar] [CrossRef]
- Mejdi, M.; Wilson, W.; Saillio, M.; Chaussadent, T.; Divet, L.; Tagnit-Hamou, A. Investigating the Pozzolanic Reaction of Post-Consumption Glass Powder and the Role of Portlandite in the Formation of Sodium-Rich C-S-H. Cem. Concr. Res. 2019, 123, 105790. [Google Scholar] [CrossRef]
















| Reference | Mixture | PWS (Wt %) | PWR (Wt %) | CC (Wt %) |
|---|---|---|---|---|
| 1 | S40-R60-C0 | 40 | 60 | 0 |
| 2 | S45-R55-C0 | 45 | 55 | 0 |
| 3 | S50-R50-C0 | 50 | 50 | 0 |
| 4 | S55-R45-C0 | 55 | 45 | 0 |
| 5 | S60-R40-C0 | 60 | 40 | 0 |
| 6 | S35-R60-C5 | 35 | 60 | 5 |
| 7 | S40-R55-C5 | 40 | 55 | 5 |
| 8 | S45-R50-C5 | 45 | 50 | 5 |
| 9 | S30-R60-C10 | 30 | 60 | 10 |
| 10 | S35-R55-C10 | 35 | 55 | 10 |
| 11 | S40-R50-C10 | 40 | 50 | 10 |
| 12 | S45-R45-C10 | 45 | 45 | 10 |
| 13 | S50-R40-C10 | 50 | 40 | 10 |
| 14 | S90-R0-C10 | 90 | 0 | 10 |
| 15 | S92.5-R0-C7.5 | 92.5 | 0 | 7.5 |
| 16 | S95-R0-C5 | 95 | 0 | 5 |
| 17 | S97.5-R0-C2.5 | 97.5 | 0 | 2.5 |
| Sample | Trace Elements (mg/L) | ||||||
|---|---|---|---|---|---|---|---|
| As | Ba | Cd | Cr | Pb | Ag | Zn | |
| PWR | <0.1 | 0.55 | 0.15 | <0.1 | <0.1 | <0.1 | 0.25 |
| PWS | <0.1 | 0.43 | 0.1 | <0.1 | <0.1 | <0.1 | 0.21 |
| US EPA Standards | 5 | 100 | 1 | 5 | 5 | 5 | 2 |
| Properties Value | Unit | PWR | PWS |
|---|---|---|---|
| Particle size analysis | |||
| D50 | mm | 14.34 | 0.051 |
| D80 | mm | 18.94 | 0.108 |
| Dmax | mm | 25 | 0.5 |
| Plasticity index | % | unmeasurable | 20 |
| Methylene blue value | g/100 g | 0.7 | 0.22 |
| Sand equivalent | % | 41 | 9 |
| Proctor test | |||
| Optimal dry density | kg/m3 | 1820 | 1960 |
| Optimal moisture content | % | 13 | 7.3 |
| Density | kg/m3 | 1610.36 | 1476.7 |
| CaO | SiO2 | Al2O3 | Fe2O3 | MgO | K2O | Na2O | TiO2 | P2O5 | MnO | LOI | CaF2 | SO3 | CO2 | |
|---|---|---|---|---|---|---|---|---|---|---|---|---|---|---|
| PWR | 34.27 | 23.77 | 0.75 | 0.59 | 3.19 | 0.13 | 0.5 | <0.01 | 14.21 | <0.01 | 15.65 | 2.98 | 0.84 | 2.22 |
| PWS | 31.73 | 22.02 | 2.21 | 0.98 | 3.41 | 0.57 | 0.7 | 0.21 | 12.95 | <0.01 | 16.15 | 4.71 | 0.81 | 2.71 |
| Formulations | Water Absorption Coefficient (g/cm2·min1/2) | Obtained Category for Exterior Walls |
|---|---|---|
| Formulation 5 (60% PWS + 40% PWR) | 10.3 | Extremely low capillarity absorption |
| Formulation 8 (45% PWS + 50% PWR + 5% CC) | 13.8 | Extremely low capillarity absorption data |
| Formulation 17 (97.5% PWS + 2.5% CC) | 26.9 | Low capillarity absorption |
| Formulations | Thermal Conductivity (W·m−1·K−1) | |||
|---|---|---|---|---|
| Sample 1 | Sample 2 | Sample 3 | Average | |
| Formulation 5 (60% PWS + 40% PWR) | 0.627 | 0.581 | 0.604 | |
| Formulation 8 (45% PWS + 50% PWR + 5% CC) | 0.577 | 0.562 | 0.597 | |
| Formulation 17 (97.5% PWS + 2.5% CC) | 0.563 | 0.632 | 0.553 | 0.583 |
Disclaimer/Publisher’s Note: The statements, opinions and data contained in all publications are solely those of the individual author(s) and contributor(s) and not of MDPI and/or the editor(s). MDPI and/or the editor(s) disclaim responsibility for any injury to people or property resulting from any ideas, methods, instructions or products referred to in the content. |
© 2024 by the authors. Licensee MDPI, Basel, Switzerland. This article is an open access article distributed under the terms and conditions of the Creative Commons Attribution (CC BY) license (https://creativecommons.org/licenses/by/4.0/).
Share and Cite
Inabi, O.; Khalil, A.; Zouine, A.; Hakkou, R.; Benzaazoua, M.; Taha, Y. Investigation of the Innovative Combined Reuse of Phosphate Mine Waste Rock and Phosphate Washing Sludge to Produce Eco-Friendly Bricks. Buildings 2024, 14, 2600. https://doi.org/10.3390/buildings14092600
Inabi O, Khalil A, Zouine A, Hakkou R, Benzaazoua M, Taha Y. Investigation of the Innovative Combined Reuse of Phosphate Mine Waste Rock and Phosphate Washing Sludge to Produce Eco-Friendly Bricks. Buildings. 2024; 14(9):2600. https://doi.org/10.3390/buildings14092600
Chicago/Turabian StyleInabi, Omar, Abdessamad Khalil, Abir Zouine, Rachid Hakkou, Mostafa Benzaazoua, and Yassine Taha. 2024. "Investigation of the Innovative Combined Reuse of Phosphate Mine Waste Rock and Phosphate Washing Sludge to Produce Eco-Friendly Bricks" Buildings 14, no. 9: 2600. https://doi.org/10.3390/buildings14092600
APA StyleInabi, O., Khalil, A., Zouine, A., Hakkou, R., Benzaazoua, M., & Taha, Y. (2024). Investigation of the Innovative Combined Reuse of Phosphate Mine Waste Rock and Phosphate Washing Sludge to Produce Eco-Friendly Bricks. Buildings, 14(9), 2600. https://doi.org/10.3390/buildings14092600

