Improving Mixed-Mode Fracture Properties of Concrete Reinforced with Macrosynthetic Plastic Fibers: An Experimental and Numerical Investigation
Abstract
1. Introduction
2. Dataset Materials and Specimen Preparation
3. Fracture Modeling
4. Verification of Numerical Models
4.1. Shape Form Factor
4.2. Production of Mesh Fragmentation
4.3. Result of Verification
5. Parametric Study
5.1. Effect of MSPF on the Behavior of Concrete in Mode I Fracture
5.2. Effect of Fibers on the Behavior of Concrete in Mode I and Mode II Fractures
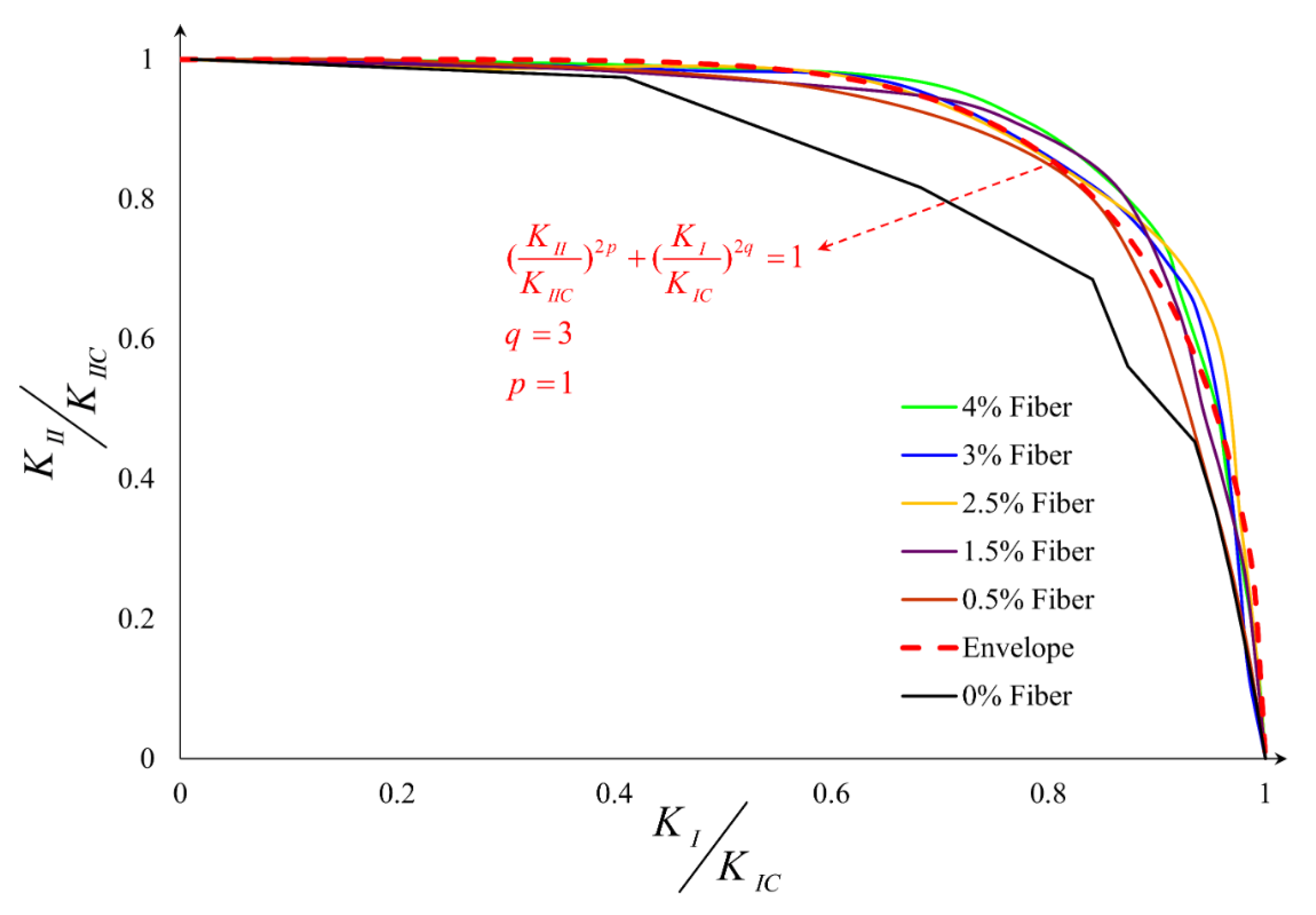
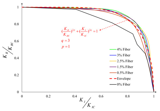
5.3. Investigation of Fracture Parameters under a Combination of Fracture Modes
6. Conclusions
- Effective stress intensity factor (Keff) was crucial for understanding the material’s response to mixed-mode fractures.
- As Me approaches zero and shear deformation becomes dominant, the resistance to mixed-mode fractures decreases.
- Adding macrosynthetic fibers significantly boosts mixed-mode fracture toughness, especially in mixed-mode I/II conditions (0.5 < Me < 0.9).
- There was an approximately 400% increase in mixed-mode fracture toughness with fiber content (ρeff = 1 signifies no fiber content).
- Optimal fiber content for enhancing concrete durability is around 4%; beyond this percentage, the increase in energy absorption plateaus due to diminished bond strength between fibers and cement mortar.
- A standardized method for presenting mixed-mode outcomes was developed, comparing stress intensity factors (KII and KIIC) with (KI and KIC).
- A power law criterion was established with specific values for p and q that align with numerical data on fractures.
7. Future Research
- Further exploration of the optimal distribution and fiber content for specific construction scenarios.
- Deeper understanding of the complex interactions between fibers and the cement matrix in concrete.
Author Contributions
Funding
Data Availability Statement
Conflicts of Interest
Abbreviations
| SCB | Semicircular bend |
| CMOD | Crack mouth opening displacement |
| XFEM | Extended finite element method |
| EFEM | Energy finite element method |
| ITZ | Interfacial transition zone |
| CZM | Cohesive zone model |
| MFI | Fiber–matrix interface |
| MMI SF | Matrix–matrix interface Synthetic fibers |
| FVF | Fiber volume fraction |
| MSPF | Macrosynthetic plastic fibers |
| Notation | |
| dmax | Maximum aggregate size |
| d50 | Median aggregate size |
| E | Modulus of elasticity |
| S1 | Slip at first crack |
| S2 | Slip at ultimate strength |
| S3 | Distance between ribs |
| α | Alpha coefficient |
| τu | Ultimate bond stress |
| τf | Final bond stress |
| a/R | Ratio of crack length to radius |
| S1/R | Slip at first crack to radius ratio |
| S2/R | Slip at ultimate strength to radius ratio |
| Eh | Young’s modulus of homogeneous concrete |
| Ecm | Young’s modulus of cement matrix |
| Va | Volume of aggregate |
| Ea | Young’s modulus of aggregate grains |
| Gcm | Shear modulus of cement matrix |
| υ | Poisson’s ratio |
| f’c | Compressive strength |
| ft | Tensile strength |
| fy | Yield strength |
| Keff | Effective stress intensity factor |
| Ρeff | Mixed-mode fracture toughness |
| KI | Stress intensity factor for mode I |
| KII | Stress intensity factor for mode II |
| KIC | Critical fracture toughness for mode I |
| KIIC | Critical fracture toughness for mode II |
| p, q | Parameters in fracture criterion equation |
| GI | Fracture energy for mode I |
| GII | Fracture energy for mode II |
| Me | Mode mixity parameter |
| gv | Energy dissipated per unit volume |
| gc | Energy dissipated per unit area (fracture toughness) |
| Le | Characteristic length of the element |
| A | Element area |
References
- Oni, O.; Arum, C. Workability and Compressive Strength of Concrete Containing Binary Cement, Mixed Fines, and Superplasticizer. Facta Univ.-Ser. Archit. Civ. Eng. 2023, 21, 299–314. [Google Scholar] [CrossRef]
- Nedeljković, M.; Visser, J.; Šavija, B.; Valcke, S.; Schlangen, E. Use of Fine Recycled Concrete Aggregates in Concrete: A Critical Review. J. Build. Eng. 2021, 38, 102196. [Google Scholar] [CrossRef]
- Fang, M.; Chen, Y.; Deng, Y.; Wang, Z.; Zhu, M. Toughness Improvement Mechanism and Evaluation of Cement Concrete for Road Pavement: A Review. J. Road Eng. 2023, 3, 125–140. [Google Scholar] [CrossRef]
- Munawar, H.S.; Hammad, A.W.A.; Haddad, A.; Soares, C.A.P.; Waller, S.T. Image-Based Crack Detection Methods: A Review. Infrastructures 2021, 6, 115. [Google Scholar] [CrossRef]
- Nyathi, M.A.; Bai, J.; Wilson, I.D. Concrete Crack Width Measurement Using a Laser Beam and Image Processing Algorithms. Appl. Sci. 2023, 13, 4981. [Google Scholar] [CrossRef]
- Chen, J.; Xiong, F.; Zhu, Y.; Yan, H. A Crack Detection Method for Underwater Concrete Structures Using Sensing-Heating System with Porous Casing. Measurement 2021, 168, 108332. [Google Scholar] [CrossRef]
- Murthi, P.; Poongodi, K.; Awoyera, P.O.; Gobinath, R.; Saravanan, R. Enhancing the Strength Properties of High-Performance Concrete Using Ternary Blended Cement: OPC, Nano-Silica, Bagasse Ash. Silicon 2020, 12, 1949–1956. [Google Scholar] [CrossRef]
- Burhan, L.; Ghafor, K.; Mohammed, A. Enhancing the Fresh and Hardened Properties of the Early Age Concrete Modified with Powder Polymers and Characterized Using Different Models. Adv. Civ. Eng. Mater. 2020, 9, 227–249. [Google Scholar] [CrossRef]
- Gamal, H.A.; El-Feky, M.S.; Alharbi, Y.R.; Abadel, A.A.; Kohail, M. Enhancement of the Concrete Durability with Hybrid Nano Materials. Sustainability 2021, 13, 1373. [Google Scholar] [CrossRef]
- Yuhazri, M.Y.; Zulfikar, A.J.; Ginting, A. Fiber Reinforced Polymer Composite as a Strengthening of Concrete Structures: A Review. IOP Conf. Ser. Mater. Sci. Eng. 2020, 1003, 012135. [Google Scholar] [CrossRef]
- Zhou, H.; Jia, B.; Huang, H.; Mou, Y. Experimental Study on Basic Mechanical Properties of Basalt Fiber Reinforced Concrete. Materials 2020, 13, 1362. [Google Scholar] [CrossRef]
- Chen, Z.; Wang, X.; Jiang, K.; Zhao, X.; Liu, X.; Wu, Z. The Splitting Tensile Strength and Impact Resistance of Concrete Reinforced with Hybrid BFRP Minibars and Micro Fibers. J. Build. Eng. 2024, 88, 109188. [Google Scholar] [CrossRef]
- Dong, S.; Wang, D.; Wang, X.; D’Alessandro, A.; Ding, S.; Han, B.; Ou, J. Optimizing Flexural Cracking Process of Ultra-High Performance Concrete via Incorporating Microscale Steel Wires. Cem. Concr. Compos. 2022, 134, 104830. [Google Scholar] [CrossRef]
- Yang, L.; Xie, H.; Fang, S.; Huang, C.; Yang, A.; Chao, Y.J. Experimental Study on Mechanical Properties and Damage Mechanism of Basalt Fiber Reinforced Concrete under Uniaxial Compression. In Structures; Elsevier: Amsterdam, The Netherlands, 2021; Volume 31, pp. 330–340. [Google Scholar]
- Latifi, M.R.; Biricik, Ö.; Mardani Aghabaglou, A. Effect of the Addition of Polypropylene Fiber on Concrete Properties. J. Adhes. Sci. Technol. 2022, 36, 345–369. [Google Scholar] [CrossRef]
- Yuan, Z.; Jia, Y. Mechanical Properties and Microstructure of Glass Fiber and Polypropylene Fiber Reinforced Concrete: An Experimental Study. Constr. Build. Mater. 2021, 266, 121048. [Google Scholar] [CrossRef]
- Shabbir, F.; Khan, Q.U.Z.; Rashid, M.U.; Muslim, A.; Raza, A. The Efficiency of Hybrid Fibers (Steel and Carbon Fibers) in Controlling Micro Cracking of Concrete Beams. Iran. J. Sci. Technol.-Trans. Civ. Eng. 2023, 47, 1425–1445. [Google Scholar] [CrossRef]
- Xu, H.; Wang, Z.; Shao, Z.; Cai, L.; Jin, H.; Zhang, Z.; Qiu, Z.; Rui, X.; Chen, T. Experimental Study on Durability of Fiber Reinforced Concrete: Effect of Cellulose Fiber, Polyvinyl Alcohol Fiber and Polyolefin Fiber. Constr. Build. Mater. 2021, 306, 124867. [Google Scholar] [CrossRef]
- Zheng, Y.; Lv, X.; Hu, S.; Zhuo, J.; Wan, C.; Liu, J. Mechanical Properties and Durability of Steel Fiber Reinforced Concrete: A Review. J. Build. Eng. 2024, 82, 108025. [Google Scholar] [CrossRef]
- Cheng, L.; Chen, S.; Chen, F.; Wang, C.; Chen, Q. Research Progress and Performance Evaluation of Polyvinyl Alcohol Fiber Engineered Cementitious Composites. Sustainability 2023, 15, 10991. [Google Scholar] [CrossRef]
- Jang, S.J.; Park, W.S.; Kim, S.W.; Kim, D.H.; Wang, Q.; Jeong, W.J.; Jin, A.H.; Yun, H. Do Effect of Contents, Tensile Strengths and Aspect Ratios of Hooked-End Steel Fibers (SFs) on Compressive and Flexural Performance of Normal Strength Concrete. Int. J. Concr. Struct. Mater. 2023, 17, 46. [Google Scholar] [CrossRef]
- Niu, X.J.; Zhao, Q.X.; Nie, Y. Effect of Polypropylene Macro-Fiber on Properties of High-Strength Concrete at Elevated Temperatures. Key Eng. Mater. 2015, 629–630, 284–290. [Google Scholar] [CrossRef]
- Gencel, O.; Yavuz Bayraktar, O.; Kaplan, G.; Benli, A.; Martínez-Barrera, G.; Brostow, W.; Tek, M.; Bodur, B. Characteristics of Hemp Fibre Reinforced Foam Concretes with Fly Ash and Taguchi Optimization. Constr. Build. Mater. 2021, 294, 123607. [Google Scholar] [CrossRef]
- Huang, J.; Qiu, S.; Rodrigue, D. Parameters Estimation and Fatigue Life Prediction of Sisal Fibre Reinforced Foam Concrete. J. Mater. Res. Technol. 2022, 20, 381–396. [Google Scholar] [CrossRef]
- Flores Nicolás, A.; Menchaca Campos, E.C.; Flores Nicolás, M.; Martínez González, J.J.; González Noriega, O.A.; Uruchurtu Chavarín, J. Influence of Recycled High-Density Polyethylene Fibers on the Mechanical and Electrochemical Properties of Reinforced Concrete. Fibers 2024, 12, 24. [Google Scholar] [CrossRef]
- Meena, A.; Surendranath, A.; Ramana, P.V. Assessment of Mechanical Properties and Workability for Polyethylene Terephthalate Fiber Reinforced Concrete. Mater. Today Proc. 2021, 50, 2307–2314. [Google Scholar] [CrossRef]
- Piryaei, M.; Komasi, M.; Hormozinejad, Y. Experimental Evaluation on Behavior of Poly Propylene Fiber-Reinforced Concrete Containing Poly Carboxylate Ether and E205 Additives. Constr. Build. Mater. 2022, 347, 128142. [Google Scholar] [CrossRef]
- Revathi, S.; Sathis Kumar, P.; Suresh, D.; Thowfick Anwar, S. Behaviour of Concrete with PET Bottles as Fibers & Silica Fume as Partial Replacement of Cement. Mater. Today Proc. 2023; in press. [Google Scholar] [CrossRef]
- Singh, K. Partial Replacement of Cement with Polyethylene Terephthalate Fiber to Study Its Effect on Various Properties of Concrete. Mater. Today Proc. 2020, 37, 3270–3274. [Google Scholar] [CrossRef]
- Ahmed, H.U.; Faraj, R.H.; Hilal, N.; Mohammed, A.A.; Sherwani, A.F.H. Use of Recycled Fibers in Concrete Composites: A Systematic Comprehensive Review. Compos. Part B Eng. 2021, 215, 108769. [Google Scholar] [CrossRef]
- Khatab, H.R.; Mohammed, S.J.; Hameed, L.A. Mechanical Properties of Concrete Contain Waste Fibers of Plastic Straps. IOP Conf. Ser. Mater. Sci. Eng. 2019, 557, 012059. [Google Scholar] [CrossRef]
- Mehvish, F.; Ahmed, A.; Saleem, M.M.; Saleem, M.A. Characterization of Concrete Incorporating Waste Polythene Bags Fibers. Pak. J. Engg. Appl. Sci 2020, 26, 93–101. [Google Scholar]
- Jain, A.; Siddique, S.; Gupta, T.; Jain, S.; Sharma, R.K.; Chaudhary, S. Evaluation of Concrete Containing Waste Plastic Shredded Fibers: Ductility Properties. Struct. Concr. 2021, 22, 566–575. [Google Scholar] [CrossRef]
- Ahmad, W.; Khan, M.; Smarzewski, P. Effect of Short Fiber Reinforcements on Fracture Performance of Cement-Based Materials: A Systematic Review Approach. Materials 2021, 14, 1745. [Google Scholar] [CrossRef] [PubMed]
- Voutetaki, M.E.; Naoum, M.C.; Papadopoulos, N.A.; Chalioris, C.E. Cracking Diagnosis in Fiber-Reinforced Concrete with Synthetic Fibers Using Piezoelectric Transducers. Fibers 2022, 10, 5. [Google Scholar] [CrossRef]
- Abou El-Mal, H.S.S.; Sherbini, A.S.; Sallam, H.E.M. Locating the Site of Diagonal Tension Crack Initiation and Path in Reinforced Concrete Beams. Ain Shams Eng. J. 2015, 6, 17–24. [Google Scholar] [CrossRef]
- Abed, F.; Sabbagh, M.K.; Karzad, A.S. Effect of Basalt Microfibers on the Shear Response of Short Concrete Beams Reinforced with BFRP Bars. Compos. Struct. 2021, 269, 114029. [Google Scholar] [CrossRef]
- Abed, F.; Alhafiz, A.R. Effect of Basalt Fibers on the Flexural Behavior of Concrete Beams Reinforced with BFRP Bars. Compos. Struct. 2019, 215, 23–34. [Google Scholar] [CrossRef]
- Chalioris, C.E.; Kosmidou, P.M.K.; Karayannis, C.G. Cyclic Response of Steel Fiber Reinforced Concrete Slender Beams: An Experimental Study. Materials 2019, 12, 1398. [Google Scholar] [CrossRef] [PubMed]
- Chen, X.; Xing, G.; Niu, J.; Liu, B. Behavior of Plastic-Steel Fiber Reinforced Lightweight Aggregate Concrete Columns Subjected to Concentric Axial Loading. Int. J. Civ. Eng. 2021, 19, 283–300. [Google Scholar] [CrossRef]
- Yoo, D.Y.; Kang, S.T.; Yoon, Y.S. Effect of Fiber Length and Placement Method on Flexural Behavior, Tension-Softening Curve, and Fiber Distribution Characteristics of UHPFRC. Constr. Build. Mater. 2014, 64, 67–81. [Google Scholar] [CrossRef]
- Shen, M.; Huang, W.; Liu, J.; Zhou, Z. Axial Compressive Behavior of Rubberized Concrete-Filled Steel Tube Short Columns. Case Stud. Constr. Mater. 2022, 16, e00851. [Google Scholar] [CrossRef]
- Wang, J.; Dai, Q.; Si, R.; Guo, S. Mechanical, Durability, and Microstructural Properties of Macro Synthetic Polypropylene (PP) Fiber-Reinforced Rubber Concrete. J. Clean. Prod. 2019, 234, 1351–1364. [Google Scholar] [CrossRef]
- Babafemi, A.J.; Boshoff, W.P. Tensile Creep of Macro-Synthetic Fibre Reinforced Concrete (MSFRC) under Uni-Axial Tensile Loading. Cem. Concr. Compos. 2015, 55, 62–69. [Google Scholar] [CrossRef]
- Yang, Z.; Ren, W.; Sharma, R.; McDonald, S.; Mostafavi, M.; Vertyagina, Y.; Marrow, T.J. In-Situ X-Ray Computed Tomography Characterisation of 3D Fracture Evolution and Image-Based Numerical Homogenisation of Concrete. Cem. Concr. Compos. 2017, 75, 74–83. [Google Scholar] [CrossRef]
- Dubey, S.; Ray, S. Influence of Heterogeneity on Size Effect Models and Fracture Characteristics of Plain Concrete. Theor. Appl. Fract. Mech. 2023, 127, 103993. [Google Scholar] [CrossRef]
- Yu, K.; Yang, Z.; Li, H.; Tat Ooi, E.; Li, S.; Liu, G.H. A Mesoscale Modelling Approach Coupling SBFEM, Continuous Damage Phase-Field Model and Discrete Cohesive Crack Model for Concrete Fracture. Eng. Fract. Mech. 2023, 278, 109030. [Google Scholar] [CrossRef]
- Zhu, S.; Zhou, Z.; Xiong, Y. Mesoscale Fracture Analysis of Three-Point Bending Concrete Beams Based on Cohesive Zone Model. Eng. Fract. Mech. 2024, 296, 109828. [Google Scholar] [CrossRef]
- Thakur, M.M.; Henningsson, A.; Engqvist, J.; Pierre, O.A.; Wright, J.; Hurley, R. On Mesoscale Modeling of Concrete: Role of Heterogeneities on Local Stresses, Strains, and Representative Volume Element. SSRN Electron. J. 2022, 163, 107031. [Google Scholar] [CrossRef]
- Wei, D.; Hurley, R.C.; Poh, L.H.; Dias-da-Costa, D.; Gan, Y. The Role of Particle Morphology on Concrete Fracture Behaviour: A Meso-Scale Modelling Approach. Cem. Concr. Res. 2020, 134, 106096. [Google Scholar] [CrossRef]
- Permanoon, A.; Akhaveissy, A. Failure of Existing Structures with Semi-Brittle Mechanical Properties on Meso Scale and Reduction of Computational Cost Using Non-Linear Topology Optimization. Constr. Build. Mater. 2022, 319, 126071. [Google Scholar] [CrossRef]
- Rahbar, E.; Permanoon, A.; Akhaveissy, A.H. Numerical Evaluation of Masonry-Infill Frames: Analysis of Lateral Strength and Failure Modes on Meso Scale. Structures 2023, 52, 779–793. [Google Scholar] [CrossRef]
- Kim, J.S.; Chung, S.Y.; Stephan, D.; Han, T.S. Issues on Characterization of Cement Paste Microstructures from μ-CT and Virtual Experiment Framework for Evaluating Mechanical Properties. Constr. Build. Mater. 2019, 202, 82–102. [Google Scholar] [CrossRef]
- Li, D.; Han, C.; Jin, L.; Du, X. An Atomistic Based Continuum Level 3D Mode-I Meso-Fracture Criterion for Cement-Based Concrete. Theor. Appl. Fract. Mech. 2023, 124, 103796. [Google Scholar] [CrossRef]
- Chodkowski, P.; Bobiński, J.; Tejchman, J. Limits of Enhanced of Macro- and Meso-Scale Continuum Models for Studying Size Effect in Concrete under Tension. Eur. J. Environ. Civ. Eng. 2022, 26, 5465–5495. [Google Scholar] [CrossRef]
- Permanoon, A.; Akhaveissy, A.H. Effects of Meso-Scale Modeling on Concrete Fracture Parameters Calculation. Period. Polytech. Civ. Eng. 2019, 63, 782–794. [Google Scholar] [CrossRef]
- Fattahi, M.; Malekshahi, M.; Permanoon, A. Mesoscale Numerical Modeling of Unreinforced Masonry Wall Response to Underground Dynamic Loads: A Comparative Study Utilizing FEM and DEM. Structures 2024, 63, 106460. [Google Scholar] [CrossRef]
- Akhaveissy, A.H.; Permanoon, A. An Investigation of Meso-Scale Crack Propagation Process in Concrete Beams Using Topology Optimization. Amirkabir J. Civ. Eng 2022, 53, 5281–5306. [Google Scholar]
- Pulatsu, B.; Erdogmus, E.; Lourenço, P.B.; Lemos, J.V.; Tuncay, K. Numerical Modeling of the Tension Stiffening in Reinforced Concrete Members via Discontinuum Models. Comput. Part. Mech. 2021, 8, 423–436. [Google Scholar] [CrossRef]
- Nitka, M.; Tejchman, J. Meso-Mechanical Modelling of Damage in Concrete Using Discrete Element Method with Porous ITZs of Defined Width around Aggregates. Eng. Fract. Mech. 2020, 231, 107029. [Google Scholar] [CrossRef]
- Xia, X.; Chen, F.; Gu, X.; Fang, N.; Zhang, Q. Interfacial Debonding Constitutive Model and XFEM Simulation for Mesoscale Concrete. Comput. Struct. 2021, 242, 106373. [Google Scholar] [CrossRef]
- Marzec, I.; Bobiński, J. Quantitative Assessment of the Influence of Tensile Softening of Concrete in Beams under Bending by Numerical Simulations with XFEM and Cohesive Cracks. Materials 2022, 15, 626. [Google Scholar] [CrossRef]
- Azúa-González, C.X. Multiscale Fracture Modelling of Concrete Using a Variational Micromechanics-Enriched Embedded Strong Discontinuity Finite Element Method. Ph.D. Thesis, Cardiff University, Cardiff, UK, 2022. [Google Scholar]
- Marković, N.; Grdić, D.; Stojković, N.; Topličić-Ćurčić, G.; Živković, D. Two-Dimensional Damage Localization Using a Piezoelectric Smart Aggregate Approach—Implementation on Arbitrary Shaped Concrete Plates. Materials 2024, 17, 218. [Google Scholar] [CrossRef]
- Hosseinzadehfard, E.; Mobaraki, B. Investigating Concrete Durability: The Impact of Natural Pozzolan as a Partial Substitute for Microsilica in Concrete Mixtures. Constr. Build. Mater. 2024, 419, 135491. [Google Scholar] [CrossRef]
- Mobaraki, B.; Ma, H.; Lozano Galant, J.A.; Turmo, J. Structural Health Monitoring of 2D Plane Structures. Appl. Sci. 2021, 11, 2000. [Google Scholar] [CrossRef]
- Sun, L.; Wang, C.; Zhang, C.; Yang, Z.; Li, C.; Qiao, P. Experimental Investigation on the Bond Performance of Sea Sand Coral Concrete with FRP Bar Reinforcement for Marine Environments. Adv. Struct. Eng. 2023, 26, 533–546. [Google Scholar] [CrossRef]
- Huang, H.; Yuan, Y.; Zhang, W.; Zhu, L. Property Assessment of High-Performance Concrete Containing Three Types of Fibers. Int. J. Concr. Struct. Mater. 2021, 15, 39. [Google Scholar] [CrossRef]
- Pang, B.; Jin, Z.; Zhang, Y.; Xu, L.; Li, M.; Wang, C.; Zhang, Y.; Yang, Y.; Zhao, P.; Bi, J.; et al. Ultraductile Waterborne Epoxy-Concrete Composite Repair Material: Epoxy-Fiber Synergistic Effect on Flexural and Tensile Performance. Cem. Concr. Compos. 2022, 129, 104463. [Google Scholar] [CrossRef]
- Asif, U.; Javed, M.F.; Abuhussain, M.; Ali, M.; Khan, W.A.; Mohamed, A. Predicting the Mechanical Properties of Plastic Concrete: An Optimization Method by Using Genetic Programming and Ensemble Learners. Case Stud. Constr. Mater. 2024, 20, e03135. [Google Scholar] [CrossRef]
- Khodaparasti, M.; Alijamaat, A.; Pouraminian, M. Prediction of the Concrete Compressive Strength Using Improved Random Forest Algorithm. J. Build. Pathol. Rehabil. 2023, 8, 92. [Google Scholar] [CrossRef]
- Bisheh, H. Design and Analysis of Hybrid Natural/Synthetic Fibre-Reinforced Composite Automotive Drive Shafts. Structures 2024, 61, 106057. [Google Scholar] [CrossRef]
- Camille, C.; Kahagala Hewage, D.; Mirza, O.; Mashiri, F.; Kirkland, B.; Clarke, T. Performance Behaviour of Macro-Synthetic Fibre Reinforced Concrete Subjected to Static and Dynamic Loadings for Sleeper Applications. Constr. Build. Mater. 2021, 270, 121469. [Google Scholar] [CrossRef]
- Camille, C.; Mirza, O.; Kirkland, B.; Clarke, T. Numerical Investigation of Prestressed Concrete Sleepers Reinforced with High-Performance Macro Synthetic Fibres. Eng. Fail. Anal. 2024, 159, 108149. [Google Scholar] [CrossRef]
- Ali, L.; El Ouni, M.H.; Raza, A. Tests of Polypropylene Macro Synthetic Fibers and GFRP Reinforced Concrete Columns Subjected to Concentric and Eccentric Loading. J. Build. Eng. 2021, 43, 103100. [Google Scholar] [CrossRef]
- Tan, H.; Huang, Y.; Liu, C.; Geubelle, P.H. The Mori-Tanaka Method for Composite Materials with Nonlinear Interface Debonding. Int. J. Plast. 2005, 21, 1890–1918. [Google Scholar] [CrossRef]
- Menetrey, P. Numerical Analysis of Punching Failure in Reinforced Concrete Structures; EPFL: Lausanne, Switzerland, 1994. [Google Scholar]
- Wang, L.; Zeng, X.; Li, Y.; Yang, H.; Tang, S. Influences of MgO and PVA Fiber on the Abrasion and Cracking Resistance, Pore Structure and Fractal Features of Hydraulic Concrete. Fractal Fract. 2022, 6, 674. [Google Scholar] [CrossRef]
- Grassl, P.; Jirásek, M. Meso-Scale Approach to Modelling the Fracture Process Zone of Concrete Subjected to Uniaxial Tension. Int. J. Solids Struct. 2010, 47, 957–968. [Google Scholar] [CrossRef]
- Alfano, G.; Crisfield, M.A. Finite Element Interface Models for the Delamination Analysis of Laminated Composites: Mechanical and Computational Issues. Int. J. Numer. Methods Eng. 2001, 50, 1701–1736. [Google Scholar] [CrossRef]
- de Moura, M.F.S.F.; Gonçalves, J.P.M.; Silva, F.G.A. A New Energy Based Mixed-Mode Cohesive Zone Model. Int. J. Solids Struct. 2016, 102–103, 112–119. [Google Scholar] [CrossRef]
- Anderson, T.L. Fracture Mechanics: Fundamentals and Applications; CRC Press: Boca Raton, FL, USA, 2016; pp. 1–630. [Google Scholar]
- Trawiński, W.; Bobiński, J.; Tejchman, J. Two-Dimensional Simulations of Concrete Fracture at Aggregate Level with Cohesive Elements Based on X-Ray ΜCT Images. Eng. Fract. Mech. 2016, 168, 204–226. [Google Scholar] [CrossRef]
- Wang, X.; Zhang, M.; Jivkov, A.P. Computational Technology for Analysis of 3D Meso-Structure Effects on Damage and Failure of Concrete. Int. J. Solids Struct. 2016, 80, 310–333. [Google Scholar] [CrossRef]
- Rodrigues, E.A.; Manzoli, O.L.; Bitencourt, L.A.G.; Bittencourt, T.N.; Sánchez, M. An Adaptive Concurrent Multiscale Model for Concrete Based on Coupling Finite Elements. Comput. Methods Appl. Mech. Eng. 2018, 328, 26–46. [Google Scholar] [CrossRef]
- Wang, Z.; Li, H.; Zhang, X.; Chang, Y.; Wang, Y.; Wu, L.; Fan, H. The Effects of Steel Fiber Types and Volume Fraction on the Physical and Mechanical Properties of Concrete. Coatings 2023, 13, 978. [Google Scholar] [CrossRef]
- EN 14889-2:2006; Fibres for Concrete-Part 2: Polymer Fibres-Definitions, Specifications and Conformity. European Committee for Standardization (CEN): Brussels, Belgium, 2006.
- ACI Comite 544. 3R. Guide for Specifying, Proportioning, and Production of Fiber-Reinforced Concrete; American Concrere Institute: Farmington Hills, MI, USA, 2008; pp. 1–16. [Google Scholar]

























| Component | Modulus of Elasticity | Poisson’s Ratio | Compressive Strength | Mean Tensile Strength |
|---|---|---|---|---|
| Concrete | 30.60 Gpa | 0.23 | 35.10 Mpa | 3.16 Mpa |
| Mortar | 25.00 Gpa | 0.21 | 25.60 Mpa | 3.25 Mpa |
| Aggregate | 42.00 Gpa | 0.20 | 93.00 Mpa | 11.00 Mpa |
| Fiber | 5.30 Gpa | 0.36 | - | 310.00 Mpa |
| Sample | Number of Samples Constructed |
|---|---|
| Cylindrical | 3 |
| SCB (without fibers) | 2 |
| SCB (with 1.5% FVF) | 2 |
| Solid Elements | |||
|---|---|---|---|
| Aggregate | Cement Matrix | Fibers | |
| E (GPa) | 42.00 | 25.00 | 5.30 |
| υ | 0.20 | 0.21 | 0.36 |
| f’c (MPa) | 93.00 | 25.60 | - |
| ft (MPa) | 11.00 | 3.25 | - |
| fy (MPa) | - | - | 310 |
| Cohesive Element | |||
| MFI | ITZ | MMI | |
| Kn, Kt | 106 | 106 | 106 |
| ft (MPa) | 3.16 | 1.58 | - |
| GF (N/mm) | 0.04 | 0.02 | - |
| S1 | - | - | 1 mm |
| S2 | 3 mm | ||
| S3 | 5 mm | ||
| α | 0.4 | ||
| τu (MPa) | 14.80 | ||
| τf (MPa) | 5.91 | ||
| 0% | 0.5% | 1.5% | 2.5% | 3% | 4% | |||||||||||||
|---|---|---|---|---|---|---|---|---|---|---|---|---|---|---|---|---|---|---|
| Me | KIF | KIIF | Keff | KIF | KIIF | Keff | KIF | KIIF | Keff | KIF | KIIF | Keff | KIF | KIIF | Keff | KIF | KIIF | Keff |
| 1 | 49 | 0 | 49 | 76 | 0 | 76 | 162 | 0 | 171 | 225 | 0 | 225 | 256 | 0 | 272 | 282 | 0 | 300 |
| 0.9 | 46 | 7 | 47 | 72 | 11 | 72 | 155 | 25 | 157 | 218 | 35 | 221 | 247 | 39 | 250 | 271 | 43 | 274 |
| 0.8 | 40 | 13 | 42 | 65 | 21 | 68 | 139 | 45 | 146 | 191 | 62 | 201 | 221 | 72 | 232 | 248 | 81 | 261 |
| 0.7 | 31 | 16 | 35 | 52 | 26 | 58 | 103 | 52 | 116 | 145 | 74 | 163 | 172 | 88 | 193 | 193 | 98 | 217 |
| 0.6 | 24 | 17 | 30 | 38 | 27 | 46 | 74 | 54 | 91 | 104 | 76 | 129 | 123 | 89 | 152 | 139 | 101 | 172 |
| 0.5 | 18 | 18 | 26 | 28 | 28 | 39 | 54 | 54 | 76 | 76 | 76 | 107 | 90 | 90 | 127 | 102 | 102 | 144 |
| 0.4 | 13 | 18 | 23 | 20 | 28 | 35 | 40 | 54 | 67 | 55 | 76 | 94 | 66 | 91 | 112 | 74 | 102 | 126 |
| 0.3 | 9 | 18 | 21 | 14 | 28 | 31 | 28 | 55 | 62 | 39 | 76 | 86 | 47 | 91 | 102 | 52 | 102 | 115 |
| 0.2 | 6 | 18 | 19 | 9 | 28 | 30 | 18 | 55 | 58 | 25 | 77 | 81 | 30 | 91 | 95 | 33 | 102 | 107 |
| 0.1 | 3 | 19 | 19 | 4 | 28 | 28 | 9 | 55 | 56 | 12 | 77 | 78 | 15 | 92 | 93 | 16 | 102 | 104 |
| 0.05 | 1 | 19 | 19 | 2 | 28 | 28 | 4 | 55 | 55 | 6 | 77 | 77 | 7 | 91 | 92 | 8 | 102 | 102 |
Disclaimer/Publisher’s Note: The statements, opinions and data contained in all publications are solely those of the individual author(s) and contributor(s) and not of MDPI and/or the editor(s). MDPI and/or the editor(s) disclaim responsibility for any injury to people or property resulting from any ideas, methods, instructions or products referred to in the content. |
© 2024 by the authors. Licensee MDPI, Basel, Switzerland. This article is an open access article distributed under the terms and conditions of the Creative Commons Attribution (CC BY) license (https://creativecommons.org/licenses/by/4.0/).
Share and Cite
Permanoon, A.; Pouraminian, M.; Khorami, N.; GanjiMorad, S.; Azarkhosh, H.; Sadrinejad, I.; Pourbakhshian, S. Improving Mixed-Mode Fracture Properties of Concrete Reinforced with Macrosynthetic Plastic Fibers: An Experimental and Numerical Investigation. Buildings 2024, 14, 2543. https://doi.org/10.3390/buildings14082543
Permanoon A, Pouraminian M, Khorami N, GanjiMorad S, Azarkhosh H, Sadrinejad I, Pourbakhshian S. Improving Mixed-Mode Fracture Properties of Concrete Reinforced with Macrosynthetic Plastic Fibers: An Experimental and Numerical Investigation. Buildings. 2024; 14(8):2543. https://doi.org/10.3390/buildings14082543
Chicago/Turabian StylePermanoon, Ali, Majid Pouraminian, Nima Khorami, Sina GanjiMorad, Hojatallah Azarkhosh, Iman Sadrinejad, and Somayyeh Pourbakhshian. 2024. "Improving Mixed-Mode Fracture Properties of Concrete Reinforced with Macrosynthetic Plastic Fibers: An Experimental and Numerical Investigation" Buildings 14, no. 8: 2543. https://doi.org/10.3390/buildings14082543
APA StylePermanoon, A., Pouraminian, M., Khorami, N., GanjiMorad, S., Azarkhosh, H., Sadrinejad, I., & Pourbakhshian, S. (2024). Improving Mixed-Mode Fracture Properties of Concrete Reinforced with Macrosynthetic Plastic Fibers: An Experimental and Numerical Investigation. Buildings, 14(8), 2543. https://doi.org/10.3390/buildings14082543

